Integrated Environmental Conditions Index (IECI) for Assessing Emerging/Legacy Pollutants and Environmental Integrity
Abstract
1. Introduction
2. Materials and Methods
2.1. Study Area, Sampling and Environmental Variables
2.2. Characterization of Environmental Conditions
2.3. Determination of Toxic Metals/Metalloids
2.4. Quantification and Validation of Microplastics
2.5. Pollution and Risk Assessment Indices
2.5.1. Heavy Metal Pollution Index (HPI)
2.5.2. Potential Ecological Risk Index (PERI)
2.5.3. Pollution Load Index (PLI)
2.6. Data Processing for the Integrated Environmental Conditions Index (IECI)
- Obtain the absolute value of the respective index (X) for each study site.
- Perform a linear inversion on indices that display higher numerical values indicating better environmental conditions or lower impact levels (e.g., the WQI and HQ). The environmental indices tend to reflect the ecological condition state or the degree of pollution, within a defined and usually categorised range of values. The IECI seeks to reveal detrimental effects or impacts with high values and better ecological health with low values. Therefore, linear inversion is necessary when an index requires it; the inverted values are obtained by subtracting the original index values (Xoriginal) from the maximum index scale value (Xmax).
- Transformation into an intensification/attenuation index (Y) relative to the threshold value of the given index (X0i); i indicates an index and j is the study site.Thresholds represent quantitative limits beyond which pollutant concentrations or