Novel 5-Aryl-[1,2,4]triazoloquinazoline Fluorophores: Synthesis, Comparative Studies of the Optical Properties and ICT-Based Sensing Application
Abstract
1. Introduction
2. Results
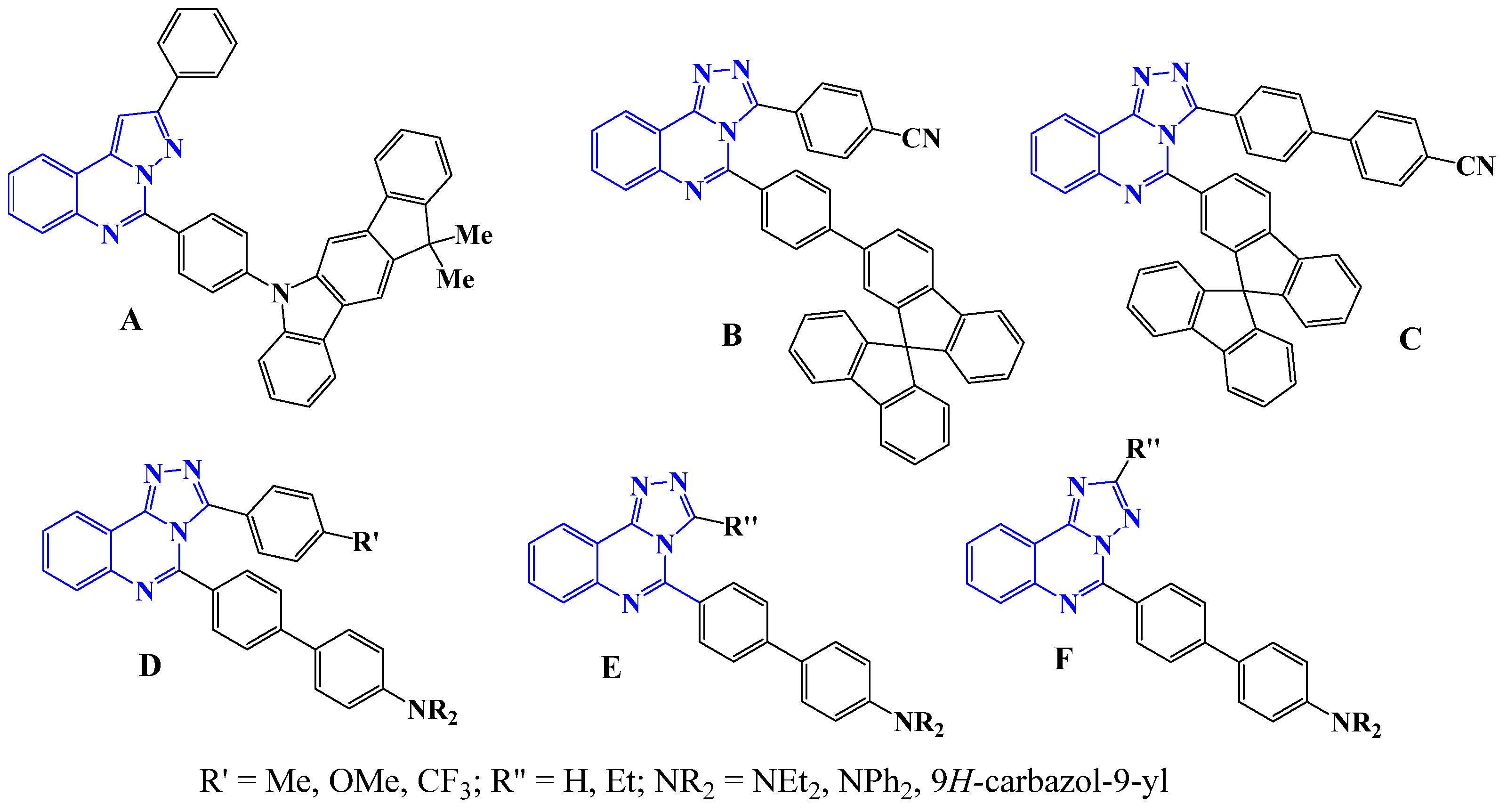
2.1. Synthesis
2.2. UV-Vis and Fluorescence Spectroscopy
2.3. Solvatochromic Effect
2.4. Acid-Induced Spectral Changes in Fluorophores
2.5. Quantum Chemical Calculations
3. Materials and Methods
3.1. General Information
3.2. Photophysical Characterization
3.3. Crystallography
3.4. Computational Methods
3.5. Synthetic Procedures
3.5.1. Synthesis of the Intermediate Products
- Ethyl N-(2-cyanophenyl)carbamate (2) was prepared similar to describe procedure [11]. To 2-aminobenzonitrile (2.7 g, 22.8 mmol) and potassium carbonate (9.5 g, 68.6 mmol) in tetrahydrofuran (130 mL), ethyl chloroformate (4.4 mL, 46.0 mmol) was added. The mixture was refluxed for 16 h. After cooling, the precipitate was filtered off and washed with tetrahydrofuran. The filtrate was evaporated under reduced pressure to give the title compound. Product was used without further purification. Colourless solid, yield: 99% (4.3 g); 1H NMR (DMSO-d6, 400 MHz): δ 1.24 (t, 3J = 6.8, 3H, CH3), 4.14 (q, 3J = 6.8, 2H, CH2), 7.30–7.34 (m, 1H), 7.50–7.52 (m, 1H), 7.64–7.68 (m, 1H), 7.77–7.79 (m, 1H), 9.7 (s, 1H, NH); 13C {1H} NMR (CDCl3, 100 MHz): δ 14.5 (CH3), 62.1 (CH2), 101.1, 116.4, 119.5, 123.2, 132.4, 134.3, 141.1, 153.0.
- Compounds 4a–c were obtained following the described procedure [11]. Ethyl N-(2-cyanophenyl)carbamate 2 (1.5 g, 7.85 mmol) and corresponding hydrazide 3a–c (9.36 mmol) were stirred in N,N-dimethylformamide (10 mL) at 120 °C for 12 h. After cooling, water was added to the mixture, precipitated product was filtered off and recrystallized from MeCN (for 4a) or DMSO (for 4b and 4c).
- 2-Phenyl-[1,2,4]triazolo[1,5-c]quinazolin-5(6H)-one (4a). Colourless solid, yield: 72% (1.5 g); mp 296–298 °C (mp lit. 311–313 °C [37]). 1H NMR (DMSO-d6, 400 MHz) δ 7.39–7.66 (m, 6H), 8.24–8.25 (m, 3H), 12.31 (s, 1H, NH); 13C {1H} NMR (DMSO-d6, 100 MHz): δ 110.4, 116.1, 123.6, 124.2, 126.8, 129.0, 129.8, 130.4, 132.8, 137.1, 143.9, 153.4, 162.9; EIMS (m/z, Irel%): 263.0888 [M + 1]+ (18), 262.0855 [M]+ (100); Calcd exact mass for C15H10N4O (262.0855).
- 2-(p-Tolyl)-[1,2,4]triazolo[1,5-c]quinazolin-5(6H)-one (4b). Colourless solid, yield: 83% (1.80 g); mp 305–307 °C. 1H NMR (DMSO-d6, 400 MHz): δ 2.43 (3H, s, CH3), 7.32–7.40 (3H, m, H-3′, H-5′, H-8 or H-9), 7.45–7.47 (1H, m, H-7 or H-10), 7.64–7.64 (1H, m, H-8 or H-9), 8.12–8.14 (2H, d, 3J = 7.5, H-2′, H-6′), 8.22–8.24, (1H, m, H-7 or H-10), 12.28 (1H, s, NH); 13C {1H} NMR (DMSO-d6, 150 MHz): δ 21.0 (CH3), 110.4, 116.1, 123.5, 124.2, 126.8, 127.1, 129.5, 132.7, 137.1, 140.2, 143.9, 153.3, 162.9; EIMS (m/z, Irel%): 277.1045 [M + 1]+ (20), 276.1011 [M]+ (100); Calcd exact mass for C16H12N4O (276.1011).
