Next Article in Journal
Barrio-Level Assessment of Solar Rooftop Energy and Initial Insights into Energy Inequalities in Puerto Rico
Next Article in Special Issue
Zero Emissions Analysis for a Hybrid System with Photovoltaic and Thermal Energy in the Balearic Islands University
Previous Article in Journal
Photovoltaic Farm Power Generation Forecast Using Photovoltaic Battery Model with Machine Learning Capabilities
Previous Article in Special Issue
Characterization of a Densely Packed Photovoltaic Array with RXX Homogenizer in a High-Flux Solar Furnace
 
 
Due to scheduled maintenance work on our servers, there may be short service disruptions on this website between 11:00 and 12:00 CEST on March 28th.
Font Type:
Arial Georgia Verdana
Font Size:
Aa Aa Aa
Line Spacing:
Column Width:
Background:
Article

Steam Generation for Industry Using Linear Fresnel Solar Collectors and PV-Driven High-Temperature Heat Pumps: Techno-Economic Analysis

Thermal Energy for Sustainibility (TE4S) Group, Escuela Técnica Superior de Ingenieros Industriales, Departamento de Ingeniería Energética, Universidad Politécnica de Madrid, 28006 Madrid, Spain
*
Author to whom correspondence should be addressed.
Solar 2025, 5(2), 27; https://doi.org/10.3390/solar5020027
Submission received: 1 April 2025 / Revised: 11 June 2025 / Accepted: 13 June 2025 / Published: 17 June 2025

Abstract

Steam is widely used in industry as a heat carrier for thermal processes and is primarily generated by gas-fired steam boilers. The decarbonization of industrial thermal demand relies on the capability of clean and renewable technologies to provide steam through reliable and cost-effective systems. Concentrating solar thermal technologies are attracting attention as a heat source for industrial steam generation. In addition, electricity-driven high-temperature heat pumps can provide heat using either renewable or grid electricity by upgrading ambient or waste heat to the required temperature level. In this study, linear Fresnel solar collectors and high-temperature heat pumps driven by photovoltaics are considered heat sources for steam generation in industrial processes. Energetic and economic analyses are performed across the European countries to assess and compare their performances. The results demonstrate that for a given available area for the solar field, solar thermal systems provide a higher annual energy yield in southern countries and at lower costs than heat pumps. On the other hand, heat pumps driven by photovoltaics provide higher annual energy for decreasing solar radiation conditions (central and northern Europe), although it leads to higher costs than solar thermal systems. A hybrid scheme combining the two technologies is the favorable option in central Europe, allowing a trade-off between the costs and the energy yield per unit area.

1. Introduction

The decarbonization of the industrial sector is essential for achieving sustainability targets and reducing the reliance of industrialized economies on fossil fuels. The industrial sector accounts for about one-third of global energy demand, with most of the demand being heat and the remainder being electricity [1,2]. Approximately 50% of industrial heat is required at low (<150 °C) and medium (150–400 °C) temperatures, which are essential for a wide variety of industrial processes.
Solar thermal technologies (STs) can efficiently supply heat across different temperature ranges at competitive costs. Concentrating solar thermal (CST) technologies, such as parabolic trough collectors (PTCs) and linear Fresnel collectors (LFCs), perform well in the low and medium temperature range and offer high efficiency. These technologies are available in modular forms and at various scales, with costs steadily decreasing. Both LFCs and PTCs, Figure 1, are commercially available for Solar Heat for Industrial Processes (SHIP) applications. Farjana et al. [3], among others, describe typical applications of CST for industrial heat supply across several industrial sectors.
According to the Solar Heat Worldwide 2024 report [4], at the end of 2023, the total operational solar thermal capacity reached 560 GWt. Among them, a minor share is devoted to SHIP, with an estimated capacity of 951 MWt and a total number of plants of approximately 1200 systems for a 1.4 million square meters collector area. Although non-concentrating solar collectors had been the dominant solar thermal technology in the market for years, by 2023, concentrating collectors had become the predominant choice, especially in industrial systems. According to the reported systems in [5], by the end of 2023, 26 LFC systems were in operation with a thermal installed power of 12 MWt, while PTC technology is used in 72 systems with a total installed thermal power amount of 482 MWt.
In industry, steam is widely used as a heat carrier for the heat supply from 100 to 200 °C. Industrial steam is mostly produced from fossil fuels, mainly in gas-fired steam boilers. The steam boilers inject saturated steam into the steam distribution network of the factory, which brings it to the thermal processes.
The integration of concentrating solar thermal technology into an existing conventional steam generation scheme can be addressed in several ways. Common integration concepts have been identified in [6]. It can take place at the process level, directly supplying heat/steam to individual processes, or at the supply level, hence supplying solar heat to the heat distribution network of a factory. Integration can be implemented in parallel with the main steam boilers, providing a fraction of the total steam needed or, in a series, preheating the feeding water. With respect to solar installation, the steam generation can take place directly into the solar receivers as direct steam generation or indirectly through a primary heat transfer fluid (HTF) heated in the solar field, which supplies heat to a kettle reboiler steam generator (SG).
Solar photovoltaic (PV) energy is rapidly gaining market share because of its decreasing costs and is now the leading solar technology in the electricity sector. In industrial applications, photovoltaic energy is not only used to meet conventional electricity demand but is also becoming increasingly relevant for providing process heat. Additionally, electrifying industrial thermal demand is a key strategy in a landscape with high renewable energy penetration in the electrical grid. “Power-to-heat” solutions, which harness solar and renewable electricity for industrial heat supply, are now essential and highly attractive. Electrical industrial steam boilers are capable of producing steam from electricity [7]. Electric heaters (resistive or induction-based) are widely applied in industry for process heat applications.
Among the power-to-heat options, heat pumps (HP) are suitable solutions for using electricity, either coming from the grid or a local solar PV, for thermal purposes. They can lift ambient or waste heat (heat source) to a higher temperature (heat sink) with reduced electrical consumption, according to their coefficient of performance (COP). Although commercial and industrial heat pumps are limited to low-temperature applications, recent developments are bringing to the market high-temperature heat pumps (HT-HP) capable of providing heat above 150 °C [8].
Arpagaus et al. [8] reviewed the high-temperature heat pump state-of-the-art, identifying several technologies and providers. Most of them have a sink temperature between 90 and 160 °C. They report on increasing research activity aimed at raising the sink temperature above 120 °C, aimed at industrial low-pressure steam generation. The main barriers found in the literature on the technical aspects refer to the lack of high-temperature suitable refrigerants and the lack of integration. Moreover, from a commercial perspective, the lack of demonstrators, lack of knowledge on integration possibilities, as well as low level of awareness of potential among industrial users are identified as the main barriers to their wide adoption. Insights on the state-of-the-art of high-temperature HP are given in [9]. They consider several types of heat pump providers, indicating that several technologies are reaching maturity, providing heat up to 180 °C. More challenging projects aimed at 250 °C heat supply are ongoing. The more promising ones are based on reverse Brayton with CO2 and multistage vapor compression cycles with water. They pointed out that steam compression is suitable where heat supply and source have a constant temperature, while vapor compression with zeotropic mixtures or gas cycles as reverse Brayton is better with large temperature glides, typical of single-phase fluid heating. Additional insight into steam-generating heat pumps for industry can be found in a detailed review by [10] as well as by [11]. The database provided by Annex 58 [12] reports 34 HT-HP models with a Technological Readiness Level (TRL) from 4 to 9 and sink temperature between 100 and 280 °C, Table 1.
The HP by Spilling is a steam compressor device that works with a three-stage piston compressor to upgrade steam from 120 °C/2 bar up to 210 °C/19 bar with a maximum of 280 °C/40 bar. The Enerin model is a Stirling-type heat pump using a cycle with helium as a fluid. Q-pinch technology is inspired by the adenosine diphosphate cycle in living cells to set a phosphate absorption heat transformer. It is driven by residual low-temperature heat and only uses power to drive centrifugal pumps. The Piller HP does not use refrigerant but the process fluid water–steam, being a centrifugal single-stage compressor able to upgrade the low-pressure steam up to the required pressure and temperature level. Turboden HP works on the reverse Rankine cycle using different fluids and reaches a temperature lift of 100 °C, with sink temperatures up to 200 °C. The Olvondo HP is a reserved alpha, double-acting Franchot Stirling cycle with helium as fluid. ToCircle is a mechanical vapor recompression system able to upgrade low-pressure excess steam up to 180 °C/20 bar. The Kobelco model is composed of a heat pump unit lifting residual heat to 115 °C for heating a pressurized water steam, which then goes into a flash tank. The vapor is compressed in the vapor compressor unit, which provides up to 175 °C/8 bar saturated steam. The Heaten HP is a piston compressor device working up to 200 °C.
Considering the recent literature, several studies are devoted to assessing the techno-economic viability of solar heat production for industrial processes using CST, either LFC or PTC. Bolognese et al. [13] analyzed the integration of solar heat into an industrial pasta factory through a techno-economic analysis of several CST technologies, including PTC and LFC. Buscemi et al. [14] studied an LFC plant for process heat in a pasta factory in Italy, carrying out a detailed techno-economic analysis. Masera et al. [15] analyze steam production using LFC collectors using different integration concepts, such as direct and indirect steam generation, focusing on the dairy industry. Quiñones et al. [16] assess the potential application of non-concentrating collectors and PTC as heat sources for the Chilean mining industry, identifying the energetic and economic performances for their comparison with conventional fossil fuels. Silva et al. [17] implemented a methodology for the optimization of solar fields using PTCs for industrial process heat supply, considering either technical and economical and a multi-objective approach. Although they are an emerging technology, high-temperature heat pumps have been considered in several studies for industrial heat. Vieren et al. [18] studied the potential of vapor compression heat pumps for supplying heat in the chemical industry. They carry out an energetic and financial analysis for saturated and superheated steam production. Marina et al. [19] used a bottom-up approach to assess the potential of industrial heat pump application in European countries, focusing on several industrial sectors such as the food, paper, chemical, and refining sectors and considering a maximum sink temperature of 200 °C.
Although CST and HP have been studied for their applications to industrial steam generation by the abovementioned studies. In addition, a few works focus on comparing them from a technical and economic perspective and consider the possibility of hybrid configurations. Among them, [20] compared different options for low-pressure industrial steam production at 120 °C and 150 °C: linear Fresnel collectors, electric boilers, high-temperature heat pumps, and absorption heat transformers. They apply a techno-economic analysis to assess the potential of European industry. Rosales-Pérez et al. [21] review the possible hybrid configurations using solar thermal and other heat supply technologies, including HP assisted by PV, focusing on assessing the potential and identifying the key performance indicators. Nevertheless, this study mainly refers to low-temperature heat applications. A comparative techno-economic analysis of CST and HP for industrial steam generation is carried out in [22]. They consider a high-temperature heat pump and commercial PTC with a small aperture for steam generation at 140 °C/3.9 bar. They additionally consider hybridization possibilities, assessing performance through numerical simulations. Study [23] carried out a multi-objective optimization for the side-by-side CST and PV installation for effective industrial heat production. Three objective functions, including economic, technical, and environmental, are applied individually or in combination to assess the optimum mix of solar technologies. The methodology is applied to different locations across the world. In the framework of the SUSHEAT project, study [24] analyzes the potential of hybrid configurations, including HTHP, CST, and TES, to decarbonize European industrial thermal energy consumption between 150 and 250 °C, upgrading industrial waste heat. In the same project, study [25] considers the implementation of a digital twin to optimize the hybrid configuration.
From the consulted literature, CST and HP technologies are attracting attention as decarbonizing solutions for industrial steam generation. Nevertheless, due to the large variety of technologies available, the continuous evolution of their performances and costs, and the multiple possibilities of integration offered, a comprehensive assessment of their potential is still needed.
This study analyses the generation of steam for industrial applications using commercial linear Fresnel as CST and the pre-commercial Stirling-type high-temperature heat pump powered by photovoltaic solar energy. The configurations considered aim at indirect steam generation at 8 bars, which is largely used in industrial processes. Detailed techno-economic modeling allows for the assessment of their potential application in European countries. This study proposes a methodology for hybridization, giving insights into the potential advantages and limitations. This work is an extended version of the conference paper [26].

