Sociodemographic Factors and Childhood Growth: Associations with Environmental Sanitation Phases
Highlights
- Large-scale sanitation infrastructure programs affect multiple health outcomes simultaneously, making it critical to understand their long-term impact on child anthropometric indicators alongside changes in socioeconomic conditions.
- Early childhood growth trajectories can influence the risk of chronic diseases in adulthood, and understanding the socioeconomic factors that shape these trajectories is essential for addressing health inequalities during the critical first 1000 days of life.
- Children born in later phases of sanitation implementation showed improved linear growth trajectories (HAZ), particularly males, suggesting that sustained multi-level interventions can influence child development patterns over extended periods.
- Birth weight, household overcrowding, and maternal education emerged as consistent predictors of height-for-age across all sanitation phases, identifying modifiable targets for early childhood interventions in vulnerable populations.
- Interventions addressing modifiable factors such as household overcrowding and birth weight optimization may complement infrastructure improvements in promoting child growth in low-resource settings.
- Future interventions should adopt multisectoral approaches combining sanitation infrastructure with targeted nutritional support and maternal education programs, as infrastructure alone shows heterogeneous effects on growth outcomes.
Abstract
1. Introduction
2. Materials and Methods
2.1. Study Design
2.2. Population and Sample
2.2.1. The Bahia Azul Environmental Sanitation Program
2.2.2. Original Epidemiological Cohorts
2.2.3. Data Collection in Original Cohorts
2.2.4. The SCAALA Cohort
2.3. Variables and Data Source
2.3.1. Anthropometric Measurements
2.3.2. Follow-Up Variable
2.3.3. Covariates
2.4. Statistical Analysis
2.5. Ethical Aspects
3. Results
3.1. Participant Characteristics
3.2. Nutritional Status Trends
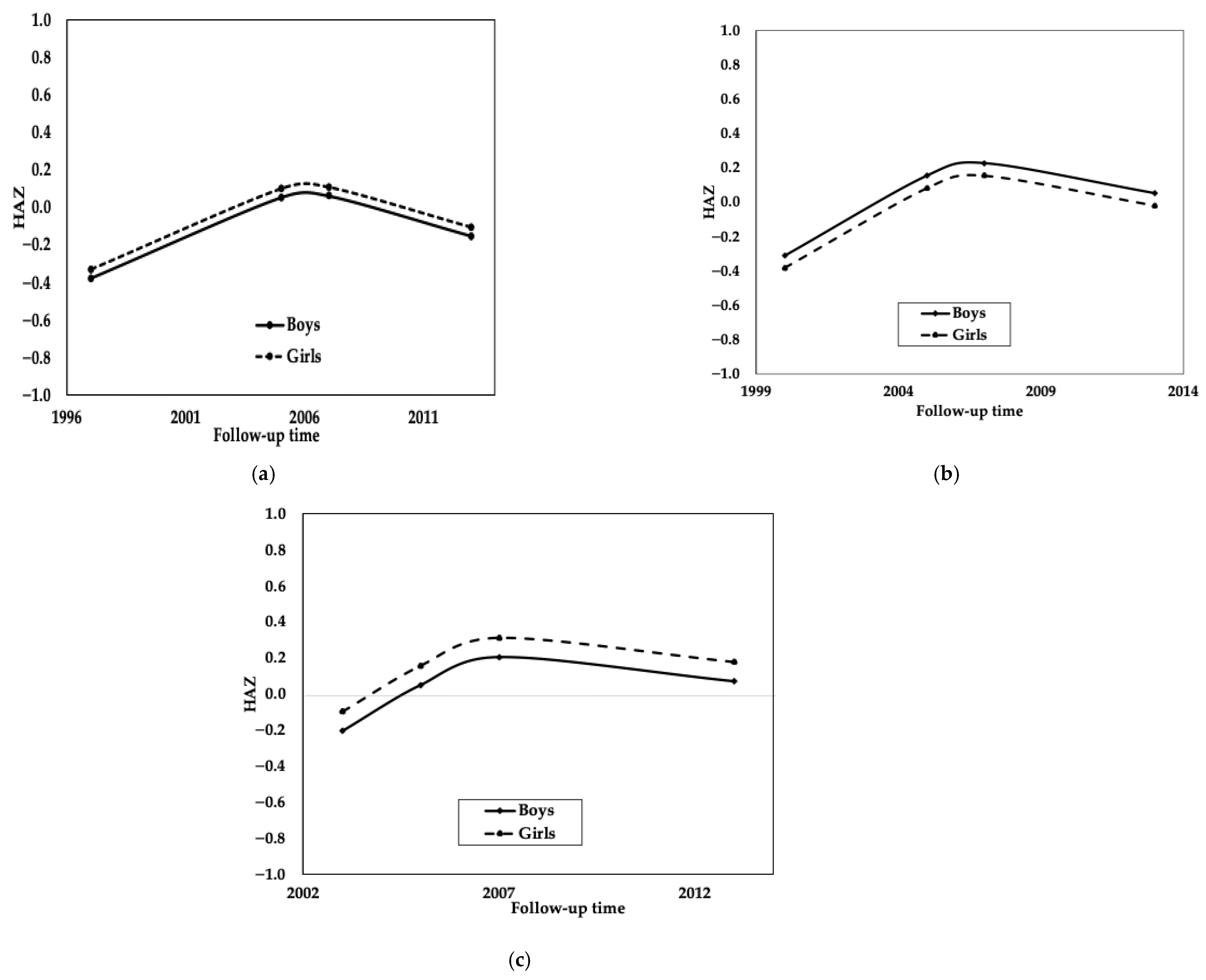
3.3. Height-for-Age Z-Score Trajectory Analysis
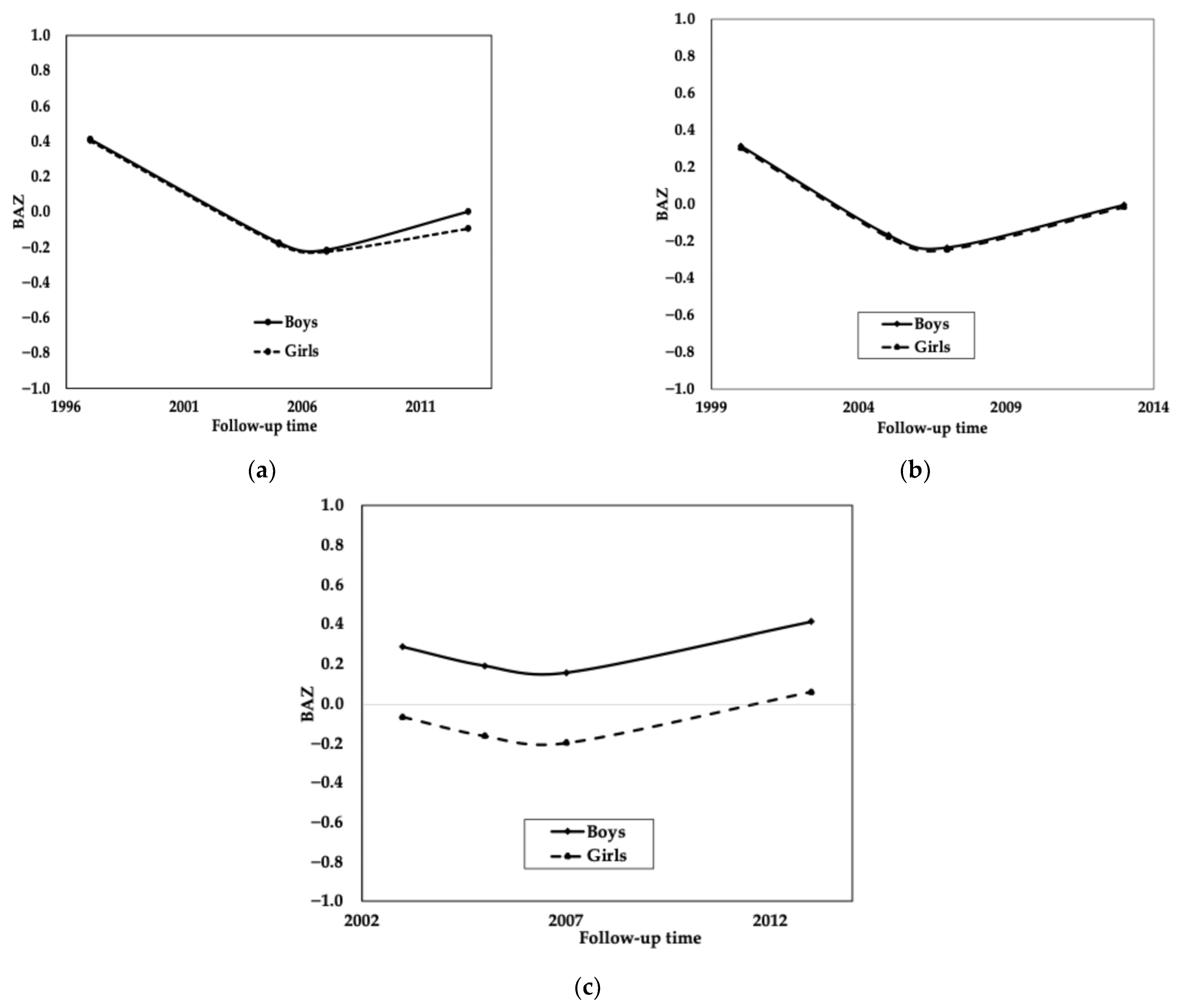
3.4. Body Mass Index-for-Age Z-Score Trajectory Analysis
