Journal Description
International Journal of Environmental Research and Public Health
International Journal of Environmental Research and Public Health
(IJERPH) is a transdisciplinary, peer-reviewed, open access journal that covers global health, healthcare sciences, behavioral and mental health, infectious diseases, chronic diseases and disease prevention, exercise and health related quality of life, environmental health and environmental sciences, and is published monthly online by MDPI. The International Society Doctors for the Environment (ISDE), Italian Society of Environmental Medicine (SIMA) and Environmental Health Association of Québec (ASEQ‑EHAQ) are affiliated with IJERPH and their members receive discounts on the article processing charges.
- Open Access— free for readers, with article processing charges (APC) paid by authors or their institutions.
- High Visibility: indexed within Scopus, PubMed, MEDLINE, PMC, Embase, GEOBASE, CAPlus / SciFinder, and other databases.
- Journal Rank: CiteScore - Q1 (Public Health, Environmental and Occupational Health)
- Rapid Publication: manuscripts are peer-reviewed and a first decision is provided to authors approximately 29.5 days after submission; acceptance to publication is undertaken in 3.9 days (median values for papers published in this journal in the second half of 2025).
- Recognition of Reviewers: reviewers who provide timely, thorough peer-review reports receive vouchers entitling them to a discount on the APC of their next publication in any MDPI journal, in appreciation of the work done.
- Testimonials: See what our editors and authors say about IJERPH.
- Sections: published in 7 topical sections.
- Companion journal: Air.
- Journal Cluster of Healthcare Sciences and Services: Geriatrics, Journal of Ageing and Longevity, Healthcare, Hospitals, Hygiene, International Journal of Environmental Research and Public Health and Nursing Reports.
Latest Articles
The Role of Socio-Structural Factors in Influencing Feeding Intentions and Practices Among Mothers with Infants in Mthatha, South Africa
Int. J. Environ. Res. Public Health 2026, 23(1), 133; https://doi.org/10.3390/ijerph23010133 - 21 Jan 2026
Abstract
Breastfeeding is universally regarded as the cornerstone of infant feeding, as it is the ideal infant feeding choice for optimal nutrition and development. Socio-structural factors of breastfeeding in child health play an important role in guiding women’s decisions on options to feed their
[...] Read more.
Breastfeeding is universally regarded as the cornerstone of infant feeding, as it is the ideal infant feeding choice for optimal nutrition and development. Socio-structural factors of breastfeeding in child health play an important role in guiding women’s decisions on options to feed their babies. A cross-sectional study was conducted among mothers with infants aged 0–6 months in Mthatha, Eastern Cape, with the aim of assessing the role of socio-structural factors in shaping feeding intentions and practices among mothers with infants. Written Informed consent was obtained in accordance with the Declaration of Helsinki from the participants prior to data collection. Data was gathered with a validated designed questionnaire as well as analyzed using Social Sciences (SPSS) version 29. A total of 181 mothers were enrolled. Only 45.9% reported that they exclusively breastfed their babies, of which the highest proportion of exclusive breastfeeding (EBF) was observed among the 21–29 age group at 51.8%, and the lowest among those aged 20 years and below (3.6%). Marital status (p = 0.005) and employment status (p < 0.001) were significantly associated with exclusive breastfeeding, with higher EBF rates observed among married mothers and those who were self-employed. Both the EBF mothers and non-EBF mothers shared a common belief that colostrum was not beneficial for infants (p = 0.854), whereas their views differed significantly on the amount of water given to infants before they reached six months (p = 0.001). There was no significant relationship between EBF status and having a family member who had breastfed in the past six months (p = 0.815); also, a weak association was noted for having a friend who had breastfed recently (p = 0.057). The difference in EBF practice between those receiving antenatal care (ANC) breastfeeding education and those not receiving it was not statistically significant (p = 0.591). A statistically significant association was found between the support level and exclusive breastfeeding status (p < 0.001). This study highlights that the successful practice of exclusive breastfeeding (EBF) is strongly associated with high levels of social support. Interventions are needed to engage active partners, family members, and community members in creating a supportive environment for breastfeeding mothers.
Full article
Open AccessArticle
Responsiveness to City Service Requests, Life Satisfaction, and Horizontal Inequality: Does Good Local Governance Improve Subjective Well-Being for All?
by
Danyel P. L. Tharakan and Tiffany N. Ford
Int. J. Environ. Res. Public Health 2026, 23(1), 132; https://doi.org/10.3390/ijerph23010132 - 21 Jan 2026
Abstract
Local governance has been found to be an important determinant of individuals’ subjective well-being (SWB) in cross-municipality studies in Europe and Asia. In addition, previous literature suggests that increasing access to determinants of SWB provides lesser SWB benefit to racial minorities compared to
[...] Read more.
Local governance has been found to be an important determinant of individuals’ subjective well-being (SWB) in cross-municipality studies in Europe and Asia. In addition, previous literature suggests that increasing access to determinants of SWB provides lesser SWB benefit to racial minorities compared to white people in the United States (U.S.). Given this context, we ask the following: (1) does good local governance improve SWB in the U.S.? and (2) does good local governance improve SWB for Black and Hispanic people equally compared to white people? To answer these questions, we examine Chicago, Illinois, the third-largest city in the U.S. with substantial Black and Hispanic populations. We model local governance, our independent variable, as the number of weeks for the municipality to respond to pothole service requests reported to the city’s non-emergency services system. Our dependent variable was life satisfaction, measured by the Cantril Ladder. Covariates included self-reported health problems, lack of money for food, sex, age, age-squared, and marital status. Neighborhood race/ethnicity was tested as a moderator of the primary relationships. We estimated linear regression models with and without race × governance interactions. Our findings demonstrate that local governance is an important determinant of SWB, but that it benefits SWB in white neighborhoods more than in Black/Hispanic neighborhoods.
Full article
(This article belongs to the Section Behavioral and Mental Health)
►▼
Show Figures

