-
Design and Flight Experiment of a Motor-Directly-Driven Flapping-Wing Micro Air Vehicle with Extension Springs -
Multifunctional Liposomes: Smart Nanomaterials for Enhanced Photodynamic Therapy -
Development of Variable Elastic Band with Adjustable Elasticities for Semi-Passive Exosuits -
Regenerative Strategies for Vocal Fold Repair Using Injectable Materials
Journal Description
Biomimetics
Biomimetics
is an international, peer-reviewed, open access journal on biomimicry and bionics, published monthly online by MDPI.
- Open Access— free for readers, with article processing charges (APC) paid by authors or their institutions.
- High Visibility: indexed within Scopus, SCIE (Web of Science), PubMed, PMC, Ei Compendex, CAPlus / SciFinder, and other databases.
- Journal Rank: JCR - Q1 (Engineering, Multidisciplinary) / CiteScore - Q2 (Biomedical Engineering)
- Rapid Publication: manuscripts are peer-reviewed and a first decision is provided to authors approximately 17.1 days after submission; acceptance to publication is undertaken in 2.8 days (median values for papers published in this journal in the first half of 2025).
- Recognition of Reviewers: reviewers who provide timely, thorough peer-review reports receive vouchers entitling them to a discount on the APC of their next publication in any MDPI journal, in appreciation of the work done.
Impact Factor:
3.9 (2024);
5-Year Impact Factor:
4.0 (2024)
Latest Articles
Step Timing Change over Time During Wearable Exoskeleton-Assisted Gait Training: A Cross-Sectional Study
Biomimetics 2025, 10(12), 820; https://doi.org/10.3390/biomimetics10120820 (registering DOI) - 7 Dec 2025
Abstract
This study aimed to investigate the timing of foot-off and initial contact at the end of the first walking training session with a Wearable Power-Assist Locomotor (WPAL) in novice healthy users. Eight healthy volunteers with no walking experience with the WPAL participated in
[...] Read more.
This study aimed to investigate the timing of foot-off and initial contact at the end of the first walking training session with a Wearable Power-Assist Locomotor (WPAL) in novice healthy users. Eight healthy volunteers with no walking experience with the WPAL participated in this study. The participants walked back and forth on a straight 5 m path for 60 min with the WPAL. We calculated the differences between the participant’s foot-off and initial contact timing, as well as the start and end timing of the pre-programmed WPAL lower-limb swing time. Data were divided into four segments of 100 data points. We calculated the median of the last 100 data points and examined whether it falls within an appropriate time range. The foot-off timing tended to be within the appropriate time range (median, −0.44 s); however, the initial contact timing was earlier than the appropriate time range (median, −0.17 s). Although some participants performed foot-off within the appropriate time range, all performed initial contact earlier than the appropriate time range. These findings may contribute to establishing practice protocols for stable walking with wearable robotic exoskeletons in patients with spinal cord injury.
Full article
(This article belongs to the Special Issue Bionic Technology—Robotic Exoskeletons and Prostheses: 3rd Edition)
►
Show Figures
Open AccessSystematic Review
Smart Ring in Clinical Medicine: A Systematic Review
by
Eun Jeong Gong, Chang Seok Bang, Jae Jun Lee and Gwang Ho Baik
Biomimetics 2025, 10(12), 819; https://doi.org/10.3390/biomimetics10120819 - 5 Dec 2025
Abstract
Background: Smart rings enable continuous physiological monitoring through finger-worn sensors. Despite growing consumer adoption, their clinical utility beyond sleep tracking remains unclear. Objectives: To systematically review evidence for smart ring applications in clinical medicine, assess measurement accuracy, and evaluate clinical outcomes. Methods: We
[...] Read more.
Background: Smart rings enable continuous physiological monitoring through finger-worn sensors. Despite growing consumer adoption, their clinical utility beyond sleep tracking remains unclear. Objectives: To systematically review evidence for smart ring applications in clinical medicine, assess measurement accuracy, and evaluate clinical outcomes. Methods: We searched PubMed/MEDLINE, Embase, Cochrane Library, and Web of Science through 31 July 2025. Two reviewers independently screened studies and extracted data. Risk of bias was assessed using ROBINS-I and RoB 2.0. Results: From 862 citations, 107 studies met inclusion criteria including approximately 100,000 participants. Studies were equally distributed between sleep (47.7%) and non-sleep applications (52.3%). Smart rings demonstrated high accuracy: heart rate r2 = 0.996, heart rate variability r2 = 0.980, and sleep detection 93–96% sensitivity. Predictive capabilities included COVID-19 detection 2.75 days pre-symptom (82% sensitivity), inflammatory bowel disease flare prediction 7 weeks early (72% accuracy), and bipolar episode detection 3–7 days early (79% sensitivity). However, 65% of studies had moderate-to-high bias risk. Limitations included small samples, proprietary algorithms (89%), poor diversity reporting (35%), and declining adherence (80% at 3 months to 43% at 12 months). Conclusion: Smart rings have evolved into clinical tools capable of early disease detection. However, algorithmic opacity, population homogeneity, and adherence challenges require attention before widespread implementation.
Full article
(This article belongs to the Special Issue Artificial Intelligence (AI) in Biomedical Engineering: 2nd Edition)
►▼
Show Figures