4. Discussion
5. Conclusions
Supplementary Materials
Author Contributions
Funding
Institutional Review Board Statement
Informed Consent Statement
Data Availability Statement
Conflicts of Interest
Abbreviations
| BIC | Bayesian information criterion |
| HAZ | Height-for-age Z-score |
| NCDs | Non-communicable diseases |
| SCAALA | Social Change, Asthma, and Allergy in Latin America |
| WHO | World Health Organization |
| CEP-ISC | Comité de Ética en Pesquisa—Instituto de Salud Colectiva |
| CISPEC | Centro de Investigación en Salud Pública y Epidemiología Clínica |
| ISC/UFBA | Instituto de Salud Colectiva/Universidad Federal de Bahia |
References
- Conde, W.L.; Monteiro, C.A. Nutrition Transition and Double Burden of Undernutrition and Excess of Weight in Brazil. Am. J. Clin. Nutr. 2014, 100, 1617S–1622S. [Google Scholar] [CrossRef]
- Sperandio, N.; Rodrigues, C.T.; Franceschini, S.d.C.C.; Priore, S.E. Impact of Bolsa Família Program on the Nutritional Status of Children and Adolescents from Two Brazilian Regions. Rev. Nutr. 2017, 30, 477–487. [Google Scholar] [CrossRef]
- Kimbro, R.T.; Brooks-Gunn, J.; McLanahan, S. Racial and Ethnic Differentials in Overweight and Obesity Among 3-Year-Old Children. Am. J. Public Health 2007, 97, 298–305. [Google Scholar] [CrossRef] [PubMed]
- Pearce, A.; Dundas, R.; Whitehead, M.; Taylor-Robinson, D. Pathways to Inequalities in Child Health. Arch. Dis. Child. 2019, 104, 998–1003. [Google Scholar] [CrossRef] [PubMed]
- Victora, C.G.; Christian, P.; Vidaletti, L.P.; Gatica-Domínguez, G.; Menon, P.; Black, R.E. Revisiting Maternal and Child Undernutrition in Low-Income and Middle-Income Countries: Variable Progress towards an Unfinished Agenda. Lancet 2021, 397, 1388–1399. [Google Scholar] [CrossRef] [PubMed]
- Oude Groeniger, J.; Houweling, T.A.; Jansen, P.W.; Horoz, N.; Buil, J.M.; van Lier, P.A.; van Lenthe, F.J. Social Inequalities in Child Development: The Role of Differential Exposure and Susceptibility to Stressful Family Conditions. J. Epidemiol. Community Health 2023, 77, 74–80. [Google Scholar] [CrossRef]
