Multi-Targeting Valproic Acid Conjugates as Potent Agents Against Inflammation and Hyperlipidemia
Abstract
1. Introduction
2. Results and Discussion
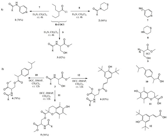
2.1. Synthesis
2.2. In Vivo Evaluation
2.2.1. Effect on the Inflammatory Edema Production
2.2.2. Effect on Hyperlipidemia
2.3. In Vitro Evaluation
2.3.1. Effect on Lipoxygenase
2.3.2. Antioxidant Potential of the Compounds
3. Materials and Methods
3.1. Synthesis
3.1.1. Procedure for the Synthesis of Compounds 1–3
3.1.2. Procedure for the Synthesis of Compounds 4–6
3.2. Biological Experiments
3.2.1. Carrageenan-Induced Paw Edema
3.2.2. Effect on Plasma Lipids
3.2.3. In Vitro Evaluation of Lipoxygenase Activity
3.2.4. In Vitro Lipid Peroxidation Evaluation as TBA-Reactive Material
3.2.5. In Vitro Interaction with the Stable Radical 1,1-Diphenyl-2-picrylhydrazyl (DPPH)
4. Conclusions
Supplementary Materials
Author Contributions
Funding
Institutional Review Board Statement
Informed Consent Statement
Data Availability Statement
Conflicts of Interest
References
- Biswas, S.K. Does the Interdependence between Oxidative Stress and Inflammation Explain the Antioxidant Paradox? Oxid. Med. Cell. Longev. 2016, 2016, 5698931. [Google Scholar] [CrossRef] [PubMed]
- Biswas, S.K.; Lopes de Faria, J.B. Which Comes First: Renal Inflammation or Oxidative Stress in Spontaneously Hypertensive Rats? Free Radic. Res. 2007, 41, 216–224. [Google Scholar] [CrossRef] [PubMed]
- Tabas, I.; Glass, C.K. Anti-inflammatory Therapy in Chronic Disease: Challenges and Opportunities. Science 2013, 339, 166–172. [Google Scholar] [CrossRef]
- Wu, Y.; Lu, J.; Antony, S.; Juhasz, A.; Liu, H.; Jiang, G.; Meitzler, J.L.; Hollingshead, M.; Haines, D.C.; Butcher, D.; et al. Activation of TLR4 is Required for the Synergistic Induction of Dual Oxidase 2 and Dual Oxidase A2 by IFN-γ and Lipopolysaccharide in Human Pancreatic Cancer Cell Lines. J. Immunol. 2013, 190, 1859–1872. [Google Scholar] [CrossRef]
- Zhou, R.; Yazdi, A.S.; Menu, P.; Tschopp, J. A Role for Mitochondria in NLRP3 Inflammasome Activation. Nature 2011, 469, 221–225. [Google Scholar] [CrossRef]
- Steven, S.; Frenis, K.; Oelze, M.; Kalinovic, S.; Kuntic, M.; Bayo Jimenez, M.T.; Vujacic-Mirski, K.; Helmstädter, J.; Kröller-Schön, S.; Münzel, T.; et al. Vascular Inflammation and Oxidative Stress: Major Triggers for Cardiovascular Disease. Oxid. Med. Cell. Longev. 2019, 2019, 7092151. [Google Scholar] [CrossRef] [PubMed]
- Zhang, Z.; Convertini, P.; Shen, M.; Xu, X.; Lemoine, F.; de la Grange, P.; Andres, D.A.; Stamm, S. Valproic Acid Causes Proteasomal Degradation of DICER and Influences miRNA Expression. PLoS ONE 2013, 8, e82895. [Google Scholar] [CrossRef]
- Stahl, S.M. Anticonvulsants as Mood Stabilizers and Adjuncts to Antipsychotics: Valproate, Lamotrigine, Carbamazepine, Oxcarbazepine, and Actions at Voltage-Gated Sodium Channels. J. Clin. Psychiatry 2004, 65, 738–739. [Google Scholar] [CrossRef]
