Previous Issue
Volume 5, December
 
 

Constr. Mater., Volume 6, Issue 1 (February 2026) – 10 articles

  • Issues are regarded as officially published after their release is announced to the table of contents alert mailing list.
  • You may sign up for e-mail alerts to receive table of contents of newly released issues.
  • PDF is the official format for papers published in both, html and pdf forms. To view the papers in pdf format, click on the "PDF Full-text" link, and use the free Adobe Reader to open them.
Order results
Result details
Select all
Export citation of selected articles as:
19 pages, 2976 KB  
Article
Thermal Conductivity and Volumetric Heat Capacity of Recycled Concrete Aggregates Blended with Autoclaved Aerated Concrete Grains for Road Base Materials in Vietnam
by Van Nam Pham, Toshihiro Sakaki and Ken Kawamoto
Constr. Mater. 2026, 6(1), 10; https://doi.org/10.3390/constrmater6010010 (registering DOI) - 3 Feb 2026
Abstract
Thermal properties, such as thermal conductivity (λ) and heat capacity (Cv), are important in understanding heat transport and the urban heat island (UHI) effect. While many studies focus on surface materials rather than roadbed materials, this study targeted [...] Read more.
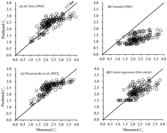
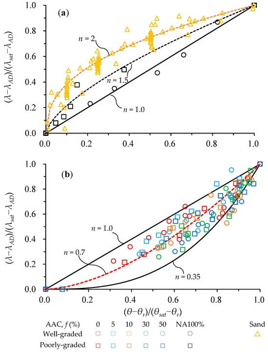
Thermal properties, such as thermal conductivity (λ) and heat capacity (Cv), are important in understanding heat transport and the urban heat island (UHI) effect. While many studies focus on surface materials rather than roadbed materials, this study targeted roadbed materials using recycled concrete aggregates mixed with autoclaved aerated concrete (AAC) grains to experimentally measure and to predict the λ and Cv under varied moisture conditions. The results showed that both λ and Cv of all tested samples increased linearly with increasing volumetric water content (θ), and the increment of AAC was effective in reducing the λ values in the whole range of θ. The addition of AAC, on the other hand, did not affect the measured Cv significantly and gave a linear increase in Cv with the increase in θ. The performance of predictive models showed that Archie’s-second-law-based model captured the measured λ values for all tested samples well by modifying the saturation exponent (n = 0.7), and the classic de Vries model predicted the measured Cv well, suggesting that Archie’s-second-law-based model would be useful to evaluate heat transport parameters for roadbed materials in this study. Full article
(This article belongs to the Topic Green Construction Materials and Construction Innovation)
Show Figures

Figure 1

18 pages, 22502 KB  
Communication
Welding of Steel with a High Carbon Equivalent and Bainite Microstructure with Extremely Low Heat Input
by Mikhailo Brykov, Vasyl’ Girzhon, Volodymyr Lebedev, Ruslan Kulykovskyi, Oleksii Kapustyan, Olexandr Klymov, Alexey Efremenko and Denys Molochkov
Constr. Mater. 2026, 6(1), 9; https://doi.org/10.3390/constrmater6010009 - 30 Jan 2026
Viewed by 62
Abstract
Samples of medium-carbon low alloyed steel (0.45 wt% C, 2.61 wt% Mn, 1.57 wt% Si) with bainite microstructure were welded using the cold metal transfer method. A series of single welding “dots” was made to produce welding joints using austenitic welding wires. The [...] Read more.
Samples of medium-carbon low alloyed steel (0.45 wt% C, 2.61 wt% Mn, 1.57 wt% Si) with bainite microstructure were welded using the cold metal transfer method. A series of single welding “dots” was made to produce welding joints using austenitic welding wires. The heat input was adjusted to the minimal possible level of 500–800 J per “dot”. Tensile tests of welded samples demonstrated that quality welds were obtained. All samples were broken via welded metal, showing tensile strength 530–670 MPa, which is inherent to the material of the welding wires. It was determined that the time required for phase transformations in the heat-affected zone during the thermal cycle is an order of magnitude greater than the time of temperature flash during producing a single welding “dot”. The results of extensive hardness measurements of material in the heat-affected zone, along with macro- and microstructure investigations, are presented. It has been demonstrated that cold metal transfer welding technology can be successfully used for welding steel with high carbon equivalent and bainite microstructure without preheating and with minimal deterioration of properties in the heat-affected zone. Full article
Show Figures