2. Methodology

2.1. Integration Schemes

Steam is widely used as a heat carrier in industry. In most cases, it is produced by a conventional gas-fired steam boiler and distributed to several processes through a dedicated steam network. The condensate is driven back to the steam boiler. An alternative source, such as solar thermal or any other renewable technology for decarbonization, can deliver heat to partially substitute or complement the main steam boiler in a few ways, including the preheating of the condensate or generating steam in parallel to the main boiler. Parallel steam generation is analyzed in this study, being a preferable industrial option, which minimizes the impact of integration on the conventional steam generation system. As a drawback, it requires the solar or renewable steam to be provided at the same condition imposed by the main boiler, being introduced directly into the same steam network. Commonly, steam conditions in industry range between 4 and 8 bar, covering a large variety of uses in several sectors (food and beverage, pulp and paper, and manufacturing, among others).
Considering concentrating solar thermal as a heat source, steam can be produced by direct evaporation of the water in the solar field or indirectly in a dedicated kettle reboiler steam generator (SG), heated by a heat transfer fluid, which can be pressurized water or thermal oil.
The integration scheme chosen for this study for CST is the indirect generation of steam in parallel to a conventional natural gas steam boiler, Figure 2. The kettle steam generator is fed by condensate from the industrial network while the heat is supplied through a primary heat transfer fluid circulating in the solar field. The saturated steam generated by the kettle is injected into the industrial distribution network. In this study, the heat transfer fluid is pressurized water, which is a commonly used option in the expected temperature range (150–200 °C).
In addition to being a common option for CST, indirect steam generation is also a suitable scheme when using a high-temperature heat pump (HP) as an alternative heat source. The HTF is heated at the high-temperature side (sink) of the HP and delivers heat to a kettle reboiler parallel to the main boiler. In this study, the configuration of Figure 3 is analyzed, with an HP heating up a pressurized water circuit. The HP is driven by a PV plant installed at the factory. The use of grid electricity for powering HP is out of the scope of this work. The low-temperature side (source) of the HP can absorb heat from a low-temperature waste heat source as well as from the ambient air. The higher the temperature of the waste heat, the higher the COP and the performance of the HP. Nevertheless, waste heat is rarely available, the industrial processes being mostly optimized. In this study, the heat source is ambient heat provided by liquid water at a condition of 25 °C as a reference.
In addition to comparing CST and PV-HP steam generation from an energetic and economic perspective, the possible combination of the two schemes in a hybrid configuration is analyzed. In this configuration, CST and PV-HP are combined in parallel to heat up the pressurized water, which then delivers heat to a unique kettle reboiler, as shown in Figure 4.

2.2. Modeling

The energetic and economic analysis of the proposed steam generation schemes is carried out through numerical simulation. A steady-state model of each configuration is implemented and run for each hour of a typical meteorological year (TMY) to obtain annual results.
Detailed numerical models have been implemented in Python 3.12 and include the SG vapor generation, the concentrating solar field CST, the photovoltaic solar field PV, and the heat pump HP, in addition to the control algorithm appropriate for each configuration. In addition to the energetic model, the economic model of the components considered is also implemented. The models for CST and PV were verified against the validated simulator GREENIUS [27], reporting agreement in the results within the ± 5 % tolerance. HP models have been implemented using the manufacturer data sheet [28] and validated performance characteristics. Cost estimations of components considered in the analysis rely on the updated off-the-shelf data and parameters reported in the technical literature. Geographical variation in the installation cost of technologies is not considered in this work, and average values are assumed.

