Abstract
Thiadiazole derivatives, such as 1,2,3-thiadiazole, 1,2,5-thiadiazole, benzo[c][1,2,5]thiadiazole, and benzo[d][1,2,3]thiadiazole, have garnered significant attention due to their exceptional chemical and physical properties. These molecules, which contain sulfur and nitrogen atoms in their heterocyclic structure, have a variety of applications in agriculture, materials, and pharmaceuticals. In this review, we examine the most commonly used synthetic methods for these compounds, with a focus on the most recent techniques, including green synthesis, solid-phase chemistry, and catalytic processes, which enable greater efficiency, improved selectivity, and reduced environmental impact. Advances in the structural modification of these molecules to improve their photophysical properties and biocompatibility are also discussed. Finally, we highlight future research directions and emerging applications of thiadiazole derivatives across molecular medicine, nanotechnology, and agriculture, underscoring their potential to revolutionize multiple scientific and technological fields.
1. Introduction
Thiadiazoles and benzothiadiazoles are a group of heterocyclic compounds that have been widely explored for their fascinating properties and applications across various fields [1]. These heterocyclic compounds contain sulfur and nitrogen atoms in their structure. Although benzothiadiazoles share the same basic skeleton of a thiadiazole ring, they differ in the relative position of the sulfur and nitrogen atoms within the heterocyclic ring, which influences their chemical and physical properties [2]. The most representative heterocyclic system of this family corresponds to 1,3,4-thiadiazole 1, which has gained enormous relevance in modern pharmacological research due to its remarkable antidiabetic activity [3], as has been widely demonstrated in various studies. In recent years, multiple investigations have highlighted their ability to act on different key enzymes in carbohydrate metabolism, such as α-glucosidase, α-amylase, protein tyrosine phosphatase 1B (PTP1B), and sodium-dependent glucose cotransporters (SGLT2) [4,5,6]. For instance, hybrid carbazole-1,3,4-thiadiazole derivatives have been shown to exhibit potent inhibition against α-amylase and α-glucosidase, with IC50 values of 0.68 µM and 0.14 µM, respectively, significantly outperforming the standard drug acarbose [7]. Similarly, indazole-1,3,4-thiadiazoles showed outstanding inhibition of α-glucosidase and thymidine phosphorylase, with favorable ADMET profiles [8]. Likewise, 1,3,4-thiadiazole Schiff-type derivatives were developed as SGLT2 inhibitors, demonstrating inhibitory activity comparable to dapagliflozin and a significant glucose-lowering effect in vivo [9]. Other studies have reported indole-1,2,3-triazole-1,3,4-thiadiazole hybrids with outstanding α-glucosidase inhibitory activity (IC50 = 31.91 μM), which is markedly lower than that of acarbose (844.81 μM), highlighting their strong therapeutic potential [10]. Similarly, the structural combination of indole and 1,3,4-thiadiazole yielded derivatives with potent α-amylase inhibitory activity, again surpassing acarbose [11]. Further advances include 5H-[1,2,4]triazino[5,6-b]indole-1,3,4-thiadiazole derivatives showing IC50 values as low as 2.5 µM against α-glucosidase, approximately fifteen times more active than acarbose [12]. Additionally, 1,3,4-thiadiazolyl-1,3-thiazolidine-2,4-dione compounds have demonstrated potent PTP1B inhibition and proven in vivo efficacy in lowering blood glucose levels [13]. At the mechanistic level, these compounds promote insulin sensitivity by interacting with the PPAR-γ receptor, as observed with amide and urea derivatives of 1,3,4-thiadiazole, whose effects were comparable to those of the drug pioglitazone [14]. Finally, the ability of nitrothiadiazolopyrimidines to inhibit the formation of advanced glycation end products (AGEs) and the enzyme DPP-4 demonstrates that 1,3,4-thiadiazoles also contribute to preventing vascular complications associated with diabetes [15].
The above background consolidates 1,3,4-thiadiazoles 1 as a versatile and promising structural scaffold for the design of new antidiabetic therapies, with multiple mechanisms of action, high inhibitory potency, and encouraging safety profiles. However, 1,2,3-thiadiazole 2, 1,2,5-thiadiazole 3, benzo[c][1,2,5]thiadiazole 4, and benzo[d][1,2,3]thiadiazole 5 represent also highly interesting compound classes with similar heterocyclic moiety (Figure 1), specifically due to the achieved development associated with their chemical synthesis. 2-Type heterocycle features a continuous N = N-S arrangement, while 3 has an alternate structure in terms of the distribution of the heteroatomic atoms (Figure 1). On the other hand, 4 and 5 correspond to fused variants with different ring arrangements, leading to distinct stability and reactivity characteristics [16,17].
Figure 1.
Generic structures of (benzo)thiadiazole derivatives such as 1,3,4-thiadiazole 1, 1,2,3-thiadiazole 2, 1,2,5-thiadiazole 3, benzo[c][1,2,5]thiadiazole 4, and benzo[d][1,2,3]thiadiazole 5.
Building on previous research and the potential of heterocyclic compounds across various applications, this review summarizes recent developments in the synthesis and use of compounds containing 2–5 heterocyclic moieties over the last decade. The review describes key progress in this area, with a focus on their roles in organic chemistry, molecular electronics, and biomedicine. It also considers current challenges and possible future directions, which may help guide further research and application of these compounds in emerging technologies and therapeutic strategies across related scientific fields.
2. Synthesis and Medicinal and Pharmaceutical Chemistry Applications
Heterocycles 2–5 are widely used in bioimaging, fluorescence, and diagnostics due to their exceptional optical properties, such as the ability to emit light in the visible spectrum, making them ideal for applications in cellular research and molecular medicine [18]. Furthermore, their structure enables the creation of highly sensitive sensors and biosensors, particularly in biochemistry and pharmacology, where they are used to detect contaminants and biomarkers [19,20,21,22,23]. In agriculture, these molecules are explored as bioactive compounds to improve disease resistance and protect crops. Nanotechnology also benefits from these structures, given their potential to interact at the molecular level, improving drug delivery systems and the development of advanced materials. Thus, differences in the chemical structures of these molecules determine their versatility and applications across a wide range of scientific disciplines. For instance, 4-type compounds have emerged as an innovative class of fluorescent probes with up-and-coming biological applications [19]. In particular, the identification of novel 4-based probes for the selective detection of lysosomal pH and mercury (Hg2+) has further expanded their applicability in monitoring pathological processes, including lipid metabolism dysfunctions and the endoplasmic reticulum stress response [20,21]. The development of fluorescent organic nanoparticles and metal–organic frameworks based on benzothiadiazoles has emerged as a promising tool in bioimaging, drug delivery, and the design of sensitive fluorescent sensors [22,23].
Given the potential applications of these compounds, the development of novel synthetic methods remains a widely explored area. The synthesis of heterocyclic compounds containing the thiadiazole nucleus is carried out through various strategies, many of which rely on traditional ring-forming reactions, nucleophilic substitution, and organometallic techniques [24,25,26]. One of the most prominent approaches in the synthesis of 1,2,3-thiadiazoles is the nucleophilic addition of α-diazocarbonyl compounds to carbon disulfide (Scheme 1a).
Scheme 1.
Representative synthetic methods for 1,2,3-thiadiazole derivatives. (a) Nucleophilic addition of α-diazocarbonyl compounds to carbon disulfide; (b) Arylation of 2-methyl-3-acetylfuran via the Gomberg–Bachmann reaction followed by Hurd–Mori cyclization; (c) Ammonium iodide-catalyzed cycloaddition of N-tosylhydrazones with elemental sulfur in the presence of TBHP; (d) Iodine-catalyzed reaction of ketone-derived N-tosylhydrazones with elemental sulfur; (e) Photocatalytic synthesis of thiadiazoles from benzohydrazides and KSCN using perylenequinonoid pigments as green catalysts under mild conditions.
This method, carried out under mild conditions and using inexpensive reagents such as carbon disulfide, has proven to be highly efficient and versatile. Precursors such as ethyl diazoacetate (EDA) and benzyl bromide (BnBr) participate in the reaction, which is carried out in a dimethylformamide (DMF) medium at 50 °C for 12 h. The yield of the desired product, ethyl 5-(benzylthio)-1,2,3-thiadiazole-4-carboxylate 6, reaches 81%. This approach has been noted for its operational simplicity and for its ability to apply reaction conditions to a wide variety of compounds [27].
Another notable method is the arylation reaction of 2-methyl-3-acetylfuran, achieved via the Gomberg-Bachmann reaction, which results in the formation of 1,2,3-thiadiazole derivatives (Scheme 1b). This process is based on the arylation of substituted furans and the subsequent transformation of carboethoxyhydrazones into thiadiazoles via the Hurd–Mori reaction. The incorporation of electron-withdrawing groups on the aryl ring increases the thermal stability of the obtained products, suggesting their potential for use in pharmaceutical materials and products [28]. A recent strategy employed ammonium iodide (NH4I) as an inexpensive catalyst to facilitate the cycloaddition of N-tosylhydrazones with elemental sulfur, in the presence of tert-butyl hydroperoxide (TBHP) as an organic oxidant (Scheme 1c). This method enables the production of 4-aryl-1,2,3-thiadiazoles 7 from a wide range of N-tosylhydrazones, demonstrating excellent tolerance to various functional groups and facilitating gram-scale synthesis. The main advantage of this approach lies in the avoidance of inorganic oxidants, making it a more sustainable and environmentally friendly process [29]. The iodine-catalyzed reaction of ketone-derived N-tosylhydrazones has been carried out under mild conditions with elemental sulfur (Scheme 1d). This process produces 4-alkyl- and 4-styryl-1,2,3-thiadiazoles 8, which have potential applications in pharmacology and agriculture. This method is characterized by its efficiency, high yields, selectivity, and excellent tolerance to a wide range of functional groups [30]. Recently, photocatalysis with perylenequinonoid pigments, such as cercosporine, has been explored for the synthesis of thiadiazoles 7 from benzohydrazides and KSCN (Scheme 1d). This process is environmentally friendly, conducted under mild conditions, and exhibits excellent compatibility with various functional groups, enabling the synthesis of thiadiazole derivatives with potential applications in drug development [31].
An efficient method for synthesizing 1,2,3-thiadiazoles uses N-tosylhydrazones and ammonium thiocyanate (NH4SCN) as precursors, with ethanol serving as an environmentally friendly solvent at room temperature. This process exhibits broad substrate scope and demonstrates good tolerance to functional groups, with product yields ranging from 53% to 87% depending on the reaction conditions and substrates employed (Scheme 2a). The compound 4-phenyl-1,2,3-thiadiazole 7 has been successfully used in Sonogashira and Suzuki–Miyaura acylations, yielding 62% and 74%, respectively [32]. In another approach, ethyl (E)-2-(1-(5-(methoxycarbonyl)furan-2-yl)ethylidene)hydrazine-1-carboxylate and ethyl (E)-2-(1-(5-((E)-3-ethoxy-3-oxoprop-1-en-1-yl)furan-2-yl)ethylidene)hydrazine-1-carboxylate (previously obtained from methyl and ethyl 5-acetylfuran-2-carboxylate, respectively), undergo the Hurd–Mori reaction to form methyl 5-(1,2,3-thiadiazol-4-yl)furan-2-carboxylate 8 and ethyl (E)-3-(5-(1,2,3-thiadiazol-4-yl)furan-2-yl)acrylate 9 (Scheme 2b). This process allowed yields around 69%, with the added advantage that the thiadiazole fragment remains stable even under thermal conditions [33]. The synthesis of a 1,2,3-thiadiazole derivative of glycyrrhetinic acid 10 was performed via a characterized semicarbazone intermediate. The synthetic route involves esterification of 10, oxidation to a 3-oxo derivative, formation of a semicarbazone, and subsequent Hurd–Mori cyclization (Scheme 2c). This method offers an 85% yield in the formation of compounds beneficial for pharmacological research, particularly in the development of antitumor agents [34]. The synthesis of 1,2,3-thiadiazole 12 and 1,2,3-selenadiazole 13 derivatives from triterpenoids such as allobetulone and 2-oxoallobetulin has also been reported. The condensation reaction, followed by the Hurd–Mori reaction and the Lalezari method, yields compounds with high regioselectivity (Scheme 2d). These compounds exhibit antimicrobial and anti-inflammatory properties, making them of great interest in medicinal chemistry [35]. The use of triterpenoids, such as dipterocarpol and hollongdione, in Hurd–Mori reactions enables the production of 1,2,3-thiadiazole derivatives fused to these compounds. The application of these derivatives in the development of new drugs is promising, particularly given their biological properties, including anti-inflammatory, antibacterial, and antifungal effects [36]. An additional approach involves the synthesis of 5-acyl-1,2,3-thiadiazoles 14 via a cyclization reaction between enaminones, tosylhydrazine, and elemental sulfur (Scheme 2e). This transition metal-free process provides products in good yields and is compatible with a wide range of functional groups [37].