- 2-4-(Tert-butyl)phenyl-[1,2,4]triazolo[1,5-c]quinazolin-5(6H)-one (4c). Colourless solid, yield: 93% (2.33 g); mp 243–245 °C. 1H NMR (CDCl3, 400 MHz): δ 1.37 (9H, s, t-Bu), 7.36–7.40 (1H, m, H-8 or H-9), 7.51–7.54 (3H, m, H-3’, H-5’, H-7 or H-10), 7.59–7.61 (1H, m, H-8 or H-9), 8.29–8.31 (2H, d, 3J = 7.8, H-2’, H-6’), 8.35–8.37, (1H, m, H-7 or H-10), 11.4 (1H, s, NH); 13C {1H} NMR (DMSO-d6, 150 MHz): δ 31.0 (C(CH3)3), 34.6 (C(CH3)3), 110.3, 116.1, 123.5, 124.2, 125.8, 126.7, 127.1, 132.7, 137.0, 143.9, 153.1, 153.3, 162.9; EIMS (m/z, Irel%): 318.1481 (29), 304.1324 [M-CH3 + 1]+ (23), 303.1241 [M-CH3]+ (100); Calcd exact mass for C19H18N4O (318.1481).
- Compounds 5a–c were obtained following the described procedure [11]. To the dried [1,2,4]triazolo[1,5-c]quinazolin-5(6H)-one 3a–c (1.14 mmol) in phosphorus(V) oxychloride (7.2 mL, 77 mmol), Ν,Ν-diisopropylethylamine (0.4 mL, 2.27 mmol) was added carefully and the mixture was stirred for 20 h at 110 °C. Condenser was equipped with a calcium chloride drying tube. The mixture was concentrated. Resulting product was purified with column chromatography on SiO2 using mixture of hexane and EtOAc as eluent.
- 5-Chloro-2-phenyl-[1,2,4]triazolo[1,5-c]quinazoline (5a). Colourless solid, yield: 94% (300 mg); mp 170–172 °C. 1H NMR (CDCl3, 400 MHz) δ 7.53–7.55 (3H, m, H-3′, H-4′, H-5′), 7.75–7.79 (1H, m, H-8 or H-9), 7.85–7.89 (1H, m, H-8 or H-9), 8.01–8.02 (1H, m, H-10), 8.39–8.42 (2H, m, H-2’, H-6’), 8.61 (1H, d, 3J = 7.9, H-7); 13C {1H} NMR (CDCl3, 100 MHz): δ 117.4, 124.3, 128.0, 128.2, 129.0, 129.1, 129.8, 131.0, 132.8, 136.0, 143.0, 153.0, 164.8. EIMS (m/z, Irel%): 282.0486 [M + 2]+ (33), 281.0549 [M + 1]+ (21), 280.0516 [M]+ (100), 245.0822 (18), 163.0058 (18), 102.0464 (15), 89.0386 (15). Calcd exact mass for C15H9ClN4 (280.0516).
- 5-Chloro-2-(p-tolyl)-[1,2,4]triazolo[1,5-c]quinazoline (5b). Beige solid, yield: 82% (277 mg); mp 166–168 °C. 1H NMR (DMSO-d6, 400 MHz): δ 2.45 (s, 3H, CH3), 7.38 (2H, d, 3J = 8.1, H-3’, H-5’), 7.84–7.88 (1H, m, H-8 or H-9), 7.94–7.98 (1H, m, H-8 or H-9), 8.01–8.03 (1H, m, H-10), 8.22 (2H, d, 3J = 8.1, H-2’, H-6’), 8.54 (1H, d, 3J = 7.8, H-7); 13C {1H} NMR (CDCl3, 100 MHz): δ 21.7 (CH3), 117.3, 124.2, 126.9, 127.9, 128.1, 129.0, 129.7, 132.7, 136.0, 141.3, 142.9, 152.9, 164.9; EIMS (m/z, Irel%): 296.0643 [M + 2]+ (35), 295.0706 [M + 1]+ (25), 294.0672 [M]+ (100), 293.7299 (17), 163.0058 (11), 131.0730 (13), 116.0495 (12), 102.0464 (19), 90.0470 (13); Calcd exact mass for C16H11ClN4 (294.0672).
- 5-Chloro-2-(4-(Tert-butyl)phenyl)-[1,2,4]triazolo[1,5-c]quinazoline (5c). Beige solid, yield: 80% (297 mg); mp 126–128 °C. 1H NMR (DMSO-d6, 400 MHz): δ 1.39 (s, 9H, 3 CH3), 7.56 (2H, d, 3J = 8.5, H-3′, H-5′), 7.82–7.86 (1H, m, H-8 or H-9), 7.93–7.95 (1H, m, H-8 or H-9), 7.99–8.01 (1H, m, H-10), 8.22 (2H, d, 3J = 8.5, H-2′, H-6′), 8.54 (1H, d, 3J = 7.9, H-7); 13C {1H} NMR (DMSO-d6, 100 MHz): δ 31.0 (C(CH3)3), 34.7 (C(CH3)3),, 116.9, 123.7, 125.9, 126.6, 127.0, 127.6, 129.1, 132.8, 135.5, 142.4, 152.5, 153.7, 163.0, 163.0; EIMS (m/z, Irel%): 338.1112 [M+2]+ (10), 336.1142 [M]+ (28), 323.0872 (35), 322.0936 (23), 321.0902 [M-CH3]+ (100), 163.0058 (11), 146.1096 (13), 102.0464 (11); Calcd exact mass for C19H17ClN4 (336.1142).
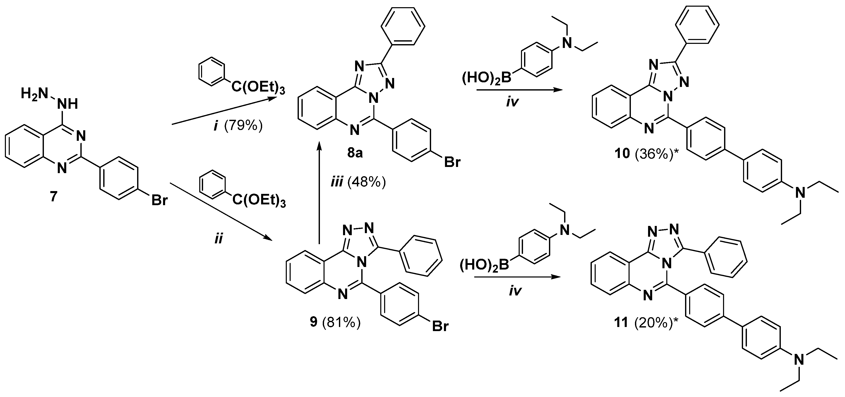
- Synthesis of 5-(4-Bromophenyl)-2-phenyl-[1,2,4]triazolo[1,5-c]quinazoline (8a).
- Method 1. In a round-bottom flask equipped with a magnetic stirred bar, 4-hydrazino-2-(4-bromophenyl)quinazoline 7 (0.27 g, 0.86 mmol) in glacial acetic acid (7 mL) triethyl orthobenzoate (0.86 mL, 4.3 mmol) were added. The mixture was refluxed for 16 h. After cooling down, the water was added until the formation of precipitate. The product was filtered off and washed with water and recrystallized from DMSO.
- Method 2. In a round-bottom flask equipped with a magnetic stirred bar, 5-(4-bromophenyl)-3-phenyl-[1,2,4]triazolo[4,3-c]quinazoline 9 (0.18 g, 0.45 mmol) was refluxed in glacial acetic acid (3.6 mL) for 20 h. After cooling down, the water was added until the formation of precipitate. The solid was filtered off and washed with water.
- Colourless powder, yield 79%, 0.27 g (method 1), yield 48%, 0,073 g (method 2); mp 190–192 °C; 1H NMR (DMSO-d6, 400 MHz): δ 7.58–7.60 (3H, m, H-3′, H-4′, H-5′), 7.85–7.91 (3H, m, H-3″, H-5″, H-8 or H-9), 7.96–7.99 (1H, m, H-8 or H-9), 8.13–8.15 (1H, m, H-10), 8.30–8.33 (2H, m, H-2′, H-6′), 8.53–8.55 (3H, m, H-2″, H-6″, H-7); 13C {1H} NMR (CDCl3, 100 MHz, 45 °C): δ 116.9, 123.3, 125.4, 127.1, 128.4, 128.8, 128.9, 129.7, 130.6, 131.3, 132.2, 132.5, 142.2, 145.0, 152.4, 162.8; EIMS (m/z, Irel%): 402.0303 [M + 2]+ (100), 401.0357 [M + 1]+ (66), 400.0324 [M]+ (99); Calcd exact mass for C21H13BrN4 (400.0324).
