-
Metabolic Disorders in Transition Dairy Cows in a 500-Cow Herd—Analysis, Prevention and Follow-Up -
Evaluation of Holstein Cows with Tongue-Rolling: Plasma Metabolomics and Milk Proteomics -
Tackling Weaning Stress in Dairy Calves Using Cannabidiol Oil Supplementation—A Pilot Study -
Evaluation of the Impact of Whey Edible Coatings with Bioprotective Cultures and Thyme Essential Oil Applied to Cheese -
Lipidomic and Metabolomic Signatures of the Traditional Fermented Milk Product Gioddu
Journal Description
Dairy
Dairy
is an international, peer-reviewed, open access journal on dairy science published bimonthly online by MDPI.
- Open Access— free for readers, with article processing charges (APC) paid by authors or their institutions.
- High Visibility: indexed within ESCI (Web of Science), Scopus, FSTA, and other databases.
- Journal Rank: JCR - Q1 (Agriculture, Dairy and Animal Science) / CiteScore - Q1 (Agricultural and Biological Sciences (miscellaneous))
- Rapid Publication: manuscripts are peer-reviewed and a first decision is provided to authors approximately 23.4 days after submission; acceptance to publication is undertaken in 2.4 days (median values for papers published in this journal in the first half of 2025).
- Recognition of Reviewers: APC discount vouchers, optional signed peer review, and reviewer names published annually in the journal.
Impact Factor:
3.1 (2024);
5-Year Impact Factor:
3.6 (2024)
Latest Articles
Study of Different Enrichment Methods with Blackcurrant Wine and Their Effects on Hard Cheese Properties
Dairy 2025, 6(6), 71; https://doi.org/10.3390/dairy6060071 - 12 Dec 2025
Abstract
Cheese consumption is steadily increasing worldwide, with a growing interest in cheese enriched with bioactive substances, including antioxidants. This study investigated the impact of adding blackcurrant wine to the curd (IC), enriching the curd with blackcurrant wine by soaking and ripening in salted
[...] Read more.
Cheese consumption is steadily increasing worldwide, with a growing interest in cheese enriched with bioactive substances, including antioxidants. This study investigated the impact of adding blackcurrant wine to the curd (IC), enriching the curd with blackcurrant wine by soaking and ripening in salted blackcurrant wine (IOC), and cheese soaked and ripened in blackcurrant wine with 5% (w/w) NaCl (OC). The curd and added wine weight ratio (1.5:1, 3:1) effects were also studied. Physicochemical (dry matter, polyphenol content, antioxidant activity, radical-scavenging activity, anthocyanin content like delphinidin-3-rutoside and cyanidin-3-rutoside, ethanol content), microbiological, and sensory properties of the cheeses were evaluated. The results indicated that a week of soaking is sufficient to achieve the maximum antioxidant capacity and polyphenol content of the cheese. From a technological and sensory point of view, a 1.5:1 ratio of blackcurrant wine to curd was better. The maximum transfer rate of delphinidin-3-rutoside from wine was the most pronounced in IOC samples (20.44%). Blackcurrant wine inhibited the growth of lactic acid bacteria, and a longer soaking time can hinder the ripening process of cheese. During tasting, among the treated cheese, IC samples received the highest average acceptance scores for appearance, texture, creaminess, flavor, saltiness, bitterness, freshness and overall impressions.
Full article
(This article belongs to the Topic Food Processing and Preservation: Innovative Solutions for Natural Food Preservation, 2nd Edition)
►
Show Figures
Open AccessArticle
Moringa Extract to Modulate Rumen Fermentation and Lactation Performance of Ewes
by
Renata Alves Chagas, Tatiane Fernandes, Cristiane Rebouças Barbosa, Jessica de Carvalho Pantoja, Samuel Rodrigues Navarro, Marcus Vinicius Morais de Oliveira, Cláudia Andréa Lima Cardoso and Fernando Miranda de Vargas, Jr.
Dairy 2025, 6(6), 70; https://doi.org/10.3390/dairy6060070 - 25 Nov 2025
Abstract
This study aimed to evaluate the supplementation of aqueous extract of Moringa oleifera (AEMO) as a natural ruminal modulator to improve the lactation performance of ewes. The AEMO was prepared by chopping Moringa oleifera leaves and diluting them in distilled water (163.3 g
[...] Read more.
This study aimed to evaluate the supplementation of aqueous extract of Moringa oleifera (AEMO) as a natural ruminal modulator to improve the lactation performance of ewes. The AEMO was prepared by chopping Moringa oleifera leaves and diluting them in distilled water (163.3 g DM/L). Twelve ewes were used in a replicated 3 × 3 Latin square, with periods of 14 days (assessments on the last five days of each period). Treatments were as follows: 20 mL of water as Control, 20 mL of AEMO (20-AEMO), and 40 mL of AEMO (40-AEMO). Ewes were milked twice a day (7:30 a.m. and 2:30 p.m.). Diet corresponds to grain mix (at 3% of BW) and hay ad libitum. We determined the intake, digestibility, fermentative measurements, metabolic measurements, and milk production and composition. Intake and digestibility were not affected by AEMO. Milk yield and the concentrations of fat, protein, and lactose were numerically lower in ewes supplemented with 20-AEMO. A linear decrease in milk protein yield was observed when the highest extract level (40-AEMO) was used. Ruminal pH did not differ among treatments; however, there was a tendency for reduced acetate and increased propionate concentrations, which corresponded with a non-significant numerical decrease in methane estimates in 40-AEMO group. Blood and urinary parameters were not affected by AEMO supplementation. Inclusion of Moringa extracts as an additive in lactating ewes diet does not affect intake and nutrient digestibility, but tends to affect ruminal fermentation and microbial synthesis, with possible changes in methane emission estimation, and impair milk protein production. Therefore, we recommend studies with different extract concentrations to investigate possible effects on rumen fermentation and the synthesis of milk compounds.
Full article
(This article belongs to the Topic Effects of Dietary Interventions on Farm Animal Welfare and Production)
Open AccessArticle
Bioconversion of Deproteinized Cheese Whey to Metabolites by Understudied Cryptococcus-Related Yeasts: Characterization and Properties of Extracted Polysaccharides
by
Gabriel Vasilakis, Antonios Georgoulakis, Eleni Dalaka, Georgios Bekiaris, Ilias Diamantis, Dimitris Karayannis, Maria-Eleftheria Zografaki, Panagiota Diamantopoulou, Emmanouil Flemetakis, Georgios Theodorou, Ioannis Politis and Seraphim Papanikolaou
Dairy 2025, 6(6), 69; https://doi.org/10.3390/dairy6060069 - 21 Nov 2025
Abstract
Microbial bioconversion of agro-industrial by-products into high-value-added metabolites such as polysaccharides or lipids serves a dual purpose: mitigating environmental pollution through waste reduction and supporting the development of novel bioproducts. In this study, a non-conventional, poorly studied Cryptococcus albidus strain was initially assessed
[...] Read more.
Microbial bioconversion of agro-industrial by-products into high-value-added metabolites such as polysaccharides or lipids serves a dual purpose: mitigating environmental pollution through waste reduction and supporting the development of novel bioproducts. In this study, a non-conventional, poorly studied Cryptococcus albidus strain was initially assessed for its ability to grow on semi-defined media containing lactose, glycerol, or glucose under three distinct nitrogen availability conditions at C/N equal to 20, 80, and 160 mol/mol in shake flask cultures. The goal was to evaluate biomass production and synthesis of valuable metabolites under these conditions. C. albidus demonstrated robust growth on all commercial carbon sources, particularly under nitrogen-rich conditions, producing more than 25.0 g/L of microbial biomass with a high intracellular polysaccharide content (>45%, w/w). Additionally, mannitol production was detected in cultures with glycerol and glucose (9.1 and 13.1 g/L, respectively), especially after nitrogen depletion. Subsequently, C. albidus and a Cutaneotrichosporon curvatus strain were batch-cultivated using pretreated secondary cheese whey (SCW) as a carbon-rich waste substrate. When cultivated on SCW, both yeast strains partially metabolized lactose and produced polysaccharide-rich biomass, dominated by β-glucans (>29% of total biomass), compounds known for their functional and bioactive properties. The cellular polysaccharides (cPS extracted from C. albidus exhibited cytotoxic effects against cancer cells, suggesting their potential use as biological response modifiers. In contrast, the cPS from C. curvatus did not affect cell viability, indicating their promise as ingredients for applications in the food, feed, pharmaceutical, or cosmetic sectors.
Full article
(This article belongs to the Section Metabolomics and Foodomics)
►▼
Show Figures