Scheme 2.
Selected synthetic strategies for 1,2,3-thiadiazole derivatives. (a) Room-temperature synthesis from N-tosylhydrazones and NH4SCN in ethanol; (b) Hurd–Mori cyclization of furan-derived hydrazones; (c) Synthesis of a glycyrrhetinic acid–based 1,2,3-thiadiazole via semicarbazone intermediates; (d) Preparation of 1,2,3-thiadiazole and 1,2,3-selenadiazole triterpenoid derivatives through Hurd–Mori and Lalezari reactions; (e) Metal-free cyclization of enaminones, tosylhydrazine, and sulfur.
2.1. Antibacterial, Antiviral, and Antifungal Activity
1,2,3-Thiadiazoles and their derivatives remain of great interest in both basic and applied research, with a range of biological activities and applications in medicine, agriculture, and materials science. Recent advances in their synthesis methods, along with improvements in efficiency and sustainability, open up new prospects for their development and commercialization in various fields. 1,2,3-Thiadiazole derivatives, which can be synthesized from N-tosylhydrazones and elemental sulfur [37,38,39], are known for their applications in both the pharmaceutical and materials manufacturing fields and exhibit diverse biological activities, including antibacterial, antiviral, antitumor, antifungal, and herbicidal properties as plant growth regulators. These compounds are of particular interest due to their versatility in various industrial and biomedical sectors. A tetrabutylammonium iodide (TBAI)-catalyzed reaction between N-tosylhydrazones and sulfur has been developed, enabling the synthesis of 1,2,3-thiadiazole compounds in moderate to good yields. This metal-free method represents an accessible and efficient alternative for producing thiadiazoles, improving the process known as the Hurd–Mori reaction under mild conditions in the presence of TBAI as a catalyst (Scheme 3a) [38]. The products obtained include compounds such as 4-(thiophen-2-yl)-1,2,3-thiadiazole 15 and 4-(pyridin-2-yl)-1,2,3-thiadiazole 16, which are of particular interest in medicinal chemistry due to their pharmacological properties and potential for the development of new drugs.
Scheme 3.
Recent synthetic methods for 1,2,3-thiadiazole derivatives. (a) TBAI-catalyzed, metal-free synthesis from N-tosylhydrazones and sulfur under mild conditions; (b) Electrochemical, metal- and oxidant-free synthesis of 1,2,3-thiadiazoles from sulfur and N-tosylhydrazones; (c) Formation of 4-phenyl-5-tosyl-1,2,3-thiadiazoles from 2-(p-toluenesulfonyl)-N-tosylhydrazones and S8; (d) Synthesis of bioactive pyrazolyl-1,2,3-thiadiazoles via Hurd–Mori cyclization of pyrazolyl semicarbazones; (e) [3 + 2] Cycloaddition between hydrazones and cyclopentadiene catalyzed by N-trifluorophosphoramide (NTPA), yielding cyclopentapyrazole–thiadiazole hybrids.
Mo et al. reported the importance of a new metal- and oxidant-free electrochemical method for the synthesis of 1,2,3-thiadiazoles 7 from elemental sulfur and N-tosylhydrazones, characterized as a more sustainable alternative method that also reduces the risks associated with traditional methods, which require highly reactive reagents and excessive oxidants (Scheme 3b) [39]. The electrochemical reaction was carried out in a three-necked flask using a cross-linked glassy carbon anode and a platinum cathode, with N-tosylhydrazones, sulfur, and NH4I as catalysts in N,N-dimethylacetamide (DMAC) at 120 °C. The constant current applied was 10 mA for approximately 6 h. Optimization of the reaction conditions enabled yields of up to 85% in the formation of 1,2,3-thiadiazoles 7. Evaluation of the compatibility of different substituents on the N-tosylhydrazones revealed that electron-donating groups favored higher yields. This development represents a significant advance in green synthetic chemistry, offering an efficient and safe route to produce these compounds. 1,2,3-Thiadiazoles could be obtained using simple, commercially available substrates and I2 and CuCl2 as promoters [40]. The compound 4-phenyl-1,2,3-thiadiazole 7 was obtained in 75% yield, demonstrating the versatility of the method and allowing its application to a wide range of substrates, with yields ranging from 71% to 89%. Compounds such as 4-phenyl-5-tosyl-1,2,3-thiadiazole 17, have been reported as an intermediate of great relevance in organic chemistry [40]. Recently, an efficient method for the synthesis of 17 from 2-(p-toluenesulfonyl)-N-tosylhydrazones with S8 was reported (Scheme 3c). The results showed yields of 24–65% for the desired products, with a significant improvement in selectivity upon adjusting the reaction conditions. This study demonstrated that the reaction is compatible with a wide range of functional groups [41].
Pyrazolyl-1,2,3-thiadiazole derivatives 18 are compounds with a broad spectrum of biological activities, including antibacterial, antiviral, anticancer, fungicidal, herbicidal, and neuroprotective properties. The synthesis of 18 was carried out by a reaction between pyrazolyl phenylethanones and semicarbazide hydrochloride in the presence of sodium acetate and methanol, to form semicarbazones, which were then subjected to cycloaddition with thionyl chloride under Hurd–Mori conditions (Scheme 3d) [42]. Several pyrazolyl-1,2,3-thiadiazole derivatives were obtained with yields ranging from good to excellent [42]. The development of novel cyclopentapyrazoles containing a 1,2,3-thiadiazole ring, with applications as antifungal agents via [3 + 2]-cycloaddition reaction between hydrazones and cyclopentadiene, using an N-trifluorophosphoramide (NTPA) catalyst, allowed the preparation of compound 19 (Scheme 3e). Optimization of the reaction conditions, including time, temperature, and solvent, resulted in a remarkable yield of the products, characterized by outstanding antifungal activity, notably when compounds 19 and (4-methyl-1,2,3-thiadiazol-5-yl)(3-propyl-3,3a,4,6a-tetrahydrocyclopenta[c]pyrazol-1(2H)-yl)methanone were combined, which showed 100% inhibition against Botrytis cinerea. EC50 values of 6.37 μg/mL and 13.85 μg/mL were obtained for B. cinerea and Fusarium culmorum, respectively. These results underscore the potential of cyclopentapyrazoles as effective fungicidal agents, warranting further study in their development [43].
Regarding 4-substituted-4H-[1,2,3]thiadiazolo [5,4-b]indole derivatives 20, Belskaya et al. reported an efficient synthetic route to these compounds (Scheme 4a), which exhibit potential antiproliferative activity, suggesting their potential application in cancer treatment. The proposed oxidative cyclization method constitutes a more efficient and versatile alternative than the classical Wolff–Barley method for the synthesis of N-substituted 4H-1,2,3-thiadiazolo [5,4-b]indoles 20. Starting from 3-hydrazonoindoline-2-thiones, oxidation with halogenated agents (NCS, bromine, or iodine) afforded 4H-[1,2,3]thiadiazolo [5,4-b]indoles in high yields (70–91%) as single, well-defined products. Furthermore, [1,2,3]thiadiazolo[5,4-b]indol-2-ium intermediate salts were isolated, confirming the proposed mechanism of thiadiazole ring formation via intramolecular attack and subsequent elimination of the ester group. Subsequently, it was demonstrated that 4H-[1,2,3]thiadiazolo[5,4-b]indoles can be selectively functionalized at the nitrogen atom of the indole ring, by alkylation, acylation, and sulfonylation reactions, to generate a series of N-substituted 4H-1,2,3-thiadiazolo[5,4-b]indoles 20 in good yields. These results confirm the efficacy, selectivity, and applicability of the new synthetic approach for the preparation of potentially bioactive thiadiazoloindole heterocycles. A key feature of this approach is its smooth execution, yielding the target compounds in excellent isolated yields (70–91%), offering a significant advantage over previously reported methods [44].
Scheme 4.
Synthetic approaches to fused and functionalized 1,2,3-thiadiazole derivatives. (a) Oxidative cyclization of 3-hydrazonoindoline-2-thiones with halogenating agents (NCS, Br2, I2) to yield 4-substituted-4H-[1,2,3]thiadiazolo[5,4-b]indoles; (b) Base-dependent cyclization of 2-cyanothioacetamides with sulfonyl azides leading selectively to 1,2,3-thiadiazoles or 1,2,3-triazoles; (c) Chemical structures of biologically active compounds 23 and 24.
Compounds obtained from the reaction of azides with 2-cyanothiacetamides have demonstrated a wide range of applications in medicinal chemistry, such as bioconjugates, chemosensors, and materials chemistry. These compounds (which include derivatives of 1,2,3-triazoles 21 obtained via intramolecular cyclization, and thiadiazoles 22 obtained via intermolecular cyclization) were synthesized with yields ranging from 57% to 93%. The results obtained demonstrated that the synthesis of 1,2,3-triazoles or 1,2,3-thiadiazoles from 2-cyanothioacetamides and sulfonyl azides depends strongly on the reaction conditions, in particular the type and amount of base used, as well as the nature of the solvent. It was observed that the use of nitrogenous bases (pyridine, triethylamine, DBU) in aprotic media or in ethanol results in the exclusive formation of 1,2,3-thiadiazoles in good yields (69–90%). In contrast, the use of a strong base, such as sodium ethoxide, in an ethanolic medium allows directing the reaction towards 1,2,3-triazoles. A high amount of sodium ethoxide and low temperatures (−10 °C) favor the production of 1,2,3-triazoles in high yields (up to 83%), avoiding significant formation of (E)-5-substituted-N’-tosyl-1,2,3-thiadiazole-4-carboximidamide side products. Kinetic and NMR follow-up studies confirmed that 1,2,3-triazoles are generated from intermediate 1,2,3-thiadiazoles, suggesting a sequential conversion under strongly basic conditions. This method is presented as an efficient and economical alternative to producing these compounds, expanding the available routes in organic chemistry and potentially favoring their use in various technological and biomedical applications (Scheme 4b) [45].
Compounds containing the 1,2,5-thiadiazole ring exhibit a wide variety of biological activities because this heterocycle acts as a hydrogen bonding domain and a two-electron donor system, in addition to constituting a structurally restricted pharmacophore. In this context, the compound 2-((2-hydroxy-3-((4-morpholino-1,2,5-thiadiazol-3-yl)oxy)propyl)amino)-2-methylpropan-1-ol maleate 23 demonstrated the biological potential of this class of compounds. This compound exhibited a crystalline nature and showed in vitro antibacterial activity, along with a slight capacity for DNA cleavage. Molecular docking, ADMET, and molecular dynamics studies revealed strong interactions of 23 with the target 3IVX (docking score of −8508 kcal/mol), superior to those of the control, ciprofloxacin (−3879 kcal/mol). Furthermore, in silico analysis predicted that the compound is non-carcinogenic and non-toxic according to the Ames test, with an estimated human oral absorption of 69.639%. In microbiological assays, it exhibited moderate inhibition against Mycobacterium tuberculosis (MIC = 25.00 µg/mL) and moderate activity against Staphylococcus aureus, Bacillus spp., Klebsiella pneumoniae, and Escherichia coli. These results support the potential of the 1,2,5-thiadiazole ring for the development of new antimicrobial agents with improved pharmacological profiles [46]. Furthermore, carbamate derivatives of 1,2,5-thiadiazoles have demonstrated significant activity as inhibitors of the enzyme α/β-hydrolase domain 6 (ABHD6), a relevant therapeutic target in inflammatory processes and metabolic disorders. 4-Morpholino-1,2,5-thiadiazol-3-yl cyclooctyl(methyl)carbamate 24 was identified as a potent and irreversible inhibitor of hABHD6, with an IC50 value of 44 nM and an approximate 230-fold selectivity over FAAH and LAL enzymes. Furthermore, activity-based protein profiling assays indicated that 24 exhibits high selectivity for serine hydrolases in the murine brain membrane proteome. These properties confirm that 1,2,5-thiadiazole derivatives can serve as a basis for the design of novel, selective ABHD6 inhibitors with potential applications in the treatment of obesity and type II diabetes [47].
2.2. Antitumoral and Anticancer Activity
5-Aryl-4-(4-arylpiperazine-1-carbonyl)-1,2,3-thiadiazole 25 derivatives have demonstrated potential applications as microtubule-destabilizing agents in anticancer activity (Scheme 5a).
Scheme 5.
Synthetic routes and representative structures of 1,2,3-thiadiazole derivatives with potential anticancer activity. (a) Design and synthesis of XRP44X analogs 25 as microtubule-destabilizing agents; (b) preparation of DHEA-based thiadiazole derivatives 26 with potential antitumor properties; (c) synthesis of 1,2,3-thiadiazol-4-carbimidamides 27 via thioamide–azide coupling; (d) synthesis of 4-benzyl-6-(5-phenyl-1,2,3-thiadiazol-4-yl)benzene-1,3-diol 28 as a selective Hsp90 inhibitor.