environmental changes may adversely affect human health or ecosystem integrity. They delineate the transition from a good to a degraded ecological state and serve as scientific benchmarks for assessing environmental quality [53].For this study, the threshold values were established based on the categorical levels of each index that indicate an adverse impact or detrimental condition. For this study, the threshold values are as follows: PLI = 1, HPI = 50; PERI = 150; WQI′ = 30; HQ′ = 35.
- Equalise negative values (attenuation indices) to 0 because they are below the threshold values (X0i = 0).
- Estimation of an index of deviation (A), which reflects the relative magnitude over the threshold values; σYi is the standard deviation of the Yi,j values.
- Calculation of the final value for the IECI. The index represents the summation of the deviation indices for each study site (Ai,j).
- Representation of results in radar plots, bar plots or both.
- We suggest constructing a categorised scale for the management of the study areas based on the calculated IECI scores. The categories were established based on the statistical distribution of overall data, using quartiles with equal percentiles (0.25) [54]. This would provide a simple strategy for identifying critical concern areas that may require greater attention (Figure 2; Table 1).
2.7. IECI Validation
2.8. Statistical Analysis
3. Results and Discussion
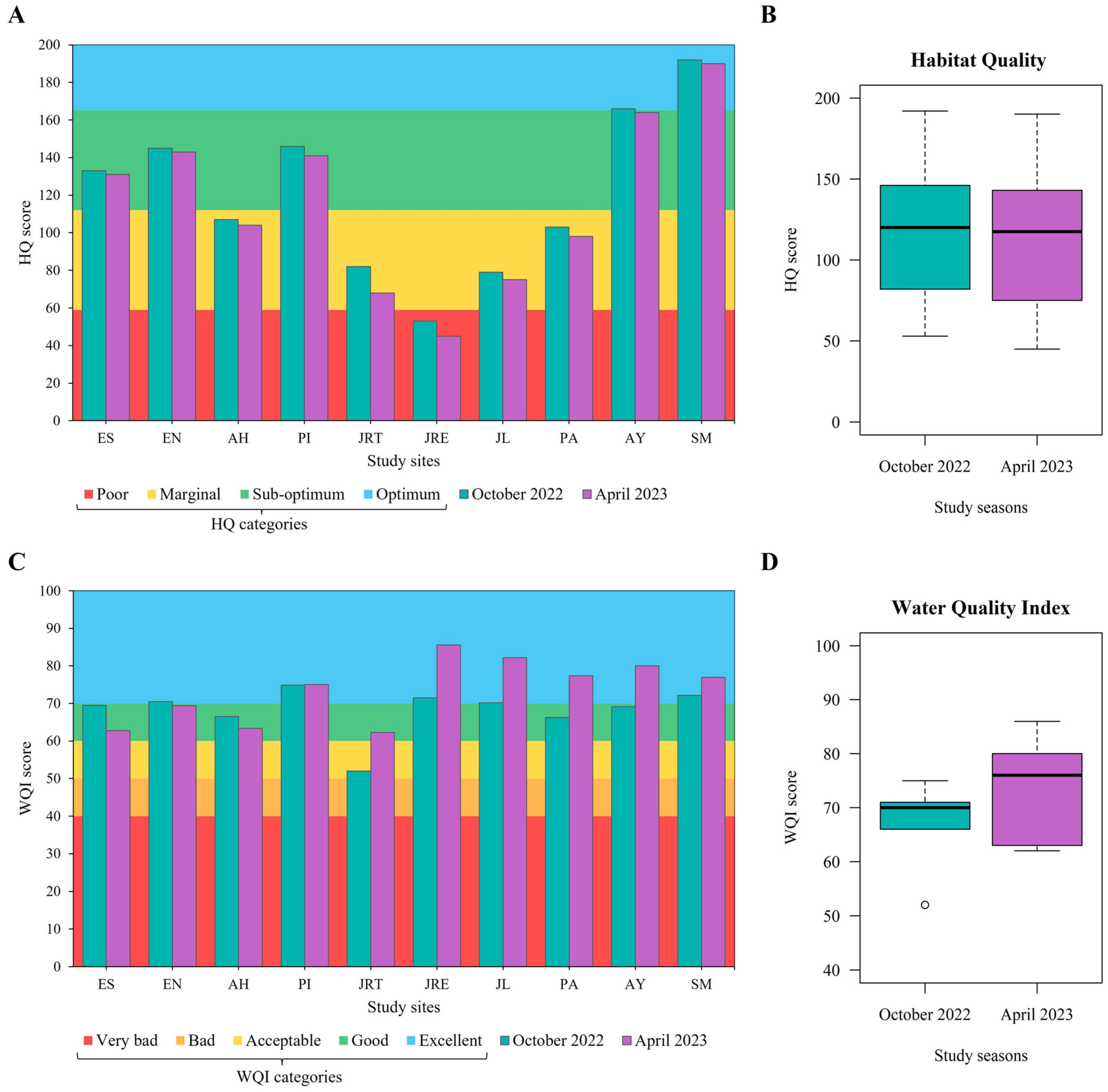
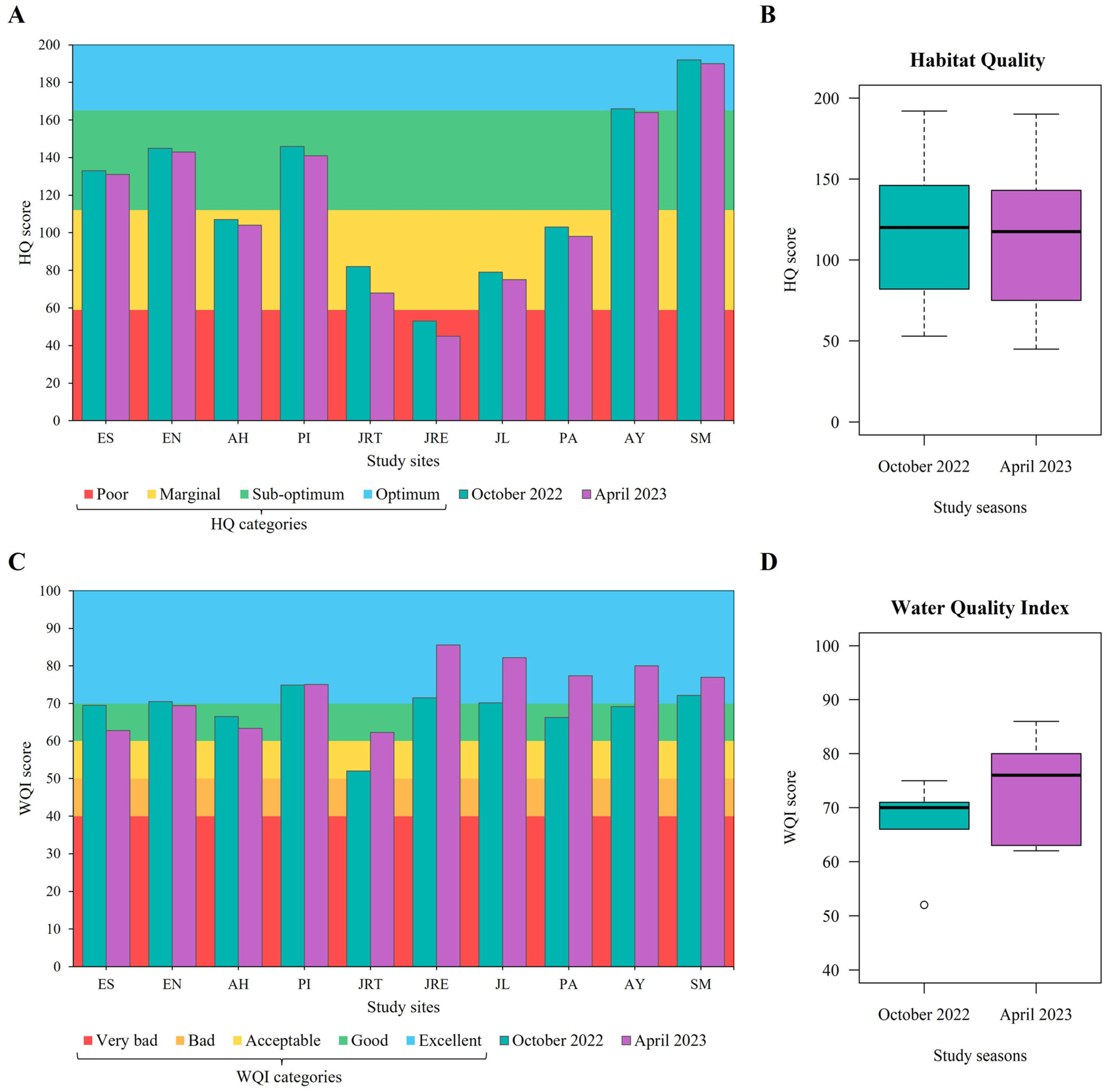
3.1. Environmental Characterization
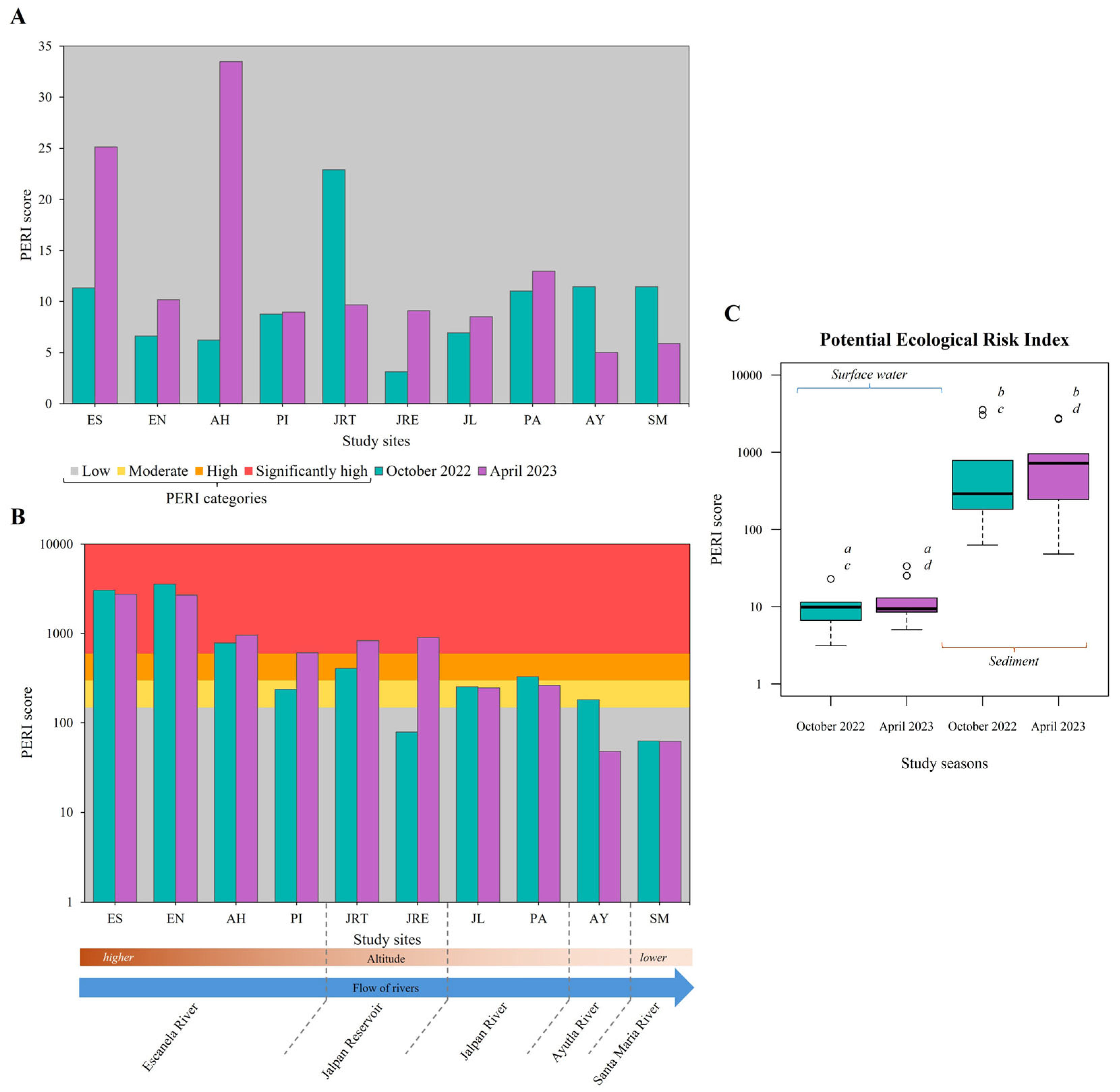
