-
Analysis of Physical, Psychological, and Lifestyle Factors Affecting Falls in Older Adults: A Study Based on the Korea National Health and Nutrition Examination Survey -
Technology-Driven Physical Activity Research in Care Homes: A Reflective Narrative -
Polypharmacy and the Use of Potentially Inappropriate Medications in Elderly People in Nursing Homes: A Cross-Sectional Study
Journal Description
Journal of Ageing and Longevity
Journal of Ageing and Longevity
is an international, peer-reviewed, open access journal on all aspects of ageing and longevity published quarterly online by MDPI. The Italian Longevity League (ILL) is affiliated with the Journal of Ageing and Longevity and its members receive discounts on the article processing charges.
- Open Access— free for readers, with article processing charges (APC) paid by authors or their institutions.
- High Visibility: indexed within Scopus and other databases.
- Rapid Publication: manuscripts are peer-reviewed and a first decision is provided to authors approximately 28.2 days after submission; acceptance to publication is undertaken in 6.3 days (median values for papers published in this journal in the second half of 2025).
- Recognition of Reviewers: APC discount vouchers, optional signed peer review, and reviewer names published annually in the journal.
- Journal Cluster of Healthcare Sciences and Services: Geriatrics, Journal of Ageing and Longevity, Healthcare, Hospitals, Hygiene, International Journal of Environmental Research and Public Health and Nursing Reports.
Latest Articles
Sharing Dance with Older Adults in Canada: An Exploratory Case Study
J. Ageing Longev. 2026, 6(1), 27; https://doi.org/10.3390/jal6010027 - 3 Mar 2026
Abstract
►
Show Figures
Dance can enhance older adults’ well-being by fostering social connection, physical activity, and creative expression. Yet it is often framed primarily as a health intervention rather than an accessible and enjoyable form of life enrichment. This study explored older adults’ perspectives on the
[...] Read more.
Dance can enhance older adults’ well-being by fostering social connection, physical activity, and creative expression. Yet it is often framed primarily as a health intervention rather than an accessible and enjoyable form of life enrichment. This study explored older adults’ perspectives on the benefits of dance and factors influencing accessibility in the Greater Toronto Area. A qualitative video elicitation study was conducted on 22 January 2025, with nine older adults participating in a Sharing Dance Older Adults class at Canada’s National Ballet School. The class was professionally recorded from fixed positions, and six participants subsequently took part in semi-structured focus groups to review selected footage and discuss their experiences. Data were analyzed by a three-member team using reflexive thematic analysis. The findings identified themes related to perceived health benefits, dance class design, and accessibility, with participants emphasizing that accessible program features enhanced enjoyment and engagement. These findings suggest that prioritizing accessibility in dance programming may support joyful participation among older adults. This study contributes to research on aging and the arts, informs inclusive program design, and demonstrates the utility of video elicitation for examining embodied dance experiences.
Full article
Open AccessArticle
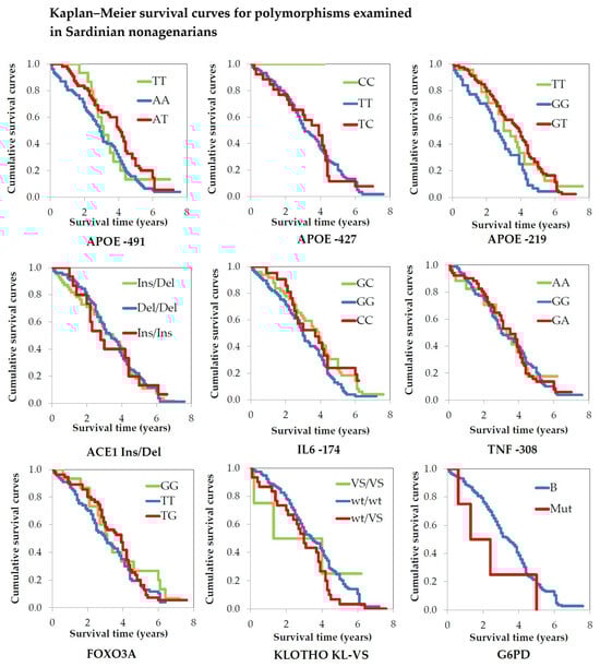
Persistence of the APOE ε4 Allele Among Sardinian Nonagenarians: Longitudinal Survival Evidence from a Blue Zone Cohort
by
Alessandra Errigo, Maria Pina Dore, Elettra Merola and Giovanni Mario Pes
J. Ageing Longev. 2026, 6(1), 26; https://doi.org/10.3390/jal6010026 - 28 Feb 2026
Abstract
►▼
Show Figures
Background: Genetic variants associated with lifespan are typically identified by comparing long-lived individuals with younger populations. However, factors influencing the attainment of advanced age may differ from those affecting survival once extreme age has already been reached. The Sardinian “Longevity Blue Zone” (LBZ)
[...] Read more.
Background: Genetic variants associated with lifespan are typically identified by comparing long-lived individuals with younger populations. However, factors influencing the attainment of advanced age may differ from those affecting survival once extreme age has already been reached. The Sardinian “Longevity Blue Zone” (LBZ) represents a well-characterized longevity population in which this distinction can be investigated. Methods: We conducted a prospective survival study in 150 community-dwelling nonagenarians from the Sardinian LBZ with follow-up for more than seven years. Previously investigated candidate polymorphisms involved in aging-related pathways, including APOE, ACE1, IL6, TNFα, FOXO3A, KLOTHO, and G6PD, were reanalyzed using Kaplan–Meier curves and Cox proportional hazards models adjusted for age at recruitment, sex, and comorbidity burden (CIRS score). Results: Most polymorphisms showed no association with residual survival after age 90. In unadjusted analyses, carriers of the APOE ε4 allele displayed lower mortality than non-carriers (HR 0.49, 95% CI 0.26–0.93). However, after adjustment for age at recruitment, sex, and comorbidity (CIRS score), the association was attenuated and no longer statistically significant (HR 0.49, 95% CI 0.24–1.03). Conclusions: In this cohort of Sardinian nonagenarians, candidate longevity-associated polymorphisms did not significantly influence survival beyond age 90. The absence of an independent mortality disadvantage among APOE ε4 carriers indicates that the allele is compatible with survival into extreme age rather than conferring a survival advantage. These findings highlight the importance of distinguishing genetic determinants of longevity attainment from factors governing mortality dynamics at extreme ages.