Figure 1

17 pages, 2681 KB  
Article
Durability of One-Part Alkali-Activated Binder Made with Alternative Sodium Silicate
by Rodrigo H. Geraldo, Jardel P. Gonçalves and Gladis Camarini
Constr. Mater. 2026, 6(1), 8; https://doi.org/10.3390/constrmater6010008 - 28 Jan 2026
Viewed by 78
Abstract
Recent studies have highlighted the potential for production of an alternative sodium silicate in powder obtained by mixing NaOH with rice husk ash, followed by a dissolution and drying process. This alternative sodium silicate, when mixed with metakaolin and dried under special conditions, [...] Read more.
Recent studies have highlighted the potential for production of an alternative sodium silicate in powder obtained by mixing NaOH with rice husk ash, followed by a dissolution and drying process. This alternative sodium silicate, when mixed with metakaolin and dried under special conditions, results in an eco-friendly one-part alkali-activated binder (OPAAB). However, the durability performance of OPAAB incorporating RHA-derived sodium silicate remains largely unexplored. This study focuses on an experimental investigation of OPAAB mortar durability, analyzing permeability, high-temperature exposure, wet-and-dry cycles, and resistance to aggressive environments (sulfate and acid attack). A two-part mix mortar made with the same precursors was used as a reference. It was found that the OPAAB mortars were not affected by the wet-and-dry cycles nor the sulfate attack. Exposure to high temperature (900 °C for 1 h) did not cause specimen failure, which had a residual compressive strength higher than 5 MPa. Finally, exposure to sulfuric acid for 56 days decreased the mechanical strength of the mortars, but all the specimens maintained a residual compressive strength higher than 4 MPa. The durability performance of the mortars produced with OPAAB incorporating RHA-derived sodium silicate was similar to the two-part mix mortars (reference), demonstrating technical feasibility and advancing the understanding of durability aspects for application in civil construction. Full article
Show Figures

Figure 1

18 pages, 1312 KB  
Article
Optimization of Sisal Content in Geopolymer Mortars with Recycled Brick and Concrete: Design and Processing Implications
by Oscar Graos-Alva, Aldo Castillo-Chung, Marisol Contreras-Quiñones and Alexander Vega-Anticona
Constr. Mater. 2026, 6(1), 7; https://doi.org/10.3390/constrmater6010007 - 26 Jan 2026
Viewed by 106
Abstract
Geopolymer mortars were produced from construction and demolition waste using a binary binder of recycled brick powder/recycled concrete powder (RBP/RCP = 70/30 wt%), activated with a hybrid alkaline solution (NaOH/Na2SiO3/KOH) and reinforced with sisal fibres at 0–2 wt%. Mechanical [...] Read more.
Geopolymer mortars were produced from construction and demolition waste using a binary binder of recycled brick powder/recycled concrete powder (RBP/RCP = 70/30 wt%), activated with a hybrid alkaline solution (NaOH/Na2SiO3/KOH) and reinforced with sisal fibres at 0–2 wt%. Mechanical performance (compression and three-point bending) and microstructure–phase evolution (XRD, FTIR, SEM-EDS) were assessed after low-temperature curing. Sisal addition delivered a strength–toughness trade-off with a reproducible optimum at ~1.0–1.5 wt%; at 2.0 wt%, fibre clustering and connected porosity reduced the effective load-bearing section, penalising flexure more than compression. Microstructural evidence indicates coexistence and co-crosslinking of N-A-S-H and C-(A)-S-H gels—enabled by Ca from RCP—leading to matrix densification and improved fibre–matrix anchorage. Fractographic features (tortuous crack paths, bridging, and extensive pull-out at ~1.5 wt%) are consistent with an extended post-peak response and higher fracture work without compromising early-age strength. This study achieves the following: (i) it identifies a practical reinforcement window for sisal in RBP/RCP geopolymers, (ii) it links gel chemistry and interfacial phenomena to macroscopic behaviour, and (iii) it distils processing guidelines (gradual addition, workability control, gentle deaeration, and constant A/S) that support reproducibility. These outcomes provide a replicable, low-embodied-CO2 route to fibre-reinforced geopolymer mortars derived from CDW for non-structural and semi-structural applications where flexural performance and post-peak behaviour are critical. Full article
Show Figures