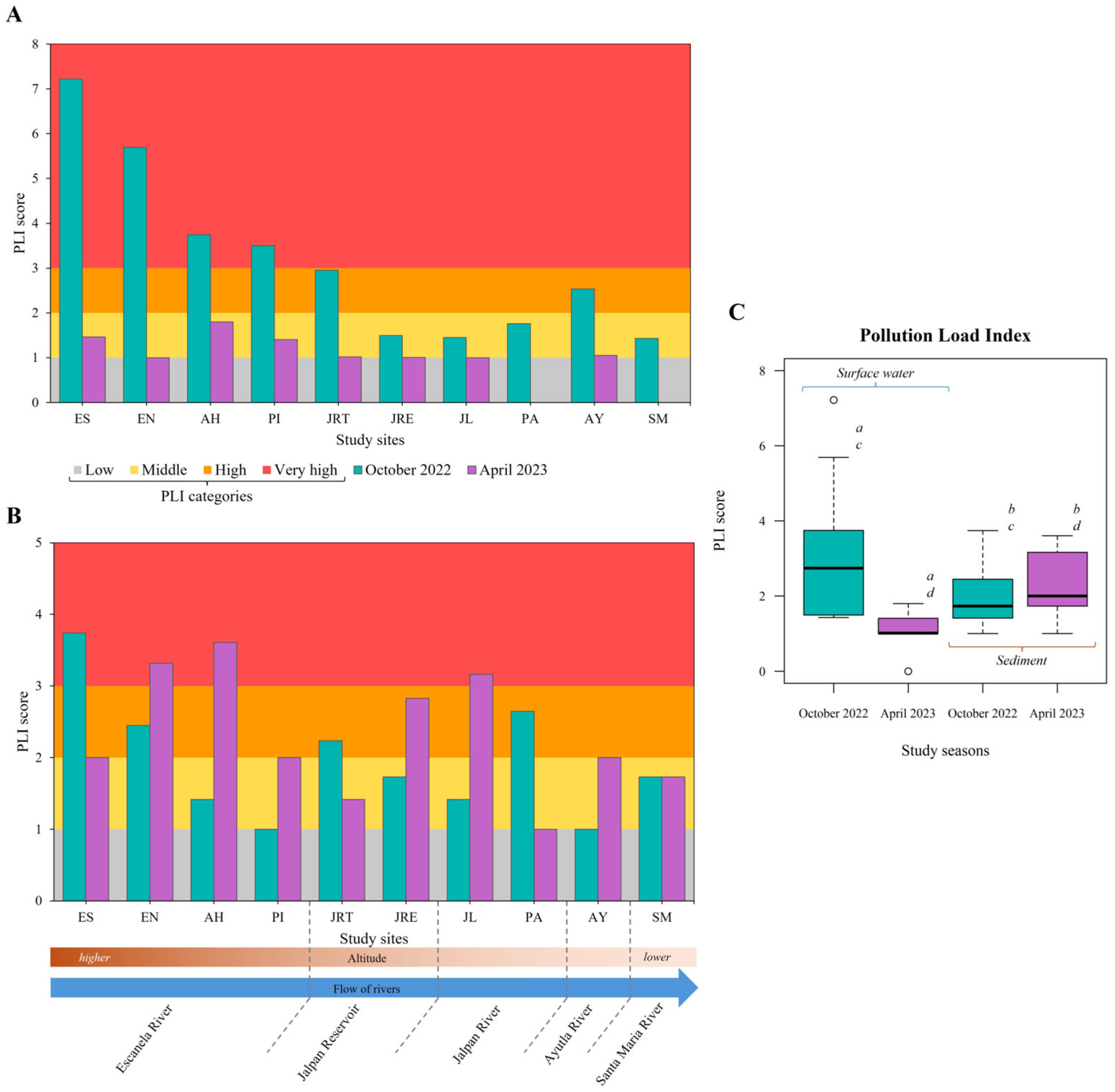
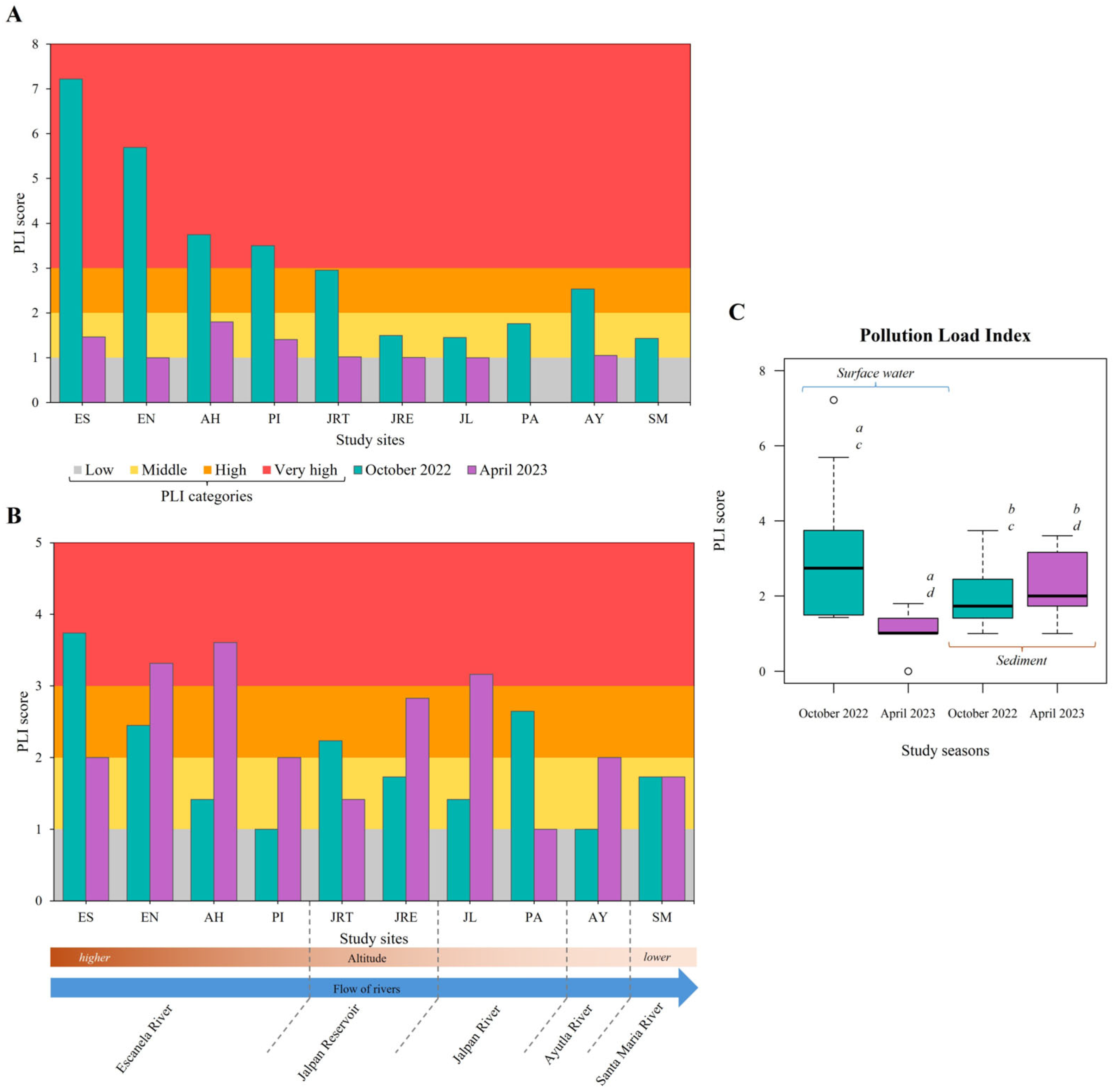
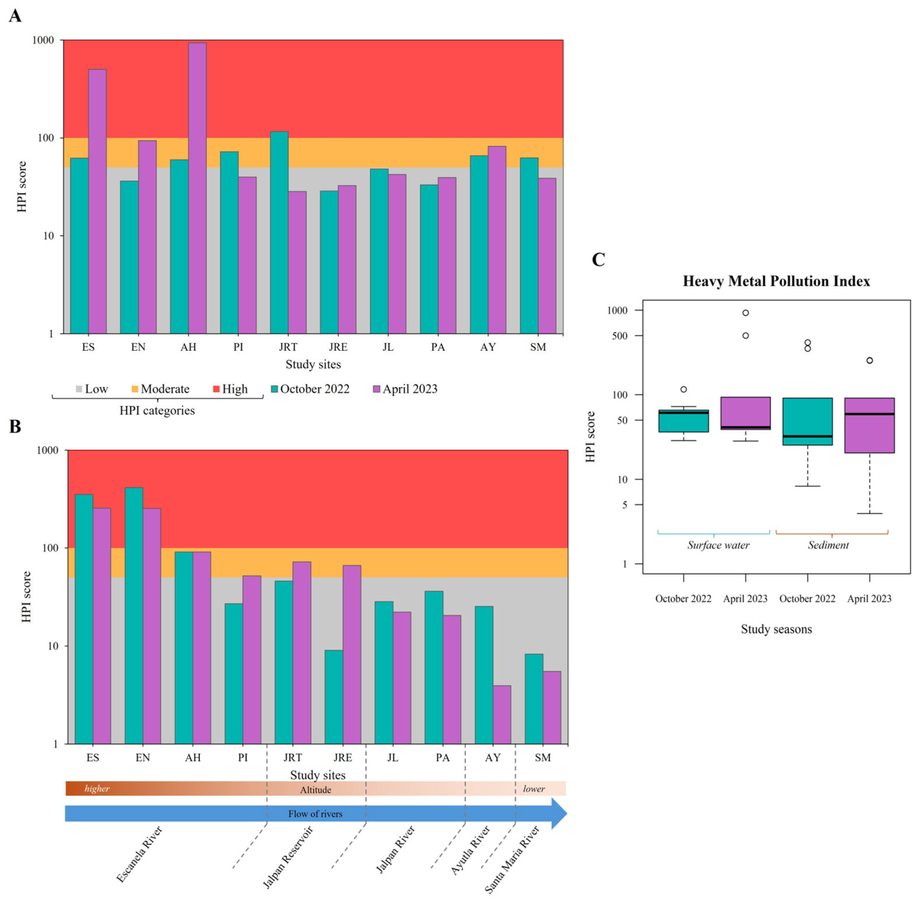
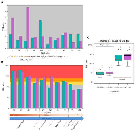
3.2. Heavy Metal/Metalloid Pollution and Risk
3.3. Microplastic Pollution
3.4. Validation Outcomes of the IECI
3.5. Environmental Integrity Assessment by the IECI
4. Conclusions
Practical Implications and Future Outlooks
- Integration and representativeness: The IECI framework enables the integration of multiple diagnostic indices into a single, interpretable measure of environmental integrity. When numerous variables are available, a representative subset should be selected according to the study objectives, supported by pre-selection and exploratory statistical analyses to ensure relevance and minimise redundancy.
- Reproducibility and adaptability: Through its standardised mathematical structure, the IECI can be reproduced across diverse ecosystems and geographical regions. It may also be extended to other environmental matrices or pollutant groups by incorporating diagnostic indices relevant to the target medium (e.g., air, soil, or biota). If index calculation is limited by a reduced number of variables, key environmental or pollutant values can be directly integrated using historically reported minimum and maximum levels and thresholds limits of the guidelines. Recalibration of the colour-classified scale (Q1–Q2) is recommended to maintain interpretability across different contexts, and integrated indices should be carefully evaluated to ensure consistency and diagnostic reliability.