- Quattrochi, J.P.; Croke, K.; Dohou, C.; Ghib, L.S.; Lokaya, Y.; Coville, A.; Mvukiyehe, E. Effects of a Community-Driven Water, Sanitation, and Hygiene Intervention on Diarrhea, Child Growth, and Local Institutions: A Cluster-Randomized Controlled Trial in Rural Democratic Republic of Congo. PLoS Med. 2025, 22, e1004524. [Google Scholar] [CrossRef]
- Dangour, A.D.; Watson, L.; Cumming, O.; Boisson, S.; Che, Y.; Velleman, Y.; Cavill, S.; Allen, E.; Uauy, R. Interventions to Improve Water Quality and Supply, Sanitation and Hygiene Practices, and Their Effects on the Nutritional Status of Children. Cochrane Database Syst. Rev. 2013, 2013, CD009382. [Google Scholar] [CrossRef]
- Gizaw, Z.; Yalew, A.W.; Bitew, B.D.; Lee, J.; Bisesi, M. Stunting among Children Aged 24–59 Months and Associations with Sanitation, Enteric Infections, and Environmental Enteric Dysfunction in Rural Northwest Ethiopia. Sci. Rep. 2022, 12, 19293. [Google Scholar] [CrossRef]
- Bekele, T.; Rawstorne, P.; Rahman, B. Effect of Water, Sanitation and Hygiene Interventions Alone and Combined with Nutrition on Child Growth in Low and Middle Income Countries: A Systematic Review and Meta-Analysis. BMJ Open 2020, 10, e034812. [Google Scholar] [CrossRef]
- Barreto, M.L.; Genser, B.; Strina, A.; Teixeira, M.G.; Assis, A.M.O.; Rego, R.F.; Teles, C.A.; Prado, M.S.; Matos, S.M.A.; Alcântara-Neves, N.M.; et al. Impact of a Citywide Sanitation Program in Northeast Brazil on Intestinal Parasites Infection in Young Children. Environ. Health Perspect. 2010, 118, 1637–1642. [Google Scholar] [CrossRef]
- Barreto, M.L.; Genser, B.; Strina, A.; Teixeira, M.G.; Assis, A.M.O.; Rego, R.F.; Teles, C.A.; Prado, M.S.; Matos, S.M.A.; Santos, D.N.; et al. Effect of City-Wide Sanitation Programme on Reduction in Rate of Childhood Diarrhoea in Northeast Brazil: Assessment by Two Cohort Studies. Lancet 2007, 370, 1622–1628. [Google Scholar] [CrossRef] [PubMed]
- Cairncross, S.; Blumenthal, U.; Kolsky, P.; Moraes, L.; Tayeh, A. The Public and Domestic Domains in the Transmission of Disease. Trop. Med. Int. Heal. 1996, 1, 27–34. [Google Scholar] [CrossRef] [PubMed]
- Ministério da Saúde População Residente Segundo Município. Periodo 1996. Available online: http://tabnet.datasus.gov.br/cgi/tabcgi.exe?ibge/cnv/popba.def (accessed on 26 November 2025).