Wang et al. focused their experiments on the design and synthesis of new XRP44X analogs, which are considered microtubule-destabilizing agents relevant to cancer therapy. Structural modifications were performed starting from the structural model of 25 (Scheme 5a), and their antiproliferative activities were evaluated using MTT assays in various cancer cell lines, including SGC-7901, A549, and HeLa. In addition, tubulin polymerization experiments and immunofluorescence analysis were conducted to investigate the effects on microtubule dynamics. The main results indicate that some compounds exhibited potent antiproliferative activities, with an IC50 value of 0.092 ± 0.005 μM against the HeLa cell line. This compound also inhibited tubulin polymerization and altered microtubule dynamics [48].
Dehydroepiandrosterone (DHEA), which is being investigated for its potential antitumor activity, was used as a precursor for derivatives fused with thiadiazoles 26, which could have applications in cancer therapy. Acetylation reactions and thiadiazole formation using DHEA and other reagents under controlled conditions, such as a nitrogen atmosphere and specific temperatures (Scheme 5b). The biological activity of some of these compounds was evaluated, revealing notable antitumor potential [49]. Filimonov et al. reported reactions of thioamides with azides in aqueous media to yield 1,2,3-thiadiazol-4-carbimidamides 27 and 1,2,3-triazole-4-carbothioamides through a one-step, atom-economical, and environmentally friendly process [50]. Finally, 4-benzyl-6-(5-phenyl-1,2,3-thiadiazol-4-yl)benzene-1,3-diol 28 was obtained and is being investigated as an isoform-specific inhibitor of Hsp90, with significant potential for cancer treatment—a novel approach to the synthesis of selective Hsp90 inhibitors was discussed. The synthesis was carried out in several steps, starting with the Friedel–Crafts acylation of 1,3-benzenediol, followed by the reduction of the carbonyl groups, formation of hydrazones, and finally Hurd–Mori cyclization to obtain the thiadiazoles (Scheme 5d). Compounds were synthesized in moderate to good yields and that they exhibited promising potential to be evaluated as Hsp90 inhibitors, which could have significant implications in cancer therapy [51].
Li et al. reported the reaction of N-tosylhydrazones with sulfur to afford 1,2,3-thiadiazoles. N-tosylhydrazones can be readily prepared from p-toluenesulfonhydrazide and ketones, making this an accessible route to the synthesis of organic compounds. The reaction between N-tosylhydrazones and sulfur was carried out under optimized conditions using I2 as a catalyst in DMSO (Scheme 6a). The main results show yields ranging from 70% to 97% for the formation of the desired products, demonstrating the method’s high efficiency and applicability at the gram scale. The synthesized compound 29 acted as a neuroprotective reagent and was obtained in 85% yield [52].
Scheme 6.
Synthetic approaches to 1,2,3-thiadiazole and 1,2,3-selenadiazole derivatives. (a) Iodine-catalyzed reaction of N-tosylhydrazones with elemental sulfur in DMSO; (b) Synthesis of 1,2,3-thiadiazole 30 via treatment of hydrazone intermediates with thionyl chloride, and preparation of 1,2,3-selenadiazole 31 through condensation of methylglyoxal with semicarbazide.
Three 1,2,3-thiadiazole and 1,2,3-selenadiazole derivatives 30 and 31 were synthesized via the conversion of the corresponding ketone to hydrazone intermediates. The 1,2,3-thiadiazole derivative 30 was produced by treating hydrazone with thionyl chloride, and 1,2,3-selenadiazole derivative 31 was synthesized starting from methylglyoxal, which was transformed into methylglyoxal bis(semicarbazone) 32 through condensation with semicarbazide. The selenadiazole 31 was then obtained by reacting 32 with selenium dioxide in glacial acetic acid (Scheme 6b). These compounds were evaluated for their antimicrobial and antitumor activities, demonstrating significant action against various pathogens. Compounds 30 (a propenoxide derivative) and 31 (a carbaldehyde derivative) showed activity against the fungus Candida albicans, while 30 also showed effectiveness against the Gram-negative bacterium Escherichia coli. Regarding antitumor activity, compound 31 showed activity against several tumor cell lines, including SW480, HCT116, C32, MV3, HMT3522, and MCF-7. The results suggest that 1,2,3-thiadiazole and 1,2,3-selenadiazole derivatives have significant potential as antimicrobial and antitumor agents. However, further investigation is required to understand the cellular mechanisms underlying their cytotoxic activity. This breakthrough is particularly relevant given the growing problem of antibiotic resistance and the need for new therapeutic agents in the fight against cancer [53].
2.3. New Therapeutic and Pharmaceutical Agents
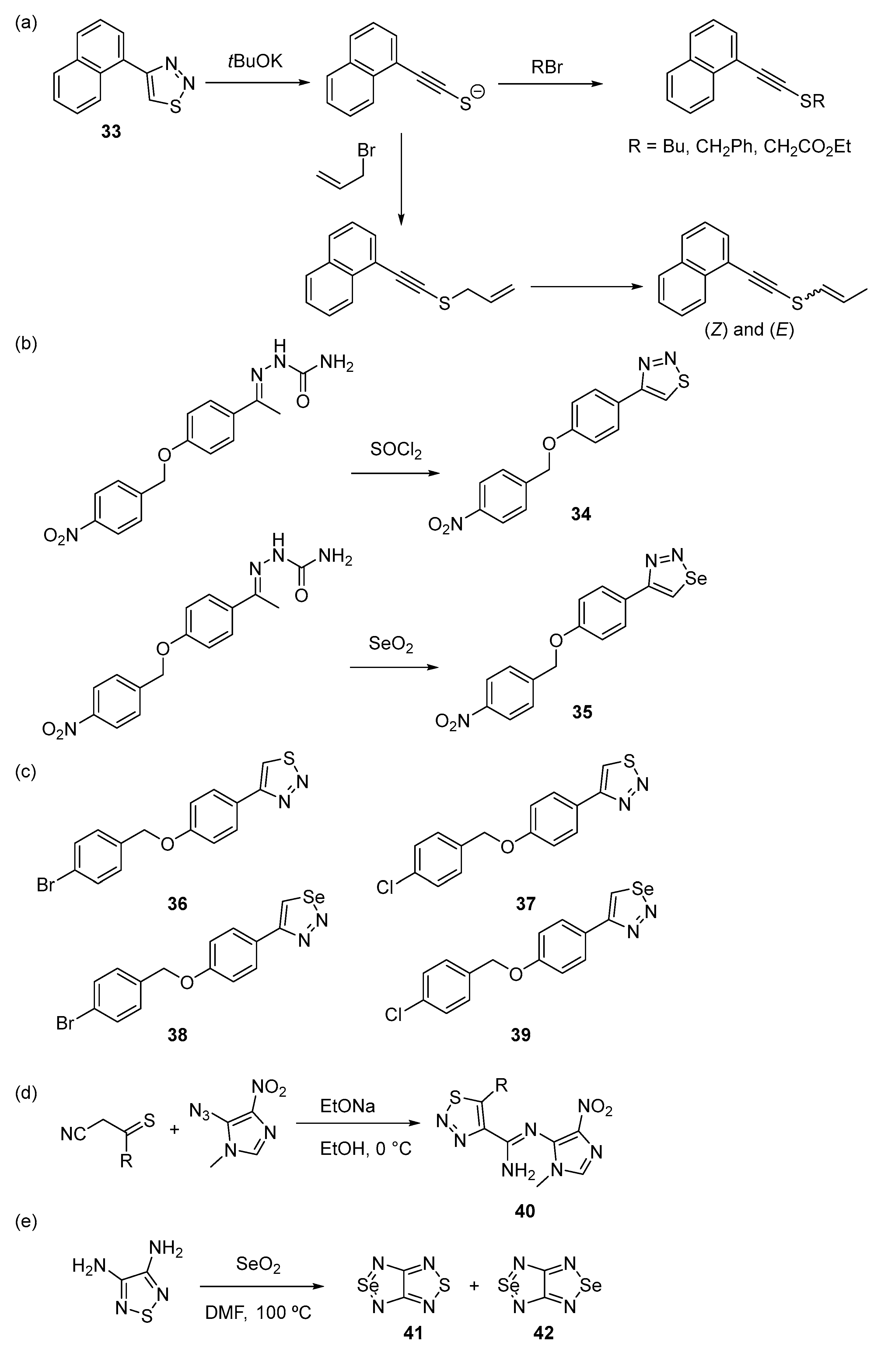
4-Phenyl-1,2,3-thiadiazole-type compounds have been known for their significant applications in the pharmaceutical industry and as intermediates in the synthesis of various organic compounds. A novel method for the synthesis of 1-naphthylacetylene sulfides by the decomposition of 4-(1-naphthyl)-1,2,3-thiadiazole 33 with potassium tert-butoxide in THF was reported by Yekhlef (Scheme 7a), demonstrating its use as an affordable precursor [54]. This compound was obtained from 1-naphthylmethylketone by treating its ethoxycarbonylhydrazone with thionyl chloride. When 4-(1-naphthyl)-1,2,3-thiadiazole 33 was treated with potassium tert-butoxide in anhydrous THF, it readily decomposed with the evolution of nitrogen to yield potassium 2-(1-naphthyl)ethynethiolate. Subsequent alkylation of the reaction mixture with an excess of alkyl halide produced butyl, benzyl, and ethylacetyl 2-(1-naphthyl)-1-ethynyl sulfides. Alkylation of potassium 2-(1-naphthyl)ethynethiolate with an excess of allyl bromide afforded a mixture of Z- and E-isomers of 2-(1-naphthyl)-1-ethynyl-1-propenylsulfide.
Scheme 7.
