applsci-logo

Journal Browser

Journal Browser

Soil Dynamics and Earthquake Engineering

A special issue of Applied Sciences (ISSN 2076-3417). This special issue belongs to the section "Earth Sciences".

Deadline for manuscript submissions: 20 May 2026 | Viewed by 2636

Special Issue Editor


E-Mail Website
Guest Editor
Department of Fire & Emergency management, Kangwon National University, Samcheok-si 25949, Republic of Korea
Interests: earthquake; ground motion; earthquake early warning; seismic engineering; liquefaction; IoT sensor; GANs; data science

Special Issue Information

Dear Colleagues,

Recent advancements in AI technology have led to the development of various estimation and prediction methods. In the field of seismology, notable examples include earthquake magnitude and location prediction, phase picking, and artificial wave generation using GANs. In geology, AI-based estimation models are being developed for layer formation, significantly enhancing the accuracy of subsurface predictions.

However, regardless of how advanced AI technology becomes, progress will inevitably stagnate without a fundamental understanding of core principles. Therefore, it is essential to emphasize the theoretical foundations of AI. In advanced geological and seismic engineering research, it is necessary to focus not only on AI convergence but also on developing models that adhere to fundamental principles.

This Special Issue will cover a wide range of topics related to soil dynamics and earthquake engineering, including laboratory and in situ soil experiments, numerical modeling, seismic response analysis, earthquake ground motion studies, and seismic design and evaluation methods. We welcome contributions that integrate innovative approaches with fundamental principles, providing both practical and theoretical insights into the dynamics of the ground and its response to natural and man-made vibrations.

Prof. Dr. Jae-Kwang Ahn
Guest Editor

Manuscript Submission Information

Manuscripts should be submitted online at www.mdpi.com by registering and logging in to this website. Once you are registered, click here to go to the submission form. Manuscripts can be submitted until the deadline. All submissions that pass pre-check are peer-reviewed. Accepted papers will be published continuously in the journal (as soon as accepted) and will be listed together on the special issue website. Research articles, review articles as well as short communications are invited. For planned papers, a title and short abstract (about 100 words) can be sent to the Editorial Office for announcement on this website.

Submitted manuscripts should not have been published previously, nor be under consideration for publication elsewhere (except conference proceedings papers). All manuscripts are thoroughly refereed through a single-blind peer-review process. A guide for authors and other relevant information for submission of manuscripts is available on the Instructions for Authors page. Applied Sciences is an international peer-reviewed open access semimonthly journal published by MDPI.

Please visit the Instructions for Authors page before submitting a manuscript. The Article Processing Charge (APC) for publication in this open access journal is 2400 CHF (Swiss Francs). Submitted papers should be well formatted and use good English. Authors may use MDPI's English editing service prior to publication or during author revisions.

Keywords

  • geology
  • seismic engineering
  • earthquakes
  • seismology
  • geotechnical investigation
  • geotechnical engineering

Benefits of Publishing in a Special Issue

  • Ease of navigation: Grouping papers by topic helps scholars navigate broad scope journals more efficiently.
  • Greater discoverability: Special Issues support the reach and impact of scientific research. Articles in Special Issues are more discoverable and cited more frequently.
  • Expansion of research network: Special Issues facilitate connections among authors, fostering scientific collaborations.
  • External promotion: Articles in Special Issues are often promoted through the journal's social media, increasing their visibility.
  • Reprint: MDPI Books provides the opportunity to republish successful Special Issues in book format, both online and in print.

Further information on MDPI's Special Issue policies can be found here.

Published Papers (2 papers)

Order results
Result details
Select all
Export citation of selected articles as:

Research

19 pages, 5474 KB  
Article
Evaluation of Railway Bridge Responses to Blast Vibrations and Earthquake Ground Motions Based on Numerical Simulation
by Jae Sang Moon, Mintaek Yoo, Sunnie Haam and Yu Seong Lee
Appl. Sci. 2025, 15(21), 11479; https://doi.org/10.3390/app152111479 - 27 Oct 2025
Viewed by 165
Abstract
In this study, the dynamic responses of railway bridges generated by both blast motions and earthquakes are comparatively studied. A numerical model of a three-span continuous prestressed concrete (PSC) box girder bridge, a representative type of railway structure, was developed to investigate its [...] Read more.
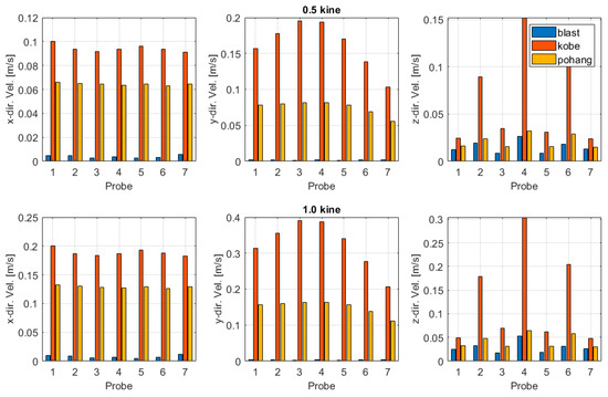
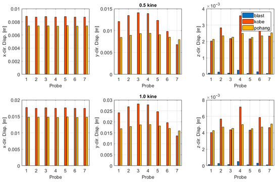
In this study, the dynamic responses of railway bridges generated by both blast motions and earthquakes are comparatively studied. A numerical model of a three-span continuous prestressed concrete (PSC) box girder bridge, a representative type of railway structure, was developed to investigate its dynamic performance. Dynamic analyses were conducted under two blast-induced ground motions and four earthquake ground motions, and the structural responses at the girder top were employed to evaluate the dynamic behavior of the railway bridge. The results indicate that the blast-induced bridge responses are relatively small compared to the earthquake-induced bridge responses (2–3% of the bridge response). This implies that the blast vibration limit provided in the Korean standard manual could be excessively conservative when applied to the railway bridges. Also, the results show that the blast vibration limit should be revisited, with a consideration of different structures and conditions. Full article
(This article belongs to the Special Issue Soil Dynamics and Earthquake Engineering)
Show Figures

Figure 1

24 pages, 14889 KB  
Article
A New Ground-Motion Prediction Model for Shallow Crustal Earthquakes in Türkiye
by Ulubey Çeken, Fadime Sertçelik and Abdullah İçen
Appl. Sci. 2025, 15(7), 3442; https://doi.org/10.3390/app15073442 - 21 Mar 2025
Viewed by 1087
Abstract
The recent expansion of the strong-motion observation network, along with the increase in data obtained during major earthquakes and efforts to create consistent metadata for source, path, and site effects for both old and new records, has significantly improved the quality of data [...] Read more.
The recent expansion of the strong-motion observation network, along with the increase in data obtained during major earthquakes and efforts to create consistent metadata for source, path, and site effects for both old and new records, has significantly improved the quality of data and the level of modeling in Türkiye. The mainshock and aftershock records of the 6 February 2023 Kahramanmaraş earthquake doublet (MW 7.8 and 7.7), which are among the most destructive earthquakes in world history, constitute an up-to-date and important data source for this study. In this study, we present new ground-motion prediction models (GMPMs) for shallow crustal earthquakes using strong-motion data recorded in Türkiye. Our GMPMs are calibrated using 20,173 strong-motion records from 1565 shallow crustal earthquakes with depths of less than 35 km that occurred in Türkiye and its vicinity between 1976 and 2023. Our model is valid for magnitudes ranging from 4.0 to 7.8 (MW), and for the time-averaged 30 m shear wave velocity (VS30) values of 975 stations, which ranged from 131 to 1862 m/s. In the analyses performed, using the recently developed site amplification model, we calculated the model coefficients using the mixed-effects regression algorithms used by the GMPM developers. Additionally, a heteroscedastic model was created for aleatory variability as a function of MW. The closest distance to the surface projection of the fault plane (RJB) is between 0 and 350 km. Using the metadata prepared according to these criteria, we derived up-to-date ground-motion prediction models for horizontal-component peak ground velocity (PGV), peak ground acceleration (PGA), and 5% damped pseudo-spectral acceleration (PSA) response spectra, at 36 periods ranging from 0.01 to 10 s. The variability in the predictions was decomposed into within-event, between-event, and site-to-site deviations to determine the total standard deviations (σ). Compared to previous models, the proposed GMPMs were developed using a much richer database with recent major earthquakes, and the consistent estimates and lower residuals in the comparisons support the reliability of the models. Full article
(This article belongs to the Special Issue Soil Dynamics and Earthquake Engineering)
Show Figures

Figure 1

Back to TopTop