- Singh, D.; Gupta, S.; Verma, I.; Morsy, M.A.; Nair, A.B.; Ahmed, A.F. Hidden Pharmacological Activities of Valproic Acid: A New Insight. Biomed. Pharmacother. 2021, 142, 112021. [Google Scholar] [CrossRef]
- Abaza, M.S.; Bahman, A.M.; Al-Attiyah, R.J. Valproic Acid, an Anti-epileptic Drug and a Histone Deacetylase Inhibitor, in Combination with Proteasome Inhibitors Exerts Antiproliferative, Pro-apoptotic and Chemosensitizing Effects in Human Colorectal Cancer Cells: Underlying Molecular Mechanisms. Int. J. Mol. Med. 2014, 34, 513–532. [Google Scholar] [CrossRef]
- Mani, A.; Ahamed, A.; Ali, D.; Alarifi, S.; Akbar, I. Dopamine-Mediated Vanillin Multicomponent Derivative Synthesis via Grindstone Method: Application of Antioxidant, Anti-Tyrosinase, and Cytotoxic Activities. Drug Des. Devel. Ther. 2021, 15, 787–802. [Google Scholar] [CrossRef]
- Ichiyama, T.; Okada, K.; Lipton, J.M.; Matsubara, T.; Hayashi, T.; Furukawa, S. Sodium Valproate Inhibits Production of TNF-alpha and IL-6 and Activation of NF-kappaB. Brain Res. 2000, 857, 246–251. [Google Scholar] [CrossRef] [PubMed]
- Leoni, F.; Zaliani, A.; Bertolini, G.; Porro, G.; Pagani, P.; Pozzi, P.; Dona, G.; Fossati, G.; Sozzani, S.; Azam, T.; et al. The Antitumor Histone Deacetylase Inhibitor Suberoylanilide Hydroxamic Acid Exhibits Anti-inflammatory Properties via Suppression of Cytokines. Proc. Natl. Acad. Sci. USA 2002, 99, 2995–3000. [Google Scholar] [CrossRef] [PubMed]
- Shang, Y.; Jiang, Y.X.; Ding, Z.J.; Shen, A.L.; Xu, S.P.; Yuan, S.Y.; Yao, S.L. Valproic Acid Attenuates the Multiple-organ Dysfunction in a Rat Model of Septic Shock. Chinese Med. J. 2010, 123, 2682–2687. [Google Scholar]
- Ximenes, J.C.M.; Lima-Verde, E.C.; Naffah-Mazzacoratti, M.G.; Viana, G.S.B. Valproic Acid, a Drug with Multiple Molecular Targets Related to Its Potential Neuroprotective Action. Neurosci. Med. 2012, 3, 107–123. [Google Scholar] [CrossRef]
- Suda, S.; Katsura, K.; Kanamaru, T.; Saito, M.; Katayama, Y. Valproic Acid Attenuates Ischemia-Reperfusion Injury in the Rat Brain through Inhibition of Oxidative Stress and Inflammation. Eur. J. Pharmacol. 2013, 707, 26–31. [Google Scholar] [CrossRef]
- Ximenes, J.C.M.; de Oliveira Gonçalves, D.; Siqueira, R.M.P.; Neves, K.R.T.; Cerqueira, G.S.; Correia, A.O.; Félix, F.H.C.; Leal, L.K.A.M.; Brito, G.A.d.C.; Naffah-Mazzacorati, M.d.G.; et al. Valproic Acid: An Anticonvulsant Drug with Potent Antinociceptive and Anti-inflammatory Properties. Naunyn-Schmiedeberg’s Arch. Pharmacol. 2013, 386, 575–587. [Google Scholar] [CrossRef]
- Aboul Ezz, H.S.; Khadrawy, Y.A.; Noor, N.A. The Neuroprotective Effect of Curcumin and Nigella sativa Oil against Oxidative Stress in the Pilocarpine Model of Epilepsy: A Comparison with Valproate. Neurochem. Res. 2011, 36, 2195–2204. [Google Scholar] [CrossRef]
- Halliwell, B. Oxidative Stress and Neurodegeneration: Where Are We Now? J. Neurochem. 2006, 97, 1634–1658. [Google Scholar] [CrossRef]