- Teixeira, M.G.; Barreto, M.L.; Nascimento, C.; Stina, A.; Martins, D.; Prado, M. Sentinel Areas: A Monitoring Strategy in Public Health. Cad. Saúde Pública 2002, 18, 1189–1195. [Google Scholar] [CrossRef] [PubMed][Green Version]
- Campos-Borja, P. Política de Saneamento, Instituições Financeiras Internacionais e Mega-Programas: Uma Olhar Através Do Programa Bahia Azul. Master’s Thesis, Universidade Federal de Bahía, Salvador, Brazil, 2004. [Google Scholar]
- Larrea-Killinger, C.; Rego, R.F.; Strina, A.; Barreto, M.L. Epidemiologists Working Together with Anthropologists: Lessons from a Study to Evaluate the Epidemiological Impact of a City-Wide Sanitation Program. Cad. Saude Publica 2013, 29, 461–474. [Google Scholar] [CrossRef]
- Barreto, M.L.; Cunha, S.S.; Alcântara-Neves, N.; Carvalho, L.P.; Cruz, Á.A.; Stein, R.T.; Genser, B.; Cooper, P.J.; Rodrigues, L.C. Risk Factors and Immunological Pathways for Asthma and Other Allergic Diseases in Children: Background and Methodology of a Longitudinal Study in a Large Urban Center in Northeastern Brazil (Salvador-SCAALA Study). BMC Pulm. Med. 2006, 6, 15. [Google Scholar] [CrossRef]
- Lohman, T.G.; Roche, A.F.; Martorell, R. Anthropometric Standardization Reference Manual; Human Kinetics Books: Champaign, IL, USA, 1988; ISBN 0873221214. [Google Scholar]
- World Health Organization. AnthroPlus Software for Assessing Growth of the World’s Children and Adolescents 2011. Available online: https://www.who.int/tools/growth-reference-data-for-5to19-years/application-tools (accessed on 22 November 2024).
- Diggle, P.J.; Heagerty, P.J.; Liang, K.; Zeger, S.L. Analysis of Longitudinal Data; Oxford University Press: Oxford, NY, USA, 2002; ISBN 9780198524847. [Google Scholar]
- Heggeseth, B.C.; Jewell, N.P. How Gaussian Mixture Models Might Miss Detecting Factors That Impact Growth Patterns. Ann. Appl. Stat. 2018, 12, 222–245. [Google Scholar] [CrossRef]
- Jones, R.H. Bayesian Information Criterion for Longitudinal and Clustered Data. Stat. Med. 2011, 30, 3050–3056. [Google Scholar] [CrossRef]
- StataCorp. Stata Statistical Software, Version 17.0; StataCorp: College Station, TX, USA, 2021.
- Richard, S.A.; McCormick, B.J.J.; Murray-Kolb, L.E.; Lee, G.O.; Seidman, J.C.; Mahfuz, M.; Ahmed, T.; Guerrant, R.L.; Petri, W.A.; Rogawski, E.T.; et al. Enteric Dysfunction and Other Factors Associated with Attained Size at 5 Years: MAL-ED Birth Cohort Study Findings. Am. J. Clin. Nutr. 2019, 110, 131–138. [Google Scholar] [CrossRef]
- Butzin-Dozier, Z.; Ji, Y.; Coyle, J.; Malenica, I.; Rogawski McQuade, E.T.; Grembi, J.A.; Platts-Mills, J.A.; Houpt, E.R.; Graham, J.P.; Ali, S.; et al. Treatment Heterogeneity of Water, Sanitation, Hygiene, and Nutrition Interventions on Child Growth by Environmental Enteric Dysfunction and Pathogen Status for Young Children in Bangladesh. PLoS Negl. Trop. Dis. 2025, 19, e0012881. [Google Scholar] [CrossRef]
- Mertens, A.; Arnold, B.F.; Benjamin-Chung, J.; Boehm, A.B.; Brown, J.; Capone, D.; Clasen, T.; Fuhrmeister, E.R.; Grembi, J.A.; Holcomb, D.; et al. Is Detection of Enteropathogens and Human or Animal Faecal Markers in the Environment Associated with Subsequent Child Enteric Infections and Growth: An Individual Participant Data Meta-Analysis. Lancet Glob. Heal. 2024, 12, e433–e444. [Google Scholar] [CrossRef]