Graphical abstract
Open AccessArticle
Ultrasonographic Assessment of Glandular Cistern Area in Dairy Cows with Clinical and Subclinical Mastitis: Feasibility, Reliability, and Diagnostic Implications
by
Giulia Sala, Matteo Castelli, Chiara Orsetti, Arianna Cervelli, Giovanni Armenia and Francesca Bonelli
Dairy 2025, 6(6), 68; https://doi.org/10.3390/dairy6060068 - 21 Nov 2025
Abstract
►▼
Show Figures
Ultrasonography has been proposed as a complementary tool for the evaluation of udder health, yet limited information exists on its application for measuring the glandular cistern area during mastitis. This study aimed to investigate modifications of the glandular cistern area in clinical (CM)
[...] Read more.
Ultrasonography has been proposed as a complementary tool for the evaluation of udder health, yet limited information exists on its application for measuring the glandular cistern area during mastitis. This study aimed to investigate modifications of the glandular cistern area in clinical (CM) and subclinical mastitis (SCM) compared with contralateral healthy quarters, and to assess the reliability of manual and automated ultrasonographic measurements. A longitudinal study was conducted on 42 Italian Holstein cows, comprising 26 SCM and 16 CM quarters, each paired with contralateral healthy controls. Ultrasound examinations were performed at diagnosis (T0), 24 h (T1), and 5 days (T5). Cisternal areas were measured in transversal and longitudinal sections using both manual and ImageJ-guided methods. Intra- and inter-operator reliability was assessed using Intraclass Correlation Coefficients (ICCs). Statistical analyses included two-way mixed ANOVA with post-hoc Bonferroni correction. Mastitic quarters tended to show smaller cisternal areas compared with contralateral healthy quarters, with significant differences observed between contralateral healthy and CM quarters (p < 0.05), but not between contralateral healthy and SCM or between SCM and CM quarters. Temporal trends differed significantly among groups (interaction effect, p < 0.05). Both manual and automated measurements demonstrated excellent intra- and inter-operator reliability, with ICCs consistently > 0.95 across pathology groups and time points. Ultrasonography of the glandular cistern is a feasible, reproducible, and reliable method under field conditions. Clinical mastitis is associated with a measurable reduction in cisternal area, while changes in subclinical mastitis appear less evident. The high reproducibility of measurements, including automated analysis, supports the use of this technique may contribute to improve the use of ultrasound also for the udder heath.
Full article

Figure 1
Open AccessArticle
Deodorization of Spirulina (Arthrospira platensis) to Improve the Sensory Attributes of Spirulina-Enriched Yogurt
by
Adrián Ponce de León-Door, Pedro González-Pérez, Guadalupe I. Olivas, Francisco Javier Molina-Corral, Jesús Cristian Amaro-Hernández and David R. Sepulveda
Dairy 2025, 6(6), 67; https://doi.org/10.3390/dairy6060067 - 7 Nov 2025
Abstract
The incorporation of Arthrospira platensis into dairy products offers health benefits but is limited by its undesirable aroma and flavor. This study evaluated three deodorization strategies—adsorption by activated carbon, extraction with ethanol, and fermentation with Saccharomyces cerevisiae—to improve the sensory profile of
[...] Read more.
The incorporation of Arthrospira platensis into dairy products offers health benefits but is limited by its undesirable aroma and flavor. This study evaluated three deodorization strategies—adsorption by activated carbon, extraction with ethanol, and fermentation with Saccharomyces cerevisiae—to improve the sensory profile of A. platensis and enhance its acceptability in yogurt. Deodorized powders were characterized for proximal and volatile composition and used to formulate yogurts at five concentrations (0.5–2.5% w/v). Texture, aroma volatile profile, and sensory attributes were assessed after yogurt production, while shelf-life quality attributes were monitored over 29 days of refrigerated storage. Yogurts containing fermented A. platensis showed higher sensory scores (>8.7/10), the greatest purchase intent (>71.4%), and improved texture, remaining acceptable at an addition level of 2.5%. In contrast, yogurts with untreated or carbon-activated treated A. platensis were only acceptable at low addition levels (≤0.5%) due to off-flavors and textural issues. Ethanol effectively reduced aldehydes and ketones (such as Safranal and β-Ionone), while fermentation eliminated pyrazines and generated desirable alcohols and acids (such as 1-Pentanol and Butanoic acid). These findings highlight fermentation as a promising strategy to deodorize A. platensis and improve its integration into dairy matrices, enabling the development of functional yogurts with enhanced sensory quality and nutritionally relevant microalgae content.
Full article
(This article belongs to the Section Milk Processing)
►▼
Show Figures