Full article

Figure 1
Open AccessArticle
From Evidence to Action: A Qualitative Study Exploring Stakeholder Views on Sharing Exercise Oncology Findings
by
Emily Smyth, Annie O’Brien, Sanela Begic, Felipe Malagon, Juliette Hussey, Emer Guinan and Linda O’Neill
J. Ageing Longev. 2026, 6(1), 25; https://doi.org/10.3390/jal6010025 - 25 Feb 2026
Abstract
►▼
Show Figures
A substantial body of evidence supports the role of exercise in mitigating many effects of cancer and its treatments. However, services for survivors remain scarce, highlighting a significant research-to-practice gap. To address this gap, it is essential to explore strategies that could enhance
[...] Read more.
A substantial body of evidence supports the role of exercise in mitigating many effects of cancer and its treatments. However, services for survivors remain scarce, highlighting a significant research-to-practice gap. To address this gap, it is essential to explore strategies that could enhance the dissemination of evidence, supporting the translation of exercise oncology trial findings into clinical practice. To this end, this qualitative study aimed to explore the viewpoints of stakeholders (patients/healthcare professionals (HCPs)/policy makers/researchers) on the dissemination of exercise oncology trials. Stakeholders were invited to take part in a one-to-one semi-structured interview exploring their experiences of and preferences for exercise oncology trial dissemination. Interviews were audio-recorded, transcribed verbatim, and analysed using a thematic approach. Thirty stakeholders were recruited: patients with a history of cancer (n = 14), healthcare professionals (HCPs) (n = 3), researchers (n = 10), and policy makers/healthcare management (n = 3). Median interview length was 14 min and 10 s (range 8 min 16 s to 37 min and 23 s). Three main themes were identified: (i) the need for enhanced dissemination strategies, (ii) engaging stakeholders throughout the study lifespan as key to facilitating effective dissemination, and (iii) tools to support closing the research-to-practice gap. Results indicate that stakeholders want dissemination approaches tailored to the intended audience and presented in formats that are accessible both linguistically and practically, recognising the individuality of each stakeholder group. To support this, three main recommendations were generated: (i) engage all stakeholders throughout the entire research project, from planning to dissemination, to ensure that dissemination avenues are appropriately targeted; (ii) implement a multi-component dissemination strategy that incorporates multiple avenues, blending traditional and innovative approaches to address the priorities of specific stakeholder groups; (iii) adopt multiple communication approaches that extend beyond written format alone and use stakeholder-specific language which is understandable to target audience while maintaining credibility and rigour.
Full article

Figure 1
Open AccessArticle
Declining Health and Sense of Mastery Can Explain the Inverse Relation Between Advanced Age and Wisdom
by
Monika Ardelt
J. Ageing Longev. 2026, 6(1), 24; https://doi.org/10.3390/jal6010024 - 14 Feb 2026
Abstract
►▼
Show Figures
Previous research found an inverse U-shaped association between age and different measures of wisdom, with the apex in late midlife. What might explain the negative relation between age and wisdom during the later years of life? This research investigated the impact of subjective
[...] Read more.
Previous research found an inverse U-shaped association between age and different measures of wisdom, with the apex in late midlife. What might explain the negative relation between age and wisdom during the later years of life? This research investigated the impact of subjective physical health and mastery, using data from the Successful AGing Evaluation (SAGE) study of 976 adults between the ages of 51 and 99 years (M = 77.23, SD = 12.18). Physical health tends to decline with advancing years and, therefore, might reduce older adults’ sense of mastery and control over their lives, which might adversely affect their wisdom. Results showed that age correlated negatively with subjective health, wisdom, and mastery. In multivariate regression and path analyses, the negative relations of age and ill health on wisdom became non-significant after mastery was entered into the model. If wisdom declines in old age due to ill health that results in a perceived loss of mastery, enabling older adults to maintain their sense of control might preserve wisdom.
Full article

Figure 1
Open AccessArticle
Insights from Japanese Seniors After Playing Brain-Training Games and Using a Brain-Activity Wearable Device: An Exploratory Pilot in a Living-Lab
by
Ryan Browne, Takamitsu Shinada, Toshimi Ogawa and Yasuyuki Taki
J. Ageing Longev. 2026, 6(1), 23; https://doi.org/10.3390/jal6010023 - 12 Feb 2026
Abstract
►▼
Show Figures
Aim: Brain training games offer a promising avenue for promoting cognitive engagement and healthy aging among older adults. However, little is known about how design features align with the specific needs of this demographic to promote sustained usage and thereby cognitive intervention. The
[...] Read more.