2.2.1. Steam Generator SG

A kettle-type steam generator is placed parallel to the main steam generator (boiler, BO), which requires saturated steam to be identical to the main boiler. On the steam side, the conditions are defined by the saturated steam pressure p s and the temperature T s , while water inlet temperature T c o n d is defined by the condensate return line.
On the liquid side, a fixed temperature difference is considered T l = T l , i n T l , o u . The variation in the useful thermal power delivered by CST or PV-HP, Q ˙ u , is taken into account as a mass flow rate variation m ˙ l . Transient aspects of the steam generator are neglected so that a steam flow rate m ˙ s is provided according to steam generation thermal power Q ˙ s = Q ˙ u , water–steam specific latent heat h l a t , and liquid sensible specific heat c p s , w , Equation (1).
Q ˙ s = m ˙ s c p s , l T s T s , i n + h l a t = Q ˙ u = m ˙ l c p l T l
As the primary liquid is pressurized water, the pressure on the liquid side p l is set above the saturation temperature to avoid two-phase flow, p l = p s a t T l , i n + T s a f e , being T s a f e an overtemperature parameter for safety. Outlet water temperature T l , o u is defined based on the given steam temperature T s as T l , o u = T s + T H X , being T H X the temperature difference required inside the kettle for an effective heat exchange and T l , i n = T l , o u + T l . The design parameters are reported in Table 2. A steam pressure of 8 bar is considered as the reference case, corresponding to a saturated steam temperature of 170 °C. The primary water circuit is pressurized at 23.4 bar, with a temperature inlet/outlet of 180/210 °C.
Simplified estimation of the installation costs C S G of the SG steam generator is obtained from the area of the heat exchanger A S G , given by a heat transfer reference value U S G = 1400   W m 2 K 1 , Equation (2).
C S G = C B F P F M C E u r C E i n d e x
C B = e x p 12.3310 0.8709 l n A S G + 0.09005 l n A S G 2
F P = 0.9803 + 0.018 p S G 100 + 0.0017 p S G 100 2
F M = a + A S G 100 b
Corrective factors that consider the pressure F P and the material F M are applied to the base cost C B , [29]. Equations (3)–(5), with a = 2.7 and b = 0.07 of stainless steel, and C E u r conversion factor USD to EUR, A S G in f t 2 and pressure p S G in p s i g . The C E i n d e x accounts for inflation, according to the CEPCI index [30].

2.2.2. Concentrating Solar Thermal CST

A linear Fresnel collector is chosen as CST technology in this work. Although parabolic trough collectors are the dominant technology in CSP projects devoted to electricity production, LFC is gaining attention as a suitable solution for process heat generation. The segmented primary reflector allows for smaller mirror apertures, minimizing the cost of tracking systems as well as foundation, thanks to lower wind load. Although LFCs have lower optical efficiency than PTCs, they offer some other technical advantages, such as the fixed receiver, avoiding the complexity of flexible connections and associated leakage risks.
A commercial LFC manufactured in [31] is selected for techno-economic analysis. The main technical features are reported in Table 3. The LFC is equipped with a single standard evacuated tube receiver, ensuring high thermal efficiency.
The solar field is composed of n p loops with the same orientation and length, hydraulically connected in parallel between them. Each loop is formed by a row of n s collectors in series reaching a desired length L r o w .
The LFC is modeled by calculating heat flux q ˙ s concentrated on the receiver’s perimeter P e x = D e x π , by means of an optical efficiency η o p including a peak optical efficiency η o p 0 , and two incidence angle modifiers (IAMs) for the transversal and longitudinal components of the zenith angle, θ T , θ L [32]. Two additional parameters, Table 3, account for the cleanliness level of the mirrors, η c l e a n , and for partial mirrors, failures, and malfunctioning through an averaged availability, η a v . Irradiance G b n and solar position is obtained using the Python library Pvlib [33].
q ˙ s = G b n η o p A c A r = G b n η o p W a P e x = G b n η o p C
η o p = η o p 0 I A M T θ T I A M L θ L η a v η c l e a n
The row length L r o w is not always irradiated because of the end losses effect, occurring at the extremities of the receiver for θ L > 0 , when part of solar irradiance is concentrated out of the receiver length. This is accounted for by considering an effective row length L e f f = L r o w L l o s s instead of L r o w , Equations (8) and (9).
L l o s s = max 0 , tan θ L H m e a n   ;             H m e a n = W a 2 4 + H m 2
The length of the receiver is discretized into n e elements for increasing the accuracy since the U L as well as HTF properties are temperature-dependent and must be computed at each element. The thermal power generated by the fluid across a portion of receiver length L = L e f f / n e is obtained according to [34] using the collector efficiency factor F and the heat dissipation factor F R , Equations (9) and (10). Internal heat transfer h l coefficient is computed using the Gnielinski correlation. The global heat transfer coefficient of the receiver tube U L T w , T a m b is obtained by means of a polynomial expression obtained from experimental data [35].
Q ˙ u , C S T = n e F R L P e x q ˙ s U L T i n T a m b
F = 1 + U L P e x h l P 1 ; F R = m ˙ c p L P e x U L 1 exp L F P e x U L m ˙ c p
In addition to the solar field, connection piping has been considered in the model for the computation of delivered thermal power Q ˙ u , C S T , including an inlet and outlet pipe length for each row and a common inlet and outlet piping length for the whole solar field, connecting with the BOP. A formulation analogous to Equations (9) and (10) is used with q ˙ s = 0 and proper U L obtained from the thermal insulation layer thermal conductivity.
The solar field area is sized based on a given ground area A g r . Since the mirror aperture is W a = 5   m , and the ground aperture, including proper spacing, is W g r = 6.5   m , a land use factor F l a n d = W g r / W a = 1.3 is defined for CST. The solar field area A C S T is defined from the A g r , C S T .
A C S T = n p L r o w = A g r , C S T F l a n d
The number of loops n p and their length L r o w are adjusted to fit the available area.
A simplified cost estimation is carried out on the basis of available information from the manufacturer. The installation cost of a solar field is obtained from an estimated cost per area c C S T = 304   E U R   m 2 . This cost is retrieved from the manufacturer’s simulation tool [36] implemented by [31] for a large solar field without BOP, applying the CEPCI inflation correction factor [30].
C C S T = A C S T c C S T

2.2.3. Solar Photovoltaic Field PV

The photovoltaic solar field is defined by the total area of PV modules A P V . Analogously to CST, the available ground area A g r , P V is the initial design parameter. The land use factor F l a n d for the PV field is related to the PV tilt and the spacing between rows. In this study, two options are considered: the first one is installing the PV module horizontally, which is a typical solution for industrial rooftops; the second option considers an optimized tilt β o p t , depending on the latitude ( φ ) of the location, according to [37] Equation (13).
  β o p t = 0.0049   φ 2 + 1.088   φ
The spacing between rows d can be subject to optimization. Here, a widely accepted criterion is assumed, setting the distance as the ground projection of the shadow during the winter solstice when the solar zenith angle is θ z , w = 90 ° φ ( 23.44 ) , Equation (14). The land use factor for a PV field is computed in Equation (15).
H = H P V sin β o p t
d = H   t a n ( θ z , w )
F l a n d = H P V cos β o p t + d H P V = A g r , P V A P V
Mutual shadowing between consecutive PV rows still occurs at low sun elevation. Although it is often taken into account by an average annual value, here, the loss of direct irradiance due to shadowing is computed from sun elevation at each time step of the simulation. The portion of the module height shadowed H S is obtained by geometric calculations, Equations (17) and (18) from the solar elevation α s , solar azimuth γ s and PV azimuth γ P V , and β o p t ,   Figure 5.
H S = ( d S d ) cos β o p t   1 1 + d S tan β o p t H
d s = H t a n α s c o s ( γ P V γ s )
The power output of the PV field is obtained from Equation (20), considering the shadowing factor F S , Equation (19), and direct (normal to the PV surface) and diffuse irradiance, G n and G d i f f , the PV area, A P V , and the conversion efficiency, η P V . Irradiance G n and G d i f f and solar position were computed using the Python library Pvlib [33].
F S = max 0,1 H S H P V
P P V = A P V η P V ( G n   F S + G d i f f )
The conversion efficiency of the PV module η P V is influenced by several factors. In this study, a simplified model is implemented as in Equation (21), including a conversion efficiency term η c o n v of the panels, the inverter efficiency η i n v , the cleanliness of the solar field η c l e a n , the effect of aging through an averaged value η a g i n g , and the energy lost by Joule dissipation in wires and electrical connections, η J o u l e .
η P V = η c o n v η i n v η c l e a n η a g i n g η J o u l e
According to the Greenius PV simulator model [27], electrical conversion efficiency η c o n v is related to module temperature and load conditions. The peak efficiency at reference ambient condition T r e f and nominal load η c o n v , 0 ; it reduces into partial load as described by Equation (23), being G = G n   F S + G d i f f the solar irradiance and G 0 = 1000   W m 2 the peak solar irradiance. In addition, the efficiency drops with an increased temperature of the cell, which is estimated as in Equations (24) and (25) from T a m b considering the irradiance G and a coefficient c G . These parameters are summarized in Table 4.
η c o n v = η l o a d η t e m p
η l o a d = η c o n v , 0 + c L l n G G 0
T c e l l = T a m b + c G G
η t e m p = 1 + c T ( T c e l l T r e f )
The PV installation cost is obtained from the cost per peak power from a world average computed by [38] for utility-scale projects, resulting as c k W p = 705   E U R / k W p , Equations (26) and (27). As for other technologies, geographical variation in PV installation cost is not considered in this work.
P P V , d = A P V G 0 η P V
C P V = P P V , d c k W p