- Tofail, F.; Pitchik, H.O.; Islam, M.; Khan, R.; Shoab, A.K.; Akter, F.; Aktar, S.; Huda, T.M.N.; Rahman, M.; Winch, P.J.; et al. Effects of an Early Water, Sanitation, Hygiene, and Nutritional Intervention on Child Development at School Age: A 7-Year Follow-up of a Cluster-Randomized Trial in Rural Bangladesh. PLoS Med 2025, 22, e1004793. [Google Scholar] [CrossRef]
- Ercumen, A.; Mertens, A.N.; Butzin-Dozier, Z.; Jung, D.K.; Ali, S.; Achando, B.S.; Rao, G.; Hemlock, C.; Pickering, A.J.; Stewart, C.P.; et al. Water, Sanitation, Handwashing, and Nutritional Interventions Can Reduce Child Antibiotic Use: Evidence from Bangladesh and Kenya. Nat. Commun. 2025, 16, 556. [Google Scholar] [CrossRef] [PubMed]
- Vats, H.; Walia, G.K.; Saxena, R.; Sachdeva, M.P.; Gupta, V. Association of Low Birth Weight with the Risk of Childhood Stunting in Low- and Middle-Income Countries: A Systematic Review and Meta-Analysis. Neonatology 2024, 121, 244–257. [Google Scholar] [CrossRef] [PubMed]
- Abbas, F.; Kumar, R.; Mahmood, T.; Somrongthong, R. Impact of Children Born with Low Birth Weight on Stunting and Wasting in Sindh Province of Pakistan: A Propensity Score Matching Approach. Sci. Rep. 2021, 11, 19932. [Google Scholar] [CrossRef] [PubMed]
- Shi, J.; Guo, Q.; Fang, H.; Cheng, X.; Ju, L.; Wei, X.; Zhao, L.; Cao, Q.; Yuan, X.; He, L. The Relationship between Birth Weight and the Risk of Overweight and Obesity among Chinese Children and Adolescents Aged 7–17 Years. Nutrients 2024, 16, 715. [Google Scholar] [CrossRef]
- Liao, P.; Wang, W.-J.; Yu, H.-T.; Zang, J.-J.; Qian, N.-S.; He, X.; Gao, W.-J.; Yu, C.-Q.; Li, L.-M.; Wu, F. Differences and Correlation Analysis of Birth Weight and Overweight/Obesity in Shanghai Twin Cohort. Twin Res. Hum. Genet. 2021, 24, 29–36. [Google Scholar] [CrossRef]
- Xia, Q.; Cai, H.; Xiang, Y.; Zhou, P.; Li, H.; Yang, G.; Jiang, Y.; Shu, X.; Zheng, W.; Xu, W. Prospective Cohort Studies of Birth Weight and Risk of Obesity, Diabetes, and Hypertension in Adulthood among the Chinese Population. J. Diabetes 2019, 11, 55–64. [Google Scholar] [CrossRef]
- Rito, A.I.; Buoncristiano, M.; Spinelli, A.; Salanave, B.; Kunešová, M.; Hejgaard, T.; García Solano, M.; Fijałkowska, A.; Sturua, L.; Hyska, J.; et al. Association between Characteristics at Birth, Breastfeeding and Obesity in 22 Countries: The WHO European Childhood Obesity Surveillance Initiative—COSI 2015/2017. Obes. Facts 2019, 12, 226–243. [Google Scholar] [CrossRef]
- Eny, K.M.; Chen, S.; Anderson, L.N.; Chen, Y.; Lebovic, G.; Pullenayegum, E.; Parkin, P.C.; Maguire, J.L.; Birken, C.S. Breastfeeding Duration, Maternal Body Mass Index, and Birth Weight Are Associated with Differences in Body Mass Index Growth Trajectories in Early Childhood. Am. J. Clin. Nutr. 2018, 107, 584–592. [Google Scholar] [CrossRef]
- Shipp, G.M.; Wosu, A.C.; Knapp, E.A.; Sauder, K.A.; Dabelea, D.; Perng, W.; Zhu, Y.; Ferrara, A.; Dunlop, A.L.; Deoni, S.; et al. Maternal Pre-Pregnancy BMI, Breastfeeding, and Child BMI. Pediatrics 2024, 153, e2023061466. [Google Scholar] [CrossRef] [PubMed]
- Camier, A.; Cissé, A.H.; Lioret, S.; Bernard, J.Y.; Charles, M.A.; Heude, B.; de Lauzon-Guillain, B. Infant Feeding Practices Associated with Adiposity Peak and Rebound in the EDEN Mother–Child Cohort. Int. J. Obes. 2022, 46, 809–816. [Google Scholar] [CrossRef] [PubMed]
- Lopes, A.F.; Machado, T.C.; Nascimento, V.G.; Bertoli, C.J.; Leone, C. Cesarean Delivery and Risk of Excess Weight Among Brazilian Preschool Children. Matern. Child Health J. 2022, 26, 1305–1311. [Google Scholar] [CrossRef] [PubMed]