- Communication and application: By condensing complex environmental information into a single metric, the IECI facilitates straightforward communication of ecosystem condition and identification of priority hotspots (e.g., critical variables, locations, or periods), thereby supporting evidence-based environmental management.
Supplementary Materials
Author Contributions
Funding
Data Availability Statement
Acknowledgments
Conflicts of Interest
References
- Li, X.; Shen, X.; Jiang, W.; Xi, Y.; Li, S. Comprehensive Review of Emerging Contaminants: Detection Technologies, Environmental Impact, and Management Strategies. Ecotoxicol. Environ. Saf. 2024, 278, 116420. [Google Scholar] [CrossRef]
- Santhappan, J.S.; Kalaiselvan, N.; Assis, S.M.; Amjith, L.R.; Glivin, G.; Mathimani, T. Origin, Types, and Contribution of Emerging Pollutants to Environmental Degradation and Their Remediation by Physical and Chemical Techniques. Environ. Res. 2024, 257, 119369. [Google Scholar] [CrossRef]
- Wang, F.; Xiang, L.; Sze-Yin Leung, K.; Elsner, M.; Zhang, Y.; Guo, Y.; Pan, B.; Sun, H.; An, T.; Ying, G.; et al. Emerging Contaminants: A One Health Perspective. Innovation 2024, 5, 100612. [Google Scholar] [CrossRef]
- Jhariya, M.K.; Banerjee, A.; Meena, R.S. Importance of Natural Resources Conservation: Moving toward the Sustainable World. In Natural Resources Conservation and Advances for Sustainability; Elsevier: Amsterdam, The Netherlands, 2022; pp. 3–27. [Google Scholar]
- Tyagi, S.; Garg, N.; Paudel, R. Environmental Degradation: Causes and Consequences. Eur. Res. 2014, 81, 1491. [Google Scholar] [CrossRef]
- Jadaa, W.; Mohammed, H. Heavy Metals—Definition, Natural and Anthropogenic Sources of Releasing into Ecosystems, Toxicity, and Removal Methods—An Overview Study. J. Ecol. Eng. 2023, 24, 249–271. [Google Scholar] [CrossRef] [PubMed]
- Angon, P.B.; Islam, M.S.; KC, S.; Das, A.; Anjum, N.; Poudel, A.; Suchi, S.A. Sources, Effects and Present Perspectives of Heavy Metals Contamination: Soil, Plants and Human Food Chain. Heliyon 2024, 10, e28357. [Google Scholar] [CrossRef]
- Abd Elnabi, M.K.; Elkaliny, N.E.; Elyazied, M.M.; Azab, S.H.; Elkhalifa, S.A.; Elmasry, S.; Mouhamed, M.S.; Shalamesh, E.M.; Alhorieny, N.A.; Abd Elaty, A.E.; et al. Toxicity of Heavy Metals and Recent Advances in Their Removal: A Review. Toxics 2023, 11, 580. [Google Scholar] [CrossRef] [PubMed]
- Laoye, B.; Olagbemide, P.; Ogunnusi, T.; Akpor, O. Heavy Metal Contamination: Sources, Health Impacts, and Sustainable Mitigation Strategies with Insights from Nigerian Case Studies. F1000Research 2025, 14, 134. [Google Scholar] [CrossRef] [PubMed]
- Saravanan, P.; Saravanan, V.; Rajeshkannan, R.; Arnica, G.; Rajasimman, M.; Baskar, G.; Pugazhendhi, A. Comprehensive Review on Toxic Heavy Metals in the Aquatic System: Sources, Identification, Treatment Strategies, and Health Risk Assessment. Environ. Res. 2024, 258, 119440. [Google Scholar] [CrossRef]
- Pilapitiya, P.G.C.N.T.; Ratnayake, A.S. The World of Plastic Waste: A Review. Clean. Mater. 2024, 11, 100220. [Google Scholar] [CrossRef]
- Plastics Europe Plastics-the Facts 2025. Available online: https://plasticseurope.org/wp-content/uploads/2025/09/PE_TheFacts_25_digital-1pager-scrollable.pdf (accessed on 5 October 2025).
- Lebreton, L.C.M.; Van Der Zwet, J.; Damsteeg, J.W.; Slat, B.; Andrady, A.; Reisser, J. River Plastic Emissions to the World’s Oceans. Nat. Commun. 2017, 8, 15611. [Google Scholar] [CrossRef]
- Rochman, C.M.; Brookson, C.; Bikker, J.; Djuric, N.; Earn, A.; Bucci, K.; Athey, S.; Huntington, A.; McIlwraith, H.; Munno, K.; et al. Rethinking Microplastics as a Diverse Contaminant Suite. Environ. Toxicol. Chem. 2019, 38, 703–711. [Google Scholar] [CrossRef]
- Cao, Y.; Zhao, M.; Ma, X.; Song, Y.; Zuo, S.; Li, H.; Deng, W. A Critical Review on the Interactions of Microplastics with Heavy Metals: Mechanism and Their Combined Effect on Organisms and Humans. Sci. Total Environ. 2021, 788, 147620. [Google Scholar] [CrossRef]
- Jain, S.K.; Singh, V.P. Environmental and Social Considerations. In Water Resources Systems Planning and Management; Elsevier: Amsterdam, The Netherlands, 2024; pp. 393–459. [Google Scholar]
- Donnelly, A.; Jones, M.; O’Mahony, T.; Byrne, G. Selecting Environmental Indicator for Use in Strategic Environmental Assessment. Environ. Impact Assess. Rev. 2007, 27, 161–175. [Google Scholar] [CrossRef]
- Ferreira, S.L.C.; da Silva, J.B.; dos Santos, I.F.; de Oliveira, O.M.C.; Cerda, V.; Queiroz, A.F.S. Use of Pollution Indices and Ecological Risk in the Assessment of Contamination from Chemical Elements in Soils and Sediments—Practical Aspects. Trends Environ. Anal. Chem. 2022, 35, e00169. [Google Scholar] [CrossRef]
- Dobbie, M.J.; Dail, D. Environmental Indices. In Encyclopedia of Environmetrics; Wiley: Hoboken, NJ, USA, 2013. [Google Scholar]
- Chidiac, S.; El Najjar, P.; Ouaini, N.; El Rayess, Y.; El Azzi, D. A Comprehensive Review of Water Quality Indices (WQIs): History, Models, Attempts and Perspectives. Rev. Environ. Sci. Biotechnol. 2023, 22, 349–395. [Google Scholar] [CrossRef]
- Wellemeyer, J.C.; Perkin, J.S.; Fore, J.D.; Boyd, C. Comparing Assembly Processes for Multimetric Indices of Biotic Integrity. Ecol. Indic. 2018, 89, 590–609. [Google Scholar] [CrossRef]
- Rico-Sánchez, A.E.; Rodríguez-Romero, A.J.; Sedeño-Díaz, J.E.; López-López, E.; Sundermann, A. Aquatic Macroinvertebrate Assemblages in Rivers Influenced by Mining Activities. Sci. Rep. 2022, 12, 3209. [Google Scholar] [CrossRef]
- Granados-Sánchez, R.R.; Sedeño-Díaz, J.E.; López-López, E. Microplastic Pollution and Associated Trace Metals in Freshwater Ecosystems within Protected Natural Areas: The Case of a Biosphere Reserve in Mexico. Front. Environ. Sci. 2024, 12, 1441340. [Google Scholar] [CrossRef]
- Cornejo, A.; López-López, E.; Sedeño-Diaz, J.; Ruiz-Picos, R.; Macchi, P.; Kohlmann, B.; Correa-Araneda, F.; Boyero, L.; Bernal-Vega, J.; Ríos, T. Protocolo de Biomonitoreo Para la Vigilancia de la Calidad del Agua en Afluentes Superficiales de Panamá; Instituto Conmemorativo Gorgas de Estudios de la Salud: Panama City, Panama, 2019; p. 81. [Google Scholar]
- Barbour, M.T.; Stribling, J.B.; Verdonschot, P.F.M. The Multihabitat Approach of USEPA’s Rapid Bioassessment Protocols: Benthic Macroinvertebrates. Limnetica 2006, 25, 839–850. [Google Scholar] [CrossRef]
- Dinius, S.H. Desing of an Index of Water Quality. Water Resour. Bull. 1987, 23, 833–843. [Google Scholar] [CrossRef]
- Tomlinson, D.L.; Wilson, J.G.; Harris, C.R.; Jeffrey, D.W. Problems in the Assessment of Heavy-Metal Levels in Estuaries and the Formation of a Pollution Index. Helgol. Meeresunters. 1980, 33, 566–575. [Google Scholar] [CrossRef]
- Huang, C.W.; Li, Y.L.; Lin, C.; Bui, X.T.; Vo, T.D.H.; Ngo, H.H. Seasonal Influence on Pollution Index and Risk of Multiple Compositions of Microplastics in an Urban River. Sci. Total Environ. 2023, 859, 160021. [Google Scholar] [CrossRef]
- Mohan, S.V.; Nithila, P.; Reddy, S.J. Estimation of Heavy Metals in Drinking Water and Development of Heavy Metal Pollution Index. J. Environ. Sci. Health Part A Environ. Sci. Eng. Toxicol. 1996, 31, 283–289. [Google Scholar] [CrossRef]
- Hakanson, L. An Ecological Risk Index for Aquatic Pollution Control: A Sedimentological. Water Res. 1980, 14, 975–1001. [Google Scholar] [CrossRef]
- Carabias, J.; Provencio, E.; de la Maza Elvira, J.; Ruíz Corso, M.I. Programa de Manejo Reserva de La Biosfera Sierra Gorda Mexico. Available online: https://paot.org.mx/centro/ine-semarnat/anp/AN15.pdf (accessed on 15 May 2025).