Aim: Brain training games offer a promising avenue for promoting cognitive engagement and healthy aging among older adults. However, little is known about how design features align with the specific needs of this demographic to promote sustained usage and thereby cognitive intervention. The aim of this study was to characterize how all aspects of the game design and player experience might influence adherence mechanisms, and assess the feasibility and acceptability of a wearable brain-activity measuring device. Methods: We use an exploratory mixed-methods approach with n = 6 community-dwelling older adults (mean age 68 ± 3.94) within a smart-home-style Living-Lab. Participants played two commercially available brain-training games. One of the games uses a wearable brain-activity measuring device. We collected System Usability Scale (SUS) and User Experience Questionnaire (UEQ) scores and conducted focus-group interviews and structured observations. We performed a qualitative theory-informed analysis through the Unified Theory of Acceptance and Use of Technology 2 (UTAUT2) framework. Results: Participants reported high motivation to play brain-training games for dementia prevention. They preferred large, high-contrast text, intuitive navigation, touch-based controls, and a relaxed pacing. The wearable device was acceptable and comfortable for home use. There were requests for a clearer meaning of brain activity scores and the integration of personalized brain data with other health apps and broader health metrics. Quantitative scales (SUS and UEQ) showed similar ratings for both games, with both meeting the threshold for acceptability. Conclusions: In this formative study, concrete design features that plausibly increase engagement, persistence and adherence were identified, alongside evidence for the feasibility of integrating a wearable brain-sensor. Our findings motivate a follow-on trial testing whether an adherence-optimized design increases the training dose and downstream cognitive outcomes.
Full article

Figure 1
Open AccessArticle
Determinants of Metabolic Syndrome Among Rural Older Adults: A Cross-Sectional Analysis of the 2023 Korea National Health and Nutrition Examination Survey
by
Changhee Lee and Kyeongmin Jang
J. Ageing Longev. 2026, 6(1), 22; https://doi.org/10.3390/jal6010022 - 10 Feb 2026
Abstract
Metabolic syndrome (MetS) is common in later life and shaped by modifiable lifestyle and clinical factors, yet data specific to rural older adults are limited. This cross-sectional study analyzed rural Koreans aged ≥65 years (unweighted n = 467) from the 2023 Korea National
[...] Read more.
Metabolic syndrome (MetS) is common in later life and shaped by modifiable lifestyle and clinical factors, yet data specific to rural older adults are limited. This cross-sectional study analyzed rural Koreans aged ≥65 years (unweighted n = 467) from the 2023 Korea National Health and Nutrition Examination Survey, incorporating the complex survey design (strata, clusters, and weights). MetS was defined using National Cholesterol Education Program Adult Treatment Panel III criteria with Asian-specific waist cutoffs (≥3 of 5 components). Sociodemographic, behavioral, and clinical characteristics were compared by MetS status using design-based tests, and complex-sample logistic regression estimated adjusted odds ratios (aORs) with 95% confidence intervals (CIs). The survey-weighted prevalence of MetS was 42.8%. Compared with those without MetS, participants with MetS had higher body mass index (BMI) and waist circumference, more hypertension and diabetes, higher triglycerides, and lower high-density lipoprotein cholesterol; low-density lipoprotein cholesterol did not differ meaningfully. In multivariable models, BMI ≥25 kg/m2 (aOR 9.08; 95% CI 6.01–13.71, p ≤ 0.001), hemoglobin A1c ≥ 7.0% (aOR 4.42; 95% CI 1.75–11.16, p = 0.003), and vitamin D deficiency <20 ng/mL (aOR 2.32; 95% CI 1.23–4.35, p = 0.012) were independently associated with higher odds of MetS, whereas meeting the World Health Organization physical activity guideline was inversely associated (aOR 0.50; 95% CI 0.26–0.96, p = 0.039). These findings highlight adiposity, suboptimal glycemic control, and vitamin D deficiency as key, potentially modifiable correlates of MetS in rural older adults and support promotion of guideline-level physical activity as part of integrated cardiometabolic risk management in rural settings.
Full article
Open AccessArticle
Health and Digital Health Literacy in Community-Dwelling Older Adults: Effects of a Health Promotion-Based Psychoeducational Intervention
by
Sara Lima, Francisca Pinto, Raquel Carvalho, Helena Correia and Sónia Martins
J. Ageing Longev. 2026, 6(1), 21; https://doi.org/10.3390/jal6010021 - 5 Feb 2026
Abstract
The main aim of this study is to evaluate the effect of a health promotion-based psychoeducational intervention on Health Literacy (HL) and Digital Health Literacy (DHL) levels in older people. This one-group pre–post design study includes a sample of community-dwelling older people, at
[...] Read more.
The main aim of this study is to evaluate the effect of a health promotion-based psychoeducational intervention on Health Literacy (HL) and Digital Health Literacy (DHL) levels in older people. This one-group pre–post design study includes a sample of community-dwelling older people, at risk of social isolation, sedentary lifestyles, or physical deterioration. A multidimensional assessment protocol, with specific measures of HL and DHL, was applied before and after the intervention. The psychoeducational intervention includes 20 sessions, conducted by a multidisciplinary team and focused on four core areas (Health Promotion, Interpersonal Relationships and Citizens’ Rights, Health Literacy, and Digital Health Literacy). Non-parametric statistics tests (Wilcoxon signed-rank test) were used, since data did not follow a normal distribution. Seventy-nine older persons participated, with a mean age of 71.7 (SD = 4.6), mostly female (66%) and with basic education (91%). There was a statistically significant increase in the mean total HL score (Z = −3.132; p = 0.002; effect size r = 0.76) and DHL score (Z = −4.735; p < 0.001; effect size r = 0.61) after the intervention, reflecting an improvement in HL and DHL levels. This study showed that this intervention was effective in improving the HL and DHL levels of older adults. These results are particularly noteworthy, considering that HL and DHL are modifiable factors that influence self-management, as well as health outcomes in older adults.