2.2.4. High-Temperature Heat Pump

The high-temperature heat pump considered is a pre-commercial Stirling-type model manufactured by Enerin [28]. The real C O P H P of the heat pump is obtained from the ideal C O P C a r n o t , according to the efficiency η C O P reported in [39], as a function of the average temperatures of the heat source temperature T s o u r c e , m and the heat sink temperature T s i n k , m .
C O P H P = Q h P H P = Q h Q h Q c = C O P C a r n o t η C O P
C O P C a r n o t , h = T s i n k , m T s i n k , m T s o u r c e , m
The C O P H P variation with the mean sink and source temperatures is depicted in Figure 6. The heat transfer fluid is pressurized water on both low and high-temperature sides, with maximum temperature glides of 25 °C and 40 °C, respectively. The maximum temperature drop (lift) indicated by the manufacturer is 200 °C, with a maximum heat sink temperature of 250 °C. The heat supply capacity is between 0.3 MWt and 10 MWt (Annex 58 Task 1). The installation cost is calculated from the unitary cost of sink thermal power c H P = 700   E U R / k W t , as C H P = c H P Q ˙ H P , being the thermal power delivered by HP at nominal conditions. The HP is sized according to the peak power of the PV field, according to COP at the given nominal temperatures, Equation (30). HP design parameters are reported in Table 5. Under the conditions of the present study, the C O P H P , d = 1.77 is achieved, Table 5. Variation in performance with partial load operation has been included in the model on the basis of updated information provided by the manufacturer. A linear variation in COP with load conditions is modeled as the first approximation, assuming a 10% reduction in COP at 50% of load, in accordance with experimental performances reported by [40].
P P V , d C O P H P , d = Q ˙ H P

2.3. Annual Energy Yield

The models allow to carry out annual simulations considering the typical meteorological year (TMY) for each location considered, which are obtained from PVgis [41]. Hence, the simulation considers a time interval of 1 h, according to meteorological data.
The comparison of CST and PV-HP systems is carried out on the basis of the same ground area A g r occupied by the solar field. Land availability in industrial areas surrounding the factories is, in most cases, the limiting factor for sizing solar installations, either thermal or photovoltaic. All provided solar heat is supposed to be used by the steam network; this assumption is equivalent to a continuous 24/7 thermal load with a nominal load higher than the peak solar thermal power. As reference value A g r = 10,000   m 2 is considered. Nevertheless, it should be noticed that the main indicators used in this study are independent of the size, apart from parasitic losses, so that the results can be generalized for medium-to-large scale solar plants (thermal power greater than 1 MWt).
Hence, CST is defined assuming the same ground area A g r = A g r , C S T = A g r , P V so that A C S T = A g r , C S T / F l a n d , C S T and A P V = A g r , P V F l a n d , P V . The steam generator SG is sized according to the peak thermal power of CST and PV-HP, respectively.
For the hybrid scheme, the available ground area A g r is used by CST and PV so that A g r = A g r , C S T + A g r , P V . A hybridization ratio R h y is defined as in Equation (31) to account for the land use partitioning, being R h y = 0 for CST alone and R h y = 1 for PV-HP alone.
R h y = A g r , P V A g r = A g r , P V A g r , P V + A g r , C S T
As a result of the annual simulation, hourly values are obtained for the energy provided by the CST, PV, HP, and SG. Annual energy delivered as solar steam E s per unit of ground area A g r is considered as key performance parameter, E A , g r , in Equation (32), together with the ground area per unit of energy provided, A g r , E , Equation (33).
E A g r = E s A g r
A g r , E = A g r E s
Figure 7 shows the flowchart describing the main steps of the logic algorithm implemented to carry out the energetic and economic analysis.

2.4. Levelized Cost of Heat LCOH

The levelized cost of heat (LCOH) is used as the main economic indicator, Equation (37). The LCOH is the heat generation cost, as well as the minimum price that must be sold to recover the installation costs (CAPEX) and the operation and maintenance costs (OPEX) during the useful life of the plant. It is defined in a similar way to the level of energy cost LCOE used for the financial analysis of electricity production.
According to [42], the LCOH can be estimated as in Equation (37), considering constant annual discount, assuming r d i s = 0.05 , n y = 25 years. O P E X = 0.02   C A P E X is a widely accepted assumption in solar systems.
C A P E X C S T = C C S T + C S G
C A P E X P V H P = C P V + C H P + C S G
C A P E X C S T / / P V H P = C C S T + C P V + C H P + C S G
L C O H = C A P E X + n y = 1 N y O P E X n y 1 + r d i s n y n y = 1 N y E s 1 + r d i s n y

3. Results

3.1. Comparative Analysis of CST and PV-HP

The comparative analysis is devoted to assessing the energetic and economic performance of CST and PV-HP steam generation schemes across European locations. The simulation of two configurations is carried out across each hourly interval of the typical meteorological year (TMY) to obtain annual results for any considered location. About 1000 locations are randomly selected across EU27 countries for the simulations. The PV-HP is simulated considering two different configurations, one driven by a horizontal solar field and the second one driven by a tilted solar field with optimal tilt β o p t and associated spacing between the rows. As a key performance indicator, the annual energy yield per unit of gross area E A g r is chosen, together with the L C O H . The results are reported in a geographic map representation in Figure 8 for CST, horizontal PV-HP, and tilted PV-HP cases.
Considering energy production, both CST and PV-HP show a remarkable variation across the considered location, as expected because of solar resource variation. CST gives the highest E A , g r production above 0.5   M W h   m 2 in southern Spain, decreasing to less than 0.1 M W h   m 2 in the Scandinavian region. The PV-HP has a lower peak production level for the southern regions but shows higher performance in the intermediate and high latitudes. The difference between the horizontal and tilted PV is appreciable mainly in the northern location, where horizontal PV gives slightly higher performance.
Upon examining g at economic figures, CST reached its lowest value at a low latitude (Spain), below 50   E U R / M W h . The cost of CST energy is lower than PV-HP for southern European locations, while the trend is reversed in northern regions. For a direct comparison, the simulation results are plotted against the horizontal global radiation GHI in Figure 9. It is possible to visualize the main trends. CST has greater energy performance for G H I > 1.5   M W h   m 2 , while the PV-HP produces more for lower G H I . In terms of L C O H , CST clearly has a lower cost for G H I > 1.4   M W h   m 2 . Below G H I < 0.9   M W h   m 2 the PV-HP has a clear lower L C O H , with some overlapping in the medium G H I zone.
For each location, it is possible to identify which is the most favorable option between CST and PV-HP regarding both the energetic ( E A , g r ) and economic ( L C O H ) key performance indicators. A geographical map representation is depicted in Figure 10. Figure 10a displays evidence that in southern countries such as Spain, Portugal, Italy, and Greece, CST maximizes the E A , g r . Looking at LCOH, CST is a favorable option in most of southern and central Europe, Figure 10b. On the other hand, it is evident that for high latitude, PV-HP is the best option for both objectives. Similarly, at the lowest latitudes, CST is the best option for both objectives, whereas in the intermediate latitudes, the favorable option is not the same for the two objectives; see Figure 10c. In the grey zone of Figure 10c, the hybrid CST/PV-HP schemes have the potential to fit the requirements of both objectives by finding a trade-off between E A , g r maximization and L C O H minimization.