- Gamba, P.; Testa, G.; Gargiulo, S.; Staurenghi, E.; Poli, G.; Leonarduzzi, G. Oxidized Cholesterol as the Driving Force behind the Development of Alzheimer’s Disease. Front. Aging Neurosci. 2015, 7, 119. [Google Scholar] [CrossRef]
- Kudin, A.P.; Mawasi, H.; Eisenkraft, A.; Elger, C.E.; Bialer, M.; Kunz, W.S. Mitochondrial Liver Toxicity of Valproic Acid and Its Acid Derivatives Is Related to Inhibition of α-Lipoamide Dehydrogenase. Int. J. Mol. Sci. 2017, 18, 1912. [Google Scholar] [CrossRef] [PubMed]
- Neuman, M.G.; Nanau, R.M.; Shekh-Ahmad, T.; Yagen, B.; Bialer, M. Valproic Acid Derivatives Signal for Apoptosis and Repair in Vitro. Clin. Biochem. 2013, 46, 1532–1537. [Google Scholar] [CrossRef] [PubMed]
- Tziona, P.; Theodosis-Nobelos, P.; Rekka, E.A. Medicinal Chemistry Approaches of Controlling Gastrointestinal Side Effects of Non-steroidal Anti-inflammatory Drugs: Endogenous Protective Mechanisms and Drug Design. Med. Chem. 2017, 13, 408–420. [Google Scholar] [CrossRef] [PubMed]
- Cole, B.K.; Lieb, D.C.; Dobrian, A.D.; Nadler, J.L. 12- and 15-lipoxygenases in Adipose Tissue Inflammation. Prostaglandins Other Lipid Mediat. 2013, 84, 104–105. [Google Scholar] [CrossRef]
- Singh, N.K.; Rao, G.N. Emerging Role of 12/15-Lipoxygenase (ALOX15) in Human Pathologies. Prog. Lipid Res. 2019, 73, 28–45. [Google Scholar] [CrossRef]
- Liao, J.C.; Deng, J.S.; Chiu, C.S.; Hou, W.C.; Huang, S.S.; Shie, P.H.; Huang, G.J. Anti-inflammatory Activities of Cinnamomum Cassia Constituents in Vitro and In Vivo. Evid. Based Complement. Alternat. Med. 2012, 2012, 429320. [Google Scholar] [CrossRef]
- Theodosis-Nobelos, P.; Marc, G.; Rekka, E.A. Design, Synthesis, and Evaluation of Antioxidant and NSAID Derivatives with Antioxidant, Anti-Inflammatory, and Plasma Lipid Lowering Effects. Molecules 2024, 29, 1016. [Google Scholar] [CrossRef]
- Tooulia, K.K.; Theodosis-Nobelos, P.; Rekka, E.A. Thiomorpholine Derivatives with Hypolipidemic and Antioxidant Activity. Arch. Pharm. 2015, 348, 629–634. [Google Scholar] [CrossRef]
- Asirvatham, S.; Thakor, E.; Jain, H. Morpholine and Thiomorpholine: A Privileged Scaffold Possessing Diverse Bioactivity Profile. J. Chem. Rev. 2021, 3, 247–272. [Google Scholar]
- Strijbis, E.M.; Nij Bijvank, J.A.; Killestein, J. 4-Aminopyridine Is Not Just a Symptomatic Therapy, It Has a Neuroprotective Effect—Yes. Mult. Scler. 2020, 26, 1309–1310. [Google Scholar] [CrossRef]
- Maralani, M.N.; Movahedian, A.; Javanmard, S.H. Antioxidant and Cytoprotective Effects of L-Serine on Human Endothelial Cells. Res. Pharm. Sci. 2012, 7, 209–215. [Google Scholar] [PubMed]
- Kurita, K.; Ohta, H.; Shirakawa, I.; Tanaka, M.; Kitaura, Y.; Iwasaki, Y.; Matsuzaka, T.; Shimano, H.; Aoe, S.; Arima, H.; et al. Macrophages Rely on Extracellular Serine to Suppress Aberrant Cytokine Production. Sci. Rep. 2021, 11, 11137. [Google Scholar] [CrossRef]
- Nelson, R.H. Hyperlipidemia as a Risk Factor for Cardiovascular Disease. Prim. Care 2013, 40, 195–211. [Google Scholar] [CrossRef]