Figure 1
Open AccessReview
Artificial Intelligence in Thermal Ablation: Current Applications and Future Directions in Microwave Technologies
by
Kealan Westby, Daniel Westby, Kevin McKevitt and Brian M. Moloney
Biomimetics 2025, 10(12), 818; https://doi.org/10.3390/biomimetics10120818 - 5 Dec 2025
Abstract
Artificial intelligence (AI) is increasingly shaping interventional oncology, with growing interest in its application across thermal ablation modalities such as radiofrequency ablation (RFA), cryoablation, high-intensity focused ultrasound (HIFU), and microwave ablation (MWA). This review characterises the current landscape of AI-enhanced thermal ablation, with
[...] Read more.
Artificial intelligence (AI) is increasingly shaping interventional oncology, with growing interest in its application across thermal ablation modalities such as radiofrequency ablation (RFA), cryoablation, high-intensity focused ultrasound (HIFU), and microwave ablation (MWA). This review characterises the current landscape of AI-enhanced thermal ablation, with particular emphasis on emerging opportunities within MWA technologies. We examine how AI-driven methods—convolutional neural networks, radiomics, and reinforcement learning—are being applied to optimise patient selection, automate image segmentation, predict treatment response, and support real-time procedural guidance. Comparative insights are provided across ablation modalities to contextualise the unique challenges and opportunities presented by microwave systems. Emphasis is placed on integrating AI into clinical workflows, ensuring safety, improving consistency, and advancing personalised therapy. Tables summarising AI methods and applications, a conceptual workflow figure, and a research gap analysis for MWA are included to guide future work. While existing applications remain largely investigational, the convergence of AI with advanced imaging and energy delivery holds significant promise for precision oncology. We conclude with a roadmap for research and clinical translation, highlighting the need for prospective validation, regulatory clarity, and interdisciplinary collaboration to support the adoption of AI-enabled thermal ablation into routine practice.
Full article
(This article belongs to the Special Issue Artificial Intelligence (AI) in Biomedical Engineering: 2nd Edition)
►▼
Show Figures

Figure 1
Open AccessArticle
A Biomimetic Roll-Type Tactile Sensor Inspired by the Meissner Corpuscle for Enhanced Dynamic Performance
by
Kunio Shimada
Biomimetics 2025, 10(12), 817; https://doi.org/10.3390/biomimetics10120817 - 5 Dec 2025
Abstract
Highly sensitive bioinspired cutaneous receptors are essential for realistic human-robot interaction. This study presents a biomimetic tactile sensor morphologically modeled after the Meissner corpuscle, designed for high dynamic sensitivity achieved using a coiled configuration. Our proposed electrolytic polymerization technique with magnet-responsive hybrid fluid
[...] Read more.
Highly sensitive bioinspired cutaneous receptors are essential for realistic human-robot interaction. This study presents a biomimetic tactile sensor morphologically modeled after the Meissner corpuscle, designed for high dynamic sensitivity achieved using a coiled configuration. Our proposed electrolytic polymerization technique with magnet-responsive hybrid fluid (HF) was employed to fabricate soft, elastic rubber sensors with embedded coiled electrodes. The coiled configuration, optimized by electrolytic polymerization, exhibited high responsiveness to dynamic motions including pressing, pinching, twisting, bending, and shearing. The mechanism of the haptic property was analyzed by electrochemical impedance spectroscopy (EIS), revealing that reactance variations define an equivalent electric circuit (EEC) whose resistance (Rp), capacitance (Cp), and inductance (Lp) change with applied force; these changes correspond to mechanical deformation and the resulting variation in the sensor’s built-in voltage. The roll-type Meissner-inspired sensor demonstrated fast-adapting behavior and broadband vibratory sensitivity, indicating its potential for high-performance tactile and auditory sensing. These findings confirm the feasibility of electrolytically polymerized hybrid fluid rubber as a platform for next-generation bioinspired haptic interfaces.
Full article
(This article belongs to the Special Issue Smart Artificial Muscles and Sensors for Bio-Inspired Robotics)
►▼
Show Figures

Figure 1
Open AccessReview
Biomimetic Artificial Muscles Inspired by Nature’s Volume-Change Actuation Mechanisms
by
Hyunsoo Kim, Minwoo Kim, Yonghun Noh and Yongwoo Jang
Biomimetics 2025, 10(12), 816; https://doi.org/10.3390/biomimetics10120816 - 4 Dec 2025
Abstract
Artificial muscles translate the biological principles of motion into soft, adaptive, and multifunctional actuation. This review accordingly highlights research into natural actuation strategies, such as skeletal muscles, muscular hydrostats, spider silk, and plant turgor systems, to reveal the principles underlying energy conversion and
[...] Read more.
Artificial muscles translate the biological principles of motion into soft, adaptive, and multifunctional actuation. This review accordingly highlights research into natural actuation strategies, such as skeletal muscles, muscular hydrostats, spider silk, and plant turgor systems, to reveal the principles underlying energy conversion and deformation control. Building on these insights, polymer-based artificial muscles based on these principles, including pneumatic muscles, dielectric elastomers, and ionic electroactive systems, are described and their capabilities for efficient contraction, bending, and twisting with tunable stiffness and responsiveness are summarized. Furthermore, the abilities of carbon nanotube composites and twisted yarns to amplify nanoscale dimensional changes through hierarchical helical architectures and achieve power and work densities comparable to those of natural muscle are discussed. Finally, the integration of these actuators into soft robotic systems is explored through biomimetic locomotion and manipulation systems ranging from jellyfish-inspired swimmers to octopus-like grippers, gecko-adhesive manipulators, and beetle-inspired flapping wings. Despite rapid progress in the development of artificial muscles, challenges remain in achieving long-term durability, energy efficiency, integrated sensing, and closed-loop control. Therefore, future research should focus on developing intelligent muscular systems that combine actuation, perception, and self-healing to advance progress toward realizing autonomous, lifelike machines that embody the organizational principles of living systems.
Full article
(This article belongs to the Special Issue Bionic Technology—Robotic Exoskeletons and Prostheses: 3rd Edition)
►▼
Show Figures