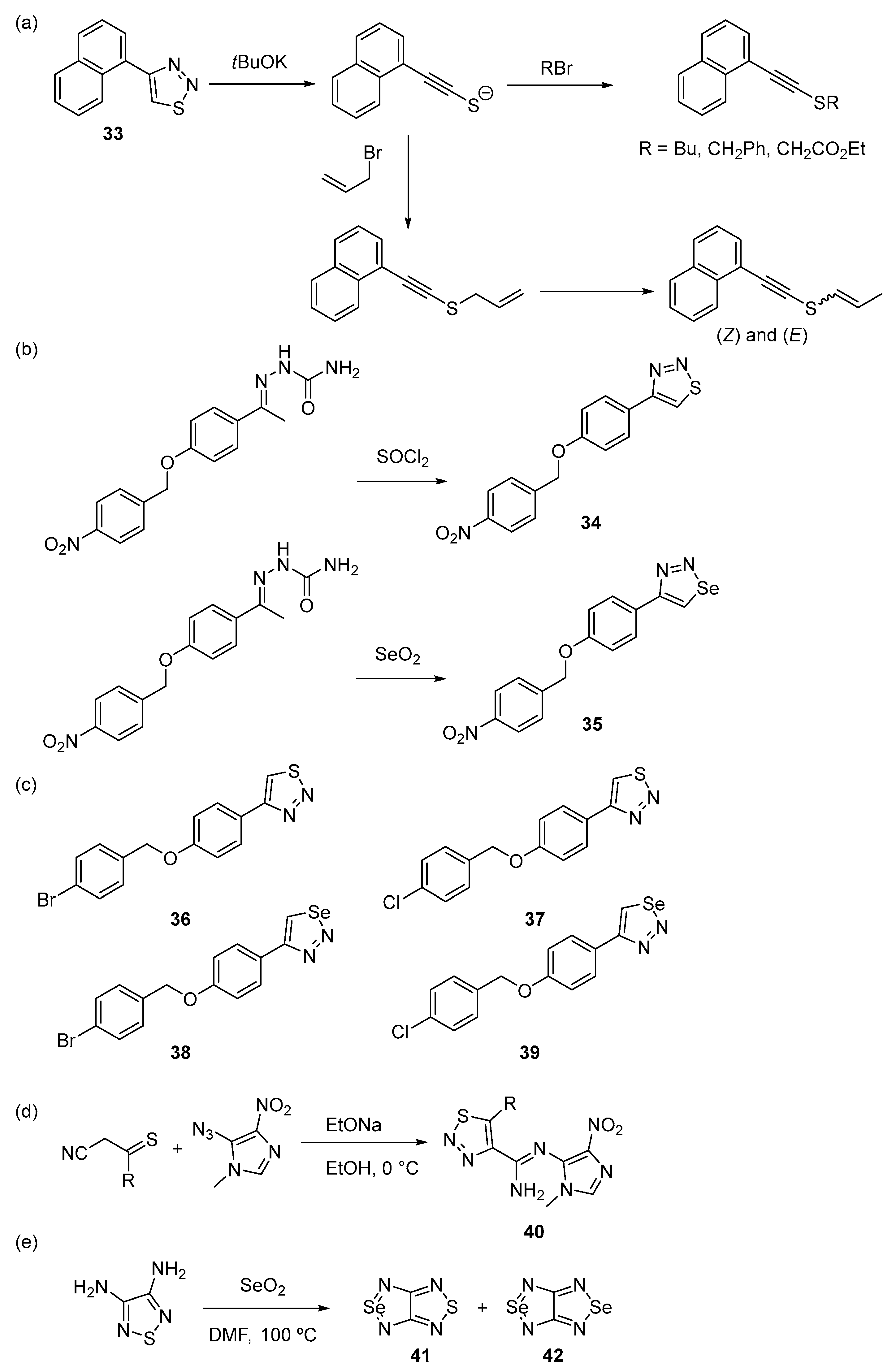
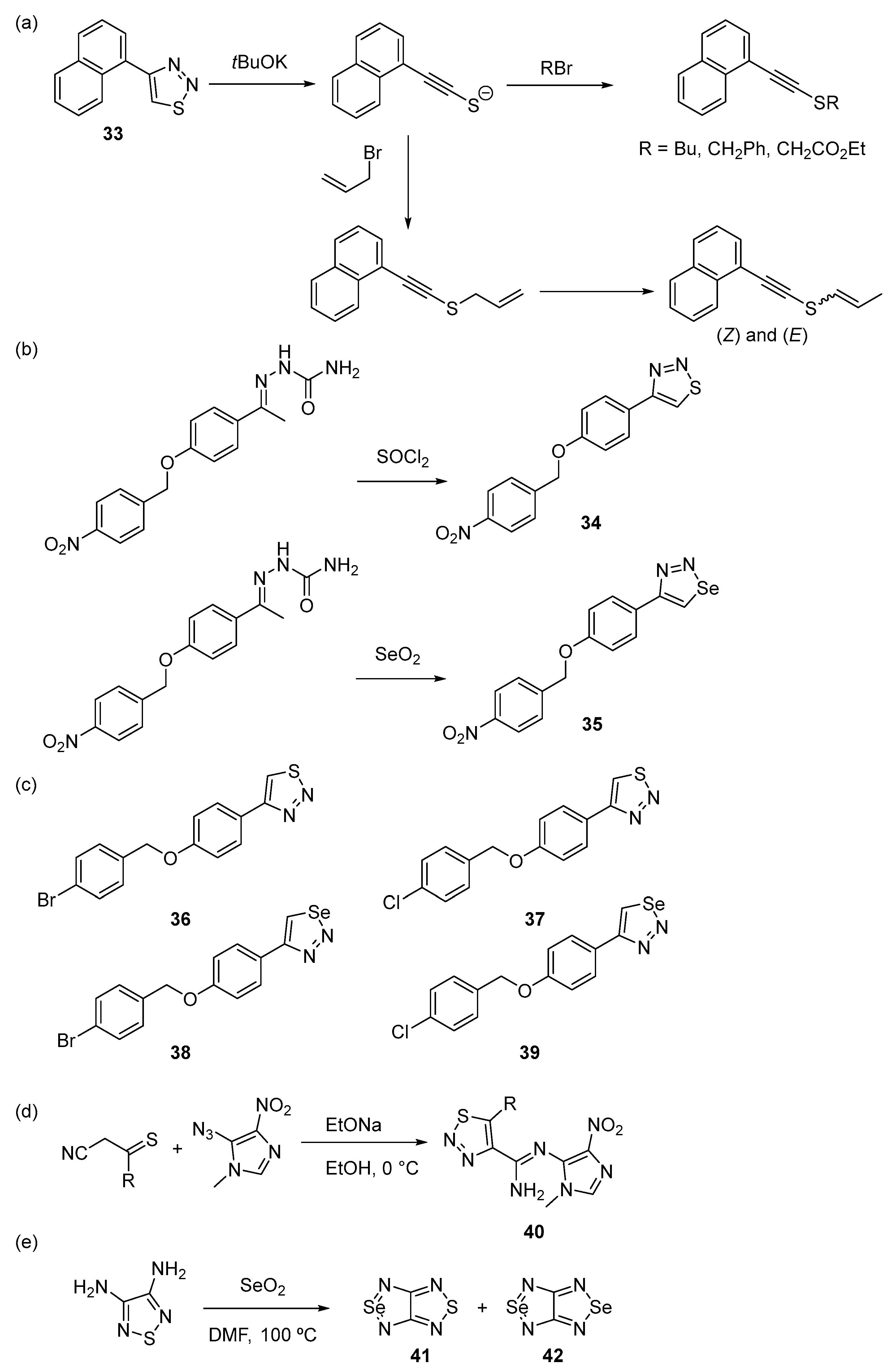
Synthetic methodologies involving 1,2,3- and 1,2,5-thiadiazole/selenadiazole derivatives. (a) Use of 4-(1-naphthyl)-1,2,3-thiadiazole 33 as precursor of 1-naphthylacetylene sulfides; (b) Preparation of compounds 34–35; (c) Chemical structures of compounds 36–39; (d) Synthesis of amidines 40 containing thiadiazole–triazole frameworks by reaction of thiocetamide with azides; (e) Conversion of 1,2,5-thiadiazoles into 1,2,5-selenadiazoles 41–42 via reaction with SeO2.
Compounds such as 34 and 35 demonstrated broad-spectrum activity, including the ability to combat Pseudomonas aeruginosa infections. This research highlights the usefulness of 1,2,3-thiadiazole and 1,2,3-selenadiazole derivatives as potential antibacterial agents, suggesting the need for further studies to optimize their efficacy in clinical applications [55]. New 1,2,3-thiadiazole and 1,2,3-selenadiazole derivatives, including 4-[4-((4-bromobenzyl)oxy)-phenyl]-1,2,3-thiadiazole 36, 4-[4-((4-chlorobenzyl)oxy)-phenyl]-1,2,3-thiadiazole 37, 4-[4-((4-bromobenzyl)oxy)-phenyl]-1,2,3-selenadiazole 38, and 4-[4-((4-chlorobenzyl)oxy)-phenyl]-1,2,3-selenadiazole 39 (Scheme 7c), were synthesized and evaluated in vitro for their antimicrobial activity against various pathogenic bacterial strains, showing notable efficacy against both Gram-positive and Gram-negative bacteria, with particular emphasis on compounds 37 and 38. Furthermore, compounds 36 and 38 were evaluated for in vivo genotoxicity in rats by measuring 8-hydroxy-2′-deoxyguanosine (8-OHdG), a marker of DNA damage. The results showed that compound 38 significantly reduced urinary 8-hydroxy-2′-deoxyguanosine levels by 50.2%, indicating low genotoxicity, whereas 36 increased such levels. In terms of toxicity, the median lethal dose (LD50) values for both compounds were greater than 5000 mg/kg body weight, indicating a suitable safety profile. These findings suggest that 1,2,3-thiadiazole and 1,2,3-selenadiazole derivatives, with their potent antimicrobial activity and low toxicity, could have great potential as antibiotic agents, opening the door to their future therapeutic application in the treatment of bacterial infections [56].
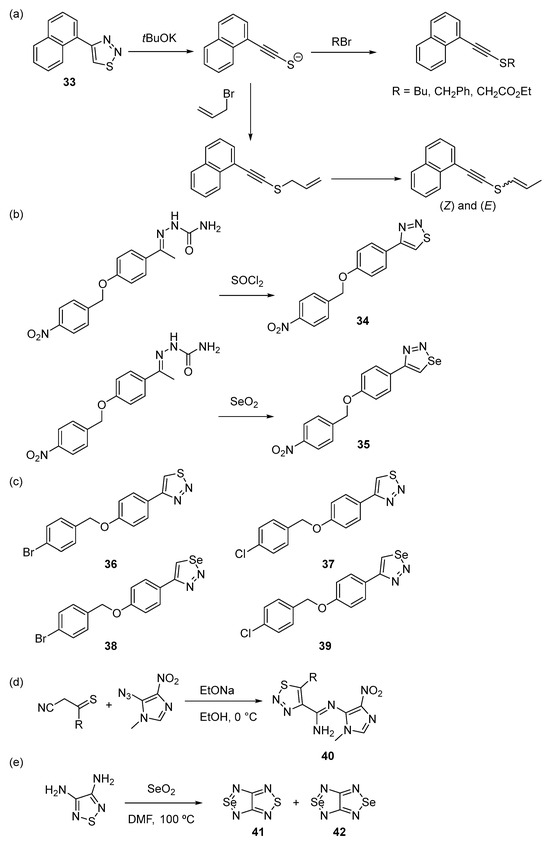
Belyaev reported an innovative and efficient method for synthesizing amidines 40, which combine thiadiazole and triazole structures and could contribute to the development of new bioactive compounds. The synthesis was carried out by dissolving sodium in absolute ethanol, then adding thiocetamide and azide. The resulting mixture was kept at 0 °C for a specified time, then filtered and the final product purified (Scheme 7d). The results indicated that the reaction between the precursors yielded amidines with yields of 58–76%. The described method represents an atom-efficient strategy for the synthesis of novel heterocyclic compounds [57]. 1,2,5-Selenadiazoles could be obtained from 1,2,5-thiadiazoles by reaction with selenium dioxide (Scheme 7e). Konstantinova et al. reported that 1,2,5-thiadiazoles fused with electron-withdrawing heterocycles, such as 1,2,5-thiadiazole, 1,2,5-selenadiazole, quinoxaline, and thiadiazolopyrazine, did not react with SeO2 in common organic solvents such as chloroform, benzene, THF, ethanol, or 1,4-dioxane, under reflux. However, in dimethylformamide (DMF), the reaction was initiated at 80–100 °C, and after prolonged heating, the corresponding mono- and bis-1,2,5-selenadiazoles (41–42) were obtained in good yields [58].
3. Applications in Agriculture
Compounds such as 5-(4-methyl-1,2,3-thiadiazol-5-yl)-1,3,4-oxadiazole-2-thiol 43 and derivatives 44 (Scheme 8a) have been evaluated for their herbicidal activity, demonstrating significant effects against species such as Brassica campestris and Echinochloa crusgalli [59].
Scheme 8.
Synthetic strategies for multifunctional 1,2,3-thiadiazole-based derivatives. (a) Preparation of 5-(4-methyl-1,2,3-thiadiazol-5-yl)-1,3,4-oxadiazole-2-thiol 43 and related derivatives 44; (b) Synthesis of 4-methyl-1,2,3-thiadiazole-5-carboxaldehyde benzoyl hydrazones 45 through condensation of corresponding aldehydes with substituted benzoyl hydrazides; (c) Solid–liquid phase-transfer catalyzed synthesis of N-(substituted phenyl)-N′-(4-methyl-1,2,3-thiadiazol-5-yl)thioureas 46 using PEG-600 as a catalyst; (d) Synthesis of benzo-1,2,3-thiadiazole-7-carboxylic acid derivatives 47; (e) Preparation of (E)-β-farnesene analogues 48 through amide coupling between thiadiazole-5-carboxylic acids and substituted amines; (f) Metal-free synthesis of densely functionalized 1,2,3-thiadiazoles 49 via an intermolecular [3 + 2] heterocyclization; (g) Construction of 5-(4-cyclopropyl-5-((3-fluorobenzyl)thio)-4H-1,2,4-triazol-3-yl)-4-methyl-1,2,3-thiadiazole 50 from ethyl 4-methyl-1,2,3-thiadiazole-5-carboxylate.