Figure 1

24 pages, 4503 KB  
Article
Predicting Friction Number in CRCP Using GA-Optimized Gradient Boosting Machines
by Ali Juma Alnaqbi, Waleed Zeiada and Ghazi G. Al-Khateeb
Constr. Mater. 2026, 6(1), 6; https://doi.org/10.3390/constrmater6010006 - 15 Jan 2026
Viewed by 125
Abstract
Road safety and maintenance strategy optimization depend on accurate pavement surface friction prediction. In order to predict the Friction Number for Continuously Reinforced Concrete Pavement (CRCP) sections using data taken from the Long-Term Pavement Performance (LTPP) database, this study presents a hybrid machine [...] Read more.
Road safety and maintenance strategy optimization depend on accurate pavement surface friction prediction. In order to predict the Friction Number for Continuously Reinforced Concrete Pavement (CRCP) sections using data taken from the Long-Term Pavement Performance (LTPP) database, this study presents a hybrid machine learning framework that combines Gradient Boosting Machines (GBMs) with Genetic Algorithm (GA) optimization. Twenty input variables from the structural, climatic, traffic, and performance categories were used in the analysis of 395 data points from 33 CRCP sections. With a mean Root Mean Squared Error (RMSE) of 3.644 and a mean R-squared (R2) value of 0.830, the GA-optimized GBM model outperformed baseline models such as non-optimized GBM, Linear Regression, Random Forest, Support Vector Regression (SVR), and Artificial Neural Networks (ANN). The most significant predictors, according to sensitivity analysis, were AADT, Total Thickness, Freeze Index, and Pavement Age. The marginal effects of these variables on the expected friction levels were illustrated using partial dependence plots (PDPs). The results show that the suggested GA-GBM model offers a strong and comprehensible instrument for forecasting pavement friction, with substantial potential for improving safety evaluations and maintenance scheduling in networks of rigid pavement. Full article
Show Figures

Figure 1

28 pages, 6063 KB  
Article
Experimental and Analytical Investigations on Glass-FRP Shear Transfer Reinforcement for Composite Concrete Construction
by Amr El Ragaby, Jehad Alkatan, Faouzi Ghrib and Mofrhe Alruwaili
Constr. Mater. 2026, 6(1), 5; https://doi.org/10.3390/constrmater6010005 - 9 Jan 2026
Viewed by 250
Abstract
In accelerated bridge construction, precast concrete girders are connected to cast-in-place concrete slab using shear transfer reinforcement across the interface plane to ensure the composite action. The steel transverse reinforcement is prone to severe corrosion due to the extensive use of de-icing salts [...] Read more.
In accelerated bridge construction, precast concrete girders are connected to cast-in-place concrete slab using shear transfer reinforcement across the interface plane to ensure the composite action. The steel transverse reinforcement is prone to severe corrosion due to the extensive use of de-icing salts and severe environmental conditions. As glass fiber-reinforced polymer (GFRP) reinforcement has shown to be an effective alternative to conventional steel rebars as flexural and shear reinforcement, the present research work is exploring the performance of GFRP reinforcements as shear transfer reinforcement between precast and cast-in-place concretes. Experimental testing was carried out on forty large-scale push-off specimens. Each specimen consists of two L-shaped concrete blocks cast at different times, cold joints, where GFRP reinforcement was used as shear friction reinforcement across the interface with no special treatment applied to the concrete surface at the interface. The investigated parameters included the GFRP reinforcement shape (stirrups and headed bars), reinforcement ratio, axial stiffness, and the concrete compressive strength. The relative slip, reinforcement strain, ultimate strength, and failure modes were reported. The test results showed the effectiveness and competitive shear transfer performance of GFRP compared to steel rebars. A shear friction model for predicting the shear capacity of as-cast, cold concrete joints reinforced by GFRP reinforcement is introduced. Full article
Show Figures