Figure 1
Open AccessArticle
Robot-Assisted Dynamic Interaction of Hemiplegic Upper Limbs with Complex Objects Based on Enhanced Feedforward-Impedance Control
by
Jing Bai, Ruoyi Zhu, Yicheng Jiang and Xiaofei Du
Biomimetics 2025, 10(12), 815; https://doi.org/10.3390/biomimetics10120815 - 4 Dec 2025
Abstract
►▼
Show Figures
Current upper-limb rehabilitation robots primarily focus on training tasks involving free movements or static interactions with rigid objects. These paradigms lack simulation of complex object manipulation tasks encountered in daily life, thereby limiting the training of patients’ high-level sensorimotor integration capabilities. To address
[...] Read more.
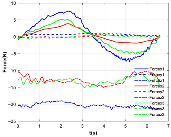
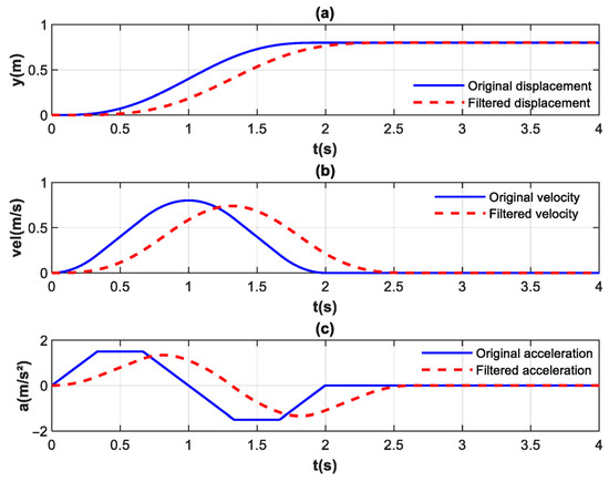
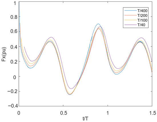
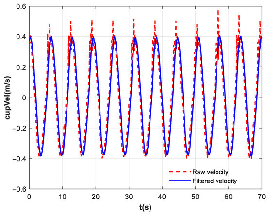
Current upper-limb rehabilitation robots primarily focus on training tasks involving free movements or static interactions with rigid objects. These paradigms lack simulation of complex object manipulation tasks encountered in daily life, thereby limiting the training of patients’ high-level sensorimotor integration capabilities. To address this gap, this study proposes an innovative robotic rehabilitation training system designed for functional occupational therapy. Specifically, the task of transporting a water cup was abstracted into a cup–ball system integrated with a robotic arm. The ball was modeled as a point mass, and kinematic and dynamic analyses of the system were conducted. A visual tracking method was employed to monitor the ball’s motion and calculate its slosh angle. Owing to the impaired fine motor control in stroke patients, a sloshing suppression control strategy integrating exponential filtering, feedforward force compensation, and impedance control was proposed to prevent the ball from spilling. Experiments validated the effectiveness of the proposed method. The results indicated that with full compensation, the oscillation rate of the ball was significantly reduced, and the smoothness of the hand force was markedly improved. This study presents an effective method for addressing dynamic uncertainty in rehabilitation robot training, thus significantly improving the functional relevance of the training.
Full article

Figure 1
Open AccessArticle
A Novel Single-Loop Mechanism for Neck Rehabilitation
by
Raffaele Di Gregorio
Biomimetics 2025, 10(12), 814; https://doi.org/10.3390/biomimetics10120814 - 4 Dec 2025
Abstract
Trauma, amyotrophic lateral sclerosis (ALS), and head and neck cancer (HNC), which cause neck pain, are only some of the possible issues requiring suitable therapy for alleviating or even healing the neck dysfunctions they cause. Static and dynamic neck braces are commonly employed
[...] Read more.
Trauma, amyotrophic lateral sclerosis (ALS), and head and neck cancer (HNC), which cause neck pain, are only some of the possible issues requiring suitable therapy for alleviating or even healing the neck dysfunctions they cause. Static and dynamic neck braces are commonly employed in therapies for neck recovery and in the necessary measurements to quantify neck impairment or to set up a suitable therapy. Serial and parallel mechanisms, among others, have been proposed for neck braces. Here, a novel single-loop spherical mechanism is proposed for a possible neck brace. Its kinematics and mobility analyses are presented with reference to their specific applications in a neck brace. Then, dimensional synthesis with a set of neck brace’s kinematic requirements is addressed to compute the geometric constants that guarantee an orientation workspace similar to that of the human neck. The presented analyses and syntheses show that the new proposal is effective and can alleviate some concerns about already-proposed mechanisms for neck braces.
Full article
(This article belongs to the Section Biomimetic Design, Constructions and Devices)
►▼
Show Figures

Figure 1
Open AccessReview
Design and Sensing Frameworks of Soft Octopus-Inspired Grippers Toward Artificial Intelligence
by
Seunghoon Choi, Junwon Jang, Junho Lee and Da Wan Kim
Biomimetics 2025, 10(12), 813; https://doi.org/10.3390/biomimetics10120813 - 4 Dec 2025
Abstract
Soft robotics provides compliance, safe interaction, and adaptability that rigid systems cannot easily achieve. The octopus offers a powerful biological model, combining reversible suction adhesion, continuum arm motion, and reliable performance in wet environments. This review examines recent octopus-inspired soft grippers through three
[...] Read more.
Soft robotics provides compliance, safe interaction, and adaptability that rigid systems cannot easily achieve. The octopus offers a powerful biological model, combining reversible suction adhesion, continuum arm motion, and reliable performance in wet environments. This review examines recent octopus-inspired soft grippers through three functional dimensions: structural and sensing devices, control strategies, and AI-driven applications. We summarize suction-cup geometries, tentacle-like actuators, and hybrid structures, together with optical, triboelectric, ionic, and deformation-based sensing modules for contact detection, force estimation, and material recognition. We then discuss control frameworks that regulate suction engagement, arm curvature, and feedback-based grasp adjustment. Finally, we outline AI-assisted and neuromorphic-oriented approaches that use event-driven sensing and distributed, spike-inspired processing to support adaptive and energy-conscious decision-making. By integrating developments across structure, sensing, control, and computation, this review describes how octopus-inspired grippers are advancing from morphology-focused designs toward perception-enabled and computation-aware robotic platforms.
Full article
(This article belongs to the Special Issue Bioinspired Engineered Systems)
►▼
Show Figures