Graphical abstract
Open AccessArticle
Influence of Dietary and Ruminal Factors on Microbial and Non-Microbial Nitrogen Flows to the Small Intestine in Lactating Dairy Cows: A Meta-Analysis
by
Danilo D. Millen, Gercino F. Virgínio, Jr., Fernanda F. Alves, Charles G. Schwab and Sergio Calsamiglia
Dairy 2025, 6(6), 66; https://doi.org/10.3390/dairy6060066 - 7 Nov 2025
Abstract
Improving nitrogen efficiency in dairy cattle requires a better understanding of the dietary and ruminal factors that regulate nitrogen partitioning. This meta-analysis evaluated the effects of ruminal pH and dietary characteristics on microbial nitrogen (MN), non-microbial non-ammonia nitrogen (NANMN), and NAN flows to
[...] Read more.
Improving nitrogen efficiency in dairy cattle requires a better understanding of the dietary and ruminal factors that regulate nitrogen partitioning. This meta-analysis evaluated the effects of ruminal pH and dietary characteristics on microbial nitrogen (MN), non-microbial non-ammonia nitrogen (NANMN), and NAN flows to the small intestine in lactating cows. A dataset was assembled from 44 peer-reviewed in vivo studies (163 data points), with dietary intake and ruminal variables standardized across trials. Mixed linear models were developed for each N fraction, and the relative contribution of each predictor to the explained variance was assessed using semipartial coefficients of determination (pR2). Efficiency of microbial protein synthesis (EMPS), rumen undegraded protein intake (RUPI), and organic matter truly digested in the rumen (OMTDR) were the most relevant predictors of NANMN and NAN. Although the ruminal pH itself was not statistically significant in the models, the dietary components that influenced pH, starch concentration, physically effective fiber, and RUP supply were strongly associated with nitrogen flow profiles. Nitrogen utilization was not affected by ruminal pH, but rather by the combination of fermentable substrates and the supply of rumen-degradable and undegraded protein.
Full article
(This article belongs to the Section Dairy Animal Nutrition and Welfare)
Open AccessSystematic Review
Bioactive Peptides from Dairy Products: A Systematic Review of Advances, Mechanisms, Benefits, and Functional Potential
by
Ermioni Meleti, Michalis Koureas, Athanasios Manouras, Persephoni Giannouli and Eleni Malissiova
Dairy 2025, 6(6), 65; https://doi.org/10.3390/dairy6060065 - 6 Nov 2025
Cited by 1
Abstract
►▼
Show Figures
Bioactive peptides (BAPs) from dairy products have garnered increasing attention as natural agents with health-promoting properties, including antihypertensive, antioxidant, antimicrobial, immunomodulatory, opioid, and antidiabetic activities. This systematic review synthesizes research published between 2014 and 2024, retrieved from Scopus and PubMed, and selected according
[...] Read more.
Bioactive peptides (BAPs) from dairy products have garnered increasing attention as natural agents with health-promoting properties, including antihypertensive, antioxidant, antimicrobial, immunomodulatory, opioid, and antidiabetic activities. This systematic review synthesizes research published between 2014 and 2024, retrieved from Scopus and PubMed, and selected according to PRISMA guidelines. A total of 192 studies met the inclusion criteria, collectively reporting over 3200 distinct peptides, with antihypertensive sequences, predominantly angiotensin-converting enzyme (ACE) inhibitors, constituting the largest category (n = 1237). β-casein was the principal precursor across bioactivities, followed by αs1-casein, β-lactoglobulin, and α-lactalbumin. Peptides were primarily produced via enzymatic hydrolysis, microbial fermentation, and gastrointestinal digestion, with peptide profiles influenced by the type of milk, microbial strains, and processing conditions. While cow’s milk remained the dominant source, investigations into goat, sheep, camel, buffalo, and donkey milk revealed species-specific biopeptides. Recent advances in proteomics have enhanced peptide identification and bioactivity prediction, enabling the discovery of novel sequences. These findings underscore the significant potential of dairy-derived BAPs as functional food components and nutraceutical ingredients, while highlighting the need for further in vivo validation, bioavailability studies, and broader exploration of underrepresented milk sources.
Full article