- Synthesis of 5-(4-bromophenyl)-3-phenyl-[1,2,4]triazolo[4,3-c]quinazoline (9). Starting 2-(4-bromophenyl)-4-hydrazinoquinazoline was preliminarily dried in oven at 100 °C for 4 h.
- Method 1. In a round-bottom flask equipped with a magnetic stirred bar, 2-(4-bromophenyl)-4-hydrazinoquinazoline 7 (0.32 g, 1.00 mmol) in absolute ethanol (17 mL) and triethyl orthobenzoate (1 mL, 4.80 mmol) were added. The mixture was refluxed for 4 h. Condenser was equipped with a calcium chloride drying tube. After cooling down and partial evaporation, the solid was filtered off, washed with EtOH (5 mL). The product was purified by column chromatography on SiO2 using EtOAc and hexane as eluent, gradually from (1:9) to pure EtOAc.
- Method 2. In a round-bottom flask equipped with a magnetic stirred bar, dried 2-(4-bromophenyl)-4-hydrazinoquinazoline 7 (0.20 g, 0.62 mmol) and triethyl orthobenzoate (1 mL, 4.80 mmol) were added. The mixture was refluxed for 4 h. A condenser was equipped with a calcium chloride drying tube. After cooling down, the solid was filtered off, washed with EtOH (5 mL), and dried.
- Colourless powder, yield 63% (method 1), yield 81% (method 2); mp 237–239 °C; 1H NMR (DMSO-d6, 400 MHz): δ 7.13–7.23 (6H, m, H-2″, H-3″, H-5″, H-6″, H-2′, H-6′), 7.29–7.31 (3H, m, H-3′, H-4′, H-5′), 7.78–7.82 (1H, m, H-7 or H-10), 7.84–7.88 (1H, m, H-7 or H-10), 7.96–7.98 (1H, m, H-10), 8.62 (1H, d, 3J = 7.9, H-7); EIMS (m/z, Irel%): 402.0303 [M + 2]+ (94), 401.0357 [M + 1]+ (79), 400.0324 [M]+ (100); Calcd exact mass for C21H13BrN4 (400.0324).
3.5.2. Synthesis of the Target Products
- General cross-coupling procedure for the synthesis of compounds 6a–j, 10, 11, and 12a,b.
- The corresponding boronic acid or boronic acid pinacol ester (0.57 mmol), PdCl2(PPh3)2 (40 mg, 57 μmol), PPh3 (30 mg, 114 μmol), saturated solution of K2CO3 (3.1 mL) and EtOH (3.1 mL) were added to the suspension of the corresponding chloro or bromo derivative (5a–c or 8a,b, 9) (0.53 mmol) in toluene (19 mL). The mixture was stirred at 85 °C for 14–30 h in argon atmosphere in round-bottom pressure flask equipped with magnetic stirred bar. The reaction mixture was cooled to room temperature, and EtOAc/H2O (10/10 mL) mixture was added. The organic layer was separated, additionally washed with water (10 mL), and evaporated at reduced pressure. The product was purified by column chromatography.
- 5-(4-Diethylaminophenyl)-2-phenyl-[1,2,4]triazolo[1,5-c]quinazoline (6a).
- The general procedure was applied using 5-chloro-2-phenyl- [1,2,4]triazolo[1,5-c]quinazoline 5a and 4-(diethylamino)phenylboronic acid as the starting materials. Reaction time is 30 h. Column chromatography: SiO2, EtOAc and hexane (1:9) was used as an eluent. Pale-yellow solid, yield: 54% (114 mg); mp = 135–137 °C; 1H NMR (CDCl3, 400 MHz): δ 1.27 (6H, t, 3J = 7.1, 2CH3), 3.50 (4H, q, 3J = 7.1, 2CH2), 6.85 (2H, d, 3J = 9.2, H-3″, H-5″), 7.47–7.56 (3H, m, H-3′, H-4′, H-5′), 7.60–7.64 (1H, m, H-8), 7.77–7.81 (1H, m, H-9), 8.04–8.05 (1H, m, H-10), 8.43–8.45 (2H, m, H-2′, H-6′), 8.59 (1H, d, 3J = 8.1, H-7), 8.74 (2H, d, 3J = 9.2, H-2″, H-6″); 13C {1H} NMR (CDCl3, 100 MHz): δ 12.8 (2 CH3), 44.7 (2 CH2), 110.8, 116.9, 118.0, 123.8, 127.0, 127.8, 128.3, 128.8, 130.3, 130.8, 131.9, 132.5, 143.6, 146.8, 150.2, 153.2, 163.7; EIMS (m/z, Irel%): 394.1987 [M + 1]+ (18), 393.1953 [M]+ (58), 379.1752 (29), 378.1719 [M-CH3]+ (100), 350.1406 (12), 189.0578 (17); Calcd exact mass for C25H23N5 (393.1953). Calcd: C, 76.31, H, 5.89, N, 17.80%; Found: C, 76.22, H, 6.04, N, 17.56%.
- 5-(4-Diphenylaminophenyl)-2-phenyl-[1,2,4]triazolo[1,5-c]quinazoline (6b). The general procedure was applied using 5-chloro-2-phenyl-[1,2,4]triazolo[1,5-c]quinazoline 5a and 4-(diphenylamino)phenylboronyc acid as the starting materials. Reaction time is 14 h. Column chromatography: SiO2, hexane and CH2Cl2 (7:3) and then EtOAc and hexane (1:9). Pale-yellow solid, yield: 58% (150 mg); mp = 191–193 °C; 1H NMR (CDCl3, 400 MHz): δ 7.13–7.16 (2H, m, Phenyl), 7.21–7.24 (6H, m, Phenyl, H-3″, H-5″), 7.33–7.37 (4H, m, Phenyl), 7.51–7.53 (3H, m, H-3′, H-4′, H-5′), 7.66–7.70 (1H, m, H-8), 7.81–7.84 (1H, H-9), 8.08 (1H, d, 3J = 8.2, H-10), 8.38–8.44 (2H, m, H-2′, H-6′), 8.61–8.65 (3H, m, H-7, H-2″, H-6″); EIMS (m/z, Irel%): 490.1987 [M + 1]+ (39), 489.1953 [M]+ (100), 488.1870 (14), 77.0386 (11); Calcd exact mass for C33H23N5 (489.1953). Calcd: C, 80.96, H, 4.74, N, 14.30%. Found: C, 80.86, H, 4.87, N, 14.19%.
- 5-(4-(9H-carbazol-9-yl)phenyl)-2-phenyl-[1,2,4]triazolo[1,5-c]quinazoline (6c).
- The general procedure was applied using 5-chloro-2-phenyl- [1,2,4]triazolo[1,5-c]quinazoline 5a and 9H-Carbazole-9-(4-phenyl) boronic acid pinacol ester as the starting materials. Reaction time is 21 h. Column chromatography: SiO2, hexane and CH2Cl2 (7:3) and then EtOAc and hexane (1:9). Pale-yellow solid, yield: 44% (113 mg); mp = 235–237 °C; 1H NMR (CDCl3, 400 MHz): δ 7.33–7.36 (2H, m, carbazolyl), 7.46–7.49 (2H, m, carbazolyl), 7.53–7.57 (3H, m, H-3′, H-4, H-5′), 7.61–7.63 (2H, m, carbazolyl), 7.75–7.79 (1H, m, H-8), 7.87–7.90 (3H, m, H-9, H-3″, H-5″), 8.17–8.19 (3H, m, H-10, carbazolyl), 8.46–8.48 (2H, m, H-2′, H-6′), 8.69 (1H, d, 3J = 8.2, H-7), 8.98–99.00 (2H, m, H-2″, H-6″); 13C {1H} NMR (CDCl3, 100 MHz): δ 110.1, 117.6, 120.6, 120.6, 123.9, 124.1, 126.3, 126.6, 127.9, 128.6, 129.0, 130.4, 130.6, 130.8, 132.4, 140.6, 141.0, 143.1, 145.7, 153.2, 164.4; EIMS (m/z, Irel%): 488.1831 [M + 1]+ (37), 487.1797 [M]+ (100). Calcd exact mass for C33H21N5 (487.1797). Calcd: C, 81.29; H, 4.34; N, 14.37%. Found: C, 81.21; H, 4.42; N, 14.28%.