Figure 1
Open AccessArticle
Understanding the Lived Experience of Family Caregivers of Loved Ones in Long-Term Care During COVID-19 Through Art
by
Tracy M. Christianson, Evans Appiah-Kusi and Jordan Bremner
Int. J. Environ. Res. Public Health 2026, 23(1), 131; https://doi.org/10.3390/ijerph23010131 - 21 Jan 2026
Abstract
Public health restrictions during COVID-19 disproportionately affected older adults, especially those in long-term care (LTC) and their families. Family caregivers (FCs) are essential care partners in LTC settings, yet pandemic policies largely excluded them, creating emotional and systemic consequences. This study explored FCs’
[...] Read more.
Public health restrictions during COVID-19 disproportionately affected older adults, especially those in long-term care (LTC) and their families. Family caregivers (FCs) are essential care partners in LTC settings, yet pandemic policies largely excluded them, creating emotional and systemic consequences. This study explored FCs’ experiences of visitation restrictions in British Columbia, Canada, using an arts-based qualitative approach within a larger mixed-methods project. Eight FCs participated in completing a total of twelve artworks, including photographs, collages, and creative writing that reflected their experiences. Virtual talking circles were used to facilitate the sharing and description of their experiences. Findings revealed three interconnected theme categories with eleven sub-themes. These themes suggest a plausible pathway: infection-control rules may lead to caregiver exclusion, disrupting relational continuity and oversight and contributing to distress and task-centered care. While context-specific and exploratory, results underscore the need for trauma-informed, family-inclusive policies and cultural safety in LTC. Arts-based research methods provided a powerful lens for capturing emotional realities often missed by conventional research.
Full article
(This article belongs to the Special Issue Family Caregiving, Nursing and Health Promotion)
►▼
Show Figures

Figure 1
Open AccessArticle
Locus of Control and Its Association with Depression, Anxiety, and Stress Among Mexican University Students: A Cross-Sectional Study
by
Magnolia Guerrero Castillo, Maria Fernanda Martinez Gonzalez, Andrea Alejandra Escalera Jasso, Luis Adrian Alvarez Lozada, Arcelia Lizbeth Torres Pérez, Alejandro Quiroga Garza, Rosa Ivett Guzman Avilan, Diego Escamilla Magaña, Rodrigo Bravo Garcia, Martha Lilia Pérez Sosa, Yelyann Magory Márquez González, Rodrigo Enrique Elizondo Omaña and Guillermo Jacobo Baca
Int. J. Environ. Res. Public Health 2026, 23(1), 130; https://doi.org/10.3390/ijerph23010130 - 21 Jan 2026
Abstract
Locus of control is a psychological construct that influences how individuals perceive their ability to manage life events. Although its relationship with mental health has been widely studied, limited evidence exists among Latin-American university student populations. To assess the association between locus of
[...] Read more.
Locus of control is a psychological construct that influences how individuals perceive their ability to manage life events. Although its relationship with mental health has been widely studied, limited evidence exists among Latin-American university student populations. To assess the association between locus of control and symptoms of depression, anxiety, and stress among university students in Nuevo León, Mexico. A cross-sectional, analytical study was conducted using data from the Healthy Lifestyle Promotion Program at the Universidad Autónoma de Nuevo León. A total of 815 students completed a digital survey assessing sociodemographic variables, DASS-21, and Burger’s Locus of Control Scale. Participants had a mean age of 19.8 ± 3.4, 57.1% were women. The prevalence of symptoms was 64.4% for depression, 55.8% for stress, and 74.1% for anxiety. Women exhibited higher severity across all dimensions (p < 0.001). Locus of control scores decreased significantly as the severity of depression, stress, and anxiety increased, particularly in moderate to extremely severe categories. An external locus of control was consistently associated with higher frequency of severe psychological symptoms. An external locus of control was strongly associated with poorer mental health outcomes. Strengthening internal locus of control may enhance resilience, reduce psychological distress, and improve academic performance.
Full article
(This article belongs to the Special Issue Health Behaviors and Mental Health Among College Students)
►▼
Show Figures