Figure 1
Open AccessFeature PaperArticle
Effects of Stress of the Endoplasmic Reticulum on Genome-Wide Gene Expression in the Bovine Liver Cell Model BFH12
by
Eron Bajrami, Gaiping Wen, Sarah M. Grundmann, Robert Ringseis, Denise K. Gessner and Klaus Eder
Dairy 2025, 6(6), 64; https://doi.org/10.3390/dairy6060064 - 31 Oct 2025
Abstract
Previous studies have demonstrated that high-yielding dairy cows experience endoplasmic reticulum (ER) stress in the liver during early lactation. To date, most insights into the role of ER stress in metabolism and disease pathophysiology have been derived from rodent and human models. In
[...] Read more.
Previous studies have demonstrated that high-yielding dairy cows experience endoplasmic reticulum (ER) stress in the liver during early lactation. To date, most insights into the role of ER stress in metabolism and disease pathophysiology have been derived from rodent and human models. In dairy cattle, however, the specific impact of ER stress on metabolic pathways and its contribution to disease development remain insufficiently characterized. The objective of this study was therefore to investigate the molecular effects of ER stress using a bovine liver cell model (BFH12 cells). ER stress was induced by incubation with Tunicamycin (TM) and Thapsigargin (TG). Molecular responses to ER stress were assessed via a whole-genome array analysis and PCR targeting genes involved in selected metabolic pathways. Incubation with both ER stress inducers resulted in a marked upregulation of genes associated with the unfolded protein response (UPR) within a 4 to 24-h time frame, indicative of the production of robust ER stress in these cells. Unexpectedly, treatment with TM led to a downregulation of numerous genes involved in lipid biosynthesis, including those related to lipogenesis and cholesterol synthesis. Furthermore, incubation with TM and TG induced upregulation of genes involved in fatty acid oxidation and was accompanied by a reduction in intracellular triglyceride concentrations. Genes associated with inflammatory responses were upregulated by both TM and TG, whereas genes encoding antioxidant enzymes were downregulated. Genes involved in ketogenesis did not exhibit a consistent pattern of regulation. Overall, several effects of ER stress previously described in rodent models could not be replicated in this bovine liver cell system. Extrapolating these findings to dairy cows suggests that while ER stress may contribute to hepatic inflammation, it is unlikely to play a significant role in the development of hepatic lipidosis or ketosis.
Full article
(This article belongs to the Section Dairy Animal Health)
►▼
Show Figures

Figure 1
Open AccessFeature PaperArticle
Energy Sustainability in the Ripening of Traditional Cheese: Renewable Energy Sources and Internet of Things Based Energy Monitoring
by
João M. Santos, João M. Garcia, João Dias, João C. Martins, Nuno Alvarenga, Elsa M. Gonçalves, Daniela Freitas, Karina Silvério, Jaime Fernandes, Sandra Gomes, Manuela Lageiro, Miguel Potes and José Jasnau Caeiro
Dairy 2025, 6(6), 63; https://doi.org/10.3390/dairy6060063 - 30 Oct 2025
Abstract
►▼
Show Figures
Improving the energy efficiency of traditional production methods while preserving their cultural and economic value is a challenge aligned with the Sustainable Development Goals of the 2030 agenda. Refrigeration during cheese maturation is particularly energy-intensive, contributing significantly to greenhouse gas emissions and operating
[...] Read more.
Improving the energy efficiency of traditional production methods while preserving their cultural and economic value is a challenge aligned with the Sustainable Development Goals of the 2030 agenda. Refrigeration during cheese maturation is particularly energy-intensive, contributing significantly to greenhouse gas emissions and operating costs. An approach to make traditional cheese production more sustainable, through the development of a prototype ripening chamber with a natural refrigerant-based refrigeration system powered by renewable energy was studied. A dedicated system based on an Internet of Things architecture was developed using low-cost sensors, microcontroller units, and single-board computers to enable real-time measurement and monitoring of environmental variables and energy consumption throughout the ripening process. A comparative analysis was conducted using ewe’s milk cheese, produced and ripened with Protected Designation of Origin conditions, in both the prototype and the conventional chambers over four weeks, quantifying energy consumption and evaluating product quality. Results demonstrate the technical feasibility of energy efficient and sustainable refrigeration systems, as well as the possibility of retrofitting installed cheese ripening chambers with affordable IoT monitoring systems, while maintaining traditional cheese quality standards.
Full article

Figure 1
Open AccessArticle
Assessment of Sialic Acid Content in Dairy Products from Buffalo’s and Goat’s Milk Compared to Cow’s Milk
by
Simona Rinaldi, Michela Contò, Carlo Boselli, Giuliano Palocci, Angelo Citro and Sebastiana Failla
Dairy 2025, 6(6), 62; https://doi.org/10.3390/dairy6060062 - 28 Oct 2025
Abstract
Sialic acids (SIAs) are bioactive compounds present in glycoproteins and glycolipids, playing key roles in human physiology. N-acetylneuraminic acid (Neu5Ac), the only sialic acid synthesized by humans, contributes to neurodevelopment and immune function, whereas N-glycolylneuraminic acid (Neu5Gc), acquired from animal-derived foods, is potentially
[...] Read more.
Sialic acids (SIAs) are bioactive compounds present in glycoproteins and glycolipids, playing key roles in human physiology. N-acetylneuraminic acid (Neu5Ac), the only sialic acid synthesized by humans, contributes to neurodevelopment and immune function, whereas N-glycolylneuraminic acid (Neu5Gc), acquired from animal-derived foods, is potentially harmful, showing pro-inflammatory properties. Accordingly, a high Neu5Ac/Neu5Gc ratio represents an important nutritional indicator. This study quantified the two main forms of SIA in five commercial cheese types (mozzarella, stracchino, caciotta, robiola, ricotta) produced from cow (C), buffalo (B), and goat (G) milk, as well as in laboratory cheesemaking from 1000 g of milk from each species. Neu5Gc concentrations were significantly higher in G cheeses (p < 0.001), while Neu5Ac was more abundant in C cheeses (p < 0.05). Consequently, the Neu5Ac/Neu5Gc ratio was markedly higher in C and B cheeses (24.11 and 21.57, respectively) than in G (1.29), reflecting species-specific glycosylation patterns. Among cheese types, ricotta produced from whey exhibited the highest SIA concentrations among all species, followed by robiola, mozzarella and stracchino. In contrast, caciotta showed the lowest SIA levels. The laboratory cheesemaking trial confirmed that most SIAs remained bound to whey proteins. These findings highlighted the combined effect of milk species and cheesemaking on sialylation, with potential nutritional implications.
Full article
(This article belongs to the Section Milk and Human Health)
►▼
Show Figures