Full article
Open AccessArticle
Exploring Resilience-Based Interventions to Overcome HIV-Related Stigma Experiences Among Rural Older Women Living with HIV in Zimbabwe
by
Limkile Mpofu and Zamokuhle Mbandlwa
J. Ageing Longev. 2026, 6(1), 20; https://doi.org/10.3390/jal6010020 - 5 Feb 2026
Abstract
This study examined how resilience-based interventions enable rural older women living with HIV in Zimbabwe to confront stigma and sustain their quality of life. Guided by the 4S framework of resilience resources planning (social support, coping strategies, sagacity, and solution-seeking), the research explored
[...] Read more.
This study examined how resilience-based interventions enable rural older women living with HIV in Zimbabwe to confront stigma and sustain their quality of life. Guided by the 4S framework of resilience resources planning (social support, coping strategies, sagacity, and solution-seeking), the research explored how women apply these dimensions to navigate challenging life events. A purposive sample of 17 women (those not living with a spouse or in a socially sanctioned relationship), aged 40–65, all on antiretroviral therapy and drawn from rural Matabeleland South Province, participated through in-depth interviews. Using Interpretive Phenomenological Analysis, four themes emerged: (1) Social Support and Social Networks as Foundations of Resilience, (2) Self-Efficacy and Coping Strategies in Managing Emotional Distress, (3) Spirituality and Sagacity as Sources of Strength and Meaning, and (4) Sense of Purpose and Solution-Seeking Behaviours. The findings highlight that resilience is actively mobilised through family ties, peer groups, and community initiatives, enabling women to adapt to socio-economic hardship and health-related barriers. This study concludes that empowerment strategies, especially community-based programmes focused on skills development and economic opportunities, are essential for enhancing resilience, reducing vulnerability, and improving health outcomes. Strengthening these resources not only equips women to manage HIV-related challenges but also contributes to sustainable development within their communities.
Full article
(This article belongs to the Special Issue Transforming Health Outcomes: Cutting-Edge Research and Empirical Knowledge About the Care of Older Adults Living with HIV/AIDS)
Open AccessReview
Mechanistic Roles of Androgen and Estrogen in Aging and Age-Related Diseases
by
Ken-ichi Takayama
J. Ageing Longev. 2026, 6(1), 19; https://doi.org/10.3390/jal6010019 - 3 Feb 2026
Abstract
►▼
Show Figures
Sex steroid hormones play a pivotal role in maintaining systemic homeostasis throughout life. Their age-related decline is closely associated with the onset of frailty, including sarcopenia and dementia. Here, this article provides a narrative review of the existing literature about the multifaceted roles
[...] Read more.
Sex steroid hormones play a pivotal role in maintaining systemic homeostasis throughout life. Their age-related decline is closely associated with the onset of frailty, including sarcopenia and dementia. Here, this article provides a narrative review of the existing literature about the multifaceted roles of sex steroid hormones, particularly estrogens and androgens, in aging and age-related diseases. Sex steroid action is mediated by nuclear receptors such as estrogen receptor alpha (ERα) and androgen receptor (AR). Transcriptional activation through these receptors is orchestrated by epigenetic mechanisms, including histone modifications and chromatin remodeling. Beyond their reproductive functions, sex hormones also influence systemic physiology, metabolism, immune responses, and neuroplasticity. Clinical studies on hormone-deprivation therapies for prostate and breast cancers, as well as animal models, have revealed the key contributions of AR and ER activity to muscle integrity, bone density, and cognitive function. The sexual dimorphism in cognitive decline, especially in postmenopausal women, suggests the therapeutic potential of hormone supplementation and receptor-targeted strategies. Thus, AR- and ER-associated genes are considered promising targets for preventing frailty, sarcopenia, osteoporosis, and dementia. This review summarizes the current knowledge on sex hormone signaling in aging, with an emphasis on translational implications and future research directions.
Full article

Figure 1
Open AccessArticle
Towards a Theory of Older Adults’ Well-Being During the COVID-19 Pandemic: A Qualitative Approach
by
Elfriede Derrer-Merk, Maria Fernanda Reyes, Ashley Navarro-McCarthy, Mary Mulenga-Wincierz and Kate Mary Bennett
J. Ageing Longev. 2026, 6(1), 18; https://doi.org/10.3390/jal6010018 - 2 Feb 2026
Abstract
►▼
Show Figures
The COVID-19 pandemic profoundly disrupted the lives of older adults, yet their experiences have remained underexplored. This paper draws on empirical evidence from a two-wave (W1 April–July 2020, W2 January–April 2021) qualitative study in the UK (n = 62) and a companion study
[...] Read more.
The COVID-19 pandemic profoundly disrupted the lives of older adults, yet their experiences have remained underexplored. This paper draws on empirical evidence from a two-wave (W1 April–July 2020, W2 January–April 2021) qualitative study in the UK (n = 62) and a companion study in Colombia (n = 32), focusing on participants aged 60 and above. Data was analysed using constructivist grounded theory principles, leading to the development of an ecological theory of older adults’ well-being within the context of a health crisis at three interconnected levels: individual, community, and societal. Individual resources, such as adaptability and support systems, contributed to enhancing and maintaining their well-being. Community support and a sense of belonging were essential to meet the needs of people in later life, whilst necessary social health protection measures during the pandemic restricted social activities, further impacting well-being, mostly perceived as challenging. Cultural differences and societal support systems shaped participants’ experiences. The study emphasises the interdependence of the different levels in impacting older adults’ well-being, offers strategies for policy and practice, and advocates and contributes for the development of gerontological theories in the context of health crises.
Full article

Figure 1
Open AccessArticle
Comparison of Foot-Response Reaction Time Between Younger and Older Adults Using the Foot Psychomotor Vigilance Test
by
Yutaka Yoshida and Kiyoko Yokoyama
J. Ageing Longev. 2026, 6(1), 17; https://doi.org/10.3390/jal6010017 - 2 Feb 2026
Abstract
►▼
Show Figures
Reaction time (RT) is a key indicator of cognitive and motor processing speed, and its age-related decline has important implications for everyday activities such as driving. However, conventional Psychomotor Vigilance Tests (PVTs) assess hand responses and do not capture lower-limb reaction characteristics relevant
[...] Read more.