Graphical abstract
Open AccessArticle
Biocompatible Copolymerized Gold Nanoclusters: Anti-TNF-α siRNA Binding, Cellular Uptake, Cytotoxicity, Oxidative Stress and Cell Cycle Effects In Vitro
by
Jananee Padayachee and Moganavelli Singh
Biomimetics 2025, 10(12), 812; https://doi.org/10.3390/biomimetics10120812 - 4 Dec 2025
Abstract
Small interfering RNAs (siRNAs) have emerged as a powerful tool in the treatment of aggressive cancers. By exploiting and mimicking the natural gene regulation mechanism of RNA interference (RNAi), they allow for sequence-specific silencing of aberrant genes. siRNA-mediated knockdown of the inflammatory cytokine
[...] Read more.
Small interfering RNAs (siRNAs) have emerged as a powerful tool in the treatment of aggressive cancers. By exploiting and mimicking the natural gene regulation mechanism of RNA interference (RNAi), they allow for sequence-specific silencing of aberrant genes. siRNA-mediated knockdown of the inflammatory cytokine tumour necrosis factor-alpha (TNF-α) presents a novel therapy for triple-negative breast cancer (TNBC). This study investigated the potential of novel biomimetic glutathione-synthesised gold nanoclusters (AuNCs) as siRNA delivery vehicles. AuNCs were functionalized with biocompatible chitosan and polyethene glycol, and their interactions with siRNAs were investigated through binding studies. In vitro cytotoxicity and cellular uptake were conducted in the human breast cancer (MCF-7), TNBC (MDA-MB-231), and embryonic kidney (HEK293) cells, while the effect of anti-TNF-α siRNA nanocomplexes on biological processes, such as oxidative stress, apoptosis, and cell cycle distribution, was investigated using flow cytometry. UV–visible and Fourier transform infrared spectroscopy, as well as transmission electron microscopy, confirmed the synthesis and functionalization of the AuNCs. Functionalized AuNCs (FAuNC) effectively bound and condensed siRNA and protected against nuclease degradation. AuNCs facilitated efficient cellular uptake and were well-tolerated in vitro. Anti-TNF-α siRNA treatment of the MDA-MB-231 cells increased apoptosis and oxidative stress levels, and affected cell cycle distribution. Although the overall knockdown was low, these FAuNCs exhibited favorable physicochemical characteristics, low cytotoxicity and good cellular uptake in vitro, warranting further optimisation for improved delivery of therapeutic siRNAs.
Full article
(This article belongs to the Special Issue Biomimicry and Functional Materials: 5th Edition)
►▼
Show Figures

Graphical abstract
Open AccessArticle
Design and Validation of a Piston-Driven Syringe-Extrusion Bioprinter Using an FDM Frame
by
Linlin Zhou and Siheng Su
Biomimetics 2025, 10(12), 811; https://doi.org/10.3390/biomimetics10120811 - 4 Dec 2025
Abstract
Direct ink writing (DIW) deposits viscous, shear-responsive inks at low temperature, enabling hydrogels and cell-laden bioinks for biomedical fabrication. Access to DIW remains limited by the cost of dedicated systems and the complexity of custom motion control. Repurposing fused deposition modeling (FDM) printers
[...] Read more.
Direct ink writing (DIW) deposits viscous, shear-responsive inks at low temperature, enabling hydrogels and cell-laden bioinks for biomedical fabrication. Access to DIW remains limited by the cost of dedicated systems and the complexity of custom motion control. Repurposing fused deposition modeling (FDM) printers lowers these barriers by using accurate motion stages, open firmware, and familiar workflows while preserving build volume. In this study, three DIW actuator designs were implemented on an FDM frame. The first used a gear-and-rail transmission that converted stepper rotation to plunger travel. The second used a direct trapezoidal-screw pusher that increased force but reduced build-space clearance. The third relocated actuation to a remote piston-driven module that decoupled force generation from the printhead. The final architecture integrates the remote piston with partitioned control, where the printer executes motion and a programmable logic controller (PLC) manages extrusion. This arrangement reduces carried mass, preserves build space, and enables precise volumetric dosing with fast response. On a standard desktop frame, the system achieved controllable deposition of an agar/alginate ink using off-the-shelf electronics and modest modifications. This approach promotes sustainable and accessible innovation by repurposing existing FDM printers with open-source hardware and modular components. The resulting platform supports biomimetic biofabrication by combining mechanical efficiency, environmental responsibility, and cost-effective design.
Full article
(This article belongs to the Special Issue Biomimetic Application on Applied Bioengineering)
►▼
Show Figures