Graphical abstract
Open AccessFeature PaperArticle
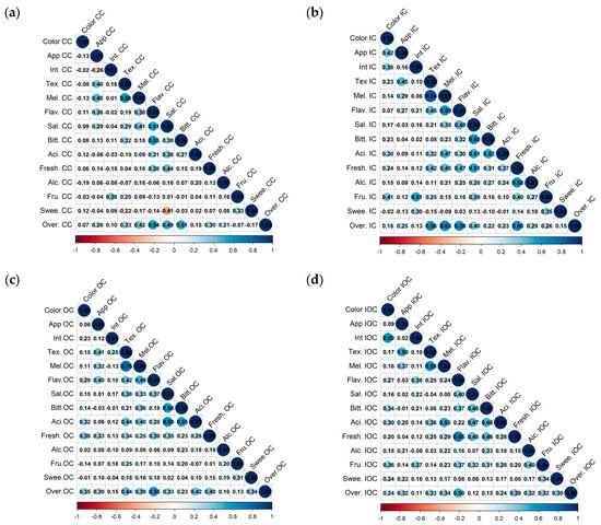
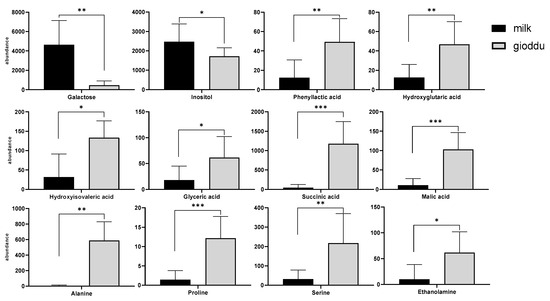
Lipidomic and Metabolomic Signatures of the Traditional Fermented Milk Product Gioddu
by
Cristina Manis, Mattia Casula, Margherita Chessa, Nicoletta P. Mangia and Pierluigi Caboni
Dairy 2025, 6(5), 61; https://doi.org/10.3390/dairy6050061 - 21 Oct 2025
Abstract
►▼
Show Figures
Fermented dairy products such as yogurt, kefir, and traditional cheeses are increasingly consumed worldwide for their nutritional and probiotic properties. Lipidomic profiling provides valuable insights into microbial-driven biochemical changes during fermentation. In this study, we performed a comprehensive untargeted lipidomic analysis of sheep
[...] Read more.
Fermented dairy products such as yogurt, kefir, and traditional cheeses are increasingly consumed worldwide for their nutritional and probiotic properties. Lipidomic profiling provides valuable insights into microbial-driven biochemical changes during fermentation. In this study, we performed a comprehensive untargeted lipidomic analysis of sheep milk and Gioddu, a traditional Sardinian fermented dairy product. Using UHPLC-QTOF-MS platform, we observed that fermentation significantly reshaped the lipidome. Gioddu samples showed higher levels of phosphatidylethanolamines (PE) and lysophosphatidylethanolamines (LPE), together with a pronounced reduction in sphingolipids (glucosylceramides, ceramides, sphingomyelins) and glycerophospholipids (phosphatidylinositols, phosphatidylserines, phosphatidylcholines) compared to sheep milk. These findings align with known enzymatic activities of lactic acid bacteria (LAB), including phospholipases A1 and A2, phosphatidylinositol-specific phospholipase C (PI-PLC), and sphingomyelinase. Fermentation also affected triglycerides, with reduced levels of FA 18:1-containing species, suggesting the selective lipolysis of monounsaturated fatty acids by microbial lipases. Complementary metabolomic profiling revealed reduced levels of simple sugars such as galactose and inositol in Gioddu samples, consistent with their use as primary carbon sources during early fermentation. Conversely, a marked accumulation of carboxylic acids (succinic, malic, hydroxyisovaleric, hydroxyglutaric, glyceric) was revealed, reflecting enhanced microbial fermentative activity. Increased levels of amino acids, including alanine, serine, proline, and ethanolamine, further highlighted active proteolysis and membrane remodeling driven by LAB metabolism. These findings show that LAB enzymes play a key role in modifying the lipidome of fermented dairy products, highlighting their metabolic flexibility and potential impact on nutritional and health properties. This integrated approach sheds new light on the metabolic plasticity of fermentative processes and underscores the value of omics-based tools in understanding traditional food systems.
Full article

Figure 1
Open AccessFeature PaperArticle
Non-Specific Cross Protection of BCG Vaccination in Dairy Calves
by
Renata López, Valentina Villarroel, Víctor Neira, Carolina Aguayo, Karina Saadi, Katherinne Orozco, Pedro Abalos and Patricio Retamal
Dairy 2025, 6(5), 60; https://doi.org/10.3390/dairy6050060 - 16 Oct 2025
Abstract
Bovine tuberculosis (bTB) is mainly caused by Mycobacterium bovis, which affects cattle, leading to significant economic losses. In Chile, the vaccination with the M. bovis Bacillus Calmette-Guérin (BCG) strain has been implemented in dairy herds with high prevalence of bTB. This study
[...] Read more.
Bovine tuberculosis (bTB) is mainly caused by Mycobacterium bovis, which affects cattle, leading to significant economic losses. In Chile, the vaccination with the M. bovis Bacillus Calmette-Guérin (BCG) strain has been implemented in dairy herds with high prevalence of bTB. This study evaluated non-specific protection associated with BCG on the detection of pathogen-associated genes (nsp5, stx1, stx2, invA, IS1081) and mortality related to diarrhea and pneumonia in calves. A total of 186 calves from a commercial dairy farm were enrolled and grouped as vaccinated (n = 96) and non-vaccinated (n = 90). The BCG Russia strain (2–5 × 105 UFC) was inoculated subcutaneously within the first 30 days after birth. Animals were monitored through fecal sampling at 3 and 6 months of age for molecular detection of gene sequences. A logistic regression analysis showed differences in detection rates of the stx1 sequence at 3 months, with a higher risk for the non-vaccinated individuals (OR 2.91, CI 1.42–5.94, p = 0.03) and for those born in the cold season (OR 9.55, CI 2.02–45.11, p = 0.004). A Kaplan–Meier survival analysis showed a significant difference in deaths in vaccinated calves compared with non-vaccinated animals (p = 0.018), suggesting that BCG confers non-specific protection during the first 3 months after birth, in field conditions.
Full article
(This article belongs to the Section Dairy Animal Health)
►▼
Show Figures