Figure 1
Open AccessArticle
Comparison of Mental Illness Comorbidity Pre-Pandemic vs. Pandemic-Era and Associations with Clinical and Demographic Characteristics for Virginia Public Hospital Inpatient Discharges with a Substance Use Disorder
by
Marilyn Bartholmae and Tharidu Gunawardena
Int. J. Environ. Res. Public Health 2026, 23(1), 129; https://doi.org/10.3390/ijerph23010129 - 21 Jan 2026
Abstract
The rise in mental illnesses after the COVID-19 pandemic is well documented. However, it is not known whether the rates of mental illness comorbidity increased. The objectives of this study were to compare mental illness comorbidity rates before and after the pandemic among
[...] Read more.
The rise in mental illnesses after the COVID-19 pandemic is well documented. However, it is not known whether the rates of mental illness comorbidity increased. The objectives of this study were to compare mental illness comorbidity rates before and after the pandemic among inpatients with SUD and to test associations between mental illness comorbidity, physical illness, and demographics. We used a retrospective cross-sectional design in a sample of inpatient discharges (N = 233,017) at Virginia public hospitals from January 2018 to December 2022. We used Z tests to compare rates of mental illness comorbidity pre- and post-pandemic and Chi-square tests to examine associations of mental illness comorbidity with physical illness and demographics. Single and comorbid mental illness significantly increased from pre- to post-pandemic, p < 0.0001. Mental illness comorbidity was significantly associated with sex, age, race, insurance, COVID-19/Long COVID, HIV/AIDS, COPD, hypertension, obesity, CVD, cancer, and diabetes (p < 0.0001). There was a significant increase in mental illness comorbidity, which was significantly associated with age, race, sex, and physical illnesses. Children/adolescents, females, American Indians, and individuals with HIV/AIDS had the highest rates of mental illness comorbidity. Public health action is needed to address the increase in complex medical needs among people with SUD.
Full article
Open AccessArticle
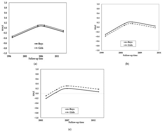
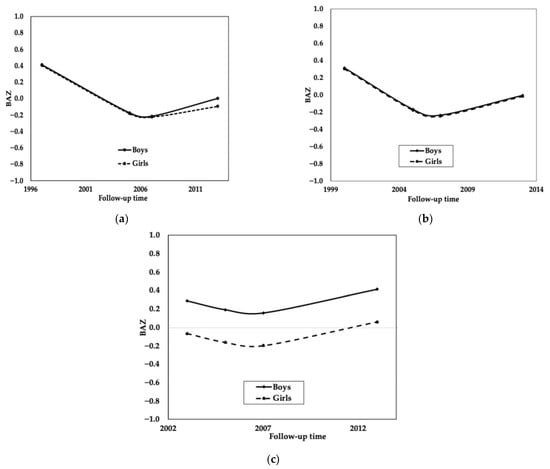
Sociodemographic Factors and Childhood Growth: Associations with Environmental Sanitation Phases
by
Yadira Morejón-Terán, Ana Clara P. Campos, Juan Marcos Parise-Vasco, Leila Denise A. F. Amorim, Laura C. Rodrigues, Mauricio L. Barreto and Sheila Maria Alvim de Matos
Int. J. Environ. Res. Public Health 2026, 23(1), 128; https://doi.org/10.3390/ijerph23010128 - 20 Jan 2026
Abstract
Background: Early childhood growth trajectories can influence the risk of chronic diseases in adulthood. Improvements in environmental sanitation may affect child development in low-resource settings. Objective: to examine the associations among socioeconomic factors with nutrition indicators, and trajectories of anthropometric indicators across three
[...] Read more.
Background: Early childhood growth trajectories can influence the risk of chronic diseases in adulthood. Improvements in environmental sanitation may affect child development in low-resource settings. Objective: to examine the associations among socioeconomic factors with nutrition indicators, and trajectories of anthropometric indicators across three epidemiological cohorts that reflect different phases of environmental sanitation implementation. Methods: A longitudinal study was conducted in Salvador, Brazil, from 1997 to 2013. A total of 1429 children were recruited across three epidemiological cohorts, corresponding to the phases of a sanitation program: pre-intervention (n = 299), intervention (n = 1007), and post-intervention (n = 123). Height-for-age (HAZ) and BMI-for-age (BAZ) z-scores were assessed at four time points. Multilevel linear models were used to adjust for socioeconomic factors. Results: A total of 992 children (68.7%) completed follow-up. Post-intervention children showed improved HAZ trajectories, with sex-specific patterns that varied across cohorts. Birth weight is positively associated with HAZ across all cohorts (0.34–0.49 kg increase per z-score). Household overcrowding (>2 persons/room) is consistently associated with lower HAZ (−0.34 to −0.63 z-score reduction). Children who were never exclusively breastfed in the post-intervention phase had a higher BAZ (0.76 z-score increase). Caesarean delivery is associated with higher BAZ in the pre-intervention (0.23) and intervention (0.27) cohorts. Conclusions: Children born in later time periods showed better growth trajectories, which may reflect the combined effects of sanitation improvements, economic development, and other societal changes in Brazil during this period. Further research using experimental or quasi-experimental designs is needed to isolate the specific contribution of sanitation to child growth.
Full article
(This article belongs to the Section Environmental Health)
►▼
Show Figures

Figure 1
Open AccessFeature PaperArticle
Building Capacity in Crisis: Evaluating a Health Assistant Training Program for Young Rohingya Refugee Women
by
Nada Alnaji, Bree Akesson, Ashley Stewart-Tufescu, Md Golam Hafiz, Shahidul Hoque, Farhana Ul Hoque, Rayyan A. Alyahya, Carine Naim, Sulafa Zainalabden Alrkabi, Wael ElRayes and Iftikher Mahmood
Int. J. Environ. Res. Public Health 2026, 23(1), 127; https://doi.org/10.3390/ijerph23010127 - 20 Jan 2026
Abstract
Background: The Rohingya refugee crisis is one of the largest humanitarian emergencies of the 21st century, with nearly one million Rohingya residing in overcrowded camps in southern Bangladesh. Women and children face the greatest vulnerabilities, including inadequate access to education and healthcare, which
[...] Read more.
Background: The Rohingya refugee crisis is one of the largest humanitarian emergencies of the 21st century, with nearly one million Rohingya residing in overcrowded camps in southern Bangladesh. Women and children face the greatest vulnerabilities, including inadequate access to education and healthcare, which exacerbates their risks and limits opportunities for personal and community development. While international organizations continue to provide aid, resources remain insufficient, particularly in maternal and child healthcare, highlighting the urgent need for sustainable interventions. Objectives: The Hope Foundation for Women and Children in Bangladesh launched a pilot project for the Health Assistant Training (HAT) program to address critical gaps in healthcare and education for the Rohingya community. This nine-month training program equips young Rohingya women with essential knowledge and skills to support maternal health services in both clinical and community settings. Design: We conducted a qualitative evaluation of the HAT Program to explore its acceptance and anticipated benefits for both participants and the community. Methods: The research team used semi-structured interviews, focus groups, and field observations to explore the HAT Program’s impact on young Rohingya women and their community. They analyzed data through thematic analysis, developing a coding framework and identifying key themes to uncover patterns and insights. Results: The results were categorized into four themes: (1) community acceptance of the HAT Program, (2) the HAT Program’s impact on the health assistant trainees, (3) the impact of the HAT Program on the community, and (4) the potential ways to expand the HAT Program. Conclusions: This research underscores the program’s impact on improving healthcare access, enhancing women’s empowerment, and promoting community resilience. By situating this initiative within the broader context of refugee health, education, and capacity-building, this research highlights the HAT program’s potential as a replicable model in Bangladesh and in other humanitarian settings.
Full article
(This article belongs to the Special Issue Breaking Down Barriers: Ensuring Healthcare Access for Migrant and Refugee Communities)
Open AccessArticle
Nature-Based Health Interventions for People with Mild to Moderate Anxiety, Depression, and/or Stress: Identifying Target Groups, Professionals, Mechanisms, and Outcomes Through a Delphi Study
by
Louise S. Madsen, Knud Ryom, Liv J. Nielsen, Dorthe V. Poulsen and Nanna H. Jessen
Int. J. Environ. Res. Public Health 2026, 23(1), 126; https://doi.org/10.3390/ijerph23010126 - 20 Jan 2026
Abstract
Nature-based health interventions (NBHIs) are increasingly used in the healthcare system to support people with anxiety, depression and/or stress, highlighting the need for systematic development and evaluation. This study aims to identify target group, professionals, mechanisms, and outcomes of NBHIs for people with
[...] Read more.
Nature-based health interventions (NBHIs) are increasingly used in the healthcare system to support people with anxiety, depression and/or stress, highlighting the need for systematic development and evaluation. This study aims to identify target group, professionals, mechanisms, and outcomes of NBHIs for people with mild to moderate anxiety, depression, and/or stress. A Delphi-based study was conducted to explore core components of NBHIs in healthcare settings. Thirteen vs. eleven researchers with expertise related to the target group responded in two rounds. Respondents rated statements on a 7-point Likert scale and prioritised core components regarding target group, professionals, mechanisms, and outcomes. A thematic analysis was applied to synthesise qualitative responses. Consensus was achieved on 12 of 21 items across the four domains. Highest agreement concerned core mechanisms (nature interaction, social community, and physical activity), outcome priorities (mental wellbeing and quality of life), and professional competencies. Greater variation was observed regarding group composition and team delivery. Analysis of qualitative expert responses highlighted four key themes: (1) Balancing Group Composition, (2) Adapting Competencies to Context, (3) Core Mechanisms for Change, and (4) Weighing Perspectives in Outcome Selection. By setting out guiding principles for a programme theory, the study lays the foundation for the design and implementation of context-adapted NBHIs. The study underscores the need to approach NBHIs as complex interventions, thus contributing to a paradigm shift towards a new era of a bio-psycho-social health perspective.
Full article
(This article belongs to the Section Behavioral and Mental Health)
►▼
Show Figures