- 5-(4-Dimethylaminophenyl)-2-(p-tolyl)-[1,2,4]triazolo[1,5-c]quinazoline (6d). The general procedure was applied using 5-chloro-2-(p-tolyl)-[1,2,4]triazolo[1,5-c]quinazoline 5b and 4-(dimetylamino)phenylboronyc acid as the starting materials. Reaction time is 21 h. Column chromatography: SiO2, hexane and CH2Cl2 (1:1) and then EtOAc and hexane (1:9). Colourless solid, yield: 56% (112 mg); mp = 176–178 °C; 1H NMR (400 MHz, CDCl3): δ 2.45 (3H, s, CH3), 3.12 (6H, s, N(CH3)2), 6.88 (2H, d, 3J = 9.2, H-3″, H-5″), 7.34 (2H, d, 3J = 8.0, H-3′, H-5′), 7.61–7.65 (1H, m, H-8), 7.77–7.81 (1H, m, H-9), 8.04–8.06 (1H, m, H-10), 8.32 (2H, d, 3J = 8.0, H-2′, H-6′), 8.58 (1H, d, 3J = 8.0, H-7), 8.74–8.77 (2H, m, H-2″, H-6″); 13C {1H} NMR (CDCl3, 100 MHz): δ 21.7 (CH3), 40.3 (N(CH3)2), 111.3, 117.0, 119.0, 123.8, 127.1, 127.7, 128.0, 128.3, 129.5, 131.8, 132.3, 140.5, 143.6, 146.8, 152.6, 153.1, 163.8; EIMS (m/z, Irel%): 380.1831 [M + 1]+ (28), ), 379.1797 [M]+ (100), 378.1714 (29), 190.0652 (10); Calcd exact mass for C24H21N5 (379.1797). Calcd: C, 75.97, H, 5.58, N, 18.45%. Found: C, 75.92, H, 5.63, N, 18.58%.
- 5-(4-Diphenylaminophenyl)-2-(p-tolyl)-[1,2,4]triazolo[1,5-c]quinazoline (6e). The general procedure was applied using 5-chloro-2-(p-tolyl)-[1,2,4]triazolo[1,5-c]quinazoline 5b and 4-(diphenylamino)phenylboronyc acid as the starting materials. Reaction time is 21 h. Column chromatography: SiO2, hexane and CH2Cl2 (1:4) and then EtOAc and hexane (1:9). Pale-yellow, yield: 27% (73 mg); mp = 198–200 °C; 1H NMR (CDCl3, 400 MHz): δ 2.44 (3H, s, CH3), 7.12–7.16 (2H, m, Phenyl), 7.20–7.25 (6H, m, Phenyl, H-3″, H-5″), 7.31–7.36 (6H, m, Phenyl, H-3′, H-5′), 7.65–7.69 (1H, m, H-8), 7.79–7.84 (1H, m, H-9), 8.06–8.08 (1H, m, H-10), 8.29 (2H, d, 3J = 8.1, H-2′, H-6′), 8.60–8.65 (3H, m, H-7, H-2″, H-6″); 13C {1H} NMR (CDCl3, 100 MHz): δ 21.7 (CH3), 117.2, 120.8, 123.9, 124.2, 124.4, 125.9, 127.7, 127.8, 128.6, 129.6, 129.7, 131.9, 132.0, 140.7, 143.3, 146.2, 147.0, 151.0, 153.1, 164.1; EIMS (m/z, Irel%): 504.2144 [M + 1]+ (40), 503.2110 [M]+ (100), 502.2027 (13), 252.1375 (11), 77.0386 (11); Calcd exact mass for C34H25N5 (503.2110). Calcd: C, 81.09, H, 5.00, N, 13.91%. Found: C, 81.55, H, 5.13, N, 13.32%.
- 5-(4-(9H-carbazol-9-yl)phenyl)-2-(p-tolyl)-[1,2,4]triazolo[1,5-c]quinazoline (6f). The general procedure was applied using 5-chloro-2-(p-tolyl)-[1,2,4]triazolo[1,5-c]quinazoline 5b and 9H-carbazole-9-(4-phenyl) boronic acid pinacol ester as the starting materials. Reaction time is 21 h. Column chromatography: SiO2, hexane and CH2Cl2 (7:3). Colourless solid, yield: 70% (187 mg); mp = 210–212 °C; 1H NMR (CDCl3, 400 MHz): δ 2.46 (3H, s, CH3), 7.33–7.38 (4H, m, carbazolyl, H-3′, H-5′), 7.46–7.50 (2H, m, carbazolyl), 7.61–7.63 (2H, m, carbazolyl), 7.75–7.79 (1H, m, H-8), 7.87–7.92 (3H, m, H-9, H-3″, H-5″), 8.16–8.19 (3H, m, H-10, carbazolyl), 8.35 (d, 3J = 8.1, 2H, H-2′, H-6′), 8.67–8.69 (1H, m, H-7), 8.97–9.01 (2H, m, H-2″, H-6″); 13C {1H} NMR (CDCl3, 100 MHz): δ 21.7 (CH3), 110.1, 117.6, 120.6, 120.6, 123.9, 124.1, 126.3, 126.6, 127.6, 127.8, 128.5, 128.9, 129.7, 130.7, 132.3, 132.4, 140.6, 140.9, 141.0, 143.1, 145.7, 153.2, 164.5; EIMS (m/z, Irel%): 502.1987 [M + 1]+ (38), 501.1953 [M]+ (100), 500.1870 (13), 251.1297 (19); Calcd exact mass for C34H23N5 (501.1953). Calcd: C, 81.42, H, 4.62, N, 13.96%. Found: C, 81.29, H, 4.70, N, 13.83%.
- 5-(4-Diethylaminophenyl)-2-(4-(tert-butyl)phenyl)-[1,2,4]triazolo[1,5-c]quinazoline (6g). The general procedure was applied using 5-chloro-2-(4-(tert-butyl)phenyl)-[1,2,4]triazolo[1,5-c]quinazoline 5c and 4-(diethylamino)phenyl boronic acid as the starting materials. Reaction time is 14 h. Column chromatography: SiO2, eluent: gradually from hexane/CH2Cl2 (8:2) to CH2Cl2. Yellow solid, yield: 20% (46 mg); mp = 135–137 °C; 1H NMR (CDCl3, 400 MHz): δ 1.27 (6H, t, 3J = 7.1, 2CH3), 1.39 (9H, s, t-Bu), 3.50 (4H, q, 3J = 7.1, 2CH2), 6.84 (2H, d, 3J = 9.1, H-3″, H-5″), 7.55 (2H, d, 3J = 8.4, H-3′, H-5′), 7.60–7.63 (1H, m, H-8), 7.76–7.80 (1H, m, H-9), 8.03–8.05 (1H, m, H-10), 8.35 (2H, d, 3J = 8.4, H-2′, H-6′), 8.59 (1H, d, 3J = 8.4, H-7), 8.74 (2H, d, 3J = 9.1, H-2″, H-6″); 13C {1H} NMR (CDCl3, 100 MHz): δ 12.7 (2CH3), 31.3 (C(CH3)3), 34.9 (C(CH3)3), 44.6 (2 CH2), 110.7, 116.8, 117.9, 123.7, 125.6, 126.8, 127.4, 127.9, 128.1, 131.7, 132.4, 143.5, 146.7, 150.1, 153.0, 153.5, 163.6; EIMS (m/z, Irel%): 450.2613 [M + 1]+ (26), 449.2579 [M]+ (72), 435.2423 (36), 434.2340 [M-CH3]+ (100), 390.1714 (14), 210.1283 (27), 196.1126 (14), 182.1096 (11); Calcd exact mass for C29H31N5 (449.2579). Calcd: C, 77.47, H, 6.95, N, 15.58%; Found: C, 77.38, H, 6.85, N, 15.44%.