Figure 1
Open AccessArticle
Increasing the Reliability and Versality of Jellyfish Biohybrid Vehicles via Species Selection and Rhopalia Removal
by
Simon R. Anuszczyk, Noa Yoder, John H. Costello, John O. Dabiri, Brad J. Gemmell, Kelsi M. Rutledge and Sean P. Colin
Biomimetics 2025, 10(12), 810; https://doi.org/10.3390/biomimetics10120810 - 3 Dec 2025
Abstract
Jellyfish biohybrid robots have been demonstrated to be successfully programmed to perform vertical sampling profiles of the ocean water column. However, the jellyfish’s endogenous swimming behavior can interfere with the controlled swim cycles, decreasing performance. Further, the model animal used to date, Aurelia
[...] Read more.
Jellyfish biohybrid robots have been demonstrated to be successfully programmed to perform vertical sampling profiles of the ocean water column. However, the jellyfish’s endogenous swimming behavior can interfere with the controlled swim cycles, decreasing performance. Further, the model animal used to date, Aurelia aurita, is a relatively slow, weakly swimming species. To enhance the performance of the biohybrid vehicles, we tested whether removing the swimming pacemaker of the jellyfish, the rhopalia, eliminated endogenous movements and enhanced responsiveness of the jellyfish to the swim controller. Further, we tested the responsiveness of two fast-swimming jellyfish species, the rhizostome Cassiopea spp. and the cubomedusae Alatina alata. We found in field trials, where the jellyfish swam controlled vertical profiles in the ocean, that removal of rhopalia eliminated all endogenous behaviors and greatly improved the responsiveness of the jellyfish to the swim controller. This was especially true for species with strong endogenous behaviors that prevented the controller from manipulating swim pulses. Further, we found that both Cassiopea spp. and A. alata were highly responsive to the swim controller and that these faster-swimming jellyfish species greatly increased the speed at which the biohybrid vehicle could traverse vertical profiles in the water column. These enhancements greatly increase the reliability and versatility of jellyfish biohybrid robot vehicles.
Full article
(This article belongs to the Section Biomimetic Design, Constructions and Devices)
►▼
Show Figures

Graphical abstract
Open AccessArticle
Intercultural and Active Classroom for Teaching and Learning Biomimicry: A Case Study with Singaporean and American Undergraduate Engineering Students
by
Aminul Islam, Felix Lena Stephanie, Andres F. Arrieta and Hortense Le Ferrand
Biomimetics 2025, 10(12), 809; https://doi.org/10.3390/biomimetics10120809 - 3 Dec 2025
Abstract
Biomimicry is an engineering field where inspiration from nature is leveraged to engineer sustainable solutions. Biomimicry is not a subject typically taught in undergraduate curriculum. This study explores the effects of intercultural context on the learning of biomimicry. Visiting students from the United
[...] Read more.
Biomimicry is an engineering field where inspiration from nature is leveraged to engineer sustainable solutions. Biomimicry is not a subject typically taught in undergraduate curriculum. This study explores the effects of intercultural context on the learning of biomimicry. Visiting students from the United States of America and home students from Singapore gathered for a one-day workshop on biomimicry in Singapore. The workshop consisted of a lecture with in-class activities and laboratory experiments in groups, followed by students’ presentations. The students’ responses to pre- and post-workshop surveys are analyzed, along with their answers from the in-class activities and their presentations. The results show that the international context of the biomimicry workshop made an overall positive contribution to the motivation, appreciation, and enjoyment of all students. Some differences were observed between the visiting and home students, which likely stemmed from the visiting students being better prepared for the event. However, despite high levels of enjoyment and communication, the learning outcomes lacked technical depth and sustainability focus. This suggests the need for a consistent and higher level of preparation and guidance for all participating students on these topics. This study serves as a preliminary example of a workshop that explores the global theme of biomimicry in an international and intercultural setting. Similar workshops could be conducted with larger and more diverse student populations for more robust results. This work could inspire other educators in engineering to explore ways to prepare students for more holistic education.
Full article
(This article belongs to the Section Development of Biomimetic Methodology)
►▼
Show Figures

Graphical abstract
Open AccessArticle
Hybrid Convolutional Vision Transformer for Robust Low-Channel sEMG Hand Gesture Recognition: A Comparative Study with CNNs
by
Ruthber Rodriguez Serrezuela, Roberto Sagaro Zamora, Daily Milanes Hermosilla, Andres Eduardo Rivera Gomez and Enrique Marañon Reyes
Biomimetics 2025, 10(12), 806; https://doi.org/10.3390/biomimetics10120806 - 3 Dec 2025
Abstract
Hand gesture classification using surface electromyography (sEMG) is fundamental for prosthetic control and human–machine interaction. However, most existing studies focus on high-density recordings or large gesture sets, leaving limited evidence on performance in low-channel, reduced-gesture configurations. This study addresses this gap by comparing
[...] Read more.
Hand gesture classification using surface electromyography (sEMG) is fundamental for prosthetic control and human–machine interaction. However, most existing studies focus on high-density recordings or large gesture sets, leaving limited evidence on performance in low-channel, reduced-gesture configurations. This study addresses this gap by comparing a classical convolutional neural network (CNN), inspired by Atzori’s design, with a Convolutional Vision Transformer (CViT) tailored for compact sEMG systems. Two datasets were evaluated: a proprietary Myo-based collection (10 subjects, 8 channels, six gestures) and a subset of NinaPro DB3 (11 transradial amputees, 12 channels, same gestures). Both models were trained using standardized preprocessing, segmentation, and balanced windowing procedures. Results show that the CNN performs robustly on homogeneous signals (Myo: 94.2% accuracy) but exhibits increased variability in amputee recordings (NinaPro: 92.0%). In contrast, the CViT consistently matches or surpasses the CNN, reaching 96.6% accuracy on Myo and 94.2% on NinaPro. Statistical analyses confirm significant differences in the Myo dataset. The objective of this work is to determine whether hybrid CNN–ViT architectures provide superior robustness and generalization under low-channel sEMG conditions. Rather than proposing a new architecture, this study delivers the first systematic benchmark of CNN and CViT models across amputee and non-amputee subjects using short windows, heterogeneous signals, and identical protocols, highlighting their suitability for compact prosthetic–control systems.
Full article
(This article belongs to the Special Issue New Biomimetic Advances in Signal and Image Processing for Biomedical Applications 2025)
►▼
Show Figures