Figure 1
Open AccessArticle
Opportunities and Challenges in the Care of Patients with Somatic Complaints and Patients with Additional Work-Related Anxiety—A Mixed Methods Study
by
Lara Kleist, Franziska Weißenstein, Beate Muschalla, Lukas Kühn, Eileen Wengemuth and Kyung-Eun (Anna) Choi
Int. J. Environ. Res. Public Health 2026, 23(1), 125; https://doi.org/10.3390/ijerph23010125 - 20 Jan 2026
Abstract
►▼
Show Figures
Background: Work-related anxiety can result in prolonged work incapacity and reduce return-to-work probabilities. Despite the prevalence of work-related anxiety in somatic rehabilitation settings, there has been little research examining the experiences of affected patients from a public health perspective. This research project aims
[...] Read more.
Background: Work-related anxiety can result in prolonged work incapacity and reduce return-to-work probabilities. Despite the prevalence of work-related anxiety in somatic rehabilitation settings, there has been little research examining the experiences of affected patients from a public health perspective. This research project aims to address this gap by providing initial insights into the care provided to patients with somatic complaints and patients with additional work-related anxiety. Methods: A sequential mixed methods approach was employed, beginning with semi-structured interviews (2022, n = 18 orthopedic rehabilitation patients), followed by questionnaire distribution (2023, n = 53). Qualitative analysis distinguished between patients with higher (JA) and lower (nJA) Job Anxiety Scale scores (cut-off 2.5). Results: The findings highlight notable differences between JA and nJA patients. JA patients often report that they face unmet psychological needs, limited work-related treatment focus, financial barriers, and inadequate occupational support, relying more on self-initiative for reliable information. In contrast, nJA patients appear to benefit from stronger social networks, stable financial resources, and improved access to healthcare. Both groups report mixed experiences with workplace support. For professionals the findings underline that JA patients are specifically in need of work-related interventions, even patients themselves remind about this. Conclusions: The findings illustrate significant differences between JA and nJA patients in terms of their experiences, challenges, and support needs within healthcare, workplace, and rehabilitation contexts. While qualitatively insightful, these findings are pilot and explorative and warrant further research. Trial registration: DRKS00029004 (25 May 2022).
Full article

Figure 1
Open AccessArticle
Exploring Inclusion in Austria’s Breast Cancer Screening:A Dual-Perspective Study of Women with Intellectual Disabilities and Their Caregivers
by
Theresa Wagner, Nourhan Makled, Katrina Scior, Laura Maria König, Matthias Unseld and Elisabeth Lucia Zeilinger
Int. J. Environ. Res. Public Health 2026, 23(1), 124; https://doi.org/10.3390/ijerph23010124 - 19 Jan 2026
Abstract
Women with intellectual disabilities (IDs) face persistent health inequities, particularly in preventive services such as breast cancer screening, where participation rates remain disproportionately low. These disparities contribute to higher mortality and poorer survivorship outcomes, often linked to later-stage diagnoses. To better understand these
[...] Read more.
Women with intellectual disabilities (IDs) face persistent health inequities, particularly in preventive services such as breast cancer screening, where participation rates remain disproportionately low. These disparities contribute to higher mortality and poorer survivorship outcomes, often linked to later-stage diagnoses. To better understand these challenges and inform the development of inclusive screening programs, this qualitative study conducted in Austria explored barriers, facilitators, and needs related to breast cancer screening from the dual perspectives of 17 women with mild-to-moderate IDs aged 45 and older and 10 caregivers. Semi-structured focus groups and interviews were analyzed thematically within a constructivist framework, integrating perspectives from both groups. Barriers included social taboos around sexuality, psychological distress, exclusion through standardized procedures, and unclear responsibility among stakeholders. Facilitators involved person-centered communication, accessible information, emotional and practical support, and familiar healthcare environments. Women with IDs expressed a strong desire for education, autonomy, and inclusion, while caregivers played a pivotal role in enabling access. These findings demonstrate that low screening participation among women with IDs is driven by systemic and organizational barriers rather than lack of health awareness or willingness to participate. Without structurally inclusive design, organized screening programs risk perpetuating preventable inequities in early detection. Embedding accessibility, clear accountability, and person-centered communication as standard features of breast cancer screening is therefore a public health priority to reduce avoidable late-stage diagnoses and narrow survival disparities for women with IDs.
Full article
(This article belongs to the Special Issue Breast Health and Cancer Awareness: Addressing Breast Cancer Disparities from Etiology to Survivorship)
►▼
Show Figures