- Goldani, M.Z.; Barbieri, M.A.; da Silva, A.A.M.; Gutierrez, M.R.P.; Bettiol, H.; Goldani, H.A.S. Cesarean Section and Increased Body Mass Index in School Children: Two Cohort Studies from Distinct Socioeconomic Background Areas in Brazil. Nutr. J. 2013, 12, 104. [Google Scholar] [CrossRef]
- Barros, F.C.; Matijasevich, A.; Hallal, P.C.; Horta, B.L.; Barros, A.J.; Menezes, A.B.; Santos, I.S.; Gigante, D.P.; Victora, C.G. Cesarean Section and Risk of Obesity in Childhood, Adolescence, and Early Adulthood: Evidence from 3 Brazilian Birth Cohorts. Am. J. Clin. Nutr. 2012, 95, 465–470. [Google Scholar] [CrossRef]
- Barros, A.J.D.; Santos, L.P.; Wehrmeister, F.; Motta, J.V.d.S.; Matijasevich, A.; Santos, I.S.; Menezes, A.M.B.; Gonçalves, H.; Assunção, M.C.F.; Horta, B.L.; et al. Caesarean Section and Adiposity at 6, 18 and 30 Years of Age: Results from Three Pelotas (Brazil) Birth Cohorts. BMC Public Health 2017, 17, 256. [Google Scholar] [CrossRef]
- Cavalcante, L.F.P.; de Carvalho, C.A.; Padilha, L.L.; Viola, P.C.d.A.F.; da Silva, A.A.M.; Simões, V.M.F. Cesarean Section and Body Mass Index in Children: Is There a Causal Effect? Cad. Saude Publica 2022, 38, e00344020. [Google Scholar] [CrossRef]
- Zong, X.-N.; Li, H.; Zhang, Y.-Q. Height and Body Mass Index Trajectories from 1975 to 2015 and Prevalence of Stunting, Underweight and Obesity in 2016 among Children in Chinese Cities: Findings from Five Rounds of a National Survey. World J. Pediatr. 2024, 20, 404–412. [Google Scholar] [CrossRef]
- Victora, C.G.; Aquino, E.M.; do Carmo Leal, M.; Monteiro, C.A.; Barros, F.C.; Szwarcwald, C.L. Maternal and Child Health in Brazil: Progress and Challenges. Lancet 2011, 377, 1863–1876. [Google Scholar] [CrossRef]
- Monteiro, C.A.; Conde, W.L.; Popkin, B.M. Income-Specific Trends in Obesity in Brazil: 1975–2003. Am. J. Public Health 2007, 97, 1808–1812. [Google Scholar] [CrossRef]
- Bann, D.; Johnson, W.; Li, L.; Kuh, D.; Hardy, R. Socioeconomic Inequalities in Childhood and Adolescent Body-Mass Index, Weight, and Height from 1953 to 2015: An Analysis of Four Longitudinal, Observational, British Birth Cohort Studies. Lancet Public Heal. 2018, 3, e194–e203. [Google Scholar] [CrossRef]
- Monteiro, C.A.; Benicio, M.H.D.; da Cruz Gouveia, N. Secular Growth Trends in Brazil over Three Decades. Ann. Hum. Biol. 1994, 21, 381–390. [Google Scholar] [CrossRef]
- Santiago-Vieira, C.; Velasquez-Melendez, G.; de Cássia Ribeiro-Silva, R.; de Jesus Pinto, E.; Barreto, M.L.; Li, L. Recent Changes in Growth Trajectories: A Population-Based Cohort Study of over 5 Million Brazilian Children Born between 2001 and 2014. Lancet Reg. Heal. Am. 2024, 32, 100721. [Google Scholar] [CrossRef]




| Covariate | Pre-Intervention Cohort | Intervention Cohort | Post-Intervention Cohort | |||||
|---|---|---|---|---|---|---|---|---|
| Variables | Category | n | % | n | % | n | % | |
| Total | 299 | 1007 | 123 | |||||
| Sex | Female | 129 | 43.1 | 476 | 47.3 | 60 | 48.8 | |
| Male | 170 | 56.9 | 531 | 52.7 | 63 | 51.2 | ||
| Birth weight * | ≤3500 g | 207 | 71.1 | 678 | 71.4 | 98 | 81.0 | |
| >3500 g | 84 | 28.9 | 272 | 28.6 | 23 | 19.0 | ||
| Age (year) | 1st measure (mean (min; max)) | 0.9 | (0; 3) | 1.4 | (0; 4) | 2.7 | (2; 3) | |
| 2nd measure (mean (min; max)) | 8.7 | (8; 10) | 6.0 | (4; 9) | 4.0 | (4; 4) | ||
| 3rd measure (mean (min; max)) | 10.7 | (10; 13) | 8.3 | (6; 11) | 6.2 | (5; 7) | ||