- Pedraza-Ruiz, R. Ficha Informativa de Los Humedales de Ramsar (FIR). Available online: https://rsis.ramsar.org/RISapp/files/RISrep/MX1352RIS.pdf?language=es (accessed on 2 February 2025).
- Ejecutivo, P. Decreto de La Reserva de La Biosfera Sierra Gorda. Available online: https://dof.gob.mx/nota_detalle.php?codigo=4879875&fecha=19/05/1997#gsc.tab=0 (accessed on 7 April 2025).
- INEGI Instituto Nacional de Estadística, Geografía e Informática. México en Cifras. Available online: https://www.inegi.org.mx/app/areasgeograficas/?ag=22#collapse-Resumen (accessed on 22 February 2024).
- SGM Servicio Geológico Mexicano. GeoInfoMex. Available online: https://www.gob.mx/sgm/articulos/conoce-el-sistema-de-consulta-de-informacion-geocientifica-geoinfomex?idiom=es (accessed on 14 January 2025).
- INEGI Instituto Nacional de Estadística, Geografía e Informática. Simulador de Flujos de Agua de Cuencas Hidrográficas. Available online: https://antares.inegi.org.mx/analisis/red_hidro/siatl/ (accessed on 21 February 2025).
- Baird, R.B.; Eaton, A.D.; Rice, E.W. Standard Methods for the Examination of Water and Wastewater, 23rd ed.; American Public Health Association: Washington, DC, USA, 2017; ISBN 9780875532875. [Google Scholar]
- Sanchez, W.; Burgeot, T.; Porcher, J.M. A Novel “Integrated Biomarker Response” Calculation Based on Reference Deviation Concept. Environ. Sci. Pollut. Res. 2013, 20, 2721–2725. [Google Scholar] [CrossRef]
- Campisano, R.; Hall, K.; Griggs, J.; Willison, S.; Reimer, S.; Mash, H.; Magnuson, M.; Boczek, L.; Rhodes, E. Selected Analytical Methods for Environmental Remediation and Recovery (SAM). Available online: https://cfpub.epa.gov/si/si_public_file_download.cfm?p_download_id=535984&Lab=NHSRC (accessed on 27 January 2025).
- Imhof, H.K.; Schmid, J.; Niessner, R.; Ivleva, N.P.; Laforsch, C. A Novel, Highly Efficient Method for the Separation and Quantification of Plastic Particles in Sediments of Aquatic Environments. Limnol. Ocean. Methods 2012, 10, 524–537. [Google Scholar] [CrossRef]
- Debraj, D.; Lavanya, M. Microplastics Everywhere: A Review on Existing Methods of Extraction. Sci. Total Environ. 2023, 893. [Google Scholar] [CrossRef]
- De Frond, H.; O’Brien, A.M.; Rochman, C.M. Representative Subsampling Methods for the Chemical Identification of Microplastic Particles in Environmental Samples. Chemosphere 2023, 310, 136772. [Google Scholar] [CrossRef]
- European Commission, Joint Research Centre, Institute for Environment and Sustainability, MSFD Technical Subgroup on Marine Litter. Guidance on Monitoring of Marine Litter in European Seas; Publications Office of European Commission: Luxembourg, 2013; ISBN 9789279327094. [Google Scholar]
- Cowger, W.; Steinmetz, Z.; Gray, A.; Munno, K.; Lynch, J.; Hapich, H.; Primpke, S.; De Frond, H.; Rochman, C.; Herodotou, O. Microplastic Spectral Classification Needs an Open Source Community: Open Specy to the Rescue! Anal. Chem. 2021, 93, 7543–7548. [Google Scholar] [CrossRef]
- CONAGUA Comisión Nacional Del Agua. Ley Federal de Derechos: Disposiciones Aplicables en Materia de Aguas Nacionales. Available online: https://www.gob.mx/cms/uploads/attachment/file/915768/Ley_Federal_de_Derechos_2024.pdf (accessed on 16 June 2025).
- CCME Canadian Council of Ministers of the Environment. Canadian Sediment Quality Guidelines for the Protection of Aquatic Life. Available online: https://ccme.ca/en/current-activities/canadian-environmental-quality-guidelines (accessed on 26 February 2025).
- Ahirvar, B.P.; Das, P.; Srivastava, V.; Kumar, M. Perspectives of Heavy Metal Pollution Indices for Soil, Sediment, and Water Pollution Evaluation: An Insight. Total Environ. Res. Themes 2023, 6, 100039. [Google Scholar] [CrossRef]
- Debnath, A.; Singh, P.K.; Chandra Sharma, Y. Metallic Contamination of Global River Sediments and Latest Developments for Their Remediation. J. Environ. Manag. 2021, 298, 100220. [Google Scholar] [CrossRef]
- Morales-García, S.S.; Pérez-Escamilla, P.d.A.; Sujitha, S.B.; Godwyn-Paulson, P.; Zúñiga-Cabezas, A.F.; Jonathan, M.P. Geochemical Elements in Suspended Particulate Matter of Ensenada de La Paz Lagoon, Baja California Peninsula, Mexico: Sources, Distribution, Mass Balance and Ecotoxicological Risks. J. Environ. Sci. 2024, 136, 422–436. [Google Scholar] [CrossRef]
- Yin, Z.; Zhao, Y. Microplastics Pollution in Freshwater Sediments: The Pollution Status Assessment and Sustainable Management Measures. Chemosphere 2023, 314, 137727. [Google Scholar] [CrossRef]
- Kabir, A.H.M.E.; Sekine, M.; Imai, T.; Yamamoto, K.; Kanno, A.; Higuchi, T. Assessing Small-Scale Freshwater Microplastics Pollution, Land-Use, Source-to-Sink Conduits, and Pollution Risks: Perspectives from Japanese Rivers Polluted with Microplastics. Sci. Total Environ. 2021, 768, 144655. [Google Scholar] [CrossRef]
- Neelavannan, K.; Sen, I.S.; Lone, A.M.; Gopinath, K. Microplastics in the High-Altitude Himalayas: Assessment of Microplastic Contamination in Freshwater Lake Sediments, Northwest Himalaya (India). Chemosphere 2022, 290, 133354. [Google Scholar] [CrossRef]
- Hiddink, J.G.; Valanko, S.; Delargy, A.J.; van Denderen, P.D. Setting Thresholds for Good Ecosystem State in Marine Seabed Systems and Beyond. ICES J. Mar. Sci. 2023, 80, 698–709. [Google Scholar] [CrossRef]
- Murdoch, N. Justified Design Evaluation for Percentile Standards. Environ. Model. Softw. 2001, 16, 725–738. [Google Scholar] [CrossRef]
- Willmott, C.J. On the Validation of Models. Phys. Geogr. 1981, 2, 184–194. [Google Scholar] [CrossRef]
- Usero, J.; González-Regalado, E.; Gracia, I. Trace Metals in the Bivalve Mollusc Chamelea Gallina from the Atlantic Coast of Southern Spain. Mar. Pollut. Bull. 1996, 32, 305–310. [Google Scholar] [CrossRef]
- Sedeño-Díaz, J.E.; López-López, E.; Mendoza-Martínez, E.; Rodríguez-Romero, A.J.; Morales-García, S.S. Distribution Coefficient and Metal Pollution Index in Water and Sediments: Proposal of a New Index for Ecological Risk Assessment of Metals. Water 2019, 12, 29. [Google Scholar] [CrossRef]
- Razali, N.M.; Wah, Y.B. Power Comparisons of Shapiro-Wilk, Kolmogorov-Smirnov, Lilliefors and Anderson-Darling Tests. J. Stat. Model. Anal. 2011, 2, 21–33. [Google Scholar]
- Hector, A. The New Statistics with R; Oxford University Press: Oxford, UK, 2021; ISBN 9780198798170. [Google Scholar]