- Tóth, M.E.; Dukay, B.; Hoyk, Z.; Sántha, M. Cerebrovascular Changes and Neurodegeneration Related to Hyperlipidemia: Characteristics of the Human ApoB-100 Transgenic Mice. Curr. Pharm. Des. 2020, 26, 1486–1494. [Google Scholar] [CrossRef]
- Boarescu, I.; Boarescu, P.M.; Pop, R.M.; Bocșan, I.C.; Gheban, D.; Râjnoveanu, R.M.; Râjnoveanu, A.; Bulboacă, A.E.; Buzoianu, A.D.; Bolboacă, S.D. Curcumin Nanoparticles Enhance Antioxidant Efficacy of Diclofenac Sodium in Experimental Acute Inflammation. Biomedicines 2021, 10, 61. [Google Scholar] [CrossRef]
- Azim, T.; Wasim, M.; Akhtar, M.S.; Akram, I. An in Vivo Evaluation of Anti-inflammatory, Analgesic, and Anti-pyretic Activities of Newly Synthesized 1,2,4 Triazole Derivatives. BMC Complement. Med. Ther. 2021, 21, 304. [Google Scholar] [CrossRef] [PubMed]
- Swathi, K.; Chaitanya, M.; Murugesan, B.; Karan Kumar, B. Synthesis, Anti-inflammatory Activity, and In Silico Studies of Some New 3-({P-Dimethylamino}benzylidenehydrazinylidene)-1,3-dihydro-2H-indole-2-one Derivatives. Adv. Exp. Med. Biol. 2021, 1339, 347–357. [Google Scholar] [PubMed]
- Mansouri, M.T.; Hemmati, A.A.; Naghizadeh, B.; Mard, S.A.; Rezaie, A.; Ghorbanzadeh, B. A Study of the Mechanisms Underlying the Anti-inflammatory Effect of Ellagic Acid in Carrageenan-Induced Paw Edema in Rats. Indian J. Pharmacol. 2015, 47, 292–298. [Google Scholar]
- Ohuchi, K.; Sato, H.; Tsurufuji, S. The Content of Prostaglandin E and Prostaglandin F2-α in the Exudate of Carrageenan Granuloma of Rats. Biochem. Biophys. Acta 1976, 424, 439–448. [Google Scholar] [CrossRef]
- Guay, J.; Bateman, K.; Gordon, R.; Mancini, J.; Riendeau, D. Carrageenan-Induced Paw Edema in Rat Elicits a Predominant Prostaglandins E2 (PGE2) Response in the Central Nervous System Associated with the Induction of Microsomal PGE2 Synthase-1. J. Biol. Chem. 2004, 279, 24866–24873. [Google Scholar] [CrossRef]
- Salvemini, D.; Zhi-Ojang, W.; Bourdon, D.M.; Stern, M.K.; Currie, M.G.; Manning, P.T. Evidence of Peroxynitrite Involvement in the Carrageenan-Induced Paw Edema. Eur. J. Pharmacol. 1996, 303, 217–220. [Google Scholar] [CrossRef] [PubMed]
- Kataoka, T.; Teraoka, J.; Sakoda, A.; Nishiyama, Y.; Yamoto, K.; Monden, M.; Ishimori, Y.; Nomura, T.; Taguchi, T.; Yamaoka, K. Protective Effects of Radon Inhalation on Carrageenan-Induced Inflammatory Paw Edema in Mice. Inflammation 2012, 35, 713–722. [Google Scholar] [CrossRef] [PubMed]
- Theodosis-Nobelos, P.; Politou, T.C.; Athanasekou, C.; Rekka, E.A. Improved Anti-inflammatory Activity and Potential Cytoprotective Properties of Tolfenamic Acid, Naproxen and Indomethacin Derivatives. Lett. Drug Des. Discov. 2017, 14, 464–475. [Google Scholar] [CrossRef]
- Raza, M.; Dhariwal, M.A.; Ageel, A.M.; Qureshi, S. Evaluation of the Anti-inflammatory Activity of Sodium Valproate in Rats and Mice. Gen. Pharmacol. 1996, 27, 1395–1400. [Google Scholar] [CrossRef]