- 5-(4-Diphenylaminophenyl)-2-(4-(tert-butyl)phenyl)-[1,2,4]triazolo[1,5-c]quinazoline (6h). The general procedure was applied using 5-chloro-2-(4-(tert-butyl)phenyl)-[1,2,4]triazolo[1,5-c]quinazoline 5c and 4-(diphenylamino)phenylboronyc acid as the starting materials. Reaction time is 14 h. Column chromatography: SiO2, hexane and CH2Cl2 (7:3) and then EtOAc and hexane (1:9). Pale-yellow solid, yield: 61% (177 mg); mp = 223–225 °C; 1H NMR (CDCl3, 400 MHz): δ 1.38 (9H, s, t-Bu), 7.12–7.16 (2H, m, Phenyl), 7.20–7.24 (6H, m, Phenyl, H-3″, H-5″), 7.33–7.37 (4H, m, Phenyl), 7.54 (2H, d, 3J = 8.3, H-3′, H-5′), 7.66–7.69 (1H, m, H-8), 7.80–7.84 (1H, m, H-9), 8.06–8.08 (1H, m, H-10), 8.32 (2H, d, 3J = 8.3, H-2′, H-6′), 8.61–8.65 (3H, m, H-7, H-2″, H-6″); 13C {1H} NMR (CDCl3, 100 MHz): δ 31.4 (C(CH3)3), 35.0 (C(CH3)3), 117.3, 120.8, 123.9, 124.3, 124.4, 125.8, 125.9, 127.6, 127.7, 127.8, 128.6, 129.7, 131.9, 132.0, 143.3, 146.2, 147.0, 151.0, 153.1, 153.8, 164.1; EIMS (m/z, Irel%): 546.2613 [M+1]+ (43), 545.2579 [M]+ (100), 530.2340 [M-CH3]+ (15), 265,1699 (22), 251.1674 (11); Calcd exact mass for C37H31N5 (545.2579). Calcd: C, 81.44, H, 5.73, N, 12.83%. Found: C, 81.50, H, 5.82, N, 12.78%.
- 5-(4-(9H-Carbazol-9-yl)phenyl)-2-(4-(tert-butyl)phenyl)-[1,2,4]triazolo[1,5-c]quinazoline (6i). The general procedure was applied using 5-chloro-2-(4-(tert-butyl)phenyl)-[1,2,4]triazolo[1,5-c]quinazoline 5c and 9H-carbazole-9-(4-phenyl) boronic acid pinacol ester as the starting materials. Reaction time is 21 h. Column chromatography: SiO2, hexane and CH2Cl2 (7:3) and then EtOAc and hexane (1:9). Colourless solid, yield: 58% (167 mg); mp = 228–230 °C; 1H NMR (CDCl3, 400 MHz): δ 1.40 (9H, s, t-Bu), 7.33–7.37 (2H, m, carbazolyl), 7.46–7.50 (2H, m, carbazolyl), 7.58–7.63 (4H, m, carbazolyl, H-3′, H-5′), 7.75–7.79 (1H, m, H-8), 7.86–7.92 (3H, m, H-9, H-3″, H-5″), 8.16–8.19 (3H, m, H-10, carbazolyl), 8.38 (2H, d, 3J = 8.5, H-2′, H-6′), 8.68–8.71 (1H, m, H-7), 9.00 (2H, m, 3J = 8.7, H-2″, H-6″); 13C {1H} NMR (CDCl3, 100 MHz): δ 31.4 (C(CH3)3), 35.1 (C(CH3)3), 110.1, 117.6, 120.6, 120.6, 123.9, 124.1, 125.9, 126.3, 126.6, 127.6, 127.7, 128.5, 128.9, 132.3, 132.4, 140.6, 140.9, 143.1, 145.7, 153.2, 154.1, 164.5; EIMS (m/z, Irel%): 544.2457 [M + 1]+ (44), 543.2423 [M]+ (100), 529.2266 (15), 528.2183 [M-CH3]+ (36), 268.1939 (13), 264.1626 (27), 250.1591 (19); Calcd exact mass for C37H29N5 (543.2423). Calcd: C, 81.74, H, 5.38, N, 12.88%. Found: C, 81.88, H, 5.46, N, 12.65%.
- 5-(9,9′-Spirobi[fluoren]-2-yl)-2-phenyl-[1,2,4]triazolo[1,5-c]quinazoline (6j). The general procedure was applied using 5-chloro-2-phenyl-[1,2,4]triazolo[1,5-c]quinazoline 5a and 9,9′-spirobifluorene-2-boronic acid as the starting materials. Reaction time is 14 h. Column chromatography: SiO2, hexane and EtOAc (8:2) to pure EtOAc. Colourless solid, yield: 52% (155 mg); mp = 269–271 °C; 1H NMR (CDCl3, 400 MHz): δ 6.86–6.88 (3H, m, fluoren), 7.17–7.24 (3H, m), 7.42–7.47 (6H, m, H-3′, H-4′, H-5′), 7.64–7.68 (1H, m, H-8), 7.78–7.80 (1H, m, H-9), 7.88–7.90 (2H, m), 7.97–7.8.15 (5H, m), 8.15 (1H, d, 4J = 1.1, bisfluorenyl), 8.54–8.56 (2H, m, H-2′, H-6′); 13C {1H} NMR (CDCl3, 100 MHz): δ 117.3, 120.2, 120.3, 121.0, 123.9, 124.4, 124.5, 126.9, 127.6, 128.0, 128.1, 128.2, 128.8, 128.8, 129.0, 130.2, 130.4, 130.5, 131.0, 132.1, 141.1, 142.1, 143.1, 145.1, 146.5, 148.3, 148.8, 149.8, 152.8, 163.7; EIMS (m/z, Irel%): 561.2035 [M + 1]+ (48), 560.2001 [M]+ (100); Calcd exact mass for C40H24N4 (560.2001).Calcd: C, 85.69, H, 4.31, N, 9.99%. Found: C, 85.52, H, 4.45, N, 9.84%.
- 5-(4′-Diethylamino-[1,1′]-biphenyl-4-yl)-2-phenyl-[1,2,4]triazolo[1,5-c]quinazoline (10). The general procedure was applied using 5-(4-bromophenyl)-2-phenyl-[1,2,4]triazolo[1,5-c]quinazoline 8a and 4-(diethylamino)phenyl boronic acid as the starting materials. Reaction time is 16 h. Column chromatography: SiO2, hexane and EtOAc from (1:9) to (1:1). Bright-yellow solid, yield: 36% (91 mg); mp = 190–192 °C; 1H NMR (CDCl3, 400 MHz): δ 1.23 (6H, t, 3J = 7.1, 2CH3), 3.44 (4H, q, 3J = 7.1, 2CH2) 6.80 (2H, d, 3J = 8.3, Et2NC6H4), 7.49–7.56 (3H, m, H-3′, H-4′, H-5′), 7.64 (2H, d, 3J = 8.3, 2H, Et2NC6H4), 7.70–7.73 (1H, m, H-8), 7.81–7.87 (3H, m, H-9, H-3″, H-5″), 8.12–8.14 (1H, m, H-10), 8.44 (2H, d, 3J = 7.1, H-2′, H-6′), 8.65 (1H, d, 3J = 8.3, H-7), 8.75 (2H, d, 3J = 8.3, H-2″, H-6″); 13C {1H} NMR (CDCl3, 100 MHz): δ 12.8 (2CH3), 44.6 (2CH2), 112.0, 117.4, 123.9, 125.8, 126.7, 127.9, 128.1, 128.3, 128.8, 128.9, 129.0, 130.5, 130.6, 131.1, 132.1, 143.3, 144.5, 146.6, 147.9, 153.1, 164.1; EIMS (m/z, Irel%): 470.2300 [M + 1]+ (34), 469.2266 [M]+ (88), 455.2110 (36), 454.2027 [M-CH3]+ (100); Calcd exact mass for C31H27N5 (469.2266). Calcd: C, 79.29; H, 5.80; N, 14.91%. Found: C, 79.21, H, 5.93, N, 14.85%.
- 5-(4′-Diethylamino-[1,1′]-biphenyl-4-yl)-3-phenyl-[1,2,4]triazolo[4,3-c]quinazoline (11). The general procedure was applied using 5-(4-bromophenyl)-3-phenyl- [1,2,4]triazolo[4,3-c]quinazoline 9 and 4-(diethylamino)phenyl boronic acid as the starting materials. Reaction time is 11 h. Column chromatography: SiO2, hexane and EtOAc (1:1) with addition of CF3COOH and then Et3N. Pale-yellow solid, yield: 20% (38 mg); mp = 175–177 °C; 1H NMR (CDCl3, 400 MHz): δ 1.21 (6H, t, 3J = 7.1, 2CH3), 3.41 (4H, q, 3J = 7.1, 2CH2) 6.74 (2H, d, 3J = 8.2, Et2NC6H4), 7.08–7.11 (2H, m), 7.19–7.24 (5H, m), 7.29–7.31 (2H, m), 7.35 (2H, d, 3J = 8.4), 8.72–8.76 (1H, m, H-8), 8.80–8.83 (1H, m, H-9), 8.04–8.06 (1H, m, H-10), 8.75 (1H, d, 3J = 8.2, H-7); 13C {1H} NMR (CDCl3, 100 MHz): δ 12.8 (2CH3), 44.6 (2CH2), 111.9, 116.5, 123.6, 125.3, 126.6, 127.9, 127.9, 128.1, 128.4, 129.1, 129.3, 129.5, 129.8, 131.9, 141.4, 143.6, 146.0, 147.8, 149.2, 150.2; EIMS (m/z, Irel%): 470.2300 [M + 1]+ (30), 469.2266 [M]+ (78), 455.2110 (37), 454.2027 [M-CH3]+ (100); Calcd exact mass for C31H27N5 (469.2266).Calcd: C, 79.29; H, 5.80; N, 14.91%. Found: C, 79.23, H, 5.91, N, 14.86%.