Figure 1
Open AccessArticle
Unmet Needs and Service Priorities for ADHD in Australia: AI-Assisted Analysis of Senate Inquiry Submissions
by
Blair Hudson, Sam Connell, Anie Kurumlian, Anjali Fernandes, Habib Bhurawala and Alison Poulton
Int. J. Environ. Res. Public Health 2026, 23(1), 123; https://doi.org/10.3390/ijerph23010123 - 19 Jan 2026
Abstract
►▼
Show Figures
Objective: To analyse written submissions from individuals and families with lived experience of attention-deficit hyperactivity disorder (ADHD) to the 2023 Australian Senate Inquiry, using artificial intelligence (AI)-assisted thematic analysis. The aim was to identify priority concerns, service needs, and community-proposed solutions. Methods: A
[...] Read more.
Objective: To analyse written submissions from individuals and families with lived experience of attention-deficit hyperactivity disorder (ADHD) to the 2023 Australian Senate Inquiry, using artificial intelligence (AI)-assisted thematic analysis. The aim was to identify priority concerns, service needs, and community-proposed solutions. Methods: A mixed-methods study of 505 publicly available submissions from individuals with ADHD and their families. Submissions were analysed using large language model (LLM)-assisted data extraction and thematic clustering, with human validation and review. Main Outcome Measures: Frequency and thematic distribution of (1) problems experienced; (2) services wanted; and (3) solutions suggested. Results: Thematic analysis of 480 eligible submissions revealed high costs and long wait times for assessment and treatment (each cited by 46%), lack of specialised care (39%), diagnostic delays (36%), and gender bias (27%). The most common service request was for affordable and accessible ADHD-specific care (71%), followed by services tailored to diverse populations and life stages. Proposed solutions focused on Medicare-funded access to psychological and psychiatric services (68%), expanded roles for general practitioners, improved provider training (39%), and recognition of ADHD under the National Disability Insurance Scheme. Submissions also highlighted misalignment between current clinical guidelines and public expectations. Conclusions: The findings highlight substantial unmet needs and systemic barriers in ADHD diagnosis and care in Australia. The AI-assisted analysis of consumer submissions offers a scalable method for integrating lived experience into policy development, providing numerical weighting to the individuals’ responses. Coordinated reforms in access, funding, and workforce training are needed to align services with both clinical evidence and community expectations.
Full article

Figure 1
Open AccessArticle
Lean Six Sigma for Sharps Waste Management and Occupational Biosafety in Emergency Care Units
by
Marcos Aurélio Cavalcante Ayres, Andre Luis Korzenowski, Fernando Elemar Vicente dos Anjos, Taisson Toigo and Márcia Helena Borges Notarjacomo
Int. J. Environ. Res. Public Health 2026, 23(1), 122; https://doi.org/10.3390/ijerph23010122 - 19 Jan 2026
Abstract
Occupational exposure to sharps waste represents a critical challenge for public health systems, directly affecting healthcare workers’ safety, institutional costs, and environmental sustainability. This study aimed to analyze sharps waste management practices and to structure improvement actions for biosafety governance in Brazilian Emergency
[...] Read more.
Occupational exposure to sharps waste represents a critical challenge for public health systems, directly affecting healthcare workers’ safety, institutional costs, and environmental sustainability. This study aimed to analyze sharps waste management practices and to structure improvement actions for biosafety governance in Brazilian Emergency Care Units (ECUs) through the application of the Lean Six Sigma (LSS) and DMAIC method (Define, Measure, Analyze, Improve, and Control). A single multiple-case study was conducted across three public units in different regions of Brazil, combining direct observation, regulatory checklists based on ANVISA Resolution No. 222/2018 (RDC), and cause–and–effect (5M) analysis. The diagnostic phase identified recurrent nonconformities in labeling, documentation, and internal transport routes, primarily due to managerial and behavioral gaps. Based on these findings, the DMAIC framework supported the development of a low-cost, evidence-based action plan that outlined proposed interventions, including visual checklists, standardized internal routes, and key performance indicators (KPIs), intended to strengthen biosafety traceability and occupational safety. The se proposed actions are expected to support continuous learning, staff engagement, and a culture of shared responsibility for safe practices. Overall, the study provides a structured basis for future implementation and empirical validation of continuous improvement initiatives, aimed at enhancing public health governance and occupational safety in resource-constrained healthcare environments.
Full article
(This article belongs to the Section Environmental Health)
Open AccessSystematic Review
Diagnosis-Specific Links Between Physical Activity and Sleep Duration in Youth with Disabilities: A Systematic Review with Quantitative Synthesis
by
Janette M. Watkins, Martin E. Block, Janelle M. Goss, Emily M. Munn and Devan X. Antczak
Int. J. Environ. Res. Public Health 2026, 23(1), 121; https://doi.org/10.3390/ijerph23010121 - 19 Jan 2026
Abstract
►▼
Show Figures
Children and adolescents with disabilities experience disproportionate challenges in achieving recommended levels of physical activity (PA) and adequate sleep, two core determinants of health and functional well-being. This systematic review examined associations between meeting PA guidelines and sleep duration among youth with disabilities.
[...] Read more.
Children and adolescents with disabilities experience disproportionate challenges in achieving recommended levels of physical activity (PA) and adequate sleep, two core determinants of health and functional well-being. This systematic review examined associations between meeting PA guidelines and sleep duration among youth with disabilities. Following PRISMA guidelines, MEDLINE, PsycARTICLES, and SPORTDiscus were searched through Spring 2024 for studies assessing PA and sleep in children and adolescents (<18 years) with disabilities using subjective or objective measures. Data were extracted from 28 studies (N = 138,016) and synthesized using qualitative methods and regression-based quantitative analyses to examine the effects of diagnosis category and PA guideline adherence on sleep duration. The diagnosis type was associated with sleep duration, with youth with autism spectrum disorder (ASD) exhibiting shorter sleep than those with physical disabilities. Meeting PA guidelines (≥60 min/day) was associated with longer sleep duration among youth with ASD, but not consistently across other diagnostic groups. Qualitative findings further indicated diagnosis-specific variability, with PA positively associated with sleep outcomes in ASD, attention deficit/hyperactivity disorder, and epilepsy, and mixed associations observed for cerebral palsy and intellectual disability. These findings suggest that PA may support sleep health in specific disability groups. Given persistently low PA participation among youth with disabilities, integrating accessible, diagnosis-specific PA opportunities within school, community, and clinical settings may represent a feasible strategy to improve sleep and overall health.
Full article