- Alloubani, A.; Nimer, R.; Samara, R. Relationship Between Hyperlipidemia, Cardiovascular Disease and Stroke: A Systematic Review. Curr. Cardiol. Rev. 2021, 17, e051121189015. [Google Scholar] [CrossRef]
- Yao, Y.S.; Li, T.D.; Zeng, Z.H. Mechanisms Underlying Direct Actions of Hyperlipidemia on Myocardium: An Updated Review. Lipids Health Dis. 2020, 19, 23. [Google Scholar] [CrossRef] [PubMed]
- Li, H.; Horke, S.; Förstermann, U. Oxidative Stress in Vascular Disease and Its Pharmacological Prevention. Trends Pharmacol. Sci. 2013, 34, 313–319. [Google Scholar] [CrossRef]
- Iqbal, Z.; Bashir, B.; Ferdousi, M.; Kalteniece, A.; Alam, U.; Malik, R.A.; Soran, H. Lipids and Peripheral Neuropathy. Curr. Opin. Lipidol. 2021, 32, 249–257. [Google Scholar] [CrossRef] [PubMed]
- Yang, W.; Shen, Z.; Wen, S.; Wang, W.; Hu, M. Mechanisms of Multiple Neurotransmitters in the Effects of Lycopene on Brain Injury Induced by Hyperlipidemia. Lipids Health Dis. 2018, 17, 13. [Google Scholar] [CrossRef]
- Shin, K.C.; Ali Moussa, H.Y.; Park, Y. Cholesterol Imbalance and Neurotransmission Defects in Neurodegeneration. Exp. Mol. Med. 2024, 56, 1685–1690. [Google Scholar] [CrossRef]
- Arshad, U.; Santos, J.E.P. Characterization of a Model to Induce Hyperlipidemia in Feed-Restricted Dairy Cows. J. Dairy Sci. Commun. 2023, 5, 77–82. [Google Scholar] [CrossRef] [PubMed]
- Rasouli, M.; Tahmouri, H.; Mosavi-Mehr, M. The Long Term Kinetic of Plasma Lipids and Lipoproteins in Tyloxapol Injected Rats. J. Clin. Diagn. Res. 2016, 10, BF01–BF05. [Google Scholar] [CrossRef]
- Matralis, A.N.; Kourounakis, A.P. Optimizing the Pharmacological Profile of New Bifunctional Antihyperlipidemic/Antioxidant Morpholine Derivatives. ACS Med. Chem. Lett. 2018, 10, 98–104. [Google Scholar] [CrossRef] [PubMed]
- Korolenko, T.A.; Tuzikov, F.V.; Vasil’eva, E.D.; Cherkanova, M.S.; Tuzikova, N.A. Fractional Composition of Blood Serum Lipoproteins in Mice and Rats with Triton WR 1339-Induced Hyperlipidemia. Bull. Exp. Biol. Med. 2019, 167, 752–756. [Google Scholar]
- Branchi, A.; Fiorenza, A.M.; Rovellini, A.; Torri, A.; Muzio, F.; Macor, S.; Sommariva, D. Lowering Effects of Four Different Statins on Serum Triglyceride Level. Eur. J. Clin. Pharmacol. 1999, 55, 499–502. [Google Scholar] [CrossRef]
- Theodosis-Nobelos, P.; Kourounakis, P.N.; Rekka, E.A. Anti-inflammatory and Hypolipidemic Effect of Novel Conjugates with Trolox and Other Antioxidant Acids. Med. Chem. 2017, 13, 214–225. [Google Scholar] [CrossRef]
- Tsiakitzis, K.C.; Rekka, E.A.; Kourounakis, A.P.; Kourounakis, P.N. Novel Compounds Designed as Antistress Agents. J. Med. Chem. 2009, 52, 7315–7318. [Google Scholar] [CrossRef] [PubMed]
- Theodosis-Nobelos, P.; Papagiouvannis, G.; Tziona, P.; Kourounakis, P.N.; Rekka, E.A. Antioxidant Serine-(NSAID) Hybrids with Anti-inflammatory and Hypolipidemic Potency. Molecules 2021, 26, 4060. [Google Scholar] [CrossRef]