The combination of the heterocyclic rings of 1,2,3-thiadiazole and 1,3,4-oxadiazole in a single compound presents new opportunities for designing bioactive agents with potential agricultural applications. These results constitute an effective synthetic strategy that stands out not only for its efficiency but also for the diverse possible applications of the obtained compounds in the pharmaceutical and agricultural fields. The combination of conventional and microwave-assisted methodologies for synthesizing these compounds demonstrates a modern and practical approach that can be replicated in future research on bioactive compounds and their applications in crop protection and drug therapies. To identify new lead compounds with high biological activity, a series of 4-methyl-1,2,3-thiadiazole-5-carboxaldehyde benzoyl hydrazone 45 was designed and synthesized (Scheme 8b). Preliminary biological assay results showed that the compounds exhibit moderate to high fungicidal activity in vitro against six fungal species at 50 μg/mL. Furthermore, some of the compounds demonstrated significant curative activity against tobacco mosaic virus (TMV) in vivo at 500 μg/mL. A structure-activity relationship analysis for the compounds against Valsa mali revealed that those derivatives containing a halogen at the para position of the phenyl ring showed the best activity, with compound (R = 2,4-diCl), being particularly noteworthy, displaying a broad spectrum of fungicidal activity against various pathogens, including V. mali, Botrytis cinerea, Pythium aphanidermatum, Rhizoctonia solani, Fusarium moniliforme, and Alternaria solani, with EC50 values of 8.20, 24.42, 15.80, 40.53, 41.48, and 34.16 μg/mL, respectively. This study highlights the potential of 4-methyl-1,2,3-thiadiazole derivatives as antifungal and antiviral agents. It suggests that these compounds could help develop new treatments for fungal and viral diseases in plants, with applications in both medicine and agriculture [60]. N-(substituted-phenyl)-N’-(4-methyl-1,2,3-thiadiazole-5-yl)-thiourea-type compounds 46 have demonstrated applications in agriculture as pesticides and plant growth regulators. The synthesis was carried out via solid–liquid phase-transfer catalysis using PEG-600 (Scheme 8c), and the compounds were evaluated for their biological activities. Some showed moderate fungicidal activity and low growth-regulating activity in cucumber cotyledons. These results suggest that although the compounds have moderate potential as pesticides, further research is needed to optimize their biological efficacy, particularly for crop protection [61]. Another report presented the design and synthesis of a series of novel pyrazole oxime derivatives incorporating a 1,2,3-thiadiazole moiety. The synthesis was accomplished through a sequence of chemical transformations, including condensation reactions, reductions, and chlorinations. The resulting compounds exhibited remarkable insecticidal and acaricidal efficacy against Plutella xylostella and Tetranychus cinnabarinus, as well as notable antitumor activity [62]. These findings suggest that the new derivatives exhibit broad-spectrum bioactivity and hold considerable potential for applications in both agricultural and pharmaceutical fields.
To establish biochemical technology for inducing the production of valuable secondary metabolites, a new family of non-natural elicitors, 47, derived from the plant activator benzo-1,2,3-thiadiazole-7-carboxylic acid, was designed and synthesized (Scheme 8d). These synthetic elicitors demonstrated potent induction activity in taxoid biosynthesis in Taxus chinensis cell cultures. Among the compounds evaluated, benzo-1,2,3-thiadiazole-7-carboxylic acid 2-(2-hydroxybenzoxyl)ethyl ester was significantly more effective than methyl jasmonate, previously considered the most potent chemical elicitor in this context, increasing the content and production of taxuyunnanine C by almost 40%. This family of novel elicitors induced defense responses in plants, including elevated H2O2 levels from the oxidative burst and activation of phenylalanine ammonia-lyase, which closely correlated with the remarkable stimulation observed in T. chinensis cell cultures. The obtained results suggested that the synthesized benzothiadiazoles may constitute a new class of elicitors capable of enhancing taxoid biosynthesis in plant cells, with potential implications for producing bioactive compounds of pharmaceutical interest [63]. In a related context, 15 (E)-β-farnesene analogues were obtained, among which compounds such as N-((E)-3,7-dimethyl-2,6-octadien-1-yl)-N-(2-naphthyl)-4-methyl-1,2,3-thiadiazole-5-carboxamide 48 (Scheme 8e) stand out, whose primary use is related to their activity as repellent and insecticidal agents, particularly against the aphid Myzus persicae. This offers an alternative to traditional insecticides in agriculture, a key consideration considering the growing concern over pesticide resistance. The main results showed that the synthesized compounds exhibited significant insecticidal activity against M. persicae, with mortality rates varying with compound structure, reaching up to 73.3% in some cases. These results suggested that (E)-β-farnesene analogs with 1,2,3-thiadiazoles have significant potential as pest control agents, contributing to more sustainable and environmentally friendly pest management strategies in agriculture [64]. These results may stem from the development of new compounds with high biological activity, which is crucial for pest control, particularly in the context of insecticide resistance. It is highlighted that the new analogs offer a balance of stability and efficacy, suggesting their potential as repellents and insecticides for controlling aphids, particularly M. persicae. The novel synthesized compounds exhibited superior repellent and insecticidal activity compared to the lead compound, (E)-β-farnesene. Some compounds achieved mortality rates of 80% or higher, indicating their potential utility in pest control. This advance is key in the search for more sustainable and effective alternatives to the challenges of pest management in agriculture [65].
A novel metal-free methodology has been developed for the formal intermolecular [3 + 2] heterocyclization between triethylammonium thioalkylamines and arylhydrazines, using a combination of I2 and O2 as efficient oxidants. This protocol provides concise, cost-effective access to novel, densely functionalized 1,2,3-thiadiazoles 49 (Scheme 8f), with yields ranging from good to excellent. The reaction is notable for its broad substrate spectrum, compatibility with diverse functional groups, mild conditions, and the use of environmentally friendly oxidants, facilitating flexible structural modifications [66]. Moreover, the synthesis of the compound 5-(4-cyclopropyl-5-((3-fluorobenzyl)thio)-4H-1,2,4-triazol-3-yl)-4-methyl-1,2,3-thiadiazole 50 was carried out starting from the key intermediate ethyl 4-methyl-1,2,3-thiadiazole-5-carboxylate (Scheme 8g). This intermediate reacted with hydrazine to give the corresponding carbohydrazide. Subsequently, the compound 5-(4-cyclopropyl-5-((3-fluorobenzyl)thio)-4H-1,2,4-triazol-3-yl)-4-methyl-1,2,3-thiadiazole was prepared by the reaction between a 1,2,4-triazole sulfide and 1-(chloromethyl)-2-fluorobenzene [67]. These compounds have high potential for biological activity studies due to their heterocyclic moieties, which have known pharmacological properties, such as 1,2,3-thiadiazoles and 1,2,4-triazoles, contributing to interactions with specific biological targets. The synthetic flexibility and functional compatibility offered by this methodology facilitate the design of derivatives with potential applications in the development of therapeutic or agrochemical agents.
4. Applications for Electronic Materials and Devices: Semiconductor Polymers, Photovoltaic Materials, and Optoelectronics
The study of functionalized compounds, such as 4,5-disubstituted 1,2,3-thiadiazoles, has gained relevance due to their diverse applications in medicine and agriculture, including their antibacterial, antiviral, and fungicidal properties. In this context, Mazur et al. reported a significant development by offering a reliable method for the identification and quantification of isomers by mass spectrometry, a crucial technique for the rapid differentiation of isomeric compounds [68]. 4,5-Functionalized derivatives of 1,2,3-thiadiazoles were studied by positive-mode electrospray ionization mass spectrometry (+ESI–MS/MS). The dominant fragmentation of the protonated derivatives involves the loss of N2, generating the [MH-N2]+ ion, which then loses SO2, sulfonylaryl radicals, or NH3, giving rise to characteristic fragments (m/z 183, 182, 166, among others). Intermediate thirene- or isothiazole-type structures were proposed for this ion, the latter being the most stable. The presence of these fragment ions is consistent across aromatic substituents, and it was confirmed that the fragmentation pathway does not change significantly with different amino groups at the 5-position. The specific fragments allow for easy identification of 1,2,3-thiadiazoles in (+)ESI–MS/MS spectra. In negative mode (−)ESI–MS/MS), the fragments are concentrated in the sulfonylaryl group, without providing clear information about the thiadiazole nucleus. Furthermore, under favorable conditions, 1,2,3-triazoles can be converted to 1,2,3-thiadiazoles, mimicking a condensed-phase reaction, although the reverse conversion could not be confirmed. The initial loss of N2 and the subsequent fragmentation pathways provide a clear template for identifying and studying 1,2,3-thiadiazoles by mass spectrometry [68]. Isomeric derivatives of 1,2,3-thiadiazoles with different amino groups at the 5-position (piperidinyl, pyrrolidinyl, morpholinyl, N,N-dimethylamino) and substituted sulfonyl groups (methyl, ethyl, 4-methylphenyl) were studied by (+)ESI-MS/MS mass spectrometry. The main fragmentation of the protonated 1,2,3-thiadiazoles involves the initial loss of N2, followed by cleavages at the sulfonylaryl group, generating characteristic ions. Substitution of the amino group at the 5-position does not significantly affect the fragmentation pattern, although derivatives with N,N-dimethylamine present simpler spectra due to lower fragmentation at the cyclic amine. Varying the sulfonyl substituent (alkyl or aryl) does not substantially change the fragmentation pathways; the loss of N2 and related fragments is maintained. Specific fragments (m/z 183, 182, 154, 150) confirm the structure of thiadiazoles and their stability. IRMPD spectroscopy combined with DFT calculations identified that the resulting ions after N2 loss adopt (more stable) isothiacazole rather than thirene structures, confirming previous theories. In negative (−)ESI-MS/MS mode, the charge is concentrated on the sulfonylaryl fragment, with no clear evidence of transformation of thiadiazoles to triazoles. However, the fragmentation showed common features suggesting a possible, but unconfirmed, partial isomerization. The loss of N2 and the subsequent fragmentation pathways are key to identifying and characterizing 1,2,3-thiadiazoles, while IRMPD spectroscopy confirms the nature of their main fragments [69].
Benzo[d][1,2,3]thiadiazole 51 (isoBT) and its halogenated derivatives, such as 6-fluoro-isoBT 52 and 5,6-difluoro-isoBT 53 (Figure 2), are described as a relevant material for the fabrication of semiconductor polymers for organic devices, including transistors, solar cells, photodetectors, and thermoelectric devices. IsoBT-derived polymers exhibit high charge mobilities and high-power conversion efficiencies in solar cells, positioning them as promising materials in the field of organic electronics [70]. The synthesis and structural characterization of 51 and its derivatives, as well as their use as building blocks for the fabrication of semiconducting polymers for organic electronic applications, were reported. The syntheses of 51 and its halogenated derivatives were followed by the characterization of the obtained compounds and polymers using techniques such as single-crystal and thin-film X-ray diffraction. Organic field-effect transistor (OTFT) devices and heterojunction solar cells (BHJ-OSC) were fabricated to evaluate the materials’ performance. The results showed that isoBT-based polymers achieved charge mobilities above 0.7 cm2 V−1 s−1 in OTFTs and conversion efficiencies of up to 9% in solar cells. Furthermore, fluorine functionalization was observed to enhance intermolecular interactions and structural organization, thus optimizing the device’s performance. The synthesis of 4,7-dibromobenzo[d][1,2,3]thiadiazole 54 from 2-aminobenzenethiol via a nitrosation reaction followed by an intramolecular cycloaddition was described. This compound is a key building block for photovoltaic materials and other organic electronic devices. This less-studied isomer of benzo[c][1,2,5]thiadiazole 55 was investigated to understand its electrochemical and optical properties. Cross-acyl reactions between 54 and thiophene derivatives were performed to optimize the reaction conditions and enhance the yields. The obtained products, bis(thienyl) compounds, were generated in moderate yields (40–61%). Regarding the optical properties, two absorption maxima were observed in the visible range, indicating intramolecular charge transfer in the compounds [18]. According to the promissory photovoltaic materials synthesis, these materials have applications in areas such as dye-sensitized solar cells, near-infrared organic materials, organic light-emitting diodes (OLEDs), and charge-transfer materials. The synthesis of 4-(7-bromobenzo[d][1,2,3]thiadiazol-4-yl)morpholine 56, a novel compound that may be a valuable precursor for the development of photovoltaic materials, was achieved from 4,7-dibromobenzo[d][1,2,3]thiadiazole and morphine, and the synthetic protocol was carried out in different solvents and conditions, using triethylamine as the base to improve the product’s yield. The main results indicate that the desired compound was obtained in a maximum yield of 83% using DMSO as the solvent and triethylamine as the base. Furthermore, the reaction showed high selectivity, producing only the monosubstituted derivative [71].
Figure 2.
Structures of benzo[d]thiadiazole-containing compounds used in electronic materials.