Graphical abstract
Open AccessArticle
Portfolio Optimization: A Neurodynamic Approach Based on Spiking Neural Networks
by
Ameer Hamza Khan, Aquil Mirza Mohammed and Shuai Li
Biomimetics 2025, 10(12), 808; https://doi.org/10.3390/biomimetics10120808 - 2 Dec 2025
Abstract
►▼
Show Figures
Portfolio optimization is fundamental to modern finance, enabling investors to construct allocations that balance risk and return while satisfying practical constraints. When transaction costs and cardinality limits are incorporated, the problem becomes a computationally demanding mixed-integer quadratic program. This work demonstrates how principles
[...] Read more.
Portfolio optimization is fundamental to modern finance, enabling investors to construct allocations that balance risk and return while satisfying practical constraints. When transaction costs and cardinality limits are incorporated, the problem becomes a computationally demanding mixed-integer quadratic program. This work demonstrates how principles from biomimetics—specifically, the computational strategies employed by biological neural systems—can inspire efficient algorithms for complex optimization problems. We demonstrate that this problem can be reformulated as a constrained quadratic program and solved using dynamics inspired by spiking neural networks. Building on recent theoretical work showing that leaky integrate-and-fire dynamics naturally implement projected gradient descent for convex optimization, we develop a solver that alternates between continuous gradient flow and discrete constraint projections. By mimicking the event-driven, energy-efficient computation observed in biological neurons, our approach offers a biomimetic pathway to solving computationally intensive financial optimization problems. We implement the approach in Python and evaluate it on portfolios of 5 to 50 assets using five years of market data, comparing solution quality against mixed-integer solvers (ECOS_BB), convex relaxations (OSQP), and particle swarm optimization. Experimental results demonstrate that the SNN solver achieves the highest expected return (0.261% daily) among all evaluated methods on the 50-asset portfolio, outperforming exact MIQP (0.225%) and PSO (0.092%), with runtimes ranging from 0.5 s for small portfolios to 8.4 s for high-quality schedules on large portfolios. While current Python runtimes are comparable to existing approaches, the key contribution is establishing a path to neuromorphic hardware deployment: specialized SNN processors could execute these dynamics orders of magnitude faster than conventional architectures, enabling real-time portfolio rebalancing at institutional scale.
Full article

Graphical abstract
Open AccessReview
Stimuli-Responsive Chitosan Hydrogels for Diabetic Wound Management: Comprehensive Review of Emerging Strategies
by
Selvam Sathiyavimal, Ezhaveni Sathiyamoorthi, Devaraj Bharathi and Perumal Karthiga
Biomimetics 2025, 10(12), 807; https://doi.org/10.3390/biomimetics10120807 - 2 Dec 2025
Abstract
Diabetic wounds remain a major clinical challenge due to impaired angiogenesis, chronic inflammation, oxidative stress, and persistent infection, all of which delay tissue repair. Conventional dressings provide only passive protection and fail to modulate the wound microenvironment effectively. Chitosan (CS) is a naturally
[...] Read more.
Diabetic wounds remain a major clinical challenge due to impaired angiogenesis, chronic inflammation, oxidative stress, and persistent infection, all of which delay tissue repair. Conventional dressings provide only passive protection and fail to modulate the wound microenvironment effectively. Chitosan (CS) is a naturally derived polysaccharide inspired by biological structures in crustaceans and fungi. It has emerged as a multifunctional biomimetic polymer with excellent biocompatibility, antimicrobial activity, and hemostatic properties. Recent advances in biomimetic materials science have enabled the development of stimuli-responsive CS hydrogels. These systems can sense physiological cues such as pH, temperature, glucose level, light, and reactive oxygen species (ROS). These smart systems emulate natural wound healing mechanisms and adapt to environmental changes. They release bioactive agents on demand and promote tissue homeostasis through controlled angiogenesis and collagen remodeling. This review discusses the biomimetic design rationale, crosslinking mechanism, and emerging strategies underlying single and dual-responsive hydrogel systems. It further emphasizes how nature-inspired structural and functional designs accelerate diabetic wound repair and outlines the current challenges and future prospects for translating these bioinspired intelligent hydrogels into clinical wound care applications.
Full article
(This article belongs to the Special Issue Functional Biomimetic Materials and Devices for Biomedical Applications: 5th Edition)
►▼
Show Figures

Graphical abstract
Open AccessArticle
Comparative CFD Simulations of a Soft Robotic Fish for Undulatory Swimming Behaviors
by
Gonca Ozmen Koca, Mustafa Ay, Cafer Bal, Deniz Korkmaz and Zuhtu Hakan Akpolat
Biomimetics 2025, 10(12), 805; https://doi.org/10.3390/biomimetics10120805 - 2 Dec 2025
Abstract
Studies on autonomous underwater vehicles (AUVs) have gained momentum in recent years, and a special type of AUV, the robotic fish, has become a significant topic, with a superior maneuverability to traditional AUVs. In this paper, a prediction strategy for the hydrodynamic performance
[...] Read more.
Studies on autonomous underwater vehicles (AUVs) have gained momentum in recent years, and a special type of AUV, the robotic fish, has become a significant topic, with a superior maneuverability to traditional AUVs. In this paper, a prediction strategy for the hydrodynamic performance of a robotic fish to analyze undulatory swimming behaviors is proposed. The two-dimensional robotic fish model for computational fluid dynamics (CFD) simulations is constructed, and a dynamic network method is applied to orient the generated network based on the wavy motion. For the thrust force of the fin, a body traveling wave is derived. In the simulations, the effects of kinematic parameters such as flapping frequency and speed on swimming efficiency and drag are analyzed, and thrust force production, power expenditure, and overall efficiency of swimming are examined. Later, a deep learning-based prediction model is designed from the obtained parameters, and force predictions are performed. Long short-term memory (LSTM)-, convolutional neural network (CNN)-, and gated recurrent network (GRU)-based time series prediction models are used, and their variations are compared. In these experiments, while the CNN-GRU achieves the higher prediction performance for the root mean square error, with 0.0228, other approaches give a lower performance, between 0.0233 and 0.0359. The proposed method demonstrates a superior performance in CNN and LSTM models and exhibits lower prediction errors.
Full article
(This article belongs to the Section Locomotion and Bioinspired Robotics)
►▼
Show Figures