- 5-(4-(9,9′-Spirobi[fluoren]-2-yl)phenyl)-2-phenyl-[1,2,4]triazolo[1,5-c]quinazoline (12a). The general procedure was applied using 5-(4-bromophenyl)-2-phenyl- [1,2,4]triazolo[1,5-c]quinazoline 8a and 9,9′-spirobifluorene-2-boronic acid as the starting materials. Reaction time is 14 h. Column chromatography: SiO2, EtOAc and petroleum ether from (2:8) to (3:1). Pale-yellow solid, yield: 83% (75 mg); mp = 175–177 °C; 1H NMR (DMSO-d6, 400 MHz): δ 6.62–6.64 (1H, m), 6.70–6.72 (2H, m), 7.02 (1H, d, 4J = 1.0, spirobifluorene) 7.16–7.20 (3H, m), 7.42–7.44 (3H, m), 7.56–7.58 (3H, m), 7.77–7.82 (3H, m), 7.94–7.97 (2H, m), 8.08–8.12 (4H, m), 8.20–8.22 (1H, m), 8.30–8.32 (3H, m), 8.53 (1H, d, 3J = 8.2, H-7), 8.63 (2H, d, 3J = 8.7, H-2″, H-6″); 13C {1H} NMR (CDCl3, 100 MHz): δ 117.5, 120.2,120.4, 120.6, 123.0, 123.9, 124.2, 124.3, 127.0, 127.2, 127.8, 128.0, 128.1, 128.2, 128.8, 128.9, 130.4, 130.5, 130.6, 131.0, 132.1, 140.0, 141.3, 142.0, 143.1, 144.0, 146.2, 148.8, 149.4, 149.9, 153.1, 164.1; EIMS (m/z, Irel%): 637.2348 [M + 1]+ (50), 636.2314 [M]+ (100); Calcd exact mass for C37H29N5 (636.2314). Calcd: C, 81.74, H, 5.38, N, 12.88%. Found: C, 81.86, H, 5.47, N, 12.63%.
- 5-(4-(9,9′-Spirobi[fluoren]-2-yl)phenyl)-2-ethyl-[1,2,4]triazolo[1,5-c]quinazoline (12b). The general procedure was applied using 5-(4-bromophenyl)-2-ethyl-[1,2,4]triazolo[1,5-c]quinazoline 8b (0.12 g, 0.34 mmol) and 9,9′-spirobifluorene-2-boronic acid as the starting materials. Reaction time is 14 h. Column chromatography: SiO2, hexane and EtOAc (2:8). Colourless solid, yield: 33% (65 mg); mp = 289–291 °C; 1H NMR (CDCl3, 400 MHz): δ 1.46 (3H, t, 3J = 8.1, CH3), 3.03 (2H, q, 3J = 8.1, CH2), 6.75—6.77 (1H, m), 6.79–6.81 (2H, m), 7.05 (1H, d, 4J = 1.1, spirobifluorene) 7.12–7.16 (3H, m), 7.38–7.41 (3H, m), 7.64–7.69 (3H, m), 7.72–7.75 (1H, m), 7.79–7.83 (1H, m), 7.87–7.91 (3H, m), 7.95–7.97 (1H, m), 8.07–8.09 (1H, m), 8.52 (1H, d, 3J = 8.3, H-7), 8.56 (2H, d, 3J = 8.8, H-2″, H-6″); 13C {1H} NMR (CDCl3, 100 MHz): δ 12.8 (CH3), 22.5 (CH2), 117.3, 120.2, 120.3, 120.6, 123.0, 123.7, 124.3, 127.0, 127.2, 128.0, 128.1, 128.2, 128.8, 130.7, 130.9, 132.0, 140.0, 141.4, 142.0, 143.1, 144.0, 146.1, 148.7, 149.4, 149.9, 152.6, 168.5; EIMS (m/z, Irel%): 589.2348 [M + 1]+ (47), 588.2314 [M]+ (100), 294.0905 (31); Calcd exact mass for C42H28N4 (588.2314). Calcd: C, 85.69; H, 4.79; N, 9.52%. Found: C, 85.62, H, 4.89, N, 9.63%.
4. Conclusions
Supplementary Materials
Author Contributions
Funding
Institutional Review Board Statement
Informed Consent Statement
Data Availability Statement
Acknowledgments
Conflicts of Interest
References
- Nosova, E.V.; Lipunova, G.N.; Permyakova, Y.V.; Charushin, V.N. Quinazolines Annelated at the N(3)–C(4) Bond: Synthesis and Biological Activity. Eur. J. Med. Chem. 2024, 271, 116411. [Google Scholar] [CrossRef]
- Abuelizz, H.A.; Al-Salahi, R. An Overview of Triazoloquinazolines: Pharmacological Significance and Recent Developments. Bioorg. Chem. 2021, 115, 105263. [Google Scholar] [CrossRef]
- Nosova, E.V.; Lipunova, G.N.; Permyakova, J.V.; Charushin, V.N. Chemosensors Based on Quinazoline Moieties. Dye. Pigment. 2025, 235, 112638. [Google Scholar] [CrossRef]
- Oh, H.-S.; Lee, H.-J.; No, Y.-S.; Eum, S.-J.; Lee, J.-D.; Kim, K.-Y. Preparation of Nitrogen-Containing Polycyclic Compounds as Organic Light-Emitting Device Materials. Patent WO2015008908, 22 January 2015. [Google Scholar]
- Sun, E.; Fang, R.; Liu, S.; Wu, J. Compound and Application Thereof. Patent CN113527302A, 22 October 2021. [Google Scholar]
- Achelle, S.; Rodríguez-López, J.; Guen, F.R. Photoluminescence Properties of Aryl-, Arylvinyl-, and Arylethynylpyrimidine Derivatives. ChemistrySelect 2018, 3, 1852–1886. [Google Scholar] [CrossRef]
- Kopotilova, A.E.; Moshkina, T.N.; Nosova, E.V.; Lipunova, G.N.; Starnovskaya, E.S.; Kopchuk, D.S.; Kim, G.A.; Gaviko, V.S.; Slepukhin, P.A.; Charushin, V.N. 3-Aryl-5-Aminobiphenyl Substituted [1,2,4]Triazolo[4,3-c]Quinazolines: Synthesis and Photophysical Properties. Molecules 2023, 28, 1937. [Google Scholar] [CrossRef] [PubMed]
- Nosova, E.V.; Kopotilova, A.E.; Ivan’kina, M.A.; Moshkina, T.N.; Kopchuk, D.S. Synthesis of 5-(4-Bromophenyl)- and 5-(5-Bromothiophen-2-Yl)-Substituted 3-Aryl[1,2,4]Triazolo[4,3-c]Quinazolines. Russ. Chem. Bull. 2022, 71, 1483–1487. [Google Scholar] [CrossRef]
- Moshkina, T.N.; Kopotilova, A.E.; Ivan’kina, M.A.; Starnovskaya, E.S.; Gazizov, D.A.; Nosova, E.V.; Kopchuk, D.S.; El’tsov, O.S.; Slepukhin, P.A.; Charushin, V.N. Design, Synthesis, and Photophysical Properties of 5-Aminobiphenyl Substituted [1,2,4]Triazolo[4,3-c]- and [1,2,4]Triazolo[1,5-c]Quinazolines. Molecules 2024, 29, 2497. [Google Scholar] [CrossRef] [PubMed]
- Sun, E.; Fang, R.; Liu, S. Organic Compound for Light-Emitting Device, Application of Organic Compound and Organic Light-Emitting Device. Patent CN112174968A, 5 January 2021. [Google Scholar]
- Lefranc, J.; Schmecs, N.; Zorn, L.; Meier, R.; Herbert, S.; Günther, J.; Gutcher, I.; Röse, L.; Bader, B.; Stöckigt, D.; et al. [1,2,4]Triazolo[1,5-c]quinazolin-5-amines. Patent WO2021/028382, 2021. [Google Scholar]
- Burbiel, J.C.; Ghattas, W.; Küppers, P.; Köse, M.; Lacher, S.; Herzner, A.; Kombu, R.S.; Akkinepally, R.R.; Hockemeyer, J.; Müller, C.E. 2-Amino[1,2,4]Triazolo[1,5-c]Quinazolines and Derived Novel Heterocycles: Syntheses and Structure–Activity Relationships of Potent Adenosine Receptor Antagonists. ChemMedChem 2016, 11, 2272–2286. [Google Scholar] [CrossRef] [PubMed]
- Balo, C.; López, C.; Brea, J.M.; Fernánde, F.; Caamaño, O. Synthesis and Evaluation of Adenosine Antagonist Activity of a Series of [1,2,4]Triazolo[1,5-c]Quinazolines. Chem. Pharm. Bull. 2007, 55, 372–375. [Google Scholar] [CrossRef]