Recent advances have demonstrated that 1,2,5-thiadiazole units serve as versatile, multifunctional structural elements that enhance the performance of materials in electronics, photonics, catalysis, and sensors, thereby consolidating their status as essential components in the next generation of innovative molecular materials. 1,2,5-Thiadiazoles constitute a family of aromatic heterocycles of great relevance in the design of functional materials due to their electron-withdrawing nature, their ability to modulate electronic and optical properties, and their remarkable chemical stability. Their versatility has allowed their incorporation into molecular and supramolecular architectures with applications in organic electronics, photonics, catalysis, and energy storage. A prominent example of the use of 1,2,5-thiadiazole units in electrochromic materials was reported by Wu and Li, where indene and benzothiadiazole units 57 were incorporated into the central pyrrole ring of a poly(thienylpyrrole) chain, yielding the polymers PDIT and PBDTA, along with their copolymers P(DIT-co-DTP) and P(BDTA-co-DTP). These electrochemically synthesized materials exhibited multicolor electrochromism (yellow, green, and blue) with high ΔTmax values (45.3% at 1314 nm and 43.5% at 930 nm) and superior coloration efficiencies (up to 504.6 cm2 C−1) in electrochromic devices (ECDs), while also displaying excellent electrochemical stability. These results demonstrate the potential of benzothiadiazoles as building blocks in π-conjugated polymers for advanced optoelectronic devices [72]. The introduction of terminal 1,2,5-thiadiazole groups has also been explored in dimerized acenic systems 58. Using a one-pot protocol, layered electron acceptors (D1–D4) with 1,2,5-thiadiazole groups at the ends were obtained. Their crystal structures revealed a strong dependence of the photophysical and electrochemical properties on the conjugation length and molecular geometry. These compounds exhibited phenomena such as aggregation-induced emission (AIE) and intramolecular excimer emission (IEE), demonstrating the potential of thiadiazoles in the design of heteroacenes with emission and solid-state luminescent materials [73]. Charge-transfer (CT) complexes incorporating donor (D) and acceptor (A) units based exclusively on 1,2,5-thiadiazoles represent an innovative approach to generate materials with tunable electronic properties. CT complexes formed between 4-amino-2,1,3-benzothiadiazole 59 and acceptor derivatives such as 4,6-dinitro-2,1,3-benzothiadiazole 60 or [1,2,5]thiadiazolo [3,4-c][1,2,5]thiadiazole 61 were reported and characterized by XRD and UV-Vis spectroscopy. DFT and QTAIM studies revealed charge-transfer values up to 0.150 e and CT bands between 517 and 705 nm, indicating an intense donor–acceptor interaction mediated by hydrogen bonding and dispersion forces. These results consolidate the role of the 1,2,5-thiadiazole core as a dual electronic (D/A) module in the design of molecular materials with tunable optoelectronic properties [74].
The potential of 1,2,5-thiadiazoles extends to molecular catalysis. The complex [Bz-1-MeIm]2[Ni(tdas)2] (where tdas = 1,2,5-thiadiazole-3,4-dithiolate 62), demonstrated outstanding activity in the electrocatalytic hydrogen evolution [75]. Electrochemical studies revealed two reversible redox couples (0.30 and −1.90 V vs. Ag/AgNO3) associated with the Ni3+/Ni2+ and Ni2+/Ni+ couples, and a marked catalytic activity in the presence of protons. In a neutral aqueous medium, the complex reached a TOF of 772.85 mol H2·mol−1·h−1 and a TOF of 1545.7, with a Faradaic efficiency of ≈101%, highlighting its superior performance compared to other Ni complexes under similar conditions. These properties are attributed to the high coordination and electron transfer capacity of the thiadiazolate ligand.
In the field of porous materials, the use of 1,2,5-thiadiazole-3,4-dicarboxylic acid 63 allowed the production of a red-luminescent europium microporous MOF, {[Eu2(H2O)L3]·3H2O}n, with excellent luminescent sensitivity towards nitrofuran antibiotics such as nitrofurantoin and nitrofurazone, showing high selectivities and response times less than 6 s. Furthermore, the microporous structure facilitated efficient CH4/C2H2 separation, demonstrating the synergy between the electronic character of the thiadiazole and the photophysics of the lanthanide, opening up new possibilities for chemical sensing and gas storage [76]. Finally, the design of π-conjugated donor–acceptor–donor (D–A–D) systems based on 1,2,5-thiadiazoles has allowed fine-tuning of the electronic properties. The methylene-bridged compound 10,11-dihydro-dithieno [3′,2′:2,3;2″,3″:6,7]-as-indaceno [4,5-c][1,2,5]thiadiazole 64 exhibits high planarity, a narrowed HOMO–LUMO gap, and an intense red emission at 638 nm (Scheme 9). The synthesis of compound 64 began with the reaction between [2,2′:5′,2′′-terthiophene]-3′,4′-diamine 65 and N-thionylaniline 66, followed by treatment of the product formed with dimethyl but-2-ynedioate to form dimethyl 4,7-di(thiophen-2-yl)benzo[c][1,2,5]thiadiazole-5,6-dicarboxylate 67. The reduction of this ester to the corresponding alcohol 68 was initially attempted using lithium aluminum hydride; however, the desired transformation did not occur, and no identifiable product could be isolated. Therefore, the reaction was carried out using diisobutylaluminum hydride (DIBAL) as a milder reducing agent, yielding the respective diol 68 in 82% yield. In the final step, it was reacted with trifluoromethanesulfonic acid (TfOH) in dichloromethane at room temperature to promote methylene bridge formation. Under these conditions, compound 64 was obtained in 53% yield after only 5 min of reaction. DFT calculations confirmed that the methylene bridge elevates the HOMO without affecting the LUMO, resulting in a bathochromic shift relative to its unbridged counterpart and a considerable Stokes shift, attributable to an intramolecular charge-transfer (ICT) state. This design strategy offers an effective method for tuning optical and electronic properties in next-generation functional organic materials [77].
Scheme 9.
Synthesis of the methylene-bridged compound 10,11-dihydro-dithieno[3′,2′:2,3;2″,3″:6,7]-as-indaceno[4,5-c][1,2,5]thiadiazole 64.
5. Conclusions
Compounds based on thiadiazole and benzothiadiazole rings represent one of the most versatile and promising families of heterocycles in modern chemistry; this is due to the presence of sulfur and nitrogen atoms that confer exceptional chemical and biological properties. Among them, 1,3,4-thiadiazole systems have gained great relevance due to their outstanding antidiabetic activity, acting on key enzymes of carbohydrate metabolism and exhibiting inhibitory potency superior to that of conventional drugs such as acarbose. Furthermore, the variation in heteroatom positions within the ring in isomers such as benzo[c][1,2,5]- and benzo[d][1,2,3]-thiadiazoles determines their reactivity and stability, enabling their use in diverse fields such as bioimaging, biomarker detection, agriculture, and nanotechnology. Consequently, their structural capacity to generate fluorescent compounds, biosensors, and multifunctional materials consolidates them as key platforms for scientific and technological development.
Furthermore, advances in synthetic methods have enabled the development of more efficient, sustainable, and selective approaches to the synthesis of thiadiazoles and their derivatives. Procedures using N-tosylhydrazones, azides, or carbonyl compounds in the presence of elemental sulfur, combined with techniques such as photocatalysis or electrochemistry, have achieved higher yields and reduced the reactions’ environmental impact. These advances not only expand the available structural diversity but also facilitate the application of thiadiazoles in fields such as medicinal chemistry, pharmacology, and materials science. Overall, the combination of their remarkable biological potential, structural flexibility, and recent advances in synthesis positions thiadiazoles and benzothiadiazoles as essential building blocks for the design of new therapies, advanced electronic materials, and agricultural agents.
Author Contributions
Conceptualization, D.Q.; investigation and resources, D.Q.; writing—original draft preparation, D.Q.; writing—review and editing, D.R. and E.C.-B.; visualization, D.Q., D.R., and E.C.-B.; supervision, D.Q., D.R., and E.C.-B.; project administration, D.R.; funding acquisition, D.Q., D.R., and E.C.-B. All authors have read and agreed to the published version of the manuscript.
Funding
This research was funded by Universidad Militar Nueva Granada (UMNG), through the project IMP-CIAS-3739, call 2023.
Institutional Review Board Statement
Not applicable.
Informed Consent Statement
Not applicable.
Data Availability Statement
Data presented in this study are included in the article. Further inquiries can be directed to the corresponding author.
Acknowledgments
The authors thank UMNG for the financial support.
Conflicts of Interest
The authors declare no conflicts of interest.
References
- Rakitin, O.A. Recent Developments in the Synthesis of 1,2,5-Thiadiazoles and 2,1,3-Benzothiadiazoles. Synthesis 2019, 51, 4338–4347. [Google Scholar] [CrossRef]
- Xiao, Y.; Sun, S.; Yu, J.-T.; Cheng, J. Recent Advances in the Synthesis of Thiadiazoles. Synlett 2019, 30, 2041–2050. [Google Scholar] [CrossRef]
- Kale, D.S.; Shaikh, S.A.; Bhoi, R.T.; Borse, G.R.; Sonawale, S.B. 1,3,4-Thiadiazole Derivatives as Antidiabetic Agents: Design, Synthesis, Biological Evaluation, and in Silico Studies. J. Mol. Struct. 2026, 1351, 144226. [Google Scholar] [CrossRef]
- Lee, J.; Lee, S.-H.; Seo, H.J.; Son, E.-J.; Lee, S.H.; Jung, M.E.; Lee, M.; Han, H.-K.; Kim, J.; Kang, J.; et al. Novel C-Aryl Glucoside SGLT2 Inhibitors as Potential Antidiabetic Agents: 1,3,4-Thiadiazolylmethylphenyl Glucoside Congeners. Bioorg. Med. Chem. 2010, 18, 2178–2194. [Google Scholar] [CrossRef] [PubMed]