| 4th measure (mean (min; max)) | 16.6 | (16; 18) | 14.1 | (12; 17) | 12.0 | (11; 13) | ||
| Height (cm) * | 1st measure (mean (IC95%)) | 78.7 | (77.7; 79.6) | 80.73 | (79.8; 81.7) | 95.6 | (94.8; 96.5) | |
| 2nd measure (mean (IC95%)) | 133.7 | (132.9; 134.5) | 118.9 | (118.3; 119.5) | 106.0 | (105.1; 106.9) | ||
| 3rd measure (mean (IC95%)) | 147.4 | (147.4; 148.4) | 132.6 | (131.9; 133.3) | 120.9 | (119.7; 122.1) | ||
| 4th measure (mean (IC95%))) | 169.1 | (167.9; 170.3) | 163.2 | (162.6; 163.9) | 155.4 | (153.6; 157.1) | ||
| Exclusive Breastfeeding * | ≥4 month | 81 | 27.2 | 84 | 8.3 | 37 | 30.1 | |
| Never | 29 | 9.7 | 560 | 55.7 | 20 | 16.3 | ||
| <4 month | 188 | 73.1 | 362 | 36.0 | 66 | 53.7 | ||
| Type of birth * | Vaginal | 237 | 79.5 | 772 | 77.2 | 83 | 68.0 | |
| Caesarean delivery/forceps | 61 | 20.5 | 228 | 22.8 | 39 | 32.0 | ||
| Ethnic self-identification * | Not Blacks | 21 | 7.0 | 108 | 10.7 | 12 | 9.8 | |
| Blacks | 278 | 93.0 | 898 | 89.3 | 111 | 90.2 | ||
| Overcrowding * | 1 person per room | 99 | 33.1 | 337 | 34.0 | 41 | 33.3 | |
| 2 people per room | 132 | 44.2 | 453 | 45.7 | 60 | 48.8 | ||
| more than two people per room | 68 | 22.7 | 201 | 20.3 | 22 | 17.9 | ||
| Monthly income * | up to R$300 | 120 | 47.4 | 441 | 52.2 | 53 | 50.9 | |
| R$301.00 to R$600.00 | 79 | 31.2 | 263 | 31.1 | 36 | 34.6 | ||
| greater than R$600.00 | 54 | 21.3 | 142 | 16.8 | 15 | 14.4 | ||
| Mother’s education * | 2 full degree to full superior | 53 | 17.8 | 189 | 18.8 | 36 | 29.3 | |
| Incomplete gymnasium to incomplete 2nd grade | 157 | 52.7 | 573 | 56.9 | 59 | 47.9 | ||
| Illiterate to complete primary school | 88 | 29.5 | 246 | 24.4 | 28 | 22.8 | ||
| Smoking in pregnancy * | Not | 265 | 87.8 | 902 | 89.3 | 112 | 88.9 | |
| Yes | 37 | 12.3 | 108 | 10.7 | 14 | 11.1 | ||
| Smoking during the 1st year * | Not | 261 | 87.6 | 885 | 88.3 | 111 | 90.2 | |
| Yes | 37 | 12.4 | 117 | 11.7 | 12 | 9.8 | ||
| Covariates | Category | Pre-Intervention Phase * | Intervention Phase * | Post-Intervention Phase * | |||
|---|---|---|---|---|---|---|---|
| Estimate | 95% IC | Estimate | 95% IC | Estimate | 95% IC | ||
| Follow up | 0.10 | 0.08; 0.12 ᵻ | 0.15 | 0.13; 0.16 ᵻ | 0.23 | 0.16; 0.30 ᵻ | |
| Follow up 2 | −0.004 | −0.006; −0.003 | −0.008 | −0.009; −0.007ᵻ | −0.022 | −0.030; 0.014 | |
| Birth weight (kg) | 0.34 | 0.15; 0.52 ᵻ | 0.49 | 0.38; 0.61 ᵻ | 0.43 | 0.05; 0.80 ᵻ | |
| Exclusive Breastfeeding (≥4 months) | Never | −0.10 | −0.45; 0.23 | −0.02 | −0.17; 0.12 | −0.11 | −0.62; 0.38 |
| <4 months | 0.26 | 0.05; 0.47 ᵻ | 0.06 | −0.11; 0.24 | 0.04 | −0.41; 0.49 | |
| Overcrowding (1 p/room) | 2 people per room | −0.09 | −0.32; 0.12 | −0.21 | −0.34; −0.07 ᵻ | −0.43 | −0.84; −0.03 ᵻ |
| more than 2 people per room | −0.38 | −0.66; −0.11 ᵻ | −0.34 | −0.51; −0.17 ᵻ | −0.63 | −1.23; −0.03 ᵻ | |
| Mother’s schooling (2 g.c. to s.c) | Incomplete gymnasium to incomplete 2nd grade | 0.05 | −0.21; 0.32 | −0.24 | −0.40; −0.09 ᵻ | 0.00 | −0.43; 0.44 |
| Illiterate to complete primary school | −0.31 | −0.61; −0.00 ᵻ | −0.23 | −0.42; −0.04 ᵻ | −0.18 | −0.72; 0.35 | |
| Mother’s ethnic self-identification | Black | 0.23 | −0.14; 0.60 | 0.08 | −0.10; 0.27 | −0.20 | −0.81; 0.41 |
| Smoking during the 1st year (No) | 0.02 | −0.27; 0.33 | −0.27 | −0.47; −0.08 ᵻ | −0.27 | −0.41; 0.96 | |
| Interclass Correlation Coefficient | 0.60 | 0.68 | 0.86 | ||||