- Heumann, C.; Schomaker, M.; Shalabh. Introduction to Statistics and Data Analysis; Springer International Publishing: Cham, Switzerland, 2016; ISBN 978-3-319-46160-1. [Google Scholar]
- Bermúdez-González, M.P.; Ramírez-García, A.; Velázquez-García, E.d.C.; Queijeiro-Bolaños, M.E.; Ramírez-Herrejón, J.P. Population Structure of Poecilia Mexicana (Native) and Poeciliopsis Gracilis (Non-Native) in a Subtropical River. Lat. Am. J. Aquat. Res. 2020, 48, 357–369. [Google Scholar] [CrossRef]
- Palmer, M.A.; Menninger, H.L.; Bernhardt, E. River Restoration, Habitat Heterogeneity and Biodiversity: A Failure of Theory or Practice? Freshw. Biol. 2010, 55, 205–222. [Google Scholar] [CrossRef]
- García, G.; Pérez, J.; Bennett-Vaz, R.M.; Araúz, G.; Boyero, L.; Cornejo, A. Impacts of Land Use Changes on Leaf Litter Decomposition in Tropical Streams. Glob. Ecol. Conserv. 2025, 62, e03814. [Google Scholar] [CrossRef]
- Rodríguez-Romero, A.J.; Rico-Sánchez, A.E.; Sedeño-Díaz, J.E.; López-López, E. Characterization of the Multidimensional Functional Space of the Aquatic Macroinvertebrate Assemblages in a Biosphere Reserve (Central México). Diversity 2021, 13, 546. [Google Scholar] [CrossRef]
- López-López, E.; Sedeño-Díaz, J.E.; Rico-Sánchez, A.E.; Zariñana-Andrade, E.A.; Reyes-Flores, F.; Soriana-Flores, L. Indigenous People Doing Citizen Science to Assess Water Quality Using the BMWP in Rivers of an Arid Semi-Arid Biosphere Reserve in Mexico. Sci. Rep. 2024, 14, 15090. [Google Scholar] [CrossRef]
- López-Gutiérrez, J.M.; Ramírez-Mosqueda, E.; Cea-Barcia, G.E.; Ruiz-Aguilar, G.M.L.; Castro-Ramírez, I.; Camarena-Martínez, S.; Ilizaliturri-Hernández, C.A.; Rocha-Amador, D.O.; Costilla-Salazar, R. A Comparative Assessment of Surface Water Quality in Lake Yuriria, Guanajuato, Using the Water Quality Index. Water 2025, 17, 1825. [Google Scholar] [CrossRef]
- Khatri, N.; Tyagi, S. Influences of Natural and Anthropogenic Factors on Surface and Groundwater Quality in Rural and Urban Areas. Front. Life Sci. 2015, 8, 23–39. [Google Scholar] [CrossRef]
- Botté, A.; Zaidi, M.; Guery, J.; Fichet, D.; Leignel, V. Aluminium in Aquatic Environments: Abundance and Ecotoxicological Impacts. Aquat. Ecol. 2022, 56, 751–773. [Google Scholar] [CrossRef]
- Jomova, K.; Alomar, S.Y.; Nepovimova, E.; Kuca, K.; Valko, M. Heavy Metals: Toxicity and Human Health Effects. Arch. Toxicol. 2025, 99, 153–209. [Google Scholar] [CrossRef]
- Maya, S.; Prakash, T.; Madhu, K.D.; Goli, D. Multifaceted Effects of Aluminium in Neurodegenerative Diseases: A Review. Biomed. Pharmacother. 2016, 83, 746–754. [Google Scholar] [CrossRef]
- Dash, S.; Borah, S.S.; Kalamdhad, A. A Modified Indexing Approach for Assessment of Heavy Metal Contamination in Deepor Beel, India. Ecol. Indic. 2019, 106, 105444. [Google Scholar] [CrossRef]
- Mandal, R.R.; Raj, D. Distribution and Probabilistic Human Health and Ecological Risk Assessment of Potentially Toxic Elements in Water, Sediments and Aquatic Plants: A Comprehensive Study to Understand the Impacts of Active Coal Mine on the Lentic Ecosystem. Environ. Geochem. Health 2025, 47, 286. [Google Scholar] [CrossRef]
- Haque, M.A.; Khatun, B.; Jewel, M.A.S.; Ara, J.; Kazal, M.S.I.; Hasan, J. Assessment of Water Quality and Heavy Metal Indices in a Tropical Freshwater River for Aquatic Life and Public Health Standard. Ecol. Indic. 2024, 169, 112862. [Google Scholar] [CrossRef]
- Ambrosino, M.; Palarea-Albaladejo, J.; Albanese, S.; Lin, X.; Ciarcia, S.; Cicchella, D. Assessing Natural Background Concentrations of Chemical Elements in Urban Soils: A Case Study in Benevento (Italy). Sci. Total Environ. 2025, 975, 179298. [Google Scholar] [CrossRef]
- Xie, H.; Zhang, M.; Shi, Y.; Wu, Y.; Li, M.; Li, Q.; Zhao, Y.; Hua, J. Heavy Metal Pollution in Aquatic Systems of the Hunhe River Basin, China: Source Apportionment, Ecological and Health Risk Assessments. Process Saf. Environ. Prot. 2025, 201, 107478. [Google Scholar] [CrossRef]
- Moldovan, A.; Török, A.I.; Kovacs, E.; Cadar, O.; Mirea, I.C.; Micle, V. Metal Contents and Pollution Indices Assessment of Surface Water, Soil, and Sediment from the Arieș River Basin Mining Area, Romania. Sustainability 2022, 14, 8024. [Google Scholar] [CrossRef]
- Salcedo-Sánchez, E.R.; Martínez, J.M.E.; Morales, M.M.; Talavera Mendoza, O.; Alberich, M.V.E. Ecological and Health Risk Assessment of Potential Toxic Elements from a Mining Area (Water and Sediments): The San Juan-Taxco River System, Guerrero, Mexico. Water 2022, 14, 518. [Google Scholar] [CrossRef]
- Liu, X.; Dadzie, A.A.; Yuan, L.; Xing, S.; Zhou, X.; Xiao, S. Analysis and Potential Ecological Risk Assessment of Heavy Metals in Surface Sediments of the Freshwater Ecosystem in Zhenjiang City, China. SN Appl. Sci. 2022, 4, 258. [Google Scholar] [CrossRef]
- Soetan, O.; Viteritto, M.; Qian, Y.; Feng, H. Evaluation of Toxic Metal Pollution in Freshwater Surficial Sediments Using Environmental Indices and Multivariate Statistical Approaches—A Systematic Review. Environ. Nanotechnol. Monit. Manag. 2024, 22, 100961. [Google Scholar] [CrossRef]
- Ali, H.; Khan, E.; Ilahi, I. Environmental Chemistry and Ecotoxicology of Hazardous Heavy Metals: Environmental Persistence, Toxicity, and Bioaccumulation. J. Chem. 2019, 2019, 6730305. [Google Scholar] [CrossRef]
- Islam, M.S.; Proshad, R.; Ahmed, S. Ecological Risk of Heavy Metals in Sediment of an Urban River in Bangladesh. Hum. Ecol. Risk Assess. Int. J. 2018, 24, 699–720. [Google Scholar] [CrossRef]
- Kotnala, S.; Tiwari, S.; Nayak, A.; Bhushan, B.; Chandra, S.; Medeiros, C.R.; Coutinho, H.D.M. Impact of Heavy Metal Toxicity on the Human Health and Environment. Sci. Total Environ. 2025, 987, 179785. [Google Scholar] [CrossRef]
- Qi, F.; Lamb, D.; Naidu, R.; Bolan, N.S.; Yan, Y.; Ok, Y.S.; Rahman, M.M.; Choppala, G. Cadmium Solubility and Bioavailability in Soils Amended with Acidic and Neutral Biochar. Sci. Total Environ. 2018, 610–611, 1457–1466. [Google Scholar] [CrossRef]
- Ferro, J.P.; Ferrari, L.; Eissa, B.L. Acute Toxicity of Cadmium to Freshwater Fishes and Its Relationship with Body Size and Respiratory Strategy. Comp. Biochem. Physiol. Part C Toxicol. Pharmacol. 2021, 248, 109109. [Google Scholar] [CrossRef]
- Zhang, W.; Miao, A.-J.; Wang, N.-X.; Li, C.; Sha, J.; Jia, J.; Alessi, D.S.; Yan, B.; Ok, Y.S. Arsenic Bioaccumulation and Biotransformation in Aquatic Organisms. Environ. Int. 2022, 163, 107221. [Google Scholar] [CrossRef]