Figure 1
Open AccessArticle
Biomimetic Design and Extrusion-Based 3D Printing of TiO2 Filled Composite Sphere Scaffolds: Energy-Absorbing and Electromagnetic Properties
by
Marsel Akhmatnabiev, Alexander Petrov, Mikhail Timoshenko, Maxim Sychov, Semyon Diachenko, Maxim Arsentev, Alexander Bakulin, Ekaterina Skorb and Michael Nosonovsky
Biomimetics 2025, 10(12), 804; https://doi.org/10.3390/biomimetics10120804 - 1 Dec 2025
Abstract
The development of composite materials with tunable dielectric properties that preserve mechanical performance is essential for next-generation radio engineering devices. In this study, composite filaments based on acrylonitrile–butadiene–styrene (ABS) with 0–40 wt.% TiO2 solid loading were developed for 3D printing. The dielectric
[...] Read more.
The development of composite materials with tunable dielectric properties that preserve mechanical performance is essential for next-generation radio engineering devices. In this study, composite filaments based on acrylonitrile–butadiene–styrene (ABS) with 0–40 wt.% TiO2 solid loading were developed for 3D printing. The dielectric permittivity and mechanical properties of the 3D-printed parts strongly depend on the TiO2 content. Using these filaments, we fabricated biomimetic lattices based on triply periodic minimal surfaces (TPMSs) using fused filament fabrication (FFF). The intrinsic porosity of the TPMS lattices further enables tuning of dielectric permittivity, facilitating their integration into gradient-index components. This multifunctionality was demonstrated by fabricating a spherical Luneburg lens prototype, which exhibited stable antenna performance in the 8.0–12.5 GHz frequency range. The results confirm that TPMS lattices based on the ABS-TiO2 composite can simultaneously deliver mechanical robustness and dielectric tunability, opening new pathways toward multifunctional components for advanced radio engineering systems and beyond.
Full article
(This article belongs to the Special Issue Biomimetic Energy-Absorbing Materials or Structures)
►▼
Show Figures

Figure 1
Open AccessArticle
AI-Driven Trajectory Planning of Dentatron: A Compact 4-DOF Dental Robotic Manipulator
by
Amr Ahmed Azhari, Walaa Magdy Ahmed, Mohamed Fawzy El-Khatib and A. Abdellatif
Biomimetics 2025, 10(12), 803; https://doi.org/10.3390/biomimetics10120803 - 1 Dec 2025
Abstract
Dental caries is one of the most widespread chronic infectious diseases for humans. It results in localized destruction of dental hard tissues and has negative impacts on systemic health. Aims: This study aims to design, model, and control a novel 4-DOF dental
[...] Read more.
Dental caries is one of the most widespread chronic infectious diseases for humans. It results in localized destruction of dental hard tissues and has negative impacts on systemic health. Aims: This study aims to design, model, and control a novel 4-DOF dental robotic manipulator, Dentatron, specifically tailored for dental applications. The objectives were to (1) develop a compact robotic arm optimized for dental workspace constraints, (2) implement and compare three controllers—Computed Torque Control (CTC), Fuzzy Logic Control (FLC), and Neural Network Adaptive Control (NNAC), (3) evaluate tracking accuracy, transient response, and robustness in step and trajectory tasks, and (4) assess the potential of adaptive neural controllers for future clinical integration. Materials and Methods: The Dentatron system integrates a custom-designed robotic manipulator with adaptive controllers. The methodology consists of five main stages: robot modeling, control design, neural network adaptation, training, and evaluation. Simulations were performed to evaluate performance across joint tracking and Cartesian trajectory tasks using MATLAB 2022. Human-inspired trajectory design is fundamental to the Dentatron control and simulation framework to emulate the continuous curvature and minimum jerk characteristics of human upper-limb motion. The desired end-effector paths were formulated using fifth-degree polynomial trajectories that produce bell-shaped velocity profiles with gradual acceleration changes. Results: The study revealed that the Neural Network Adaptive Controller (NNAC) achieved the fastest convergence and lowest tracking error (<3 mm RMSE), consistently outperforming Fuzzy Logic Control (FLC) and Computed Torque Control (CTC). NNAC consistently provided precise joint tracking with minimal overshoot, while FLC ensured smoother but slower responses, and CTC exhibited large overshoot and persistent oscillations, requiring precise modeling to remain competitive. Conclusion: NNAC demonstrated the most robust and accurate control performance, highlighting its promise for safe, precise, and clinically adaptable robotic assistance in dentistry. Dentatron represents a step toward the development of compact dental robots capable of enhancing the precision and efficiency of future dental procedures.
Full article
(This article belongs to the Section Locomotion and Bioinspired Robotics)
►▼
Show Figures