| Covariates | Category | Pre-Intervention Phase * | Intervention Phase * | Post-Intervention Phase * | |||
|---|---|---|---|---|---|---|---|
| Estimate | 95% IC | Estimate | 95% IC | Estimate | 95% IC | ||
| Follow up | −0.12 | −0.15; −0.09 ᵻ | −0.09 | −0.19; −0.06 | 0.14 | −0.25; −0.03 ᵻ | |
| Follow up 2 | 0.004 | 0.003; 0.01 ᵻ | 0.009 | 0.007; 0.01 ᵻ | 0.018 | 0.005; 0.029 ᵻ | |
| Birth weight (kg) | 0.35 | 0.12; 0.59 ᵻ | 0.49 | 0.37; 0.62 ᵻ | 0.28 | −0.10; 0.66 | |
| Type ofbirth(vaginal) | Caesarean delivery/Forceps | 0.23 | 0.07; 0.38 ᵻ | 0.27 | 0.11; 0.42 ᵻ | 0.07 | −0.12; 0.28 |
| Mother’s ethnic self-identification | Black | −0.18 | −0.65; 0.29 | −0.16 | −0.36; 0.04 | −0.49 | −1.13; 0.13 |
| Exclusive Breastfeeding (≥4 months) | Never | −0.09 | −0.53; 0.34 | −0.11 | −0.28; 0.05 | 0.76 | 0.22; 1.29 ᵻ |
| <4 months | −0.04 | −0.31; 0.22 | −0.01 | −0.20; 0.17 | 0.24 | −0.22; 0.70 | |
| Overcrowding (1 p/room) | 2 people per room | −0.11 | −0.40; 0.16 | −0.10 | −0.24; 0.04 | −0.39 | −0.22; 0.70 |
| more than 2 people per room | −0.32 | −0.68; 0.02 | −0.29 | −0.48; −0.10 ᵻ | −0.58 | −1.18; 0.00 | |
| Mother’s schooling (2 g.c. to s.c) | Incomplete gymnasium to incomplete 2nd grade | −0.02 | −0.36; 0.31 | −0.07 | −0.24; 0.09 | −0.25 | −0.70; 0.19 |
| Illiterate to complete primary school | −0.15 | −0.53; 0.23 | −0.13 | −0.34; 0.06 | −0.38 | −0.93; 0.16 | |
| Interclass Correlation Coefficient | 0.62 | 0.68 | 0.77 | ||||
Disclaimer/Publisher’s Note: The statements, opinions and data contained in all publications are solely those of the individual author(s) and contributor(s) and not of MDPI and/or the editor(s). MDPI and/or the editor(s) disclaim responsibility for any injury to people or property resulting from any ideas, methods, instructions or products referred to in the content. |
© 2026 by the authors. Licensee MDPI, Basel, Switzerland. This article is an open access article distributed under the terms and conditions of the Creative Commons Attribution (CC BY) license.
Share and Cite
Morejón-Terán, Y.; Campos, A.C.P.; Parise-Vasco, J.M.; Amorim, L.D.A.F.; Rodrigues, L.C.; Barreto, M.L.; Alvim de Matos, S.M. Sociodemographic Factors and Childhood Growth: Associations with Environmental Sanitation Phases. Int. J. Environ. Res. Public Health 2026, 23, 128. https://doi.org/10.3390/ijerph23010128
Morejón-Terán Y, Campos ACP, Parise-Vasco JM, Amorim LDAF, Rodrigues LC, Barreto ML, Alvim de Matos SM. Sociodemographic Factors and Childhood Growth: Associations with Environmental Sanitation Phases. International Journal of Environmental Research and Public Health. 2026; 23(1):128. https://doi.org/10.3390/ijerph23010128
Chicago/Turabian StyleMorejón-Terán, Yadira, Ana Clara P. Campos, Juan Marcos Parise-Vasco, Leila Denise A. F. Amorim, Laura C. Rodrigues, Mauricio L. Barreto, and Sheila Maria Alvim de Matos. 2026. "Sociodemographic Factors and Childhood Growth: Associations with Environmental Sanitation Phases" International Journal of Environmental Research and Public Health 23, no. 1: 128. https://doi.org/10.3390/ijerph23010128
APA StyleMorejón-Terán, Y., Campos, A. C. P., Parise-Vasco, J. M., Amorim, L. D. A. F., Rodrigues, L. C., Barreto, M. L., & Alvim de Matos, S. M. (2026). Sociodemographic Factors and Childhood Growth: Associations with Environmental Sanitation Phases. International Journal of Environmental Research and Public Health, 23(1), 128. https://doi.org/10.3390/ijerph23010128