Reaction time (RT) is a key indicator of cognitive and motor processing speed, and its age-related decline has important implications for everyday activities such as driving. However, conventional Psychomotor Vigilance Tests (PVTs) assess hand responses and do not capture lower-limb reaction characteristics relevant to pedal operations. This study aimed to compare RT characteristics between younger and older adults using the foot-response version of the PVT (Foot PVT) and to examine factors associated with RT. Sleep-related variables, physical activity level (PAL), and height were analyzed, and RT distribution characteristics were evaluated. Twenty younger adults (24 ± 3 years, range: 22–29 years) and twenty-four older adults (73 ± 5 years, range: 66–84 years) performed a 10 min Foot PVT. Mean RT was significantly slower in older adults (818 ± 105 ms) than in younger adults (700 ± 73 ms) (p < 0.001), indicating an age-related delay of approximately 120 ms. Older adults showed lower skewness and kurtosis, suggesting more homogeneous and cautious responses. In younger adults, height was negatively correlated with RT (r = −0.593, p = 0.006), and multiple regression analysis identified height as a significant predictor (adjusted R2 = 0.316). No significant predictors were found in older adults. In the combined sample, age and height jointly explained 37.2% of the variance in mean RT. These findings indicate that Foot PVT performance reflects both biomechanical characteristics and age-related declines in reaction speed, supporting its utility for assessing lower-limb reaction capabilities relevant to driving and aging.
Full article

Figure 1
Open AccessArticle
Socioeconomic Inequality, Physical Functioning, and Functional Independence Among the Oldest-Old: Evidence from the SHARE Survey
by
Keisuke Kokubun
J. Ageing Longev. 2026, 6(1), 16; https://doi.org/10.3390/jal6010016 - 30 Jan 2026
Abstract
►▼
Show Figures
Population ageing has led to a rapid increase in the number of individuals aged 80 and above, yet empirical evidence on the determinants of quality of life among the oldest-old remains limited. This study investigates the socioeconomic, lifestyle, and care-related factors associated with
[...] Read more.
Population ageing has led to a rapid increase in the number of individuals aged 80 and above, yet empirical evidence on the determinants of quality of life among the oldest-old remains limited. This study investigates the socioeconomic, lifestyle, and care-related factors associated with functional independence at very advanced ages using harmonized cross-national data from the Survey of Health, Ageing and Retirement in Europe (SHARE). Focusing on individuals aged 80 and above, we estimate logistic regression models to examine the probability of experiencing limitations in activities of daily living (ADL). The results reveal a persistent socioeconomic gradient in functional health: educational attainment is significantly associated with lower odds of ADL limitations, even after controlling for age, gender, physical functioning, living arrangements, and country fixed effects. Preserved physical functioning, proxied by the absence of walking difficulties, emerges as a strong protective factor against functional dependency. By contrast, institutional residence does not exhibit an independent association with ADL limitations once individual characteristics are taken into account. These findings demonstrate that functional independence among the oldest-old reflects long-term life-course resources and lifestyle-related capacities rather than late-life care settings alone. Policies aimed at promoting successful ageing should therefore adopt a life-course perspective, emphasizing education, health literacy, and the maintenance of physical functioning to enhance quality of life at very advanced ages.
Full article

Figure 1
Open AccessArticle
Oral Nutritional Supplementation in Routine Clinical Practice to Improve Physical Performance and Nutrition in Frail Adults at Risk of Falls: Preliminary Evidence
by
Ivon Y. Rivera Deras, Ana Esther Callejón Martin, Miguel Ángel Espuelas Vázquez, Lilia Alejandrina Ruiz Ávila and Jesús María López Arrieta
J. Ageing Longev. 2026, 6(1), 15; https://doi.org/10.3390/jal6010015 - 22 Jan 2026
Abstract
►▼
Show Figures
Background/Objectives: This study aimed to describe changes in physical performance and nutritional status among frail adults at risk of falls receiving muscle-targeted oral nutritional supplementation (MT-ONS) as part of routine clinical care. Methods: A prospective, open-label, single-centre, uncontrolled, descriptive study was conducted
[...] Read more.
Background/Objectives: This study aimed to describe changes in physical performance and nutritional status among frail adults at risk of falls receiving muscle-targeted oral nutritional supplementation (MT-ONS) as part of routine clinical care. Methods: A prospective, open-label, single-centre, uncontrolled, descriptive study was conducted in a real-world clinical setting. Patients ≥ 70 years attending an outpatient fall clinic were consecutively recruited and assessed at baseline and after at least 90 days of MT-ONS (100% whey protein enriched with leucine and vitamin D), provided as part of a comprehensive care plan including exercise recommendations, medication review, and home adaptation advice. Sociodemographic, physical performance [Short Physical Performance Battery (SPPB)], nutritional status [Mini Nutritional Assessment-Short Form, (MNA®-SF)], walking ability [Functional Ambulation Categories (FACs)], number of falls, muscle strength (dynamometry), body composition (Tanita), health-related quality-of-life (SF-12), functional capacity (Barthel Index), and adherence data were collected. Statistics analyses were descriptive and exploratory. Results: Twenty-six participants were assessed (58% women, age: 82.1 ± 5.4 years). Mean SPPB score increased from 7.3 (±3.6) to 8.0 (±4.0) (p = 0.3). At baseline, 35% were malnourished, 42% at risk of malnutrition, and 23% well-nourished. After ≥90 days of MT-ONS, 4% were malnourished, 54% at risk, and 42% well-nourished. The number of falls decreased from 1.2 falls/month (±0.9) to 0.2 falls/month (±0.3, p < 0.0001). Favourable changes in physical performance were positively correlated with improvements in nutritional status (p = 0.03). Adherence was high (92%), largely attributed to pleasant taste (71%) and smell (58%) and positive health perceptions (58%). Conclusions: In routine clinical practice, frail adults at risk of falls who received MT-ONS, 100% whey protein enriched with leucine and vitamin D for ≥90 days, as part of a comprehensive care plan improved their physical performance and nutritional status and reduced the number of falls. These findings should be interpreted as preliminary.