Figure 1
Open AccessReview
Advances in Computational Modeling and Machine Learning of Cellulosic Biopolymers: A Comprehensive Review
by
Sharmi Mazumder, Mohammad Hossein Golbabaei and Ning Zhang
Biomimetics 2025, 10(12), 802; https://doi.org/10.3390/biomimetics10120802 - 1 Dec 2025
Abstract
The hierarchical structure and multifunctional properties of bio-based cellular materials, particularly cellulose, hemicellulose, and lignin, have attracted increasing attention and interest due to their sustainability and versatility. Recent advances in computational modeling and machine learning strategies have provided transformative insights into the molecular,
[...] Read more.
The hierarchical structure and multifunctional properties of bio-based cellular materials, particularly cellulose, hemicellulose, and lignin, have attracted increasing attention and interest due to their sustainability and versatility. Recent advances in computational modeling and machine learning strategies have provided transformative insights into the molecular, mechanical, thermal, and electronic behaviors of these biopolymers. This review categorizes the conducted studies based on key material properties and discusses the computational methods utilized, including quantum mechanical approaches, atomistic and coarse-grained molecular dynamics, finite element modeling, and machine learning techniques. For each property, such as structural, mechanical, thermal, and electronic, we have analyzed the progress made in understanding inter- and intra-molecular interactions, deformation mechanisms, phase behavior, and functional performance. For instance, atomistic simulations have shown that cellulose nanocrystals exhibit a highly anisotropic elastic response, with axial elastic moduli ranging from approximately 100 to 200 GPa. Similarly, thermal transport studies have shown that the thermal conductivity along the chain axis (≈5.7 W m−1 K−1) is nearly an order of magnitude higher than that in the transverse direction (≈0.7 W m−1 K−1). In recent years, this research area has also experienced rapid advancement in data-driven methodologies, with the number of machine learning applications for biopolymer systems increasing more than fourfold over the past five years. By bridging multiscale modeling and data-driven approaches, this review aims to illustrate how these techniques can be integrated into a unified framework to accelerate the design and discovery of high-performance bioinspired materials. Eventually, we have discussed emerging opportunities in multiscale modeling and data-driven discovery to outline future directions for the design and application of high-performance bioinspired materials. This review aims to bridge the gap between molecular-level understanding and macroscopic functionality, thereby supporting the rational design of next-generation sustainable materials.
Full article
(This article belongs to the Special Issue Advances in Biomaterials, Biocomposites and Biopolymers 2025)
►▼
Show Figures

Graphical abstract
Open AccessArticle
Design and Characterization of Sustainable PLA-Based Systems Modified with a Rosin-Derived Resin: Structure–Property Relationships and Functional Performance
by
Harrison de la Rosa-Ramírez, Miguel Aldas, Cristina Pavon, Franco Dominici, Marco Rallini, Debora Puglia, Luigi Torre, Juan López-Martínez and María Dolores Samper
Biomimetics 2025, 10(12), 801; https://doi.org/10.3390/biomimetics10120801 - 1 Dec 2025
Abstract
The design of sustainable polymer systems with tunable properties is essential for next-generation functional materials. This study examines the influence of a phenol-free modified rosin resin (Unik Print™ 3340, UP)—a maleic anhydride- and fumaric acid-modified gum rosin—on the structural, thermal, rheological, and mechanical
[...] Read more.
The design of sustainable polymer systems with tunable properties is essential for next-generation functional materials. This study examines the influence of a phenol-free modified rosin resin (Unik Print™ 3340, UP)—a maleic anhydride- and fumaric acid-modified gum rosin—on the structural, thermal, rheological, and mechanical behavior of four poly(lactic acid) (PLA) grades with different molecular weights and crystallinity. Blends containing 3 phr of UP were prepared by melt compounding. Thermogravimetric analysis showed that the incorporation of UP did not alter the thermal degradation of PLA, confirming stability retention. In contrast, differential scanning calorimetry revealed that UP affected thermal transitions, suppressing crystallization and melting in amorphous PLA grades and shifting the crystallization temperature to lower values in semi-crystalline grades. The degree of crystallinity decreased for low-molecular-weight semi-crystalline PLA but slightly increased in higher-molecular-weight samples. Mechanical tests indicated that UP acted as a physical modifier, increasing toughness by over 25% for all PLA grades and up to 60% in the amorphous, low-molecular-weight grade. Rheological measurements revealed moderate viscosity variations, while FESEM analysis confirmed microstructural features consistent with improved ductility. Overall, UP resin enables fine tuning of the structure–property relationships of PLA without compromising stability, offering a sustainable route for developing bio-based polymer systems with enhanced mechanical performance and potential use in future biomimetic material designs.
Full article
(This article belongs to the Special Issue Next-Generation 3D Bioprinting and Additive Manufacturing: From Digital Design to Functional Biomimetic Systems)
►▼
Show Figures

Graphical abstract
Highly Accessed Articles
Latest Books
E-Mail Alert
News
Topics
Topic in
ASI, Bioengineering, C, Healthcare, Biomimetics, Processes
Biomedical Engineering, Healthcare and Sustainability, 2nd Edition
Topic Editors: Teen-Hang Meen, Chun-Yen Chang, Charles Tijus, Po-Lei Lee, Yi-Chun DuDeadline: 31 May 2026
Topic in
Biomimetics, Electronics, Gels, Robotics, Technologies
Bio-Inspired, Biomedical, Surgical, Social and AI-Integrated Bio-Mechanical Robotics
Topic Editors: Yanen Wang, Chenguang YangDeadline: 31 July 2026
Topic in
Molecules, Biomimetics, Chemosensors, Life, AI, Sci
Recent Advances in Chemical Artificial Intelligence
Topic Editors: Pier Luigi Gentili, Jerzy Górecki, David C Magri, Pasquale StanoDeadline: 15 October 2026
Topic in
Biophysica, Cells, IJMS, Materials, Micro, Biomimetics, Biomolecules
Biofabrication Technologies for Tissue Repair and Regeneration
Topic Editors: Lorenzo Vannozzi, Eugenio Redolfi RivaDeadline: 20 February 2027
Conferences
Special Issues
Special Issue in
Biomimetics
Bio-Inspired Propulsion and Fluid Mechanics
Guest Editors: Alexander Alexeev, Xue Guang MengDeadline: 20 December 2025
Special Issue in
Biomimetics
Exploration of Bio-Inspired Computing: 2nd Edition
Guest Editors: Changsheng Zhang, Haitong ZhaoDeadline: 20 December 2025
Special Issue in
Biomimetics
Biomimetics in Intelligent Sensor: 2nd Edition
Guest Editors: Qian Wang, Kejun WangDeadline: 20 December 2025
Special Issue in
Biomimetics
Compliant vs Kinematic Morphing Architectures: Complementary or Alternatives—2nd Edition
Guest Editors: Antonio Concilio, Cristian Vendittozzi, Rosario Pecora, Salvatore AmeduriDeadline: 20 December 2025