Figure 1
Open AccessReview
Upper Crossed Syndrome in the Workplace: A Narrative Review with Clinical Recommendations for Non-Pharmacologic Management
by
Nina Hanenson Russin, Carson Robertson and Alicia Montalvo
Int. J. Environ. Res. Public Health 2026, 23(1), 120; https://doi.org/10.3390/ijerph23010120 - 19 Jan 2026
Abstract
Problem Statement: Upper crossed syndrome (UCS), as first described by Janda, refers to a group of muscle imbalances in which tightness in the upper trapezius and levator scapulae dorsally cross with tightness in the pectoralis major and minor muscles, and weakness of deep
[...] Read more.
Problem Statement: Upper crossed syndrome (UCS), as first described by Janda, refers to a group of muscle imbalances in which tightness in the upper trapezius and levator scapulae dorsally cross with tightness in the pectoralis major and minor muscles, and weakness of deep cervical flexors cross ventrally with weakness of the middle and lower trapezius. Postural alterations from this dysfunction, including forward head, rounded shoulders, and scapular dyskinesis, contribute to upper-back and shoulder pain, particularly among office workers who spend long periods of the workday on a computer. Upper crossed syndrome is a significant contributor to both neck pain and shoulder pain among computer users, which have been rated at 55–69%, and 15–52%, respectively. Despite its prevalence, knowledge about UCS and its treatment remains spotty among primary care physicians. In addition, improvements in workstation ergonomics along with hourly work breaks may be considered as primary prevention strategies for UCS. Objectives: This narrative review examines and synthesizes evidence about the epidemiology and diagnosis of UCS, along with clinical recommendations for physiotherapeutic approaches to treatment. Ergonomic measures in the workplace, including changes in the design of computer workstations so that both the keyboard and monitor are at the proper heights to minimize the risk of long-term musculoskeletal disorders, are also critical. Methods: The first author, a Doctor of Behavioral Health, performed the initial literature search, which was reviewed by the second author, a PhD in sports injury epidemiology. The third author, a chiropractor and practice owner, provided clinical recommendations for stretching and strengthening exercises, which were also described in the literature. Discussion: While easily treatable when caught early, UCS may become resistant to noninvasive approaches over time, and more severe pathologies of the neck and shoulder, including impingement, thoracic outlet syndrome, and cervicogenic headaches may result. Because there is no specific ICD code for UCS, it is important for physicians to recognize the early signs, consider them in the context of workplace-related injuries, and understand physiotherapeutic strategies for symptom resolution.
Full article
(This article belongs to the Special Issue New Trends in Work-Related Musculoskeletal Disorders and Health-Related Quality of Life)
►▼
Show Figures

Figure 1
Open AccessReview
Social Perception, Trust, and Reluctance Towards Vaccines: A Bibliometric Analysis (2019–2025)
by
Johanna Valeria Caranqui-Encalada, Grecia Elizabeth Encalada-Campos, Joceline Damaris Caranqui-Encalada, Carmen Azucena Yancha-Moreta and Dennis Alfredo Peralta-Gamboa
Int. J. Environ. Res. Public Health 2026, 23(1), 119; https://doi.org/10.3390/ijerph23010119 - 18 Jan 2026
Abstract
The objective of this study was to analyze social perception, trust, and vaccine hesitancy through a combined approach of bibliometric analysis and qualitative synthesis, based on the most cited articles in the recent scientific literature. A systematic search was conducted in indexed databases,
[...] Read more.
The objective of this study was to analyze social perception, trust, and vaccine hesitancy through a combined approach of bibliometric analysis and qualitative synthesis, based on the most cited articles in the recent scientific literature. A systematic search was conducted in indexed databases, identifying patterns of production, collaboration, citation, thematic networks, and conceptual trends associated with the study of public trust in vaccines. The results reveal a marked geographic concentration of scientific production, dominated by the United States and the United Kingdom, as well as a strong articulation of thematic clusters linked to digital disinformation, health communication, risk perception, and psychosocial determinants of vaccine acceptance. The qualitative synthesis of the most influential studies reveals that vaccine hesitancy is a multidimensional phenomenon, determined by sociocultural, cognitive, emotional, and structural factors that interact dynamically according to each context. Disinformation, institutional trust, community narratives, and the credibility of sources emerge as central components in individual decision-making. Together, the integrated results enable a deeper understanding of vaccine hesitancy beyond traditional cognitive models, highlighting the need for contextualized communication strategies, intercultural approaches, and health policies based on trust and social participation. This study provides an integral view of the scientific landscape and establishes priority lines for future research and the design of effective public health interventions.
Full article
(This article belongs to the Section Global Health)
►▼
Show Figures

Figure 1
Open AccessReview
Challenges and Practices in Perishable Food Supply Chain Management in Remote Indigenous Communities: A Scoping Review and Conceptual Framework for Enhancing Food Access
by
Behnaz Gharakhani Dehsorkhi, Karima Afif and Maurice Doyon
Int. J. Environ. Res. Public Health 2026, 23(1), 118; https://doi.org/10.3390/ijerph23010118 - 17 Jan 2026
Abstract
►▼
Show Figures
Remote Indigenous communities experience persistent inequities in access to fresh and nutritious foods due to the fragility of perishable food supply chains (PFSCs). Disruptions across procurement, transportation, storage, retail, and limited local production restrict access to perishable foods, contributing to food insecurity and
[...] Read more.
Remote Indigenous communities experience persistent inequities in access to fresh and nutritious foods due to the fragility of perishable food supply chains (PFSCs). Disruptions across procurement, transportation, storage, retail, and limited local production restrict access to perishable foods, contributing to food insecurity and diet-related health risks. This scoping literature review synthesizes evidence from 84 peer-reviewed, grey, and unpublished sources across fourteen countries to map PFSC management (PFSCM) challenges affecting food access in remote Indigenous communities worldwide and to synthesize reported practices implemented to address these challenges. PFSCM challenges were identified across all supply chain levels, and five categories of reported practices emerged: PFSC redesign strategies, forecasting and decision-support models, technological innovations, collaboration and coordination mechanisms, and targeted investments. These findings informed the development of a multi-scalar conceptual framework comprising seven interconnected PFSCM clusters that organize how reported practices are associated with multiple food access dimensions, including quantity, affordability, quality, safety, variety, and cultural acceptability. This review contributes an integrative, system-oriented synthesis of PFSCM research and provides a conceptual basis to support future scholarly inquiry, comparative inquiry, and policy-relevant discussion of food access and health equity in remote Indigenous communities.
Full article