Full article

Graphical abstract
Open AccessPerspective
Yoga for Healthy Ageing: Evidence, Clinical Practice, and Policy Implications in the WHO Decade of Healthy Ageing
by
Aditi Garg, Carolina Estevao and Saamdu Chetri
J. Ageing Longev. 2026, 6(1), 14; https://doi.org/10.3390/jal6010014 - 20 Jan 2026
Cited by 1
Abstract
Ageing is a dynamic biological process involving interconnected physiological, psychological, and social changes, making the promotion of healthy ageing a global public health priority. The World Health Organization (WHO) defines healthy ageing as the process of developing and maintaining functional ability that enables
[...] Read more.
Ageing is a dynamic biological process involving interconnected physiological, psychological, and social changes, making the promotion of healthy ageing a global public health priority. The World Health Organization (WHO) defines healthy ageing as the process of developing and maintaining functional ability that enables well-being in older age. The WHO’s Decade of Healthy Aging (2021–2030) outlines four key action areas: changing attitudes toward ageing, creating age-friendly environments, delivering integrated and person-centred care, and ensuring access to long-term care. This Perspective examines yoga, a holistic mind–body practice integrating physical postures, breath regulation, and mindfulness, as a potentially safe, adaptable, and scalable intervention for older adults. Evidence suggests that yoga may improve flexibility, balance, mobility, and cardiovascular function, reduce pain, and support the management of chronic conditions commonly associated with ageing. Psychological and cognitive research further indicates reductions in stress, anxiety, and depressive symptoms, alongside potential benefits for attention, memory, and executive function. Improvements in health-related quality of life (HRQoL) have been reported across physical, psychological, and social domains, with benefits sustained through regular practice. Adaptations such as chair-based practices, restorative postures, and the use of props enhance accessibility and safety, allowing participation across diverse functional levels. Mindfulness and breath-focused components of yoga may additionally support emotional regulation, resilience, and psychological well-being, particularly among older adults experiencing stress or limited mobility. Yoga interventions are generally well tolerated, demonstrate high adherence, and can be delivered through in-person and digital formats, addressing common access barriers. Despite this growing evidence base, yoga remains underintegrated within health policy and care systems in the US, UK, and India. Strengthening its role may require coordinated efforts across research, policy, and implementation to support healthy ageing outcomes.
Full article
(This article belongs to the Special Issue Quality of Life among Older Adults: Lifestyle Differentiation and Associated Factors)
Open AccessArticle
Aging in Cross-Cultural Contexts: Transnational Healthcare Practices Among Older Syrian Refugees in the Greater Toronto Area
by
Areej Al-Hamad, Yasin Mohammad Yasin, Sepali Guruge, Kateryna Metersky, Cristina Catallo, Hasina Amanzai, Zhixi Zhuang, Lu Wang, Lixia Yang, Lina Kanan and Yasmeen Chamas
J. Ageing Longev. 2026, 6(1), 13; https://doi.org/10.3390/jal6010013 - 17 Jan 2026
Abstract
►▼
Show Figures
Despite the increasing number of older Syrian refugees in Canada, little is known about how they manage their health care needs while contending with language barriers, cultural dissonance, and systemic inequities. This qualitative study explored how older Syrian refugees in the Greater Toronto
[...] Read more.
Despite the increasing number of older Syrian refugees in Canada, little is known about how they manage their health care needs while contending with language barriers, cultural dissonance, and systemic inequities. This qualitative study explored how older Syrian refugees in the Greater Toronto Area (GTA) navigate healthcare across Canadian and transnational contexts. The study was guided by the transnational circulation of care framework and used an interpretive descriptive design. Following research ethics approval, 20 older Syrian refugees were interviewed by bilingual research assistants. In-depth individual interviews were conducted in Arabic and analyzed using reflexive thematic analysis. Four interrelated themes emerged: (1) Navigating a New System; (2) Living in Two Worlds; (3) Medication Portability, Herbal Practices, and Supplement Culture; and (4) Digital Health Across Borders. Findings demonstrate that older Syrian refugees actively construct hybrid care pathways that integrate biomedical, cultural, and transnational practices. These strategies reflect resilience and adaptability but also expose gaps in the healthcare system. The study underscores the need for culturally responsive and age-friendly healthcare practices that acknowledge transnational realities. By illuminating how care circulates across borders, this study provides actionable guidance for designing responsive health systems.
Full article

Figure 1
Open AccessReview
The Impacts of Age-Related Peripheral Hearing Loss, Central Auditory Processing, and Cognition on Quality of Life in Older Adults: A Scoping Review
by
Samantha E. Vasquez, Anna J. Bierma and Brian M. Kreisman
J. Ageing Longev. 2026, 6(1), 12; https://doi.org/10.3390/jal6010012 - 16 Jan 2026
Abstract
This scoping review aims to synthesize peer-reviewed literature exploring quality of life (QoL) for individuals with age-related hearing loss (ARHL), age-related central auditory processing (ARCAP) deficits, and age-related cognitive decline. A growing body of research has identified ARHL as a risk factor for
[...] Read more.