- Ihsanullah; Abbas, A.; Al-Amer, A.M.; Laoui, T.; Al-Marri, M.J.; Nasser, M.S.; Khraisheh, M.; Atieh, M.A. Heavy Metal Removal from Aqueous Solution by Advanced Carbon Nanotubes: Critical Review of Adsorption Applications. Sep. Purif. Technol. 2016, 157, 141–161. [Google Scholar] [CrossRef]
- Caro-Martínez, D.M.; Niño-Torres, C.A.; Charruau, P.; Rendón-von Osten, J.; Castelblanco-Martínez, D.N.; Rios Mendoza, L.M.; Frausto-Martínez, O.; Blanco-Parra, M.d.P. The State of Microplastic Pollution in México: A Review and Evolving Perspectives. Sci. Total Environ. 2025, 988, 179772. [Google Scholar] [CrossRef]
- Shruti, V.C.; Jonathan, M.P.; Rodriguez-Espinosa, P.F.; Rodríguez-González, F. Microplastics in Freshwater Sediments of Atoyac River Basin, Puebla City, Mexico. Sci. Total Environ. 2019, 654, 154–163. [Google Scholar] [CrossRef]
- Mendoza-Olea, I.J.; Leal-Bautista, R.M.; Cejudo, E.; Cervantes-Uc, J.M.; Rodríguez-Fuentes, N.; Acosta-González, G. Contaminación Por Microplásticos En El Acuífero Kárstico de La Península de Yucatán. Ecosistemas Recur. Agropecu. 2022, 9, e3360. [Google Scholar] [CrossRef]
- Rowley, K.H.; Cucknell, A.-C.; Smith, B.D.; Clark, P.F.; Morritt, D. London’s River of Plastic: High Levels of Microplastics in the Thames Water Column. Sci. Total Environ. 2020, 740, 140018. [Google Scholar] [CrossRef]
- Afzal, J.M.; Selvam, S.; Saravanan, P.; Roy, P.D.; Sanju, P.; Muthukumar, P. Microplastics in Water from the Cooum River, Chennai, India: An Assessment of Their Distribution, Composition, and Environmental Impact. Groundw. Sustain. Dev. 2024, 27, 101362. [Google Scholar] [CrossRef]
- Zhang, Z.; Deng, C.; Dong, L.; Liu, L.; Li, H.; Wu, J.; Ye, C. Microplastic Pollution in the Yangtze River Basin: Heterogeneity of Abundances and Characteristics in Different Environments. Environ. Pollut. 2021, 287, 117580. [Google Scholar] [CrossRef]
- Laermanns, H.; Reifferscheid, G.; Kruse, J.; Földi, C.; Dierkes, G.; Schaefer, D.; Scherer, C.; Bogner, C.; Stock, F. Microplastic in Water and Sediments at the Confluence of the Elbe and Mulde Rivers in Germany. Front. Environ. Sci. 2021, 9, 794895. [Google Scholar] [CrossRef]
- Ansoar-Rodríguez, Y.; Bertrand, L.; Colombo, C.V.; Rimondino, G.N.; Rivetti, N.; Bistoni, M.d.l.A.; Amé, M.V. Microplastic Distribution and Potential Ecological Risk Index in a South American Sparsely Urbanized River Basin: Focus on Abiotic Matrices and the Native Fish Jenynsia Lineata. J. Hazard. Mater. Adv. 2025, 18, 100685. [Google Scholar] [CrossRef]
- Xia, W.; Rao, Q.; Deng, X.; Chen, J.; Xie, P. Rainfall Is a Significant Environmental Factor of Microplastic Pollution in Inland Waters. Sci. Total Environ. 2020, 732, 139065. [Google Scholar] [CrossRef]
- Xiang, X.; Liu, Y.; Tang, L.; Xueying, L.; Xinrong, S.U. Microplastic Pollution in Chinese Rivers: A Detailed Analysis of Distribution, Risk Factors, and Ecological Impact. Mar. Pollut. Bull. 2026, 222, 118676. [Google Scholar] [CrossRef]
- Horton, A.A.; Dixon, S.J. Microplastics: An Introduction to Environmental Transport Processes. WIREs Water 2018, 5, e1268. [Google Scholar] [CrossRef]
- Nel, H.A.; Dalu, T.; Wasserman, R.J. Sinks and Sources: Assessing Microplastic Abundance in River Sediment and Deposit Feeders in an Austral Temperate Urban River System. Sci. Total Environ. 2018, 612, 950–956. [Google Scholar] [CrossRef]
- Xu, Q.; Xing, R.; Sun, M.; Gao, Y.; An, L. Microplastics in Sediments from an Interconnected River-Estuary Region. Sci. Total Environ. 2020, 729, 139025. [Google Scholar] [CrossRef]
- Jolaosho, T.L.; Rasaq, M.F.; Omotoye, E.V.; Araomo, O.V.; Adekoya, O.S.; Abolaji, O.Y.; Hungbo, J.J. Microplastics in Freshwater and Marine Ecosystems: Occurrence, Characterization, Sources, Distribution Dynamics, Fate, Transport Processes, Potential Mitigation Strategies, and Policy Interventions. Ecotoxicol. Environ. Saf. 2025, 294, 118036. [Google Scholar] [CrossRef]
- Naying, L.; Xintong, M.; Bo, Z.; Xiaofeng, W.; Xin, L.; Zao, Y.; Honghui, L.; Yixin, H. Potential Ecological Risk of Microplastics Contamination to Environment in Protect Area Lakes. J. Hazard. Mater. 2025, 485, 136863. [Google Scholar] [CrossRef]
- Yang, L.; Zhang, Y.; Kang, S.; Wang, Z.; Wu, C. Microplastics in Freshwater Sediment: A Review on Methods, Occurrence, and Sources. Sci. Total Environ. 2021, 754, 141948. [Google Scholar] [CrossRef]
- Chouchene, K.; da Costa, J.P.; Chamkha, M.; Ksibi, M.; Sayadi, S. Effects of Microplastics’ Physical and Chemical Properties on Aquatic Organisms: State-of-the-Art and Future Research Trends. TrAC Trends Anal. Chem. 2023, 166, 117192. [Google Scholar] [CrossRef]
- Abdipour, H.; Asgari, G.; Shokoohi, R. A Review of Microplastics Pollution in Dams Globally: Consequences and Future Outlook. J. Contam. Hydrol. 2026, 276, 104730. [Google Scholar] [CrossRef]
- Xiong, B.; Loss, R.D.; Shields, D.; Pawlik, T.; Hochreiter, R.; Zydney, A.L.; Kumar, M. Polyacrylamide Degradation and Its Implications in Environmental Systems. NPJ Clean. Water 2018, 1, 17. [Google Scholar] [CrossRef]
- Dueñas-Moreno, J.; Mora, A.; Capparelli, M.V.; González-Domínguez, J.; Mahlknecht, J. Potential Ecological Risk Assessment of Microplastics in Environmental Compartments in Mexico: A Meta-Analysis. Environ. Pollut. 2024, 361, 124812. [Google Scholar] [CrossRef]
- Swetha, T.A.; Bora, A.; Mohanrasu, K.; Balaji, P.; Raja, R.; Ponnuchamy, K.; Muthusamy, G.; Arun, A. A Comprehensive Review on Polylactic Acid (PLA)—Synthesis, Processing and Application in Food Packaging. Int. J. Biol. Macromol. 2023, 234, 123715. [Google Scholar] [CrossRef]
- Le, L.T.; Nguyen, K.Q.N.; Nguyen, P.T.; Duong, H.C.; Bui, X.T.; Hoang, N.B.; Nghiem, L.D. Microfibers in Laundry Wastewater: Problem and Solution. Sci. Total Environ. 2022, 852, 141948. [Google Scholar] [CrossRef]
- Surana, D.; Vinay; Patel, P.; Ghosh, P.; Sharma, S.; Kumar, V.; Kumar, S. Microplastic Fibers in Different Environmental Matrices from Synthetic Textiles: Ecotoxicological Risk, Mitigation Strategies, and Policy Perspective. J. Environ. Chem. Eng. 2024, 12, 112333. [Google Scholar] [CrossRef]
- Bae, S.; Kim, H.-M.; Jung, Y.; Park, J.-W.; Moon, H.G.; Kim, S. Assessment of Potential Ecological Risk for Microplastics in Freshwater Ecosystems. Chemosphere 2025, 370, 143995. [Google Scholar] [CrossRef]