Figure 1

18 pages, 3879 KB  
Article
Asphalt as a Plasticizer for Natural Rubber in Accelerated Production of Rubber-Modified Asphalt
by Bahruddin Ibrahim, Zuchra Helwani, Jahrizal, Nasruddin, Arya Wiranata, Edi Kurniawan and Anjar Siti Mashitoh
Constr. Mater. 2026, 6(1), 4; https://doi.org/10.3390/constrmater6010004 - 9 Jan 2026
Cited by 1 | Viewed by 222
Abstract
One of the main obstacles to producing natural rubber-modified asphalt is the difficulty of mixing Technical Specification Natural Rubber (TSNR) or its compounds with asphalt, leading to long mixing times and high costs. This study aims to evaluate the use of 60/70 penetration [...] Read more.
One of the main obstacles to producing natural rubber-modified asphalt is the difficulty of mixing Technical Specification Natural Rubber (TSNR) or its compounds with asphalt, leading to long mixing times and high costs. This study aims to evaluate the use of 60/70 penetration asphalt as a plasticizer to accelerate the mixing process and improve the rheological properties of modified asphalt using Technical Specification Natural Rubber (TSNR). The production process for technical specification natural rubber-modified asphalt involves two stages: the production of the technical specification natural rubber compound (CTSNR) and the production of CTSNR-based modified asphalt (CTSNRMA). The CTSNR production process begins with mastication of technical specification natural rubber (TSNR), followed by the addition of activators (zinc oxide, stearic acid), accelerators (Mercaptobenzothiazole sulfenamide (MBTS)), antioxidants (2,2,4-Trimethyl-1,2-dihydroquinoline (TMQ)), and 60/70 penetration asphalt as a plasticizer (at concentrations of 30%, 40%, and 50%). After homogeneous mixing for 30–60 min, the CTSNR is diluted 5–10 mm for the next mixing stage with hot asphalt at 160–170 °C. The best results of this study showed that CTSNR-modified asphalt with 4% rubber content and 50% plasticizer (CTSNRM-450) successfully reduced the mixing time to 16 min, making it more efficient than the traditional method, which takes up to 180 min. The addition of asphalt plasticizer decreased penetration to 35.6 dmm and increased the softening point to 55.4 °C. The CTSNRMA-440 formula, with 4% rubber content and 40% plasticizer, produced the best results in terms of storage stability, meeting the ASTM D5892 standard with a softening-point difference of 0.95 °C, which is well below the threshold of 2.2 °C. The CTSNRMA-440 sample achieved a Performance Grade (PG) of 76, suitable for hot-climate conditions, with a significant reduction in mixing time, greater stability, and increased resistance to high temperatures. Full article
(This article belongs to the Special Issue Advances in Sustainable Construction Materials for Asphalt Pavements)
Show Figures

Figure 1

15 pages, 3252 KB  
Article
Hydrophobic Modification of Concrete Using a Hydrophobizing Admixture
by Dulat Abdrassilov, Aleksej Aniskin, Zhanbolat Shakhmov and Rauan Lukpanov
Constr. Mater. 2026, 6(1), 3; https://doi.org/10.3390/constrmater6010003 - 6 Jan 2026
Viewed by 259
Abstract
The construction industry relies on building materials that provide not only high physical and mechanical performance but also adequate thermal and durability properties. However, several factors still limit the quality and service life of concrete products. The development of the construction industry provides [...] Read more.
The construction industry relies on building materials that provide not only high physical and mechanical performance but also adequate thermal and durability properties. However, several factors still limit the quality and service life of concrete products. The development of the construction industry provides new opportunities for designing efficient construction facilities. To obtain enhanced design capabilities, it is very important to relieve the load on the structure, this can be achieved by reducing the mass of materials without losing strength. This study investigates the enhancement of foam concrete through the combined incorporation of mineral fibers recycled from basalt insulation waste and complex polymer modifiers. The aim was to improve the material’s mechanical performance, durability, and pore structure stability while promoting the sustainable use of industrial by-products. The experimental program included tests on density, compressive strength, water absorption, and thermal conductivity for mixtures of different densities (400–1100 kg/m3). The results demonstrated that the inclusion of mineral fibers and polymer modifiers significantly enhanced structural uniformity and pore wall integrity. Compressive strength increased by up to 35%, water absorption decreased by 25%, and thermal conductivity was reduced by 18% compared with the control mixture. Full article
Show Figures