3.2. Hybrid CST and PV-HP Scheme

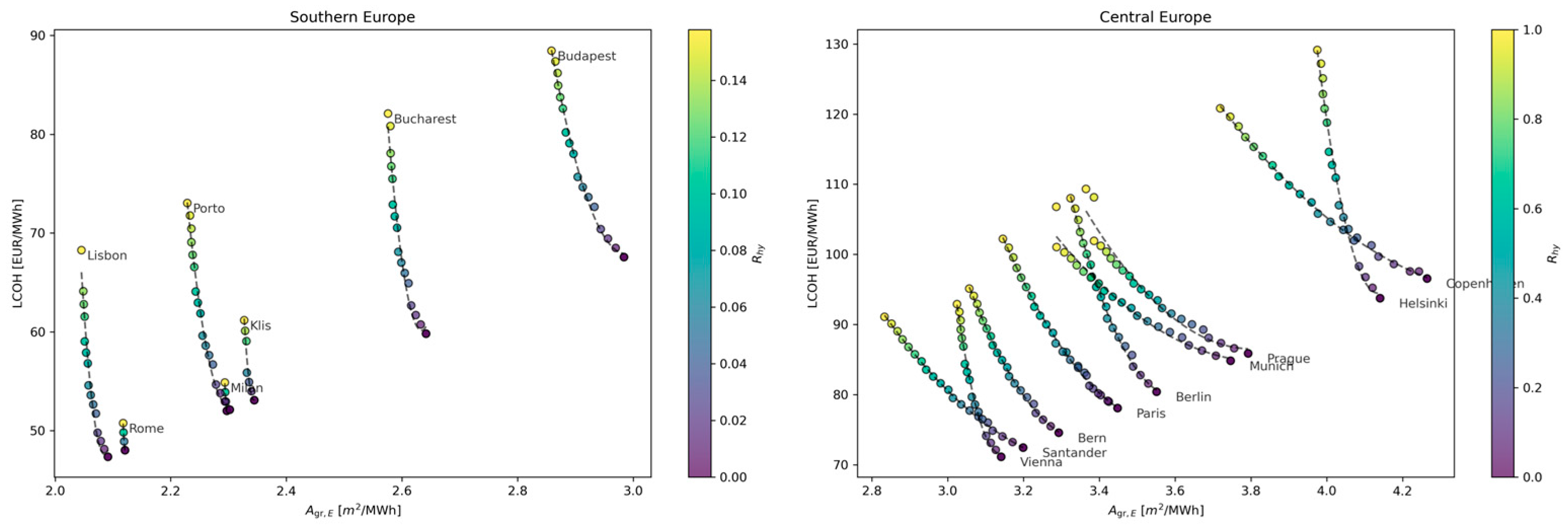
To assess the potential of a hybrid configuration with CST and PV-HP, as shown in Figure 4, several representative cities are selected and analyzed. Selecting fewer than 20 locations with diverse meteorological conditions and latitudes allows for in-depth analysis of each case while still providing a representative overview of the potential application on the entire European region.
For each selected city, Table 6, a new set of simulations is carried out on the hybrid scheme, assigning different values of the hybridization ratio R h y . This represents the portion of the available ground area that is devoted to PV-HP. Varying R h y between 0 and 1, all the possible ground area partitioning between CST and PV for the CST/PV-HP configuration are included. The analysis aims at evaluating the best configuration between CST, PV-HP, or hybrid one on the basis of available surface area, for what the main energetic indicators are the annual energy yield per unit of ground area E A g r and the ground area required per unit of energy provided A g r , E . LCOH is used as an economic indicator.
According to previous analysis, for high irradiance locations, CST is the favorable option both from an energetic and economic point of view. This is the case in cities such as Madrid, Seville, Palermo, and Marseille, where R h y = 0 is the best option, hence, with 100% of the available surface devoted to CST. This trend can be observed in Figure 11, which reports the variations in A g r , E and LCOH with R h y either considering horizontal and tiled PV. As R h y increases from 0 (100% CST) to 1 (100% PV-HP), both A g r , E and LCOH increase.
For medium irradiance locations, CST is still the favorable option for the economic indicator, while the PVHP has a higher E A g r , hence a lower area is required per MWh provided A g r , E . For these locations, a hybrid solution, CST-PVHP, would result in an optimal solution as a trade-off between the cost and required area.
Figure 12 shows the results for the selected cities. It is worth noticing that instead of E A g r the reverse values A g r , E is reported on the horizontal axis so that an optimum solution would be able to minimize both values.
As a general trend, increasing the hybridization ratio R h y from R h y = 0 (100% CST) to R h y = 1   (100% PV-HP) leads the required area A g r , E to diminish with an increase in LCOH.
Bi-objective optimization can be successfully applied for the location where economic and energetic objectives lead to different solutions. Figure 10 shows the results for the cities for which the two objectives give opposite results; hence, a Pareto front appears. It is worth noticing that only the best option is shown between CST-PVHP with horizontal and CST-PVHP with tilted modules.
For each location, identifying an optimum R h y , hence, an optimum area partitioning between CST and PV-HP depends on the criteria selected by an expert decision-maker.
A simple decision algorithm, such as the minimum normalized weighted sum, can be applied to identify the optimum R h y once the weights for the two objectives are defined as in Equation (38):
N W S = w L C O H L C O H L C O H m a x L C O H m i n + w A A g r , E A g r , E m a x A g r , E m i n  
N W S m i n = N W S R h y , o p t
The optimum hybridization ratio R h y , o p t is the R h y that minimizes the normalized weighted sum N W S , Equation (39).
Assigning the same weight to both objectives w L C O H = w A = 0.5 , the following results are obtained, as shown in Figure 13, for each city, sorted by growing GHI. A g r is 100% devoted to CST for southern cities, then A g r , C S T decreases toward central and northern Europe (lower GHI).
The total amount of energy per unit of area provided by the hybrid system is shown in Figure 14. The energy provided by each subsystem, CST and PV-HP, is also shown. The contribution of the PV-HP grows with the R h y , o p t for decreasing GHI.
The hybrid solution CST/PV-HP allows for an increase in the amount of energy provided per unit of ground area with respect to the CST alone for all the central European locations considered. This is shown in Figure 15a, where the increments of E A , g r for the CST/PV-HP with respect to E A , g r , R h y = 0 for the CST alone are reported. Figure 15b reports the increase in LCOH due to hybridization, as PV-HP has a higher cost with respect to CST.
For Lisbon city E A , g r increases by 2%, showing a 40% in A g r devoted to PV instead of CST alone, which is associated with a +14% of LCOH. As an example of a lower GHI location, Munich has an optimum PV area of 63% of A g r , which provides an increment of +10% in annual energy E A , g r , with an increase in the cost, +12% LCOH.
The illustrated methodology enables the determination of an optimal area allocation between PV and CST systems, balancing cost and specific energy yield. This approach is particularly relevant for locations with intermediate solar irradiance. In high-irradiance locations, CST tends to be the most favorable option, offering both higher energy yield and lower cost compared to PV-HP systems. The methodology is based on the assumption of a homogeneous, continuous, and flat area suitable for the installation of both PV and CST technologies. However, industrial sites may face other spatial constraints, such as parceled land with heterogeneous characteristics. While CST systems require homogeneous, continuous, and flat surfaces, PV installations are more flexible—they can be mounted on tilted surfaces, rooftops with limited load capacity, parcels, or discontinuous areas that can be electrically interconnected. Under these conditions, a hybrid system can improve surface utilization by identifying the optimal mix of CST and PV-HP technologies. Moreover, the analysis remains valuable for techno-economic evaluations in scenarios where the hybridization ratio is determined by external constraints rather than by techno-economic optimization.