Figure 1
Open AccessArticle
State-Level Geographic Disparities and Temporal Patterns in Milk Somatic Cell Counts Across the United States, 2011–2023
by
Jessica Vidlund, Agricola Odoi, Russell Zaretzki and Chika C. Okafor
Dairy 2025, 6(5), 59; https://doi.org/10.3390/dairy6050059 - 15 Oct 2025
Abstract
The dairy industry faces challenges from mastitis, which affects milk quality. Somatic Cell Counts (SCCs) are key indicators of udder health, subclinical mastitis presence, and legal thresholds. However, limited research has explored geographic disparities and temporal patterns in SCCs across the USA, despite
[...] Read more.
The dairy industry faces challenges from mastitis, which affects milk quality. Somatic Cell Counts (SCCs) are key indicators of udder health, subclinical mastitis presence, and legal thresholds. However, limited research has explored geographic disparities and temporal patterns in SCCs across the USA, despite their critical role in informing targeted herd management strategies, optimizing policy interventions, and ensuring consistent milk quality standards. This study aimed to examine temporal trends and geographic disparities in median weighted SCCs (mwSCCs) across USA states. This study analyzes SCC data using records from the Dairy Herd Improvement Association across 42–45 states between 2011 and 2023. State-level differences in mwSCCs were examined, with temporal changes assessed using percent differences between 2011 and 2023. Moran’s I and Local Indicators of Spatial Association (LISA) were used to identify spatial clusters of states with high and low mwSCCs. The mwSCCs decreased by 24.8%, from 234,000 cells/mL in 2011 to 176,000 cells/mL in 2023, with significant reductions in Virginia and Georgia, while Tennessee and South Carolina had minimal declines. However, Texas, California, and Colorado saw increases, with Colorado rising by 147.9%. Spatial clustering revealed high mwSCCs in the southeast and low levels in the northeast, highlighting the need for region-specific strategies.
Full article
(This article belongs to the Section Milk and Human Health)
►▼
Show Figures

Figure 1
Open AccessReview
Textural Evaluation of Milk Products: Instrumental Techniques, Parameters, and Challenges
by
Sergiu Pădureţ
Dairy 2025, 6(5), 58; https://doi.org/10.3390/dairy6050058 - 14 Oct 2025
Abstract
Milk products are a diverse group of foods and important sources of essential nutrients, including high-quality proteins, fatty acids, vitamins, and minerals. Among their key quality attributes, texture is particularly critical, as it strongly influences consumer perception and overall product quality. Numerous devices
[...] Read more.
Milk products are a diverse group of foods and important sources of essential nutrients, including high-quality proteins, fatty acids, vitamins, and minerals. Among their key quality attributes, texture is particularly critical, as it strongly influences consumer perception and overall product quality. Numerous devices and techniques have been developed to evaluate the texture of milk products, most of which rely on mechanical tests such as puncture, compression, shearing, creep, and relaxation. Instrumental evaluations are essential for correlating physical measurements with sensory perceptions, yet several challenges limit their reliability. Inconsistencies in testing protocols—such as reporting force versus penetration depth versus force versus time; variations in testing temperature, sample shape and dimensions; probe geometry; compression depth; and container size for semisolid samples contribute to discrepancies across studies. Additionally, many studies omit these critical methodological details, reducing reproducibility and comparability. This review systematically examines the current methods used to assess dairy product texture, identifies gaps and challenges in standardization, and provides guidance to support future research aimed at obtaining accurate, reproducible, and meaningful texture measurements.
Full article
(This article belongs to the Section Milk Processing)
►▼
Show Figures

Figure 1
Open AccessArticle
Development of a Simulation Model to Evaluate Dairy Production Systems in Northern Ireland
by
Austen Ashfield, Michael Wallace and Claire Jack
Dairy 2025, 6(5), 57; https://doi.org/10.3390/dairy6050057 - 11 Oct 2025
Abstract
Profitable dairy farming requires continuous appraisal and adaptation of production systems in response to changing market and agricultural policy conditions. Geopolitical and climate events have exemplified the exposure of farm incomes to the increased volatility associated with often-global market factors. In this context,
[...] Read more.
Profitable dairy farming requires continuous appraisal and adaptation of production systems in response to changing market and agricultural policy conditions. Geopolitical and climate events have exemplified the exposure of farm incomes to the increased volatility associated with often-global market factors. In this context, bio-economic models can be a useful tool for researchers seeking to understand the financial resilience of different production systems to these changing circumstances. The AFBI Dairy Systems Model is presented and used to simulate the impacts of alternative price scenarios for Northern Ireland-based dairy systems. The whole farm model consists of four interdependent components, comprising farm system, animal nutrition, feed supply and financial sub models. The model is used to evaluate how fluctuations in milk, concentrate, fertiliser, contractor, and electricity prices, as well as interest rate changes, affect three distinct production systems. The financial performance of all systems was sensitive to variations in milk and concentrate prices but relatively insensitive to variations in fertiliser, contractor, and electricity prices and interest rate changes. The profitability of a low-output system was less exposed to variations in prices. In contrast, a high-output system was more exposed to price variations. However, a medium-input system was the most profitable across the majority of price scenarios investigated.
Full article
(This article belongs to the Section Dairy Farm System and Management)
►▼
Show Figures