Figure 1
Open AccessArticle
Rethinking Gaming Disorder Prevention: A Socio-Ecological Model Based on Practitioner Insights
by
Maya Geudens, Rozane De Cock, Bieke Zaman and Bruno Dupont
Int. J. Environ. Res. Public Health 2026, 23(1), 117; https://doi.org/10.3390/ijerph23010117 - 17 Jan 2026
Abstract
Current approaches to gaming disorder prevention remain comparatively narrow, and prevention efforts are frequently underdeveloped and fragmented. Using the socio-ecological model (SEM), this qualitative study mapped frontline practitioners’ perceived obstacles and opportunities to develop a multi-level, practice-grounded framework for policy and implementation. Semi-structured
[...] Read more.
Current approaches to gaming disorder prevention remain comparatively narrow, and prevention efforts are frequently underdeveloped and fragmented. Using the socio-ecological model (SEM), this qualitative study mapped frontline practitioners’ perceived obstacles and opportunities to develop a multi-level, practice-grounded framework for policy and implementation. Semi-structured interviews were conducted with 18 prevention professionals in Flanders (Dutch-speaking Belgium), recruited via purposive and snowball sampling. A hybrid inductive–deductive analysis—iterative coding guided by Layder’s adaptive theory—organized findings across SEM levels. At the public policy level, participants highlighted insufficient sustainable funding but saw potential in coordinated frameworks moving prevention beyond substance-focused agendas. At the community level, a clear knowledge gap emerged, with opportunities in integrating gaming within broader digital well-being efforts. Institutionally, the absence of practical tools and clear referral pathways was noted, in addition to high participation barriers, whereas accessible programs with targeted outreach were viewed as promising. Interpersonally, parental disengagement was common, but early involvement and pedagogical guidance were seen as key levers. At the intrapersonal level, limited self-insight and emotion regulation impeded change, while resilience, self-confidence, and offline activities were protective. This first empirical application of the SEM to gaming disorder prevention highlights the need for a multi-level, context-sensitive framework that bridges public health and digital media perspectives.
Full article
(This article belongs to the Section Behavioral and Mental Health)
►▼
Show Figures

Figure 1
Open AccessArticle
Training and Recruitment to Implement the CASA Psychosocial Intervention in Cancer Care
by
Normarie Torres-Blasco, Stephanie D. Torres-Marrero, Ninoshka Rivera-Torres, Denise Cortés-Cortés and Sabrina Pérez-De Santiago
Int. J. Environ. Res. Public Health 2026, 23(1), 116; https://doi.org/10.3390/ijerph23010116 - 17 Jan 2026
Abstract
Practical training and recruitment strategies are critical for the sustainable implementation of psychosocial interventions. However, few studies have examined how to prepare community partners and doctoral students to support culturally adapted psycho-oncology interventions. This pre-pilot study aims first to evaluate two distinct training
[...] Read more.
Practical training and recruitment strategies are critical for the sustainable implementation of psychosocial interventions. However, few studies have examined how to prepare community partners and doctoral students to support culturally adapted psycho-oncology interventions. This pre-pilot study aims first to evaluate two distinct training programs and recruitment procedures, and second to explore preliminary pre-post outcomes of the Caregiver-Patients Support to Cope with Advanced Cancer (CASA) intervention, using the Consolidated Framework for Implementation Research (CFIR). Three clinical psychology graduate students received CASA training, and two community partners completed Recruitment training. We present descriptive pre- and post-assessments, along with qualitative feedback, for both training and institutional (Puerto Rico Biobank) and community-based recruitment outcomes. A related-samples nonparametric analysis examined pre- and post-CASA intervention signals. Results indicated knowledge gains among doctoral students (pre-test M = 3.3; post-test M = 9.3) and community partners (pre-test M = 4.5; post-test M = 9.5). Preliminary outcomes revealed significant improvements in spiritual well-being (Z = −2.618, p = 0.009) and quality of life (Z = −2.957, p = 0.003) and a reduction in depressive (Z = −2.764, p = 0.006), anxiety (Z = −2.667, p = 0.008), and distress (Z = −2.195, p = 0.028) symptoms following CASA. Of 26 recruited dyads, institutional referrals enrolled 16 dyads (61.5%), while community partners referred 10 dyads with a 90.9% success rate. Findings support the feasibility of both training and CASA exploratory outcomes suggest meaningful psychosocial benefits for Latino dyads coping with advanced cancer. Combining institutional infrastructure with community engagement may enhance sustainability and equitable access to psycho-oncology care.
Full article
(This article belongs to the Special Issue Proceedings of the 2024 and 2025 Research Centers in Minority Institutions (RCMI) Consortium National Conferences)
►▼
Show Figures

Figure 1
Open AccessSystematic Review
The Experiences of LGBTQ+ Pre-Service and Qualified Teachers and Their Mental Health: A Systematic Review of International Research
by
Jonathan Glazzard and Scott Thomas
Int. J. Environ. Res. Public Health 2026, 23(1), 115; https://doi.org/10.3390/ijerph23010115 - 17 Jan 2026
Abstract
Existing research highlights that Lesbian, Gay, Bisexual, Transgender and Queer (LGBTQ+) teachers are often exposed to additional stressors in schools which adversely affect their mental health. Some mitigate the effects of these stressors by separating their personal and professional identities while others choose
[...] Read more.
Existing research highlights that Lesbian, Gay, Bisexual, Transgender and Queer (LGBTQ+) teachers are often exposed to additional stressors in schools which adversely affect their mental health. Some mitigate the effects of these stressors by separating their personal and professional identities while others choose to integrate their identities so that they can be authentic, advance social justice in school contexts or be visible and vocal role models. Less is known about the experiences of pre-service teachers who are undertaking teacher preparation programmes. This systematic literature review presents the results of 20 published papers which represent the global experiences of both pre-service teachers and serving teachers. The findings highlight identity management, experiences of discrimination, agency and lack of confidence of teacher educators. Two new frameworks are presented that lay the foundations for embedding LGBTQ+ inclusion and proposed mandatory elements of curricula for initial teacher training. This systematic literature review has been informed by the following research questions RQ1. What are the experiences of LGBTQ+ pre-service teachers? RQ2. How do LGBTQ+ pre-service teachers negotiate their identities? RQ3. How do LGBTQ+ pre-service teachers disrupt hetero/cis-normative cultures in schools? RQ4: How well does the teacher education programme prepare pre-service teachers for teaching LGBTQ+ inclusive education?
Full article
(This article belongs to the Special Issue Mental Health Challenges Affecting LGBTQ+ Individuals and Communities)
►▼
Show Figures