- Li, Y.; Yu, Y.; Jin, K.; Gao, L.; Luo, T.; Sheng, L.; Shao, X.; Li, J. Synthesis and Biological Evaluation of Novel Thiadiazole Amides as Potent Cdc25B and PTP1B Inhibitors. Bioorg. Med. Chem. Lett. 2014, 24, 4125–4128. [Google Scholar] [CrossRef]
- Gummidi, L.; Kerru, N.; Ebenezer, O.; Awolade, P.; Sanni, O.; Islam, M.S.; Singh, P. Multicomponent Reaction for the Synthesis of New 1,3,4-Thiadiazole-Thiazolidine-4-One Molecular Hybrids as Promising Antidiabetic Agents through α-Glucosidase and α-Amylase Inhibition. Bioorg. Chem. 2021, 115, 105210. [Google Scholar] [CrossRef] [PubMed]
- Çapan, İ.; Hawash, M.; Qaoud, M.T.; Jaradat, N. Novel Carbazole-Thiadiazole Derivatives as α-Amylase and α-Glucosidase Inhibitors: Design, Biological Evaluation, and Computational Insights. Bioorg. Chem. 2025, 157, 108243. [Google Scholar] [CrossRef]
- Arshad, S.; Maalik, A.; Rehman, W.; Khan, Y.; Alanazi, M.M.; Sarfraz, H.; Rasheed, L. Facile Indazole-Endowed Thiadiazole Hybrid Derivatives as Antibacterial, Anti-Diabetic and Thymidine Phosphorylase Inhibitors: An Insight to Experimental, In-Vitro Biological Potential and Computational Approaches. Saudi Pharm. J. 2025, 33, 20. [Google Scholar] [CrossRef]
- Sharma, S.; Kumar, S.; Gupta, J.; Mittal, A.; Khurana, N. Design, Synthesis and Biological Evaluation of Non-Glucosidal Based 1,3,4-Thiadiazoles as SGLT-2 Inhibitors. Future Med. Chem. 2025, 17, 409–423. [Google Scholar] [CrossRef]
- Dhameja, M.; Kumar, H.; Kurella, S.; Singh, R.; Uma, A.; Gupta, P. Inhibition of α-Glucosidase Enzyme By ‘click’-Inspired Pharmacophore Framework 1,3,4-Thiadiazole–1,2,3-Triazole Hybrids. Future Med. Chem. 2023, 15, 345–363. [Google Scholar] [CrossRef]
- Taha, M.; Uddin, N.; Saad, S.M.; Iqbal, N.; Fareed, G.; Anouar, E.H.; Hassan, M.H.; Almandil, N.B.; Salahuddin, M.; Khan, K.M.; et al. An Effort to Find New α-Amylase Inhibitors as Potent Antidiabetics Compounds Based on Indole-Based-Thiadiazole Analogs. J. Biomol. Struct. Dyn. 2022, 40, 13103–13114. [Google Scholar] [CrossRef] [PubMed]
- Khan, A.A.; Rahim, F.; Taha, M.; Rehman, W.; Iqbal, N.; Wadood, A.; Ahmad, N.; Shah, S.A.A.; Ghoneim, M.M.; Alshehri, S.; et al. New Biologically Dynamic Hybrid Pharmacophore Triazinoindole-Based-Thiadiazole as Potent α-Glucosidase Inhibitors: In Vitro and in Silico Study. Int. J. Biol. Macromol. 2022, 199, 77–85. [Google Scholar] [CrossRef] [PubMed]
- Li, M.; Li, H.; Min, X.; Sun, J.; Liang, B.; Xu, L.; Li, J.; Wang, S.-H.; Xu, X. Identification of 1,3,4-Thiadiazolyl-Containing Thiazolidine-2,4-Dione Derivatives as Novel PTP1B Inhibitors with Antidiabetic Activity. J. Med. Chem. 2024, 67, 8406–8419. [Google Scholar] [CrossRef]
- Vaishnav, Y.; Dewangan, D.; Verma, S.; Mishra, A.; Thakur, A.S.; Kashyap, P.; Verma, S.K. PPAR Gamma Targeted Molecular Docking and Synthesis of Some New Amide and Urea Substituted 1, 3, 4-Thiadiazole Derivative as Antidiabetic Compound. J. Heterocycl. Chem. 2020, 57, 2213–2224. [Google Scholar] [CrossRef]
- Savateev, K.; Fedotov, V.; Butorin, I.; Eltsov, O.; Slepukhin, P.; Ulomsky, E.; Rusinov, V.; Litvinov, R.; Babkov, D.; Khokhlacheva, E.; et al. Nitrothiadiazolo[3,2-a]Pyrimidines as Promising Antiglycating Agents. Eur. J. Med. Chem. 2020, 185, 111808. [Google Scholar] [CrossRef]
- Wilkins, D.J. 1,2,3-Thiadiazoles. In Comprehensive Heterocyclic Chemistry III; Elsevier: Amsterdam, The Netherlands, 2008; pp. 467–486. [Google Scholar]
- Undheim, K. Five-Membered Rings (One Oxygen or Sulfur and At Least One Nitrogen Atom) Fused with Six-Membered Rings (At Least One Nitrogen Atom). In Comprehensive Heterocyclic Chemistry; Elsevier: Amsterdam, The Netherlands, 1984; pp. 613–748. [Google Scholar]
- Gudim, N.S.; Knyazeva, E.A.; Mikhalchenko, L.V.; Golovanov, I.S.; Popov, V.V.; Obruchnikova, N.V.; Rakitin, O.A. Benzothiadiazole vs. Iso-Benzothiadiazole: Synthesis, Electrochemical and Optical Properties of D–A–D Conjugated Molecules Based on Them. Molecules 2021, 26, 4931. [Google Scholar] [CrossRef]
- Neto, B.A.D.; Carvalho, P.H.P.R.; Correa, J.R. Benzothiadiazole Derivatives as Fluorescence Imaging Probes: Beyond Classical Scaffolds. Acc. Chem. Res. 2015, 48, 1560–1569. [Google Scholar] [CrossRef]
- Wang, L.; Zhang, N.; He, Y.; Wang, J. A Fluorescent Probe with Large Stokes Shift Based on Benzothiadiazole Scaffolds for Selective Detection of Hg2+ in Lysosomes and Its Application in Biological Imaging. Chem. Asian J. 2024, 19, e202401067. [Google Scholar] [CrossRef]
- Appelqvist, H.; Stranius, K.; Börjesson, K.; Nilsson, K.; Peter, R.; Dyrager, C. Specific Imaging of Intracellular Lipid Droplets Using a Benzothiadiazole Derivative with Solvatochromic Properties. Bioconjug. Chem. 2017, 28, 1363–1370. [Google Scholar] [CrossRef]
- Ru, J.; Shi, Y.-X.; Yang, Q.-Y.; Li, T.; Wang, H.-Y.; Cao, F.; Guo, Q.; Wang, Y.-L. A Benzothiadiazole-Based Zn(II) Metal–Organic Framework with Visual Turn-On Sensing for Anthrax Biomarker and Theoretical Calculation. Molecules 2024, 29, 2755. [Google Scholar] [CrossRef]
- Boucard, J.; Briolay, T.; Blondy, T.; Boujtita, M.; Nedellec, S.; Hulin, P.; Grégoire, M.; Blanquart, C.; Ishow, E. Hybrid Azo-Fluorophore Organic Nanoparticles as Emissive Turn-on Probes for Cellular Endocytosis. ACS Appl. Mater. Interfaces 2019, 11, 32808–32814. [Google Scholar] [CrossRef]
- Mikhailitsyn, F.S.; Bekhli, A.F. Syntheses in the Benzo-2, 1,3-Thiadiazole Series. II. Derivatives of 1,2,5-Thiadiazolo]3,4-h]Quinoline and Benzo-2, 1, 3-Thiadiazolo]4, 5-h]-1,6-Naphthyridine. Chem. Heterocycl. Compd. 1976, 12, 56–59. [Google Scholar] [CrossRef]
- Irfan, A.; Ullah, S.; Anum, A.; Jabeen, N.; Zahoor, A.F.; Kanwal, H.; Kotwica-Mojzych, K.; Mojzych, M. Synthetic Transformations and Medicinal Significance of 1,2,3-Thiadiazoles Derivatives: An Update. Appl. Sci. 2021, 11, 5742. [Google Scholar] [CrossRef]
- Ahmad, S.; Alam, M.Z.; Salma, U.; Mohasin, M.; Rahaman, P.F.; Parveen, H.; Khan, S.A. A Review on Recent Progress in Synthesis and Biological Activities of Thiadiazole and Its Derivatives. J. Mol. Struct. 2024, 1312, 138438. [Google Scholar] [CrossRef]
- Zhang, L.; Sun, B.; Liu, Q.; Mo, F. Addition of Diazo Compounds Ipso-C–H Bond to Carbon Disulfide: Synthesis of 1,2,3-Thiadiazoles under Mild Conditions. J. Org. Chem. 2018, 83, 4275–4278. [Google Scholar] [CrossRef]
- Remizov, Y.O.; Pevzner, L.M.; Petrov, M.L. Synthesis of the Derivatives of 4-(5-Aryl-3-Methylfuran-3-Yl)-1,2,3-Thiadiazole and Functionalization of 5-Aryl-2- Methylfuran via Reactions of Thiadiazole Ring. Russ. J. Gen. Chem. 2018, 88, 1402–1410. [Google Scholar] [CrossRef]
- Li, W.; He, J.; Liu, P.; Zhang, J.; Dai, B. Synthesis of 4-Aryl-1,2,3-Thiadiazoles via NH4 I-Catalyzed Cyclization of N-Tosylhydrazones with Sulfur. ChemistrySelect 2019, 4, 10587–10590. [Google Scholar] [CrossRef]
- Li, W.; Li, X.; Feng, Y.; Liu, P.; Ma, X.; Zhao, J. Synthesis of Novel 4-Substituted 1,2,3-Thiadiazoles via Iodine-Catalyzed Cyclization Reactions. Tetrahedron Lett. 2021, 66, 152824. [Google Scholar] [CrossRef]
- Zhang, Y.; Cao, Y.; Lu, L.; Zhang, S.; Bao, W.; Huang, S.; Rao, Y. Perylenequinonoid-Catalyzed [4 + 1] and [4 + 2] Annulations of Azoalkenes: Photocatalytic Access to 1,2,3-Thiadiazole/1,4,5,6-Tetrahydropyridazine Derivatives. J. Org. Chem. 2019, 84, 7711–7721. [Google Scholar] [CrossRef] [PubMed]
- Lu, Y.; Sun, Y.; Abdukader, A.; Liu, C. Diiiodine/Potassium Persulfate Mediated Synthesis of 1,2,3-Thiadiazoles from N-Tosylhydrazones and a Thiocyanate Salt as a Sulfur Source under Transition-Metal-Free Conditions. Synlett 2021, 32, 1044–1048. [Google Scholar] [CrossRef]
- Kuticheva, K.V.; Pevzner, L.M.; Petrov, M.L. Synthesis and Some Reactions of Derivatives of 5-(1,2,3-Thiadiazol-4-Yl)Furan-2-Carboxylic and 3-[5-(1,2,3-Thiadiazol-4-Yl)Fur-2-Yl]Acrylic Acids. Russ. J. Gen. Chem. 2015, 85, 600–606. [Google Scholar] [CrossRef]
- Baltina, L.A.; Shayakhmetova, D.M.; Baltina, L.A.; Nugumanov, T.R. Synthesis of a 1,2,3-Thiadiazole of Butyl Glycyrrhetinate. Chem. Nat. Compd. 2019, 55, 692–695. [Google Scholar] [CrossRef]
- Dinh Ngoc, T. Synthesis and Characterization of Some New 1,2,3-Thiadiazole and 1,2,3-Selenadiazole Triterpene Derivatives from Allobetulone and 2-Oxoallobetulin. Synth. Commun. 2020, 50, 1665–1671. [Google Scholar] [CrossRef]
- Smirnova, I.E. Synthesis of 1,2,3-Thiadiazoles Fused to Dipterocarpol and Hollongdione. Russ. J. Org. Chem. 2022, 58, 1358–1361. [Google Scholar] [CrossRef]
- Yang, Z.; Liang, Y.; Li, A.; Liu, K.; Li, L.; Yang, T.; Zhou, C. One-Pot Synthesis of 5-Acyl-1,2,3-Thiadiazoles from Enaminones, Tosylhydrazine, and Elemental Sulfur under Transition-Metal-Free Conditions. J. Org. Chem. 2019, 84, 16262–16267. [Google Scholar] [CrossRef]
- Chen, J.; Jiang, Y.; Yu, J.-T.; Cheng, J. TBAI-Catalyzed Reaction between N-Tosylhydrazones and Sulfur: A Procedure toward 1,2,3-Thiadiazole. J. Org. Chem. 2016, 81, 271–275. [Google Scholar] [CrossRef]
- Mo, S.; Teng, Q.; Pan, Y.; Tang, H. Metal- and Oxidant-free Electrosynthesis of 1,2,3-Thiadiazoles from Element Sulfur and N-tosyl Hydrazones. Adv. Synth. Catal. 2019, 361, 1756–1760. [Google Scholar] [CrossRef]
- Wang, C.; Geng, X.; Zhao, P.; Zhou, Y.; Wu, Y.-D.; Cui, Y.-F.; Wu, A.-X. I2/CuCl2-Promoted One-Pot Three-Component Synthesis of Aliphatic or Aromatic Substituted 1,2,3-Thiadiazoles. Chem. Commun. 2019, 55, 8134–8137. [Google Scholar] [CrossRef] [PubMed]
- Feng, Y.; He, J.; Li, W.; Yang, Z.; Wei, Y.; Liu, P.; Zhao, J.; Gu, C.; Wang, W. Selective Transformations of 2-(p-Toluenesulfonyl)-N-Tosylhydrazones to Substituted 1,2,3-Thiadiazoles. Tetrahedron 2021, 78, 131803. [Google Scholar] [CrossRef]
- Gudala, S.; Ambati, S.R.; Patel, J.L.; Vedula, R.R.; Penta, S. An Efficient Synthesis of Pyrazolyl-1,2,3-thiadiazoles via Hurd–Mori Reaction. J. Heterocycl. Chem. 2019, 56, 2163–2169. [Google Scholar] [CrossRef]
- Giray, B.; Karadağ, A.E.; İpek, Ö.Ş.; Pekel, H.; Güzel, M.; Küçük, H.B. Design and Synthesis of Novel Cylopentapyrazoles Bearing 1,2,3-Thiadiazole Moiety as Potent Antifungal Agents. Bioorg. Chem. 2020, 95, 103509. [Google Scholar] [CrossRef]