- Gao, X.; Lee, K.; Reid, M.A.; Sanderson, S.M.; Qiu, C.; Li, S.; Liu, J.; Locasale, J.W. Serine Availability Influences Mitochondrial Dynamics and Function through Lipid Metabolism. Cell Rep. 2018, 22, 3507–3520. [Google Scholar] [CrossRef]
- Mehrmohamadi, M.; Liu, X.; Shestov, A.A.; Locasale, J.W. Characterization of the Usage of the Serine Metabolic Network in Human Cancer. Cell Rep. 2014, 9, 1507–1519. [Google Scholar] [CrossRef]
- Kuhn, H.; Banthiya, S.; van Leyen, K. Mammalian Lipoxygenases and Their Biological Relevance. Biochim. Biophys. Acta 2015, 1851, 308–330. [Google Scholar] [CrossRef] [PubMed]
- Czapski, G.A.; Czubowicz, K.; Strosznajder, J.B.; Strosznajder, R.P. The Lipoxygenases: Their Regulation and Implication in Alzheimer’s Disease. Neurochem. Res. 2016, 41, 243–257. [Google Scholar] [CrossRef]
- Joshi, Y.B. Neuroinflammation and Alzheimer’s Disease: Lessons Learned from 5-Lipoxygenase. Transl. Neurosci. 2014, 5, 197–202. [Google Scholar] [CrossRef]
- Hadjipavlou-Litina, D.; Głowacka, I.E.; Marco-Contelles, J.; Piotrowska, D.G. Synthesis and Antioxidant Activity of N-Benzyl-2-[4-(Aryl)-1H-1,2,3-Triazol-1-Yl]Ethan-1-Imine Oxides. Int. J. Mol. Sci. 2024, 25, 5908. [Google Scholar] [CrossRef]
- Simijonović, D.; Avdović, E.; Milić, S.J.; Antonijević, M.; Milenković, D.; Marković, K.; Grujović, M.; Stojković, D.L.; Dekić, M.; Marković, Z. Investigation of Antimicrobial and Anti-inflammatory Efficacy of Newly Synthesized Pyrogallol-Coumarin Hybrids: In Vitro and In Silico Studies. Pharmaceutics 2024, 16, 1472. [Google Scholar] [CrossRef]
- Katopodi, A.; Tsotsou, E.; Iliou, T.; Deligiannidou, G.-E.; Pontiki, E.; Kontogiorgis, C.; Tsopelas, F.; Detsi, A. Synthesis, Bioactivity, Pharmacokinetic, and Biomimetic Properties of Multi-Substituted Coumarin Derivatives. Molecules 2021, 26, 5999. [Google Scholar] [CrossRef] [PubMed]
- Harch, P.G.; Rhodes, S. Acute and Chronic Central Nervous System Oxidative Stress/Toxicity during Hyperbaric Oxygen Treatment of Subacute and Chronic Neurological Conditions. Front. Neurol. 2024, 15, 1341562. [Google Scholar] [CrossRef]
- Jomova, K.; Raptova, R.; Alomar, S.Y.; Alwasel, S.H.; Nepovimova, E.; Kuca, K.; Valko, M. Reactive Oxygen Species, Toxicity, Oxidative Stress, and Antioxidants: Chronic Diseases and Aging. Arch. Toxicol. 2023, 97, 2499–2574. [Google Scholar] [PubMed]
- Lavrentaki, V.; Kousaxidis, A.; Theodosis-Nobelos, P.; Papagiouvannis, G.; Koutsopoulos, K.; Nicolaou, I. Design, Synthesis, and Pharmacological Evaluation of Indazole Carboxamides of N-Substituted Pyrrole Derivatives as Soybean Lipoxygenase Inhibitors. Mol. Divers. 2024, 28, 3757–3782. [Google Scholar] [CrossRef]
- Mic, M.; Pîrnău, A.; Floare, C.G.; Marc, G.; Franchini, A.H.; Oniga, O.; Vlase, L.; Bogdan, M. Synthesis and Molecular Interaction Study of a Diphenolic Hidrazinyl-Thiazole Compound with Strong Antioxidant and Antiradical Activity with HAS. J. Mol. Struct. 2021, 1244, 131278. [Google Scholar] [CrossRef]