Figure 1
Open AccessArticle
Evaluation of the Impact of Whey Edible Coatings with Bioprotective Cultures and Thyme Essential Oil Applied to Cheese
by
Carlos Dias Pereira, Klaudia Hodowaniec, Karolina Kucz, Katarzyna Szkolnicka, David Gomes and Arona Pires
Dairy 2025, 6(5), 56; https://doi.org/10.3390/dairy6050056 - 26 Sep 2025
Abstract
This research work evaluated the application of whey-based edible coatings to cheeses. Coatings were prepared with a bioprotective culture (BC) containing Lacticaseibacillus paracasei and Lacticaseibacillus rhamnosus alone, or in conjunction with thyme essential oil (TEO). The samples containing the BC or the BC
[...] Read more.
This research work evaluated the application of whey-based edible coatings to cheeses. Coatings were prepared with a bioprotective culture (BC) containing Lacticaseibacillus paracasei and Lacticaseibacillus rhamnosus alone, or in conjunction with thyme essential oil (TEO). The samples containing the BC or the BC plus TEO were compared with cheeses without coating, with cheeses with whey-based coatings without BC or TEO, and with cheeses treated with natamycin. The cheeses were evaluated regarding their physicochemical, microbiological, and sensory properties. All cheeses produced were classified as full-fat (≥45–60% fat in dry matter—FDM) and semihard (>54–<63% moisture in the defatted cheese—MDC), with an exception made for the control cheese, which presented lower levels of MDC, graded as hard (>49–<56% MDC). Most of the parameters evaluated presented significant differences between samples and as a result of ripening time. Regarding color parameters, it was observed that, after ripening, the external color of the samples with the whey coating presented higher lightness values (L*), higher a* values, and lower b* values. These differences clearly resulted from the white color imparted by the coating. Significant differences were also observed with respect to the texture parameters of the cheeses. The samples containing the BC or the BC plus TEO presented higher values for hardness and chewiness. In what concerns the microbiological evaluation, in all cases, lactic acid bacteria counts increased from log 7.5–8 CFU/g on the first day to ca. log 10 CFU/g at the end of the ripening period. Yeast and mold counts were significantly lower in samples containing the BC or the BC plus TEO, with values of ca. log 3 CFU/g and log 2.5 CFU/g, respectively. These values are like those obtained in samples with natamycin, with 1–2 log cycles below those of cheeses without treatment. However, the use of BC and BC plus TEO had a negative impact on the sensory properties of cheeses. Future work should evaluate the synergistic effect of different BCs and EOs.
Full article
(This article belongs to the Section Milk Processing)
►▼
Show Figures

Figure 1
Open AccessArticle
Use of Microparticulated Whey Protein in Production of Doce de Leite
by
Julia Maria Pires de Matos Vitral, Igor Lima de Paula, Paola Fazollo Lazzarini, Thomas Henle, Uwe Schwarzenbolz, Alan Frederick Wolfschoon-Pombo, Ítalo Tuler Perrone, Luiz Fernando Cappa de Oliveira and Rodrigo Stephani
Dairy 2025, 6(5), 55; https://doi.org/10.3390/dairy6050055 - 26 Sep 2025
Abstract
Doce de leite (DL) is a product originating in South America, particularly in countries such as Brazil, Argentina, and Uruguay. The product is widely used for direct consumption and industrial applications and can be added with thickening agents to modify its rheological properties.
[...] Read more.
Doce de leite (DL) is a product originating in South America, particularly in countries such as Brazil, Argentina, and Uruguay. The product is widely used for direct consumption and industrial applications and can be added with thickening agents to modify its rheological properties. This study aimed to produce DL with the addition of three different components (skimmed milk powder—SMP, whey protein concentrate—WPC, and microparticulated whey protein—MWP) in two different concentrations (2.1 and 4.2%). The composition of the products aligned with Mercosur regulations, except for the fat content, where the result was slightly lower. The HMF (5-hydroxymethylfurfural) concentration in the samples was also determined, showing no statistically significant differences between products. The products with SMP showed a higher browning index and color saturation compared to WPC and MWP formulations. The addition of MWP increased the hardness (from 10.2 to 467.8 g), gumminess (from 8.2 to 362.1 g), and viscosity (from 6.7 to 18.3 Pa.s) of the DL compared to the control product (SMP). These findings suggest that adding MWP can modulate the rheological and textural characteristics of such products without significantly altering their proximate composition, offering an alternative to using thickeners in this type of product.
Full article
(This article belongs to the Section Milk Processing)
►▼
Show Figures

Figure 1
Open AccessFeature PaperArticle
Tackling Weaning Stress in Dairy Calves Using Cannabidiol Oil Supplementation—A Pilot Study
by
Marinela Enculescu, Ioana Nicolae and Dinu Gavojdian
Dairy 2025, 6(5), 54; https://doi.org/10.3390/dairy6050054 - 26 Sep 2025
Abstract
This pilot study evaluated the effects of cannabidiol (CBD) oil supplementation on growth performance, stress biomarkers, and haematological profiles in dairy calves undergoing the weaning transition. Nineteen Holstein calves were divided into two paternal-sibling groups: a CBD-supplemented experimental group (n = 10) and
[...] Read more.
This pilot study evaluated the effects of cannabidiol (CBD) oil supplementation on growth performance, stress biomarkers, and haematological profiles in dairy calves undergoing the weaning transition. Nineteen Holstein calves were divided into two paternal-sibling groups: a CBD-supplemented experimental group (n = 10) and a CON-control group (n = 9). The CBD group received 5 mL/head/day of CBD oil for the first two days (pre-weaning), followed by 10 mL/head/day for three consecutive days post-weaning. Body weight increased significantly over time in both groups (p = 0.000); nevertheless, no significant differences were observed between groups (p = 0.173) or for the group × time interaction (p = 0.929), indicating that CBD did not affect overall growth trajectory. However, a significant group × time interaction (p = 0.006) for average daily gains in the CBD group was observed. Serum cortisol concentrations were significantly lower in CBD-supplemented calves at Day 0 and +2 days, compared to the CON group, indicating a transient anti-stress effect (p = 0.043 for group effect). At +5 days, cortisol levels in the CBD group increased, surpassing control values, though this difference was not significant. A trend-level group × time interaction (p = 0.067) suggested a distinct temporal cortisol response in CBD-treated calves. Immune cell counts (LYM, MON, NEU) showed no significant differences, though monocyte levels trended lower in CBD calves at early time points. Platelet indices revealed a significant reduction in mean platelet volume (p = 0.047) and stable PDWc and plateletcrit values in the CBD group, suggesting modulation of inflammatory status. Alanine aminotransferase levels increased over time with a significant group effect (p = 0.014), indicating a mild hepatic response, while glucose and alkaline phosphatase remained within physiological ranges. These findings suggest that short-term CBD supplementation may transiently modulate stress and inflammatory responses during weaning, with potential benefits for physiological resilience. However, rebound endocrine effects and hepatic sensitivity highlight the need for further research to refine dosing strategies and assess long-term safety in dairy production systems.
Full article
(This article belongs to the Section Dairy Animal Nutrition and Welfare)
►▼
Show Figures