4. Conclusions

This study analyses two configurations for solar industrial steam production: one that uses concentrating solar thermal CST and the other that considers a high-temperature heat pump driven by a PV solar field. The CST configuration employs a commercial linear Fresnel collector field. While PV is a mature technology, high-temperature heat pumps remain pre-commercial with medium-high TRL.
A techno-economic analysis is carried out using numerical simulation to assess the performance of the two configurations across a wide number of locations in Europe. The comparison is based on the same solar field ground area, considered as the limiting design factor, according to the constraints on land availability in industrial areas. Both tilted and horizontal PV are considered. Steam conditions are set to 8 bar pressure ( 170   ° C ), which is a common requirement in several sectors. Although HP can be fed by waste heat at a higher temperature, the least favorable case is chosen with the ambient temperature for the HP source, considered the most common scenario. In addition to technical assumptions, economic considerations have been made on the basis of the current state-of-the-art, as for the CST cost ( 304   E U R / m 2 ), the PV cost ( 705   E U R / k W p ), and the HP cost ( 700   E U R / k W t ) . Provided annual energy per unit of ground area E A , g r and the levelized cost of heat LCOH are defined as the key performance parameters. Although the simulations are carried out for an available ground area of 10,000   m 2 , the results are presented per unit of area, keeping general validity for industrial-scale plants > 1   M W t . Summarizing the results of the comparative analysis:
  • CST shows a greater E A , g r production than PV-HP in southern European locations with G H I > 1.5   M W h   m 2 . Moreover, it has a lower LCOH with an even lower threshold of G H I > 1.2   M W h   m 2 .
  • PV-HP is the favorable option for energy production in northern locations with G H I < 1.7   M W h   m 2 , and it is also favorable for LCOH for G H I < 0.8   M W h   m 2 .
  • Tilted and horizontal PV give similar results in terms of energy and LCOH when a constraint on the ground area is set.
  • The highest energy production is achieved in southern Spain with 0.6   M W h   m 2 for CST and 0.5   M W h   m 2 for PV-HP, with an LCOH of 40   E U R / M W h and 60   E U R / M W h , respectively.
For the locations with intermediate GHI levels, corresponding to central Europe, CST is the favorable option for LCOH, but the PV-HP has better energy performance, which indicates that a hybrid solution with a side-by-side CST and PV solar field can be the most favorable choice. In this region, bi-objective optimization is applied, identifying the Pareto front of suitable solutions that result from different ground area ratios between the CST solar field and the PV-HP solar field. The optimization is carried out in a selected group of cities with different solar resources. For each of them, a correlation for the Pareto front is obtained, which can be useful for a decision-making process devoted to selecting the best CST/PV-HP combination.
In addition, using a simple decision algorithm, the optimum ground area partitioning is obtained to analyze the optimum hybridization further. The ground area devoted to PV in the optimized hybrid scheme grows as GHI decreases.
In addition to the detailed quantitative results achieved on a large spectrum of locations based on state-of-the-art technology, the methodology is set for design optimization of the combined CST/PV-HP on the constraint of available ground area, which can be extended to further analysis.
Further studies can assess the impact of the design assumptions on the results, both for technical constraints such as steam conditions and waste heat temperature for the HP, or economical as unitary cost of the linear Fresnel, PV, and HP. Moreover, driving the HP by grid electricity, in combination with PV, can be explored to increase the flexibility of the system.

Author Contributions

Conceptualization, A.F. and R.A.; methodology, A.F. and R.A.; software, A.F.; validation, A.F.; formal analysis, A.F. and R.A.; investigation, A.F. and R.A.; resources, A.F. and R.A.; data curation, A.F.; writing—original draft preparation, A.F. and R.A.; writing—review and editing, A.F. and R.A.; visualization, A.F.; supervision, A.F. and R.A.; project administration, A.F. and R.A.; funding acquisition, A.F. and R.A. All authors have read and agreed to the published version of the manuscript.

Funding

This research was supported by “Ayudas Juan de la Cierva Formación de Ministerio de Ciencia e Innovación” funded by MCIN/AEI/10.13039/501100011033 and European Union “NextGenerationEU”/PRTR.

Data Availability Statement

Data is contained within the article.

Conflicts of Interest

The authors declare no conflict of interest.

Abbreviations

The following abbreviations are used in this manuscript:
Latin
A Area [m2]
c p Specific   heat   capacity   [ J / k g K ]
C Other   costs   [ E U R ]
C A P E X Capital   cost   [ E U R ]
D Diameter [m]
h Internal heat transfer coefficient receiver [W K−1m2]
F Efficiency factor
F R Heat dissipation factor
H Height [m]
G b n Direct normal irradiance [W m−2]
L Length [m]
m ˙ Air mass flow rate [kg s−1]
n p Parallel loop of the solar field
n s LFC in series in a loop
N y Lifetime [year]
O P E X Operation   and   maintenance   annual   cost   [ E U R ]
P Perimeter [m]
p Pressure [Pa]
Q ˙ Thermal power [W]
E Thermal energy [J]
R h y Hybridization Ratio [-]
r d i s Discount rate
T Temperature [K, °C]
W Aperture [m]
Greek
η a v Solar field availability [-]
η c l e a n Cleanliness solar field [-]
η c o n v PV conversion efficiency [-]
η i n v Inverter efficiency [-]
η o p 0 Maximum optical efficiency LFC
η o p Optical efficiency LFC
Acronyms
BOPBalance of Plant
COPCoefficient of performance
CSTConcentrating Solar Thermal
CSPConcentrating Solar Power
HTHigh temperature
HTFHeat Transfer Fluid
HPHeat Pump
HXHeat Exchanger
I A M L Longitudinal Incidence Angle Modifier
I A M T Transversal Incidence Angle Modifier
LCOHLevelized cost of Heat
LFCLinear Fresnel collector
N W S Normalized weighted sum [-]
PTCParabolic Trough Collector
PVPhotovoltaic
SHIPSolar Heat for Industrial Processes
STSolar Thermal
SGSteam Generator
TMYTypical Meteorological Year
Subscripts
a m b Ambient
c o n d condensate
i n Inlet
m Module LFC
g r Ground
o u Outlet
s Steam
o p t Optimized
u Useful