| Compound | % Edema Reduction |
|---|---|
| 1 | 48 ** |
| 2 | 37 * |
| 3 | 29 * |
| 4 | 45 ** |
| 5 | 46 ** |
| 6 | 30 * |
| Ibuprofen | 36 ** |
| Compound | % Reduction | |||
|---|---|---|---|---|
| Dose (i.p.) (μmol/kg) | TC | TG | LDL-C | |
| 1 | 150 | 50.2 *** | 52.0 *** | 76.3 ** |
| 2 | 150 | 71.1 ** | 52.8 * | 79.1 ** |
| 3 | 150 | 57.0 *** | 33.7 * | 33.2 * |
| 4 | 150 | 61.4 *** | 38.9 * | 58.2 ** |
| 5 | 150 | 65.9 ** | 52.3 *** | 59.2 * |
| 6 | 150 | 48.9 * | 21.0 * | 44.8 * |
| Simvastatin | 150 | 73.0 *** | - | 70.0 *** |
| Ibuprofen | 300 | 41.0 *** | 38.0 *** | 41.6 *** |
| Compound | % Inhibition |
|---|---|
| 1 | 48 |
| 2 | 27 |
| 3 | 20 |
| 4 | 69 |
| 5 | 23 |
| 6 | 30 |
| Ibuprofen | 12 |
| Trolox | - |
| NDGA | 94 |
| Compound | Molecular Weight | Total Polar Surface Area (Å2) | H Bond Donors | H Bond Acceptors | ClogP | Lipinsky’s Rule of 5 Violations |
|---|---|---|---|---|---|---|
| 1 | 220.31 | 41.99 | 1 | 3 | 3.45 | 0 |
| 2 | 229.38 | 20.31 | 0 | 2 | 2.88 | 0 |
| 3 | 243.34 | 66.40 | 2 | 4 | 1.99 | 0 |
| 4 | 433.58 | 81.71 | 1 | 6 | 6.77 | 1 |
| 5 | 477.59 | 111.17 | 2 | 8 | 5.69 | 1 |
| 6 | 503.67 | 101.94 | 2 | 7 | 7.39 | 2 |
| Comp. | Percent Interaction with DPPH |
Inhibition of Lipid Peroxidation IC50 (μΜ) | |||
|---|---|---|---|---|---|
| 200 μΜ | 100 μΜ | 50 μΜ | 25 μΜ | ||
| 5 | 91 | 84 | 51 | 25 | 2.6 μΜ |
| 6 | 90 | 59 | 26 | 15 | 45 μΜ |
| Trolox | 92 | 90 | 38 | 22 | 25 μΜ |
Disclaimer/Publisher’s Note: The statements, opinions and data contained in all publications are solely those of the individual author(s) and contributor(s) and not of MDPI and/or the editor(s). MDPI and/or the editor(s) disclaim responsibility for any injury to people or property resulting from any ideas, methods, instructions or products referred to in the content. |
© 2025 by the authors. Licensee MDPI, Basel, Switzerland. This article is an open access article distributed under the terms and conditions of the Creative Commons Attribution (CC BY) license (https://creativecommons.org/licenses/by/4.0/).
Share and Cite
Theodosis-Nobelos, P.; Rekka, E.A. Multi-Targeting Valproic Acid Conjugates as Potent Agents Against Inflammation and Hyperlipidemia. Molecules 2025, 30, 2339. https://doi.org/10.3390/molecules30112339
Theodosis-Nobelos P, Rekka EA. Multi-Targeting Valproic Acid Conjugates as Potent Agents Against Inflammation and Hyperlipidemia. Molecules. 2025; 30(11):2339. https://doi.org/10.3390/molecules30112339
Chicago/Turabian StyleTheodosis-Nobelos, Panagiotis, and Eleni A. Rekka. 2025. "Multi-Targeting Valproic Acid Conjugates as Potent Agents Against Inflammation and Hyperlipidemia" Molecules 30, no. 11: 2339. https://doi.org/10.3390/molecules30112339
APA StyleTheodosis-Nobelos, P., & Rekka, E. A. (2025). Multi-Targeting Valproic Acid Conjugates as Potent Agents Against Inflammation and Hyperlipidemia. Molecules, 30(11), 2339. https://doi.org/10.3390/molecules30112339