Figure 1
Open AccessArticle
Standardizing Recreational Cannabis Excise Tax Rates in the United States: New Retail Price-Based Measurements by Product Category
by
Bing Han, Michael Cooper, Ce Shang and Yuyan Shi
Int. J. Environ. Res. Public Health 2026, 23(1), 114; https://doi.org/10.3390/ijerph23010114 - 16 Jan 2026
Abstract
►▼
Show Figures
Background: Cannabis excise tax structures vary widely across the states in the United States. Standardizing taxes may improve cross-state comparisons and strengthen evaluations of how taxes and prices influence public health outcomes. This study developed category-specific standardized tax metrics for flower, vaping, and
[...] Read more.
Background: Cannabis excise tax structures vary widely across the states in the United States. Standardizing taxes may improve cross-state comparisons and strengthen evaluations of how taxes and prices influence public health outcomes. This study developed category-specific standardized tax metrics for flower, vaping, and edible products by incorporating price and tax structure variations using retail scanner data. Methods: We analyzed cannabis retail scanner data from dispensary point-of-sale systems for flower, vaping, and edible products in 12 states with legal recreational markets from Q1 2020 to Q4 2024. Using retail prices and excise tax policies, we converted taxes in different forms across the supply chain into standardized measures and estimated tax incidence (ratio of standardized taxes to retail prices) for each category. We also evaluated the association between standardized taxes and retail prices. Results: Mean standardized excise taxes were USD 32.58/ounce for flower, USD 180.21/ounce for vaping, and USD 0.024/milligram THC for edible products. Corresponding tax incidences were 13.03%, 13.59%, and 13.09%. Standardized taxes and tax incidences varied considerably across states. Category-specific standardized taxes strongly predicted retail prices, supporting their use as an instrumental variable candidate. Conclusions: Category-specific standardized measures of cannabis excise taxes derived from retail scanner data may support cross-state comparisons and pricing policy evaluation.
Full article

Figure 1
Journal Menu
► ▼ Journal Menu-
- IJERPH Home
- Aims & Scope
- Editorial Board
- Reviewer Board
- Topical Advisory Panel
- Instructions for Authors
- Special Issues
- Topics
- Sections & Collections
- Article Processing Charge
- Indexing & Archiving
- Editor’s Choice Articles
- Most Cited & Viewed
- Journal Statistics
- Journal History
- Journal Awards
- Society Collaborations
- Conferences
- Editorial Office
Journal Browser
► ▼ Journal Browser-
arrow_forward_ios
Forthcoming issue
arrow_forward_ios Current issue - Vol. 23 (2026)
- Vol. 22 (2025)
- Vol. 21 (2024)
- Vol. 20 (2023)
- Vol. 19 (2022)
- Vol. 18 (2021)
- Vol. 17 (2020)
- Vol. 16 (2019)
- Vol. 15 (2018)
- Vol. 14 (2017)
- Vol. 13 (2016)
- Vol. 12 (2015)
- Vol. 11 (2014)
- Vol. 10 (2013)
- Vol. 9 (2012)
- Vol. 8 (2011)
- Vol. 7 (2010)
- Vol. 6 (2009)
- Vol. 5 (2008)
- Vol. 4 (2007)
- Vol. 3 (2006)
- Vol. 2 (2005)
- Vol. 1 (2004)
Highly Accessed Articles
Latest Books
E-Mail Alert
News
25 November 2025
Meet Us Virtually at the 1st International Online Conference on Behavioral Sciences (IOCBS2026), 1–3 April 2026
Meet Us Virtually at the 1st International Online Conference on Behavioral Sciences (IOCBS2026), 1–3 April 2026
6 November 2025
MDPI Launches the Michele Parrinello Award for Pioneering Contributions in Computational Physical Science
MDPI Launches the Michele Parrinello Award for Pioneering Contributions in Computational Physical Science
Topics
Topic in
Brain Sciences, IJERPH, JAL, Nursing Reports, Nutrients, Healthcare
Healthy, Safe and Active Aging, 2nd EditionTopic Editors: Antonella Lopez, Andrea Bosco, Alessandro Oronzo Caffò, Elisabetta Ricciardi, Giuseppina Spano, Luigi TinellaDeadline: 28 February 2026
Topic in
Clean Technol., IJERPH, Membranes, Microorganisms, Water, Separations
Sustainable Development of Clean Water and Sanitation
Topic Editors: Rajendra Prasad Singh, Chris Zevenbergen, Dafang FuDeadline: 15 March 2026
Topic in
Applied Sciences, Toxics, IJERPH, Biology, Cancers, Radiation
Disease Risks from Environmental Radiological Exposure
Topic Editors: Valentina Venuti, Francesco CaridiDeadline: 1 April 2026
Topic in
Beverages, Dairy, Foods, IJERPH, Nutrients
Ways to Achieve Healthy and Sustainable Diets
Topic Editors: Verônica Cortez Ginani, Renata Puppin ZandonadiDeadline: 18 April 2026
Conferences
Special Issues
Special Issue in
IJERPH
Occupational Risks, Health Risk Assessments, Social Inclusion and Well-Being of Informal Workers
Guest Editor: Vanessa Resende Nogueira CruvinelDeadline: 30 January 2026
Special Issue in
IJERPH
Mental Health in Healthcare: Challenges and Perspectives from the Past to the Future
Guest Editor: Érika Oliveira-CardosoDeadline: 31 January 2026
Special Issue in
IJERPH
Smoking and Tobacco Use: A Health Equity Perspective
Guest Editor: Uma S. NairDeadline: 31 January 2026
Special Issue in
IJERPH
Mental Health Challenges Affecting LGBTQ+ Individuals and Communities
Guest Editors: Jonathan Glazzard, Mark VicarsDeadline: 31 January 2026
Topical Collections
Topical Collection in
IJERPH
Outbreak of a Novel Coronavirus: A Global Health Threat
Collection Editor: Jianyong Wu
Topical Collection in
IJERPH
Health Behaviors, Risk Factors, NCDs and Health Promotion
Collection Editor: Stefano Campostrini