This scoping review aims to synthesize peer-reviewed literature exploring quality of life (QoL) for individuals with age-related hearing loss (ARHL), age-related central auditory processing (ARCAP) deficits, and age-related cognitive decline. A growing body of research has identified ARHL as a risk factor for the development of dementia, highlighting the connection between the sensory and cognitive systems. As the aging population continues to grow, examining comorbid age-related hearing and cognitive decline is especially relevant. These conditions may have potential negative consequences on the daily functioning, social participation, mental health, and overall wellbeing of older adults. A systematic search of peer-reviewed literature was conducted across multiple databases, adhering to the PRISMA guidelines for scoping reviews. Studies that focused on the impact of ARHL, ARCAP deficits, and/or related cognitive deficits on QoL were included in the present review. Key data extracted included QoL measures categorized into the ICF framework, the effects of hearing loss intervention on QoL, and the impact of ARHL on QoL for aging individuals. This review summarizes the reported effects that ARHL, ARCAP, and/or cognitive decline have on older adults, and discusses the clinical and practical implications for managing clients with these conditions. In addition to preventative measures and deficit management, maintenance of life participation, social engagement, and overall wellbeing should be considered when caring for aging adults with hearing and/or cognitive impairment.
Full article
(This article belongs to the Special Issue Quality of Life among Older Adults: Lifestyle Differentiation and Associated Factors)
►▼
Show Figures

Figure 1
Open AccessArticle
Graph Analysis of Age-Related Changes in Resting-State Functional Connectivity Measured with fNIRS
by
Víctor Sánchez, Sergio Novi, Alex C. Carvalho, Andres Quiroga, Rodrigo Menezes Forti, Fernando Cendes, Clarissa Lin Yasuda and Rickson C. Mesquita
J. Ageing Longev. 2026, 6(1), 11; https://doi.org/10.3390/jal6010011 - 15 Jan 2026
Abstract
►▼
Show Figures
Resting-state functional connectivity (rsFC) provides insight into the intrinsic organization of brain networks and is increasingly recognized as a sensitive marker of age-related neural changes. Functional near-infrared spectroscopy (fNIRS) offers a portable and cost-effective approach to measuring rsFC, including in naturalistic settings. However,
[...] Read more.
Resting-state functional connectivity (rsFC) provides insight into the intrinsic organization of brain networks and is increasingly recognized as a sensitive marker of age-related neural changes. Functional near-infrared spectroscopy (fNIRS) offers a portable and cost-effective approach to measuring rsFC, including in naturalistic settings. However, its sensitivity to age-related alterations in network topology remains poorly characterized. Here, we applied graph-based analysis to resting-state fNIRS data from 57 healthy participants, including 26 young adults (YA, 18–30 years) and 31 older adults (OA, 50–77 years). We observed that older adults exhibited a marked attenuation of low-frequency oscillation (LFO) power across all hemoglobin contrasts, corresponding to a 5–6-fold reduction in spectral power. In addition, network analysis revealed altered topological organization under matched sparsity conditions, characterized by reduced degree heterogeneity and increased segregation in older adults, with the strongest differences observed in the default mode (DMN), auditory, and frontoparietal control (FPC) networks. Network visualizations further indicated a shift toward more right-lateralized and posterior hub organization in older adults. Together, the coexistence of reduced oscillatory power and increased connectivity suggests that fNIRS-derived rsFC reflects combined neural and non-neural hemodynamic influences, including increased coherence arising from age-related vascular and systemic physiological processes. Overall, our findings demonstrate that fNIRS is sensitive to age-related changes in large-scale hemodynamic network organization. At the same time, sensitivity to non-neural hemodynamics highlights the need for cautious interpretation, but it may provide complementary, clinically relevant signatures of aging-related changes.
Full article

Figure 1
Open AccessArticle
Cognitive Reserve and Creative Thinking in Aging: A Cross-Sectional Study on the Role of Education, Occupation, and Leisure Activities
by
Rosa Angela Fabio, Angela Bellantone, Barbara Colombo, Domenica Viviana Bertuccio and Giulia Picciotto
J. Ageing Longev. 2026, 6(1), 10; https://doi.org/10.3390/jal6010010 - 13 Jan 2026
Abstract
Cognitive reserve (CR) is widely recognized as a protective factor that supports cognitive functioning across the lifespan. Recent research suggests a reciprocal relationship between CR and creative thinking—particularly divergent thinking (DT)—with DT potentially contributing to and benefiting from CR and remaining relatively preserved
[...] Read more.
Cognitive reserve (CR) is widely recognized as a protective factor that supports cognitive functioning across the lifespan. Recent research suggests a reciprocal relationship between CR and creative thinking—particularly divergent thinking (DT)—with DT potentially contributing to and benefiting from CR and remaining relatively preserved in older adulthood. This cross-sectional study, conducted in Italy between April and July 2025 using convenience sampling, examined whether CR predicts verbal and conceptual creativity in healthy older adults. One hundred participants (aged 65–92 years; M = 68.45, SD = 8.12) completed the Cognitive Reserve Index questionnaire (CRIq), the Test di Intelligenza Breve (TIB; Short Intelligence Test), and two creativity tasks. Data were analyzed using IBM SPSS Statistics (version 25.0; IBM Corp., Armonk, NY, USA). Multiple regression analyses showed that overall CR significantly predicted all creativity outcomes, including verbal fluency (β = 0.316, p = 0.011) and flexibility (β = 0.336, p = 0.007), as well as conceptual fluency (β = 0.371, p = 0.003), flexibility (β = 0.381, p = 0.002), and originality (β = 0.338, p = 0.006). Education and leisure activities more strongly predicted verbal creativity, whereas occupational experience and leisure activities predominantly predicted conceptual creativity. These findings indicate that CR supports creative thinking in later life and highlight the importance of cognitively and socially enriched experiences across the lifespan.