Figure 1
Open AccessFeature PaperArticle
Evaluation of Holstein Cows with Tongue-Rolling: Plasma Metabolomics and Milk Proteomics
by
Chenyang Li, Xiaoyang Chen, Tingting Fang, Jie Gao, Guangyong Zhao and Xianhong Gu
Dairy 2025, 6(5), 53; https://doi.org/10.3390/dairy6050053 - 23 Sep 2025
Abstract
Stereotypic behaviors are common in farm animals and often signal poor welfare. Tongue-rolling is the most prevalent stereotypic behavior in cows. In this study, we compared the plasma and milk composition of 16 high-frequency tongue-rolling cows (HTR group) and 16 non-stereotypic cows (CON
[...] Read more.
Stereotypic behaviors are common in farm animals and often signal poor welfare. Tongue-rolling is the most prevalent stereotypic behavior in cows. In this study, we compared the plasma and milk composition of 16 high-frequency tongue-rolling cows (HTR group) and 16 non-stereotypic cows (CON group). All cows were primiparous cows. Biochemical tests, plasma metabolomics, and milk proteomics revealed higher plasma triiodothyronine levels in HTR cows, and lower levels of αs1-casein, β-casein, κ-casein, and lactoferrin in their milk. Multi-omics analyses identified 103 differential metabolites and 73 differential proteins, including various GTP-binding proteins, with the Ras signaling pathway being significantly upregulated in the HTR cows. GO enrichment analysis highlighted significant changes in molecular function, particularly related to GTP/GDP-binding proteins. Additionally, HTR cows exhibited elevated cellular metabolic activity. These findings suggest that high-frequency tongue-rolling is associated with altered endocrine and metabolic profiles, disrupted milk protein synthesis, and impaired immune function potential. The reduction in key milk proteins and lactoferrin may negatively impact milk quality and immune defense. Further research is needed to clarify the causal relationship between these physiological changes and tongue-rolling, providing insights into the underlying mechanisms of stereotypic behaviors in dairy cows and their implications for animal welfare and milk production.
Full article
(This article belongs to the Section Dairy Animal Nutrition and Welfare)
►▼
Show Figures

Figure 1
Open AccessArticle
Characterization of Quesillo Caquetá with Protected Designation of Origin (PDO): Mineral Composition and Carbohydrate, Fatty Acid, and Peptide Profiles
by
Andrés Grajales-Zuleta, Sandra Estrada, Andrea Hermosa, Isidra Recio, Beatriz Miralles and Mar Villamiel
Dairy 2025, 6(5), 52; https://doi.org/10.3390/dairy6050052 - 19 Sep 2025
Abstract
Cheese products worldwide have gained protected designation of origin status in many instances, yet this food group also has the highest reported fraud rates. Quesillo Caquetá is the first Colombian cheese to acquire a protected designation of origin, but still there is a
[...] Read more.
Cheese products worldwide have gained protected designation of origin status in many instances, yet this food group also has the highest reported fraud rates. Quesillo Caquetá is the first Colombian cheese to acquire a protected designation of origin, but still there is a lack of information regarding its composition. In this study, a compositional analysis was performed to establish a set of characteristic parameters to aid the identification of the authenticity of Quesillo Caquetá. Physicochemical analysis, mineral composition determination, carbohydrate, fatty acid, and peptide profiles were conducted on 29 samples of Quesillo Caquetá made with milk from the northern, southern, and central regions of the province of Caquetá. The results revealed 7 minerals, 3 carbohydrates, 19 fatty acids, and 45 peptides (21 peptides from bovine αs1-casein and 24 peptides from bovine β-casein). This suggests that Quesillo Caquetá is a significant source of sodium, calcium, phosphorus, and monounsaturated fatty acids such as oleic acid, omega-3, and omega-6, as well as some peptides that match sequences with antihypertensive, immunomodulatory, antioxidant, and antimicrobial activity reported in the literature. The specificity of the fatty acid and peptide profiles can become a valuable tool for identifying the authenticity of Quesillo Caquetá against possible imitations in the market.
Full article
(This article belongs to the Section Metabolomics and Foodomics)
►▼
Show Figures

Figure 1
Highly Accessed Articles
Latest Books
E-Mail Alert
News
Topics
Topic in
Agriculture, Dairy, Poultry, Veterinary Sciences, Animals
Practical Methods for Accommodating Behavioral Needs and Improving the Wellbeing of Farm Animals: 2nd Edition
Topic Editors: Temple Grandin, Kurt VogelDeadline: 31 December 2025
Topic in
Agriculture, Dairy, Foods, Nutrients, Animals
Advances in Animal-Derived Non-Cow Milk and Niche Cow Milk. Properties, Processing, Dairy Products and Environmental Impact, 2nd Edition
Topic Editors: Jacek Wójtowski, Jan Pikul, Maria Markiewicz-KęszyckaDeadline: 31 January 2026
Topic in
Agriculture, Beverages, Dairy, Fermentation, Foods
Food Processing and Preservation: Innovative Solutions for Natural Food Preservation, 2nd Edition
Topic Editors: Ângela Fernandes, Filipa MandimDeadline: 31 March 2026
Topic in
Beverages, Dairy, Foods, IJERPH, Nutrients
Ways to Achieve Healthy and Sustainable Diets
Topic Editors: Verônica Cortez Ginani, Renata Puppin ZandonadiDeadline: 18 April 2026
Conferences
Special Issues
Special Issue in
Dairy
Optimizing Production, Quality and Safety of Sheep and Goat Milk
Guest Editor: Zvonimir PrpićDeadline: 15 April 2026
Special Issue in
Dairy
Precision Biomarkers for Early Detection and Prevention of Disease in Dairy Cows
Guest Editors: Ramunas Antanaitis, Lina AnskienėDeadline: 5 July 2026
Special Issue in
Dairy
Smart Dairy Farming: Automatic Monitoring for Dairy Farm Sustainability, Efficiency and Environmental Impact
Guest Editor: Olivier DebaucheDeadline: 15 July 2026
Special Issue in
Dairy
Farm Management Practices to Improve Milk Quality and Yield
Guest Editors: Lucie Hasoňová, Eva SamkováDeadline: 10 August 2026