- Hashemi, S.H.; Kaykhaii, M. Azo Dyes: Sources, Occurrence, Toxicity, Sampling, Analysis, and Their Removal Methods. In Emerging Freshwater Pollutants; Dalu, T., Tavengwa, N., Eds.; Elsevier: Amsterdam, The Netherlands, 2022; pp. 267–287. [Google Scholar]
- Liu, S.; Huang, J.; Zhang, W.; Shi, L.; Yi, K.; Yu, H.; Zhang, C.; Li, S.; Li, J. Microplastics as a Vehicle of Heavy Metals in Aquatic Environments: A Review of Adsorption Factors, Mechanisms, and Biological Effects. J. Environ. Manag. 2022, 302, 113995. [Google Scholar] [CrossRef]
- Liu, Y.; Zhang, J.; Cao, W.; Hu, Y.; Shen, W. The Influence of Pb(II) Adsorption on (Non) Biodegradable Microplastics by UV/O3oxidation Treatment. J. Environ. Chem. Eng. 2022, 10, 108615. [Google Scholar] [CrossRef]
- Zhou, Y.; Yang, Y.; Liu, G.; He, G.; Liu, W. Adsorption Mechanism of Cadmium on Microplastics and Their Desorption Behavior in Sediment and Gut Environments: The Roles of Water PH, Lead Ions, Natural Organic Matter and Phenanthrene. Water Res. 2020, 184, 116209. [Google Scholar] [CrossRef]
- Wang, Q.; Zhang, Y.; Wangjin, X.; Wang, Y.; Meng, G.; Chen, Y. The Adsorption Behavior of Metals in Aqueous Solution by Microplastics Effected by UV Radiation. J. Environ. Sci. 2020, 87, 272–280. [Google Scholar] [CrossRef]
- Tenea, A.-G.; Dinu, C.; Rus, P.A.; Ionescu, I.A.; Gheorghe, S.; Iancu, V.I.; Vasile, G.G.; Pascu, L.F.; Chiriac, F.L. Exploring Adsorption Dynamics of Heavy Metals onto Varied Commercial Microplastic Substrates: Isothermal Models and Kinetics Analysis. Heliyon 2024, 10, e35364. [Google Scholar] [CrossRef]
- Chen, Q.; Zhao, H.; Liu, Y.; Jin, L.; Peng, R. Factors Affecting the Adsorption of Heavy Metals by Microplastics and Their Toxic Effects on Fish. Toxics 2023, 11, 490. [Google Scholar] [CrossRef]
- Wang, C.; Liu, X.; Ma, Q.; Xing, S.; Yuan, L.; Ma, Y. Distribution and Effects of Microplastics as Carriers of Heavy Metals in River Surface Sediments. J. Contam. Hydrol. 2024, 266, 104396. [Google Scholar] [CrossRef]
- Raju, M.; Gandhimathi, R.; Nidheesh, P.V. The Cause, Fate and Effect of Microplastics in Freshwater Ecosystem: Ways to Overcome the Challenge. J. Water Process Eng. 2023, 55, 104199. [Google Scholar] [CrossRef]
- Khant, N.A.; Chia, R.W.; Moon, J.; Lee, J.-Y.; Kim, H. Review on the Relationship between Microplastics and Heavy Metals in Freshwater near Mining Areas. Environ. Sci. Pollut. Res. 2024, 31, 66009–66028. [Google Scholar] [CrossRef] [PubMed]
- Balestra, V.; Bellopede, R. Microplastic Pollution in Show Cave Sediments: First Evidence and Detection Technique. Environ. Pollut. 2022, 292, 118261. [Google Scholar] [CrossRef] [PubMed]
- Balestra, V.; Bellopede, R. Microplastics in Caves: A New Threat in the Most Famous Geo-Heritage in the World. Anal. Comp. Ital. Show. Caves Deposits. J. Environ. Manag. 2023, 342, 118189. [Google Scholar] [CrossRef]
- Tadaki, M.; Brierley, G.; Cullum, C. River Classification: Theory, Practice, Politics. WIREs Water 2014, 1, 349–367. [Google Scholar] [CrossRef]
- Zhu, M.; Li, Y.; Zhang, W.; Wang, L.; Wang, H.; Niu, L.; Hui, C.; Lei, M.; Wang, L.; Zhang, H.; et al. Determination of the Direct and Indirect Effects of Bend on the Urban River Ecological Heterogeneity. Environ. Res. 2022, 207, 112166. [Google Scholar] [CrossRef] [PubMed]
- Canning, A.D.; Death, R.G. Ecosystem Health Indicators—Freshwater Environments. In Encyclopedia of Ecology; Elsevier: Amsterdam, The Netherlands, 2019; pp. 46–60. [Google Scholar]








| Level | Category | Description | Quartile | Percentiles |
|---|---|---|---|---|
| 1 | Minor concern | Stable environmental conditions with minimal impacts | Q1 | 0–25% |
| 2 | Slight concern | Mild-to-moderate alterations that would warrant more frequent monitoring but not urgent action | Q2 | 25–50% |
| 3 | High concern | Possible evidence of deterioration that would require planned interventions and moderate resources | Q3 | 50–75% |
| 4 | Critical concern | Likely severe situation with significant or imminent damage. May require immediate action | Q4 | 75–100% |
| Pollutants | October 2022 | April 2023 | Quality Guidelines [45,46] | ||
|---|---|---|---|---|---|
| Surface Water | Sediment | Surface Water | Sediment | ||
| Pb | 0.0052 ± 0.0052 | 146.71 ± 211.14 | 0.0109 ± 0.0067 | 122.47 ± 147.10 | W, 0.03/S, 91.3 |
| Cd | 0.0019 ± 0.0010 | 2.78 ± 3.79 | 0.0084 ± 0.0161 | 2.67 ± 2.84 | W, 0.004/S, 3.5 |
| Cr | 0.0009 ± 0.0019 | 9.40 ± 4.55 | 0.0009 ± 0.0007 | 9.50 ± 5.33 | W, 0.05/S, 90 |
| As | 0.0070 ± 0.0094 | 61.44 ± 94.06 | 0.0059 ± 0.0103 | 43.10 ± 55.56 | W, 0.2/S, 17 |
| Al | 0.1683 ± 0.0866 | 9205.95 ± 3354.33 | 0.1616 ± 0.0621 | 9219.57 ± 3714.82 | W, 0.05 |
| Fe | 0.2076 ± 0.1276 | 14,784.31 ± 6826.32 | 0.0594 ± 0.0593 | 14,579.74 ± 7311.44 | W, 1 |
| MPs | 28.81 ± 34.87 | 55 ± 48.37 | 2.66 ± 2.09 | 75 ± 52.04 | - |
Disclaimer/Publisher’s Note: The statements, opinions and data contained in all publications are solely those of the individual author(s) and contributor(s) and not of MDPI and/or the editor(s). MDPI and/or the editor(s) disclaim responsibility for any injury to people or property resulting from any ideas, methods, instructions or products referred to in the content. |
© 2025 by the authors. Licensee MDPI, Basel, Switzerland. This article is an open access article distributed under the terms and conditions of the Creative Commons Attribution (CC BY) license (https://creativecommons.org/licenses/by/4.0/).
Share and Cite
Granados-Sánchez, R.R.; Sedeño-Díaz, J.E.; López-López, E. Integrated Environmental Conditions Index (IECI) for Assessing Emerging/Legacy Pollutants and Environmental Integrity. Environments 2025, 12, 442. https://doi.org/10.3390/environments12110442
Granados-Sánchez RR, Sedeño-Díaz JE, López-López E. Integrated Environmental Conditions Index (IECI) for Assessing Emerging/Legacy Pollutants and Environmental Integrity. Environments. 2025; 12(11):442. https://doi.org/10.3390/environments12110442
Chicago/Turabian StyleGranados-Sánchez, Rubén Rafael, Jacinto Elías Sedeño-Díaz, and Eugenia López-López. 2025. "Integrated Environmental Conditions Index (IECI) for Assessing Emerging/Legacy Pollutants and Environmental Integrity" Environments 12, no. 11: 442. https://doi.org/10.3390/environments12110442
APA StyleGranados-Sánchez, R. R., Sedeño-Díaz, J. E., & López-López, E. (2025). Integrated Environmental Conditions Index (IECI) for Assessing Emerging/Legacy Pollutants and Environmental Integrity. Environments, 12(11), 442. https://doi.org/10.3390/environments12110442