- Belskaya, N.P.; Lugovik, K.I.; Bakulev, V.A.; Bauer, J.; Kitanovic, I.; Holenya, P.; Zakhartsev, M.; Wölfl, S. The New Facile and Straightforward Method for the Synthesis of 4 H-1,2,3-Thiadiazolo[5,4-b]Indoles and Determination of Their Antiproliferative Activity. Eur. J. Med. Chem. 2016, 108, 245–257. [Google Scholar] [CrossRef]
- Filimonov, V.O.; Dianova, L.N.; Galata, K.A.; Beryozkina, T.V.; Novikov, M.S.; Berseneva, V.S.; Eltsov, O.S.; Lebedev, A.T.; Slepukhin, P.A.; Bakulev, V.A. Switchable Synthesis of 4,5-Functionalized 1,2,3-Thiadiazoles and 1,2,3-Triazoles from 2-Cyanothioacetamides under Diazo Group Transfer Conditions. J. Org. Chem. 2017, 82, 4056–4071. [Google Scholar] [CrossRef] [PubMed]
- Mali, S.N.; Sawant, S.; Chaudhari, H.K.; Mandewale, M.C. In Silico Appraisal, Synthesis, Antibacterial Screening and DNA Cleavage for 1,2,5-Thiadiazole Derivative. Curr. Comput. Aided Drug Des. 2019, 15, 445–455. [Google Scholar] [CrossRef]
- Patel, J.Z.; Nevalainen, T.J.; Savinainen, J.R.; Adams, Y.; Laitinen, T.; Runyon, R.S.; Vaara, M.; Ahenkorah, S.; Kaczor, A.A.; Navia-Paldanius, D.; et al. Optimization of 1,2,5-Thiadiazole Carbamates as Potent and Selective ABHD6 Inhibitors. ChemMedChem 2015, 10, 253–265. [Google Scholar] [CrossRef]
- Wang, C.; Wang, Z.; Gao, M.; Li, Y.; Zhang, Y.; Bao, K.; Wu, Y.; Guan, Q.; Zuo, D.; Zhang, W. Design, Synthesis and Anticancer Activity of 5-Aryl-4-(4-Arylpiperazine-1-Carbonyl)-1,2,3-Thiadiazoles as Microtubule-Destabilizing Agents. Bioorg. Chem. 2021, 106, 104199. [Google Scholar] [CrossRef] [PubMed]
- Cui, H.-W.; Peng, S.; Gu, X.-Z.; Chen, H.; He, Y.; Gao, W.; Lv, F.; Wang, J.-H.; Wang, Y.; Xie, J.; et al. Synthesis and Biological Evaluation of D-Ring Fused 1,2,3-Thiadiazole Dehydroepiandrosterone Derivatives as Antitumor Agents. Eur. J. Med. Chem. 2016, 111, 126–137. [Google Scholar] [CrossRef]
- Filimonov, V.O.; Dianova, L.N.; Beryozkina, T.V.; Mazur, D.; Beliaev, N.A.; Volkova, N.N.; Ilkin, V.G.; Dehaen, W.; Lebedev, A.T.; Bakulev, V.A. Water/Alkali-Catalyzed Reactions of Azides with 2-Cyanothioacetamides. Eco-Friendly Synthesis of Monocyclic and Bicyclic 1,2,3-Thiadiazole-4-Carbimidamides and 5-Amino-1,2,3-Triazole-4-Carbothioamides. J. Org. Chem. 2019, 84, 13430–13446. [Google Scholar] [CrossRef] [PubMed]
- Kaziukonytė, P.; Venslauskas, T.; Venskūnaitė, K.; Žutautė, I.; Brukštus, A. Synthesis of Novel 4-Alkyl-6-(5-Aryl-1,2,3-Thiadiazol-4-Yl) Benzene-1,3-Diols as Potential Hsp90 Inhibitors. Chemija 2023, 34, 163–170. [Google Scholar] [CrossRef]
- Li, W.; Zhang, J.; He, J.; Xu, L.; Vaccaro, L.; Liu, P.; Gu, Y. I2/DMSO-Catalyzed Transformation of N-Tosylhydrazones to 1,2,3-Thiadiazoles. Front. Chem. 2020, 8, 466. [Google Scholar] [CrossRef]
- Mhaidat, N.; Al-Smadi, M.; Al-momani, F.; Alzoubj, K.; Mansi, I.; Al-Balas, Q. Synthesis, Antimicrobial and In Vitro Antitumor Activities of a Series of 1,2,3-Thiadiazole and 1,2,3-Selenadiazole Derivatives. Drug Des Dev. Ther. 2015, 9, 3645–3652. [Google Scholar] [CrossRef]
- Yekhlef, M.; Petrov, M.L.; Pevzner, L.M.; Aleksandrova, E.K. Synthesis of 1-Naphthylacetylene Sulfides from 4-(1-Naphthyl)-1,2,3-Thiadiazole. Russ. J. Gen. Chem. 2019, 89, 1545–1548. [Google Scholar] [CrossRef]
- Al-Smadi, M.L.; Esmadi, F.; Al-Smadi, M.; Alzoubi, K.H.; Alzoubi, O.; Khader, Y.S. Synthesis, Characterization, and Antimicrobial Activity of New 1,2,3-Thiadiazole and 1,2,3-Selenadiazole Derivatives. J. Chem. 2022, 2022, 2740–2749. [Google Scholar] [CrossRef]
- Al-Smadi, M.L.; Mansour, R.; Mahasneh, A.; Khabour, O.F.; Masadeh, M.M.; Alzoubi, K.H. Synthesis, Characterization, Antimicrobial Activity, and Genotoxicity Assessment of Two Heterocyclic Compounds Containing 1,2,3-Selena- or 1,2,3-Thiadiazole Rings. Molecules 2019, 24, 4082. [Google Scholar] [CrossRef]
- Belyaev, N.A.; Beryozkina, T.V.; Bakulev, V.A. Synthesis of N-Heteroarylamidines of 1,2,3-Thiadiazole-4-Carboxylic Acid from 2-Cyanothioacetamides and 5-Azido-1-Methyl-4-Nitroimidazole. Chem. Heterocycl. Compd. 2016, 52, 206–208. [Google Scholar] [CrossRef]
- Konstantinova, L.S.; Knyazeva, E.A.; Nefyodov, A.A.; Camacho, P.S.; Ashbrook, S.E.M.; Woollins, J.D.; Zibarev, A.V.; Rakitin, O.A. Direct Synthesis of Fused 1,2,5-Selenadiazoles from 1,2,5-Thiadiazoles. Tetrahedron Lett. 2015, 56, 1107–1110. [Google Scholar] [CrossRef]
- Sun, G.-X.; Yang, M.-Y.; Sun, Z.-H.; Wu, H.-K.; Liu, X.-H.; Wei, Y.-Y. Synthesis and Bioactivities of Novel 1,3,4-Oxadiazole Derivatives Containing 1,2,3-Thiadiazole Moiety. Phosphorus Sulfur Silicon Relat. Elem. 2014, 189, 1895–1900. [Google Scholar] [CrossRef]
- Zhang, J.-P.; Li, X.-Y.; Dong, Y.-W.; Qin, Y.-G.; Li, X.-L.; Song, B.-A.; Yang, X.-L. Synthesis and Biological Evaluation of 4-Methyl-1,2,3-Thiadiazole-5-Carboxaldehyde Benzoyl Hydrazone Derivatives. Chin. Chem. Lett. 2017, 28, 1238–1242. [Google Scholar] [CrossRef]
- Min, L.-J.; Yang, M.-Y.; Sun, Z.-H.; Tan, C.-X.; Weng, J.-Q.; Wu, H.-K.; Liu, X.-H. Phase Transfer Catalyzed Synthesis and Biological Activity of Thiourea Derivatives Containing 1,2,3-Thiadiazole Moiety. Asian J. Chem. 2014, 26, 7413–7415. [Google Scholar] [CrossRef]
- Dai, H.; Ge, S.; Li, G.; Chen, J.; Shi, Y.; Ye, L.; Ling, Y. Synthesis and Bioactivities of Novel Pyrazole Oxime Derivatives Containing a 1,2,3-Thiadiazole Moiety. Bioorg. Med. Chem. Lett. 2016, 26, 4504–4507. [Google Scholar] [CrossRef]
- Xu, Y.; Zhao, Z.; Qian, X.; Qian, Z.; Tian, W.; Zhong, J. Novel, Unnatural Benzo-1,2,3-Thiadiazole-7-Carboxylate Elicitors of Taxoid Biosynthesis. J. Agric. Food Chem. 2006, 54, 8793–8798. [Google Scholar] [CrossRef] [PubMed]
- Zhang, J.-P.; Qin, Y.-G.; Dong, Y.-W.; Song, D.-L.; Duan, H.-X.; Yang, X.-L. Synthesis and Biological Activities of (E)-β-Farnesene Analogues Containing 1,2,3-Thiadiazole. Chin. Chem. Lett. 2017, 28, 372–376. [Google Scholar] [CrossRef]
- Zhang, J.; Yang, Z.; Qin, Y.; Yang, X. Design, Synthesis and Biological Activity of (E)-β-Farnesene Analogues Containing 1,2,3-Thiadiazole. Chin. J. Org. Chem. 2020, 40, 2971. [Google Scholar] [CrossRef]
- Fan, W.; Li, Q.; Li, Y.; Sun, H.; Jiang, B.; Li, G. I2/O2-Enabled N–S Bond Formation to Access Functionalized 1,2,3-Thiadiazoles. Org. Lett. 2016, 18, 1258–1261. [Google Scholar] [CrossRef]
- Liu, X.-H.; Weng, J.-Q.; Tan, C.-X. Synthesis, Crystal Structure, and Fungicidal Activity of 5-(4-cyclopropyl-5-((3-fluorobenzyl)Thio)-4H-1,2,4-triazol-3-yl)-4-methyl-1,2,3-thiadiazole. J. Chem. 2013, 2013, 306361. [Google Scholar] [CrossRef]
- Mazur, D.M.; Zimens, M.E.; Bakulev, V.A.; Lebedev, A.T. Identification and Interconversion of Isomeric 4,5-Functionalized 1,2,3-Thiadiazoles and 1,2,3-Triazoles in Conditions of Electrospray Ionization. J. Pharm. Biomed. Anal. 2017, 145, 315–321. [Google Scholar] [CrossRef]
- Mazur, D.M.; Piacentino, E.L.; Berden, G.; Oomens, J.; Ryzhov, V.; Bakulev, V.A.; Lebedev, A.T. Differentiation between Isomeric 4,5-Functionalized 1,2,3-Thiadiazoles and 1,2,3-Triazoles by ESI-HRMS and IR Ion Spectroscopy. Molecules 2023, 28, 977. [Google Scholar] [CrossRef]
- Chen, Z.; Brown, J.; Drees, M.; Seger, M.; Hu, Y.; Xia, Y.; Boudinet, D.; McCray, M.; Delferro, M.; Marks, T.J.; et al. Benzo[d][1,2,3]Thiadiazole (IsoBT): Synthesis, Structural Analysis, and Implementation in Semiconducting Polymers. Chem. Mater. 2016, 28, 6390–6400. [Google Scholar] [CrossRef]
- Gudim, N.S.; Knyazeva, E.A.; Obruchnikova, N.V.; Rakitin, O.A.; Popov, V.V. 4-(7-Bromobenzo[d][1,2,3]Thiadiazol-4-Yl)Morpholine. Molbank 2021, 2021, M1202. [Google Scholar] [CrossRef]
- Wu, T.-Y.; Li, J.-L. Electrochemical Synthesis, Optical, Electrochemical and Electrochromic Characterizations of Indene and 1,2,5-Thiadiazole-Based Poly(2,5-Dithienylpyrrole) Derivatives. RSC Adv. 2016, 6, 15988–15998. [Google Scholar] [CrossRef]
- Xia, D.; Guo, X.; Chen, L.; Baumgarten, M.; Keerthi, A.; Müllen, K. Layered Electron Acceptors by Dimerization of Acenes End- Capped with 1,2,5-Thiadiazoles. Angew. Chem. Int. Ed. 2016, 55, 941–944. [Google Scholar] [CrossRef] [PubMed]
- Chulanova, E.A.; Pritchina, E.A.; Malaspina, L.A.; Grabowsky, S.; Mostaghimi, F.; Beckmann, J.; Bagryanskaya, I.Y.; Shakhova, M.V.; Konstantinova, L.S.; Rakitin, O.A.; et al. New Charge-Transfer Complexes with 1,2,5-Thiadiazoles as Both Electron Acceptors and Donors Featuring an Unprecedented Addition Reaction. Chem.—A Eur. J. 2017, 23, 852–864. [Google Scholar] [CrossRef]
- Yin, H.-J.; Wang, Z.; Zhao, Z.-Y.; Jiang, X.-Y.; Yu, J.-Y.; Yang, L.-M.; Zhang, Y.-M.; Liu, W.; Ni, C.-L. Synthesis, Crystal Structure and Properties of Electro-Catalysis for Hydrogen Production of a Molecular Nickel Catalyst Based on Bis(1,2,5-Thiadiazole-3,4-Dithiolate) Ligand. J. Mol. Struct. 2023, 1274, 134501. [Google Scholar] [CrossRef]
- Yu, X.; Pavlov, D.I.; Ryadun, A.A.; Kovalenko, K.A.; Potapov, A.S.; Fedin, V.P. Microporous Eu-MOF with Short 1,2,5-Thiadiazole-3,4-Dicarboxylate Linkers: Luminescence Sensing of Nitrofuran Antibiotics and Gas Adsorption Performance. Inorg. Chem. 2025, 64, 6356–6364. [Google Scholar] [CrossRef] [PubMed]
- Nakagawa, Y.; Miki, K.; Yamaguchi, Y.; Sugimoto, K. Synthesis, Optical Properties, and Alkylation of a Methylene-Bridged Donor–Acceptor Compound: 10,11-Dihydrodithieno[3′,2′:2,3;2″,3″:6,7]-as-Indaceno[4,5-c][1,2,5]Thiadiazole. Tetrahedron Lett. 2025, 169, 155751. [Google Scholar] [CrossRef]
Disclaimer/Publisher’s Note: The statements, opinions and data contained in all publications are solely those of the individual author(s) and contributor(s) and not of MDPI and/or the editor(s). MDPI and/or the editor(s) disclaim responsibility for any injury to people or property resulting from any ideas, methods, instructions or products referred to in the content. |
© 2025 by the authors. Licensee MDPI, Basel, Switzerland. This article is an open access article distributed under the terms and conditions of the Creative Commons Attribution (CC BY) license (https://creativecommons.org/licenses/by/4.0/).