References

  1. IEA. World Energy Statistics 2016. Available online: https://www.iea.org/reports/world-energy-outlook-2016/ (accessed on 1 June 2024).
  2. IRENA. Renewable Power Generation Costs in 2022; IRENA: Abu Dhabi, United Arab Emirates, 2022. [Google Scholar]
  3. Farjana, S.H.; Huda, N.; Mahmud, M.A.P.; Saidur, R. Solar process heat in industrial systems—A global review. Renew. Sustain. Energy Rev. 2017, 82, 2270–2286. [Google Scholar] [CrossRef]
  4. Weiss, W.; Spörk-Dür, M. Solar Heat Worldwide; AEE, Institute for Sustainable Technologies: Gleisdorf, Austria, 2024. [Google Scholar] [CrossRef]
  5. SHIP Database. Available online: http://ship-plants.info/ (accessed on 1 June 2024).
  6. Ben Hassine, I. IEA SHC Task 49 Solar Process Heat for Production and Advanced Applications Deliverable B2 SolarPaces Annex IV IEA SHC Task 49 SolarPACES Annex IV Solar Process Heat for Production and Advanced Applications Integration Guideline Guideline for Solar Planners, Energy Consultants and Process Engineers Giving a General Procedure to Integrate Solar Heat into Industrial Processes by Identifying and Ranking Suitable Integration Points and Solar Thermal System Concepts. 2014. Available online: https://task49.iea-shc.org/ (accessed on 1 June 2024).
  7. Zuberi, M.J.S.; Hasanbeigi, A.; Morrow, W. Electrification of industrial boilers in the USA: Potentials, challenges, and policy implications. Energy Effic. 2022, 15, 70. [Google Scholar] [CrossRef]
  8. Arpagaus, C.; Bless, F.; Uhlmann, M.; Schiffmann, J.; Bertsch, J.J. High temperature heat pumps: Market overview, state of the art, research status, refrigerants, and application potentials. Energy 2018, 152, 985–1010. [Google Scholar] [CrossRef]
  9. Zühlsdorf, B.; Bühler, F.; Bantle, M.; Elmegaard, B. Analysis of technologies and potentials for heat pump-based process heat supply above 150 °C. Energy Convers. Manag. X 2019, 2, 100011. [Google Scholar] [CrossRef]
  10. Klute, S.; Budt, M.; Van Beek, M.; Doetsch, C. Steam generating heat pumps–Overview, classification, economics, and basic modeling principles. Energy Convers. Manag. 2024, 299, 117882. [Google Scholar] [CrossRef]
  11. Hamid, K.; Sajjad, U.; Ahrens, M.U.; Ren, S.; Ganesan, P.; Tolstorebrov, I.; Arshad, A.; Said, Z.; Hafner, A.; Wang, C.C.; et al. Potential evaluation of integrated high temperature heat pumps: A review of recent advances. Appl. Therm. Eng. 2023, 230, 120720. [Google Scholar] [CrossRef]
  12. Annex 58 Task 1. Available online: https://heatpumpingtechnologies.org/annex58/task1/ (accessed on 15 July 2024).
  13. Bolognese, M.; Viesi, D.; Bartali, R.; Crema, L. Modeling study for low-carbon industrial processes integrating solar thermal technologies. A case study in the Italian Alps: The Felicetti Pasta Factory. Solar Energy 2020, 208, 548–558. [Google Scholar] [CrossRef]
  14. Buscemi, A.; Panno, D.; Ciulla, G.; Beccali, M.; Brano, V.L. Concrete thermal energy storage for linear Fresnel collectors: Exploiting the South Mediterranean’s solar potential for agri-food processes. Energy Convers. Manag. 2018, 166, 719–734. [Google Scholar] [CrossRef]
  15. Masera, K.; Tannous, H.; Stojceska, V.; Tassou, S. An investigation of the recent advances of the integration of solar thermal energy systems to the dairy processes. Renew. Sustain. Energy Rev. 2023, 172, 113028. [Google Scholar] [CrossRef]
  16. Quiñones, G.; Felbol, C.; Valenzuela, C.; Cardemil, J.M.; Escobar, R.A. Analyzing the potential for solar thermal energy utilization in the Chilean copper mining industry. Solar Energy 2020, 197, 292–310. [Google Scholar] [CrossRef]
  17. Silva, R.; Berenguel, M.; Pérez, M.; Fernández-Garcia, A. Thermo-economic design optimization of parabolic trough solar plants for industrial process heat applications with memetic algorithms. Appl. Energy 2014, 113, 603–614. [Google Scholar] [CrossRef]
  18. Vieren, E.; Demeester, T.; Beyne, W.; Magni, C.; Abedini, H.; Arpagaus, C.; Bertsch, S.; Arteconi, A.; De Paepe, M.; Lecompte, S. The Potential of Vapor Compression Heat Pumps Supplying Process Heat between 100 and 200 °C in the Chemical Industry. Energies 2023, 16, 6473. [Google Scholar] [CrossRef]
  19. Marina, A.; Spoelstra, S.; Zondag, H.A.; Wemmers, A.K. An estimation of the European industrial heat pump market potential. Renew. Sustain. Energy Rev. 2021, 139, 110545. [Google Scholar] [CrossRef]
  20. Payá, J.; Cazorla-Marín, A.; Arpagaus, C.; Ciganda, J.L.C.; Hassan, A.H. Low-Pressure Steam Generation with Concentrating Solar Energy and Different Heat Upgrade Technologies: Potential in the European Industry. Sustainability 2024, 16, 1733. [Google Scholar] [CrossRef]
  21. Rosales-Pérez, J.F.; Villarruel-Jaramillo, A.; Romero-Ramos, J.A.; Pérez-García, M.; Cardemil, J.M.; Escobar, R. Hybrid System of Photovoltaic and Solar Thermal Technologies for Industrial Process Heat. Energies 2023, 16, 2220. [Google Scholar] [CrossRef]
  22. Saini, P.; Ghasemi, M.; Arpagaus, C.; Bless, F.; Bertsch, S.; Zhang, X. Techno-economic comparative analysis of solar thermal collectors and high-temperature heat pumps for industrial steam generation. Energy Convers. Manag. 2023, 277, 116623. [Google Scholar] [CrossRef]
  23. Mousa, O.B.; Taylor, R.A.; Shirazi, A. Multi-objective optimization of solar photovoltaic and solar thermal collectors for industrial rooftop applications. Energy Convers. Manag. 2019, 195, 392–408. [Google Scholar] [CrossRef]
  24. Marcos, J.D.; Golpour, I.; Barbero, R.; Rovira, A. Decarbonizing European Industry: A Novel Technology to Heat Supply Using Waste and Renewable Energy. Appl. Sci. 2024, 14, 8994. [Google Scholar] [CrossRef]
  25. Butean, A.; Enriquez, J.; Matei, A.; Rovira, A.; Barbero, R.; Trevisan, S. A digital twin concept for optimizing the use of high-temperature heat pumps to reduce waste in industrial renewable energy systems. In Procedia Computer Science; Elsevier: Amsterdam, The Netherlands, 2024; pp. 123–128. [Google Scholar] [CrossRef]
  26. Famiglietti, A.; Abbas, R. Generación De Vapor En Industria Con Colectores Solares Fresnel Y Bomba De Calor De Alta Temperatura. In CIES 2024, XIX Congreso Ibérico y XV Congreso Iberoamericano de Energía Solar; Pedro Horta, E., Ed.; Universidade de Evora: Evora, Portugal, 2024. [Google Scholar]
  27. DLR. Softwaretool Greenius. Available online: https://www.dlr.de/en/sf/research-and-transfer/research-services/simulation-and-profitability-assessment/greenius-software-tool (accessed on 1 June 2024).
  28. Enerin. Available online: https://www.enerin.no/ (accessed on 15 July 2024).
  29. Seider, W.D.; Lewin, D.R.; Seader, J.D.; Widagdo, S.; Gani, R.; Ng, K.M. Product and Process Design Principles: Synthesis, Analysis, and Evaluation, 4th ed.; John Wiley & Sons: Hoboken, NJ, USA, 2017. [Google Scholar]
  30. Maxwell, C. Cost Indices. 2024. Available online: https://toweringskills.com/financial-analysis/cost-indices/ (accessed on 1 June 2024).
  31. Solatom. Solar Steam for Industrial Processes. Available online: http://www.solatom.com/ (accessed on 1 June 2024).
  32. Giostri, A.; Binotti, M.; Silva, P.; Macchi, E.; Manzolini, G. Comparison of Two Linear Collectors in Solar Thermal Plants: Parabolic Trough Vs Fresnel. In Proceedings of the ASME 2011 International Conference on Energy Sustainability, Washington, DC, USA, 7–10 August 2011. [Google Scholar]
  33. Anderson, K.S.; Hansen, C.W.; Holmgren, W.F.; Jensen, A.R.; Mikofski, M.A.; Driesse, A. pvlib python: 2023 project update. J. Open Source Softw. 2023, 8, 5994. [Google Scholar] [CrossRef]
  34. Duffie, J.A.; Beckman, W.A.; McGowan, J. Solar Engineering of Thermal Processes. Am. J. Phys. 1985, 53, 382. [Google Scholar] [CrossRef]
  35. Burkholder, F.; Kutscher, C.F. Heat Loss Testing of Schott’s 2008 PTR70 Parabolic Trough Receiver; NREL Technical Report NREL/TP-550-45633; NREL: Golden, CO, USA, 2009; p. 58. Available online: http://www.nrel.gov/docs/fy09osti/45633.pdf (accessed on 1 June 2024).
  36. Solatom. The Solar Simulator for Industrial Processes. Available online: http://www.ressspi.com (accessed on 1 June 2024).