Full article
Open AccessArticle
B Cell Levels in Centenarians, Semi-Supercentenarians, and Supercentenarians: Descriptive Analysis by Age, Sex, Cytomegalovirus Status, and Interleukin-6
by
Giorgio Bertolazzi, Anna Calabrò, Giulia Accardi, Anna Aiello, Calogero Caruso, Anna Maria Corsale, Marta Di Simone, Serena Meraviglia and Giuseppina Candore
J. Ageing Longev. 2026, 6(1), 9; https://doi.org/10.3390/jal6010009 - 13 Jan 2026
Abstract
►▼
Show Figures
This study aims to characterise the B cell compartment in a cohort of Sicilian centenarians by analysing absolute CD3−CD19+ lymphocyte counts, in association with age, sex, cytomegalovirus (CMV) serostatus, related to immune ageing, and interleukin (IL)-6 levels, representative of inflamm-ageing.
[...] Read more.
This study aims to characterise the B cell compartment in a cohort of Sicilian centenarians by analysing absolute CD3−CD19+ lymphocyte counts, in association with age, sex, cytomegalovirus (CMV) serostatus, related to immune ageing, and interleukin (IL)-6 levels, representative of inflamm-ageing. It also investigates age-related changes in the CD4+/CD19+ ratio as a marker of immune ageing, reflecting shifts in immune homeostasis. B cell counts were assessed by flow cytometry on 53 Sicilians aged 19–110 years: 20 Adults, 15 Older adults, 11 long-living individuals, and 7 oldest centenarians. A multiple negative binomial regression was applied to evaluate the effects of age, sex, CMV serostatus, and Il-6 levels on values of B cells. The results showed a non-significant trend toward age-related decline without sex-based differences. A significant reduction in B cell count was observed in individuals with high anti_CMV titres, while IL-6 levels showed a borderline inverse correlation. CD4+/CD19+ ratio values showed an age-related increase. Our findings suggest that the age-related decline in B cell numbers may be mostly related to CMV infection and IL-6 values, without sex contribution. The age-related increase in the CD4+/CD19+ ratio, most pronounced in oldest centenarians, may represent a compensatory adaptation promoting immune regulation and chronic inflammation control.
Full article

Graphical abstract
Open AccessPerspective
Assistive Intelligence: A Framework for AI-Powered Technologies Across the Dementia Continuum
by
Bijoyaa Mohapatra and Reza Ghaiumy Anaraky
J. Ageing Longev. 2026, 6(1), 8; https://doi.org/10.3390/jal6010008 - 10 Jan 2026
Abstract
►▼
Show Figures
Dementia is a progressive condition that affects cognition, communication, mobility, and independence, posing growing challenges for individuals, caregivers, and healthcare systems. While traditional care models often focus on symptom management in later stages, emerging artificial intelligence (AI) technologies offer new opportunities for proactive
[...] Read more.
Dementia is a progressive condition that affects cognition, communication, mobility, and independence, posing growing challenges for individuals, caregivers, and healthcare systems. While traditional care models often focus on symptom management in later stages, emerging artificial intelligence (AI) technologies offer new opportunities for proactive and personalized support across the dementia trajectory. This concept paper presents the Assistive Intelligence framework, which aligns AI-powered interventions with each stage of dementia: preclinical, mild, moderate, and severe. These are mapped across four core domains: cognition, mental health, physical health and independence, and caregiver support. We illustrate how AI applications, including generative AI, natural language processing, and sensor-based monitoring, can enable early detection, cognitive stimulation, emotional support, safe daily functioning, and reduced caregiver burden. The paper also addresses critical implementation considerations such as interoperability, usability, and scalability, and examines ethical challenges related to privacy, fairness, and explainability. We propose a research and innovation roadmap to guide the responsible development, validation, and dissemination of AI technologies that are adaptive, inclusive, and centered on individual well-being. By advancing this framework, we aim to promote equitable and person-centered dementia care that evolves with individuals’ changing needs.
Full article

Figure 1
Highly Accessed Articles
Latest Books
E-Mail Alert
News
Topics
Topic in
Healthcare, IJERPH, JAL, Societies, Sustainability, Social Sciences, Nursing Reports
Environmental and Social Transformations, Population Ageing, and Sustainable Health Equity
Topic Editors: Xiaoting Liu, Chenkai Wu, Zhixin FengDeadline: 30 April 2027
Topic in
AI, Geriatrics, JAL, Healthcare
AI-Driven Smart Elderly Care: Innovations and Solutions
Topic Editors: Mahmoud Elkhodr, Ergun GideDeadline: 30 June 2027
Topic in
Behavioral Sciences, Healthcare, Social Sciences, Societies, Sustainability, JAL
Diversity Competence and Social Inequalities, 2nd Edition
Topic Editors: Costas Constantinou, Lisa Dikomitis, Eirini KamprianiDeadline: 31 October 2027
Conferences
Special Issues
Special Issue in
JAL
Transforming Health Outcomes: Cutting-Edge Research and Empirical Knowledge About the Care of Older Adults Living with HIV/AIDS
Guest Editor: Christopher Lance ColemanDeadline: 30 April 2026
Special Issue in
JAL
Innovations in Rehabilitation to Enhance Abilities and Quality of Life
Guest Editor: Stephanie A. Kolakowsky-HaynerDeadline: 30 September 2026
Special Issue in
JAL
Frailty, Function, and Well-Being in Community-Dwelling Older Adults
Guest Editors: Weida Lyu, Shangjun LiuDeadline: 30 September 2026
Special Issue in
JAL
Health Information Behaviors and Health Literacy in Older Adults
Guest Editors: Maryline Vivion, André TourignyDeadline: 31 January 2027