- El-Serwy, W.S.; Mohamed, A.N.; Kassem, M.M.E.; Mahmoud, K.M.M. Synthesis, Biological Evaluation and Docking Analysis of Some Novel Quinazolin Derivatives as Antitumor Agents. Iran J Pharm Res. 2016, 15, 179–196. [Google Scholar]
- Bilyi, A.K.; Antypenko, L.M.; Ivchuk, V.V.; Kamyshnyi, O.M.; Polishchuk, N.M.; Kovalenko, S.I. 2-Heteroaryl-[1,2,4]Triazolo[1,5-c]Quinazoline-5(6H)-thiones and Their S-Substituted Derivatives: Synthesis, Spectroscopic Data, and Biological Activity. Chempluschem 2015, 80, 980–989. [Google Scholar] [CrossRef]
- Wesseler, F.; Lohmann, S.; Riege, D.; Halver, J.; Roth, A.; Pichlo, C.; Weber, S.; Takamiya, M.; Müller, E.; Ketzel, J.; et al. Phenotypic Discovery of Triazolo[1,5-c]Quinazolines as a First-In-Class Bone Morphogenetic Protein Amplifier Chemotype. J. Med. Chem. 2022, 65, 15263–15281. [Google Scholar] [CrossRef]
- Porrès, L.; Holland, A.; Pålsson, L.O.; Monkman, A.P.; Kemp, C.; Beeby, A. Absolute Measurements of Photoluminescence Quantum Yields of Solutions Using an Integrating Sphere. J. Fluoresc. 2006, 16, 267–273. [Google Scholar] [CrossRef]
- Ramakrishna, G.; Goodson, T. Excited-State Deactivation of Branched Two-Photon Absorbing Chromophores: A Femtosecond Transient Absorption Investigation. J. Phys. Chem. A 2007, 111, 993–1000. [Google Scholar] [CrossRef] [PubMed]
- Gong, Y.; Guo, X.; Wang, S.; Su, H.; Xia, A.; He, Q.; Bai, F. Photophysical Properties of Photoactive Molecules with Conjugated Push−Pull Structures. J. Phys. Chem. A 2007, 111, 5806–5812. [Google Scholar] [CrossRef]
- Zghab, I.; Alanazi, A.N. Synthesis, Antiproliferative, and Molecular Docking of Novel Donor-π-Acceptor Benzothiazole Conjugates Based Fluorescent Chromophores. J. Photochem. Photobiol. A Chem. 2024, 454, 115688. [Google Scholar] [CrossRef]
- Gao, Y.; Zhang, S.; Pan, Y.; Yao, L.; Liu, H.; Guo, Y.; Gu, Q.; Yang, B.; Ma, Y. Hybridization and De-Hybridization between the Locally-Excited (LE) State and the Charge-Transfer (CT) State: A Combined Experimental and Theoretical Study. Phys. Chem. Chem. Phys. 2016, 18, 24176–24184. [Google Scholar] [CrossRef] [PubMed]
- Ravi, M.; Soujanya, T.; Samanta, A.; Radhakrishnan, T.P. Excited-State Dipole Moments of Some Coumarin Dyes from a Solvatochromic Method Using the Solvent Polarity Parameter, E.J. Chem. Soc. Faraday Trans. 1995, 91, 2739–2742. [Google Scholar] [CrossRef]
- Reichardt, C. Solvatochromic Dyes as Solvent Polarity Indicators. Chem. Rev. 1994, 94, 2319–2358. [Google Scholar] [CrossRef]
- Thiaré, D.D.; Khonté, A.; Diop, A.; Cissé, L.; Coly, A.; Tine, A.; Delattre, F. Determination of Ground and Excited State Dipole Moments of Amino−benzimidazole by Solvatochromic Shift Methods and Theoretical Calculations. J. Mol. Liquids. 2015, 211, 640–646. [Google Scholar] [CrossRef]
- Lippert, V.E. Spektroskopische Bestimmung Des Dipolmomentes Aromatischer Verbindungen Im Ersten Angeregten Singulettzustand. Z. Für Elektrochem. Berichte Bunsenges. Für Phys. Chem. 1957, 853, 962–975. [Google Scholar] [CrossRef]
- Mataga, N.; Kaifu, Y.; Koizumi, M. Solvent Effects upon Fluorescence Spectra and the Dipolemoments of Excited Molecules. Bull. Chem. Soc. Jpn. 1956, 29, 465–470. [Google Scholar] [CrossRef]
- Bakhshiev, N.G. Universal Intermolecular Interactions and Their Effect on the Position of the Electronic Spectra of Molecules in Two Component Solutions. Opt. Spektrosk. 1964, 16, 821–832. [Google Scholar]
- Suppan, P. Excited-State Dipole Moments from Absorption/Fluorescence Solvatochromic Ratios. Chem. Phys. Lett. 1983, 94, 272–275. [Google Scholar] [CrossRef]
- Bonnaud, T.; Scaviner, M.; Robin-le Guen, F.; Achelle, S. 4-substituted Push-pull Quinazoline Chromophores with Extended Π-conjugated Linker. J. Heterocycl. Chem. 2024, 61, 358–364. [Google Scholar] [CrossRef]
- Nosova, E.V.; Moshkina, T.N.; Lipunova, G.N.; Kopchuk, D.S.; Slepukhin, P.A.; Baklanova, I.V.; Charushin, V.N. Synthesis and Photophysical Studies of 2-(Thiophen-2-Yl)-4-(Morpholin-4-Yl)Quinazoline Derivatives. European J. Org. Chem. 2016, 2016, 2876–2881. [Google Scholar] [CrossRef]
- Hanaoka, K.; Iwaki, S.; Yagi, K.; Myochin, T.; Ikeno, T.; Ohno, H.; Sasaki, E.; Komatsu, T.; Ueno, T.; Uchigashima, M.; et al. General Design Strategy to Precisely Control the Emission of Fluorophores via a Twisted Intramolecular Charge Transfer (TICT) Process. J. Am. Chem. Soc. 2022, 144, 19778–19790. [Google Scholar] [CrossRef] [PubMed]
- Zhen, S.; Ma, F.; Chen, H.; Li, L.; Li, M.; Zhao, Z.; Tang, B.Z. Visible-Light-Driven Multifunctional Luminogens With More Than 150 nm Absorption Band Separation for Dynamic Information Encryption. Aggregate 2025, 6, e70044. [Google Scholar] [CrossRef]
- Dolomanov, O.V.; Bourhis, L.J.; Gildea, R.J.; Howard, J.A.K.; Puschmann, H. OLEX2: A Complete Structure Solution, Refinement and Analysis Program. J. Appl. Crystallogr. 2009, 42, 339–341. [Google Scholar] [CrossRef]
- Sheldrick, G.M. SHELXT—Integrated Space-Group and Crystal-Structure Determination. Acta Crystallogr. Sect. A Found. Adv. 2015, 71, 3–8. [Google Scholar] [CrossRef]
- Frisch, M.J.; Trucks, G.W.; Schlegel, H.B.; Scuseria, G.E.; Robb, M.A.; Cheeseman, J.R.; Scalmani, G.; Barone, V.; Petersson, G.A.; Nakatsuji, H.; et al. Gaussian 09, Revision C.01; Gaussian Inc.: Wallingford, CT, USA, 2010. [Google Scholar]
- Marenich, A.V.; Cramer, C.J.; Truhlar, D.G. Universal Solvation Model Based on Solute Electron Density and on a Continuum Model of the Solvent Defined by the Bulk Dielectric Constant and Atomic Surface Tensions. J. Phys. Chem. B 2009, 113, 6378–6396. [Google Scholar] [CrossRef] [PubMed]