  37. Martín-Chivelet, N. Photovoltaic potential and land-use estimation methodology. Energy 2016, 94, 233–242. [Google Scholar] [CrossRef]
  38. Renewable Power Generation Costs in 2023 2. 2024. Available online: http://www.irena.org (accessed on 1 June 2024).
  39. Høeg, A.; Løver, K.; Asphjell, T.-A.; Lümmen, N. Performance of a New Ultra-High Temperature Industrial Heat Pump. 2023. Available online: https://www.researchgate.net/publication/371192209 (accessed on 1 June 2024).
  40. Høeg, A.; Løver, K.; Vartdal, G. Performance of a High-Temperature Industrial Heat Pump, using Helium as Refrigerant; High-Temperature Heat Pump Symposium: Copenhagen, Denmark, 2024. [Google Scholar]
  41. EU Science Hub. PVGIS. Available online: https://ec.europa.eu/jrc/en/pvgis (accessed on 1 June 2024).
  42. IEA-SHC Task 54, 2019, no. 1, pp. 1–7. Available online: http://task54.iea-shc.org/ (accessed on 1 June 2024).
Figure 1. PTC (a) and LFC (b) principles.
Figure 1. PTC (a) and LFC (b) principles.
Solar 05 00027 g001
Figure 2. Indirect steam generation using CST as a heat source.
Figure 2. Indirect steam generation using CST as a heat source.
Solar 05 00027 g002
Figure 3. Indirect steam generation using PV-HP as a heat source.
Figure 3. Indirect steam generation using PV-HP as a heat source.
Solar 05 00027 g003
Figure 4. Hybrid scheme for indirect solar generation using CST and PV-HP as a heat source.
Figure 4. Hybrid scheme for indirect solar generation using CST and PV-HP as a heat source.
Solar 05 00027 g004
Figure 5. PV rows mutual shadowing.
Figure 5. PV rows mutual shadowing.
Solar 05 00027 g005
Figure 6. Heatmap representation of Heat Pump COP at rated power.
Figure 6. Heatmap representation of Heat Pump COP at rated power.
Solar 05 00027 g006
Figure 7. Flowchart illustrating the logical algorithm used for the energetic and economic analysis.
Figure 7. Flowchart illustrating the logical algorithm used for the energetic and economic analysis.
Solar 05 00027 g007
Figure 8. Comparison of CST, horizontal PV-HP, and tilted PV-HP across EU27 countries, E A g r and LCOH.
Figure 8. Comparison of CST, horizontal PV-HP, and tilted PV-HP across EU27 countries, E A g r and LCOH.
Solar 05 00027 g008
Figure 9. E A g r and LCOH plotted against the GHI.
Figure 9. E A g r and LCOH plotted against the GHI.
Solar 05 00027 g009
Figure 10. Favorable option for the energetic objective, E A , g r (a), economic objective L C O H (b), the combined objectives (c).
Figure 10. Favorable option for the energetic objective, E A , g r (a), economic objective L C O H (b), the combined objectives (c).
Solar 05 00027 g010
Figure 11. Variation in A g r , E and LCOH with R h y either considering horizontal and tiled PV.
Figure 11. Variation in A g r , E and LCOH with R h y either considering horizontal and tiled PV.
Solar 05 00027 g011
Figure 12. Pareto front for the representative cities varying R h y for the hybrid CST//PV-HP.
Figure 12. Pareto front for the representative cities varying R h y for the hybrid CST//PV-HP.
Solar 05 00027 g012
Figure 13. Partitioning of ground area A g r between PV and CST solar fields according to optimum hybridization ratio R h y , o p t .
Figure 13. Partitioning of ground area A g r between PV and CST solar fields according to optimum hybridization ratio R h y , o p t .
Solar 05 00027 g013
Figure 14. E A , g r provided by CST, PV-HP, and the whole hybrid scheme.
Figure 14. E A , g r provided by CST, PV-HP, and the whole hybrid scheme.
Solar 05 00027 g014
Figure 15. Variation in E A , g r for the hybrid scheme with respect to CST alone (a) and variation in L C O H for the hybrid scheme with respect to CST alone (b).
Figure 15. Variation in E A , g r for the hybrid scheme with respect to CST alone (a) and variation in L C O H for the hybrid scheme with respect to CST alone (b).
Solar 05 00027 g015
Table 1. HT-HP technologies under development from [12].
Table 1. HT-HP technologies under development from [12].
ProviderT Sink MaxTRLCapacity MWtCompressor
Spilling280 °C91.0–15.0Piston
Enerin250 °C60.3–10 Piston
Qpinch230 °C9>20.0 Chemical Adsorption heat transformer
Piller212 °C8–91.0–70.0Turbo
Turboden200 °C7–93.0–30.0Turbo
Olvondo200 °C90.5Piston(Double acting)
ToCircle188 °C70.3–0.7 Rolling Piston
Kobelco Compressor Corp. (MSRC160L)175 °C90.8Twin-screw
Kobelco Compressor Corp. (SGH165)175 °C90.4 Twin-screw
Heaten165 °C7–91–6 Reciprocating custom design
Sustainable process heat165 °C6–80.3–5 Piston
SRM165 °C50.2–0.25 Screw
Siemens Energy160 °C9 (90)8.0–70.0Turbo (Geared/single-shaft)
Rank 160 °C70.12–0.2 Screw
Weel and Sandvig160 °C4–91–5 Turbo
Enertime160 °C4–82–10Centrifugal
Aneo Industry150 °C7–81.2–10 Centrifugal/Piston
Epcon150 °C90.5–30.0HP Centrifugal Fan
MAN Energy Solution150 °C7–810.0–50.0Centrifugal Turbo with expander
Ecop150 °C6–70.7Centrifugal
Table 2. Steam generator parameters.
Table 2. Steam generator parameters.
Steam Pressure p s 8   b a r
Steam Temperature T s 170   ° C
Condensate Temperature T c o n d 150   ° C
Load Profile 24 / 7
Temperature glide liquid side T l 30   ° C
Heat exchange overtemperature T H X 10   ° C
Overtemperature parameter T s a f e 10   ° C
Table 3. CST parameters and data.
Table 3. CST parameters and data.
Length of the module L m 5.28   m
Aperture W a 5.00   m
Ground Aperture W g r 6.50   m
Height H m 2.72   m
Active area of the module A m 26.40   m 2
Internal diameter receiver D 0.066   m
External diameter receiver D e x 0.07   m
Maximum optical efficiency η o p 0 0.632
Solar field availability η a v 0.965
Mirrors cleanliness η c l e a n 0.95
Table 4. PV parameters.
Table 4. PV parameters.
Cleanliness η c l e a n 0.95
Inverter efficiency η i n v 0.955
Aging η a g i n g 0.935
Joule losses η J o u l e 0.98
Conversion efficiency at
T r e f , nominal load
η c o n v , 0 0.19
Reference temperature T r e f 25 [°C]
Load coefficient c L 0.015678
Heating coefficient c G 0.022
Temperature coefficient c T −0.37
Module height H P V 1 [m]
Table 5. HP parameters.
Table 5. HP parameters.
Sink temperature T s i n k 180 / 210   ° C
Source temperature T s o u r c e 25 / 15   ° C
Maximum lift 200   ° C
Design COP C O P d 1.77
Unitary Cost c H P 700   E U R / k W t
Table 6. Selected cities.
Table 6. Selected cities.
CityLatitudeLongitudeGHI [MWh/m2]
Lisbon38.71−9.141.69
Porto41.15−8.611.57
Madrid40.42−3.701.80
Seville37.39−6.001.87
Santander43.46−3.811.30
Palermo38.1113.351.73
Rome41.8912.481.63
Milan45.469.191.51
Paris48.852.351.25
Marseille43.305.371.67
Klis43.5616.521.53
Vienna48.2116.371.28
Budapest47.5019.041.34
Bern46.957.451.25
Bucharest44.4426.091.47
Munich48.1411.581.19
Berlin52.5113.401.19
Copenhagen55.6912.571.06
Helsinki60.1724.940.99
Disclaimer/Publisher’s Note: The statements, opinions and data contained in all publications are solely those of the individual author(s) and contributor(s) and not of MDPI and/or the editor(s). MDPI and/or the editor(s) disclaim responsibility for any injury to people or property resulting from any ideas, methods, instructions or products referred to in the content.

Share and Cite

MDPI and ACS Style

Famiglietti, A.; Abbas, R. Steam Generation for Industry Using Linear Fresnel Solar Collectors and PV-Driven High-Temperature Heat Pumps: Techno-Economic Analysis. Solar 2025, 5, 27. https://doi.org/10.3390/solar5020027

AMA Style

Famiglietti A, Abbas R. Steam Generation for Industry Using Linear Fresnel Solar Collectors and PV-Driven High-Temperature Heat Pumps: Techno-Economic Analysis. Solar. 2025; 5(2):27. https://doi.org/10.3390/solar5020027

Chicago/Turabian Style

Famiglietti, Antonio, and Ruben Abbas. 2025. "Steam Generation for Industry Using Linear Fresnel Solar Collectors and PV-Driven High-Temperature Heat Pumps: Techno-Economic Analysis" Solar 5, no. 2: 27. https://doi.org/10.3390/solar5020027

APA Style

Famiglietti, A., & Abbas, R. (2025). Steam Generation for Industry Using Linear Fresnel Solar Collectors and PV-Driven High-Temperature Heat Pumps: Techno-Economic Analysis. Solar, 5(2), 27. https://doi.org/10.3390/solar5020027

Article Metrics

Back to TopTop