- Francis, J.E.; Cash, W.D.; Barbaz, B.S.; Bernard, P.S.; Lovell, R.A.; Mazzenga, G.C.; Friedmann, R.C.; Hyun, J.L.; Braunwalder, A.F. Synthesis and Benzodiazepine Binding Activity of a Series of Novel [1,2,4]Triazolo[1,5-c]Quinazolin-5(6H)-Ones. J. Med. Chem. 1991, 34, 281–290. [Google Scholar] [CrossRef] [PubMed]
- Blank, J.; Kandt, M.; Pfeiffer, W.-D.; Hetzheim, A.; Langer, P. Domino Cyclization of 2-Isothiocyanatobenzonitrile with Carboxylic Hydrazides—One-Pot Synthesis of 1,2,4-Triazolo[1,5-c]Quinazoline-5(6H)-Thiones. Eur. J. Org. Chem. 2003, 2003, 182–189. [Google Scholar] [CrossRef]
- Mamedov, V.А.; Zhukova, N.А.; Kadyrova, M.S. The Dimroth Rearrangement in the Synthesis of Condensed Pyrimidines—Structural Analogs of Antiviral Compounds. Chem. Heterocycl. Compd. 2021, 57, 342–368. [Google Scholar] [CrossRef]
- Ravi, M.; Samanta, A.; Radhakrishnan, T.P. Excited State Dipole Moments from an Efficient Analysis of Solvatochromic Stokes Shift Data. J. Phys. Chem. 1994, 98, 9133–9136. [Google Scholar] [CrossRef]














| Comp. | Solvent/ Solid State | λabs, nm, ε (104 M−1cm−1) | λem b, nm | Δνst c, cm−1 | ΦF d,% |
|---|---|---|---|---|---|
| 6a | Toluene | 376 (2.64) | 425 | 3070 | >95 |
| MeCN | 284 (2.35), 376 (3.53) | 459 | 4810 | >95 | |
| Solid | - | 511 | - | * | |
| 6b | Toluene | 383 (1.92) | 459 | 4320 | 81 |
| MeCN | 252 (4.21), 285 (2.30), 375 (2.61) | 544 | 8280 | 51 | |
| Solid | - | 456 | - | 45 | |
| 6c | Toluene | 342 (1.47), 355 (1.48) | 423 | 4530 | >95 |
| MeCN a | 254, 277 sh, 340 | 507 | 9690 | 87 | |
| Solid | - | 459, 481 (sh) | - | 20 | |
| 6d | Toluene | 369 (1.96) | 421 | 3350 | >95 |
| MeCN | 253 (4.18), 284 (2.56), 367 (2.69) | 457 | 5370 | >95 | |
| Solid | - * | 433 | - | * | |
| 6e | Toluene | 289 (3.35), 382 (2.49) | 459 | 4390 | 91 |
| MeCN | 259 (1.23), 284 (0.87), 375 (0.73) | 539 | 8110 | 52 | |
| Solid | - | 492 | - | 38 | |
| 6f | Toluene | 342 (0.95), 355 (0.92) | 421 | 4420 | >95 |
| MeCN a | 259, 278 sh, 340 | 506 | 9650 | 88 | |
| Solid | - | 434 | - | 28 | |
| 6g | Toluene | 376 (2.88) | 425 | 3070 | >95 |
| MeCN | 254 (4.39), 286 (2.48), 376 (3.19) | 460 | 4860 | >95 | |
| Solid | - | 448, 474 | - | * | |
| 6h | Toluene | 292 (1.23), 381 (1.43) | 457 | 4370 | >95 |
| MeCN | 259 (1.43), 284 (1.03) sh, 375 (0.77) | 540 | 8150 | 53 | |
| Solid | - | 463 | - | 37 | |
| 6i | Toluene | 342 (0.92), 355 (0.89) | 420 | 4360 | >95 |
| MeCN a | 284, 278 sh, 340 | 506 | 9650 | 84 | |
| Solid | - | 432 | - | * | |
| 6j | Toluene | 296 (2.48), 309 (2.73), 339 (2.58) | 376, 396, 417 sh | 4250 e | 7 |
| MeCN | 252 (1.90), 270 (1.48), 307 (1.09), 330 (1.0) | 400 | 5300 | 4 | |
| Solid | 403, 422 | - | * | ||
| 10 | Toluene | 384 (1.88) | 481 | 5250 | >95 |
| MeCN | 222 (0.53), 262 (1.71), 377 (0.83) | 601 | 9890 | 35 | |
| Solid | - | 513 | - | 6 | |
| 11 | Toluene | 363 (1.21) | 493 | 8324 | 17 |
| MeCN | 271 (7.34), 356 (1.46) | 616 | 11,860 | 34 | |
| Solid | - | 492 | - | * | |
| 12a | Toluene | 284(9,08), 309(6,00) | 398, 416, 440 sh | 8324 | 19 |
| MeCN | 296 (1,54), 308(1,87), 335(2,26) | 442 | 7226 | 77 | |
| Solid | - | 431, 449, 482 sh | - | * | |
| 12b | Toluene | 309 (2.87), 337 (3.04) | 392, 412, 437 sh | 5402 e | 60 |
| MeCN a | 308, 331 | 433 | 7120 | >95 | |
| Solid | - | 417, 439, 469 sh | - | * |
| Comp. | a, a A | Slope (m) | R2 | Δμ, D | μ(S0)DFT, D | μ*(S1)DFT, D | ∆μDFT, D |
|---|---|---|---|---|---|---|---|
| 6b | 5.79 | 9539 | 0.98 | 7.46 | 1.6670 | 7.1272 | 5.46 |
| 6c | 5.78 | 13,735 | 0.95 | 8.93 | 0.9471 | 9.9854 | 9.04 |
| 10 | 5.71 | 11,343 | 0.97 | 7.97 | 3.9203 | 12.7510 | 8.83 |
Disclaimer/Publisher’s Note: The statements, opinions and data contained in all publications are solely those of the individual author(s) and contributor(s) and not of MDPI and/or the editor(s). MDPI and/or the editor(s) disclaim responsibility for any injury to people or property resulting from any ideas, methods, instructions or products referred to in the content. |
© 2025 by the authors. Licensee MDPI, Basel, Switzerland. This article is an open access article distributed under the terms and conditions of the Creative Commons Attribution (CC BY) license (https://creativecommons.org/licenses/by/4.0/).
Share and Cite
Kopotilova, A.E.; Permyakova, J.V.; Starnovskaya, E.S.; Moshkina, T.N.; Novikov, A.S.; Slepukhin, P.A.; Nosova, E.V. Novel 5-Aryl-[1,2,4]triazoloquinazoline Fluorophores: Synthesis, Comparative Studies of the Optical Properties and ICT-Based Sensing Application. Molecules 2025, 30, 4420. https://doi.org/10.3390/molecules30224420
Kopotilova AE, Permyakova JV, Starnovskaya ES, Moshkina TN, Novikov AS, Slepukhin PA, Nosova EV. Novel 5-Aryl-[1,2,4]triazoloquinazoline Fluorophores: Synthesis, Comparative Studies of the Optical Properties and ICT-Based Sensing Application. Molecules. 2025; 30(22):4420. https://doi.org/10.3390/molecules30224420
Chicago/Turabian StyleKopotilova, Alexandra E., Julia V. Permyakova, Ekaterina S. Starnovskaya, Tatyana N. Moshkina, Alexander S. Novikov, Pavel A. Slepukhin, and Emiliya V. Nosova. 2025. "Novel 5-Aryl-[1,2,4]triazoloquinazoline Fluorophores: Synthesis, Comparative Studies of the Optical Properties and ICT-Based Sensing Application" Molecules 30, no. 22: 4420. https://doi.org/10.3390/molecules30224420
APA StyleKopotilova, A. E., Permyakova, J. V., Starnovskaya, E. S., Moshkina, T. N., Novikov, A. S., Slepukhin, P. A., & Nosova, E. V. (2025). Novel 5-Aryl-[1,2,4]triazoloquinazoline Fluorophores: Synthesis, Comparative Studies of the Optical Properties and ICT-Based Sensing Application. Molecules, 30(22), 4420. https://doi.org/10.3390/molecules30224420