Figure 1

24 pages, 4356 KB  
Article
Design of Recycled Aggregate Fiber-Reinforced Concrete for Road and Airfield Applications Using Polypropylene Fibers and Fly Ash
by Vitalii Kryzhanovskyi, Sergii Kroviakov, Pavlo Shymchenko and Inna Aksyonova
Constr. Mater. 2026, 6(1), 2; https://doi.org/10.3390/constrmater6010002 - 5 Jan 2026
Cited by 1 | Viewed by 249
Abstract
Driving the circular economy in road construction requires the effective use of secondary materials like recycled concrete aggregate (RCA) and fly ash (FA). A key obstacle is the performance trade-off in concretes incorporating both materials. This research investigates feasible mix designs for road [...] Read more.
Driving the circular economy in road construction requires the effective use of secondary materials like recycled concrete aggregate (RCA) and fly ash (FA). A key obstacle is the performance trade-off in concretes incorporating both materials. This research investigates feasible mix designs for road concrete, using RCA as a full gravel replacement and FA as a cement substitute. Polypropylene fiber (36 mm) and a superplasticizer were utilized to mitigate fresh and hardened state drawbacks. The experimental program included 15 modified mixtures with recycled aggregate and 3 control mixtures with natural aggregate. The workability of all concrete mixtures was kept constant at slump class S1. Road concretes with RCA, containing a 10–12% FA by cement replacement, at least 2 kg/m3 of polypropylene fiber (PF), and 4 kg/m3 of superplasticizer (SP), achieve compressive strength of at least 50 MPa and flexural strength of no less than 5 MPa at the design age. This performance is comparable to that of control mixtures. Furthermore, the abrasion resistance ranges between 0.48–0.50 g/cm2, and the brittleness index falls within 0.095–0.100, significantly enhancing the durability of concrete for rigid pavement applications. The conducted cradle-to-gate life-cycle assessment (stages A1–A3) of the constituent materials for 1 m3 of concrete indicates the following environmental impacts: Global Warming Potential (GWP) of 195 kg CO2 equation, Non-renewable Primary Energy Demand (PENRE) of 1140 MJ, Abiotic Depletion Potential for Fossil resources (ADPF) of 1120 MJ, Acidification Potential (AP) of 0.45 mol H+ equation, and Eutrophication Potential (EP) of 0.07 kg PO43− equation It is established that the modified compositions not only meet the required performance criteria but also contribute to the goals of resource conservation in road construction. Full article
Show Figures

Figure 1

19 pages, 3524 KB  
Article
Beyond Burnt Bricks: Reassessing Otukpo Soil for Sustainable Construction Applications
by John Audu, Sylvester Osuji and Okiemute Ogirigbo
Constr. Mater. 2026, 6(1), 1; https://doi.org/10.3390/constrmater6010001 - 19 Dec 2025
Viewed by 535
Abstract
The Otukpo Burnt Brick Factory has remained dormant for more than three decades despite repeated government interventions. In this context, the present study investigates the suitability of soils from Otukpo, Benue State, Nigeria, for unfired brick production and as supplementary cementitious materials (SCMs). [...] Read more.
The Otukpo Burnt Brick Factory has remained dormant for more than three decades despite repeated government interventions. In this context, the present study investigates the suitability of soils from Otukpo, Benue State, Nigeria, for unfired brick production and as supplementary cementitious materials (SCMs). Four representative samples (OT1–OT4) were subjected to X-ray fluorescence (XRF), thermogravimetric analysis (TGA), particle size distribution (PSD), X-ray diffraction (XRD), unconfined compressive strength (UCS), cube strength, shrinkage, and water absorption tests. The results revealed high reactive oxide contents (SiO2 + Al2O3 + Fe2O3 > 93%) with low SO3 and moderate loss on ignition (~6%), thus indicating strong pozzolanic potential. PSD residues on the 45 µm sieve ranged from 6.8 to 17%, which is well below the ASTM C618 limit of 34%. XRD confirmed quartz and kaolinite as dominant phases. Strength activity indices showed that only OT3 and OT4 exceeded Nigerian (NIS 693:2007) and Indian (IS 1725:2023) standards when stabilized with 5 wt.% cement or sodium hydroxide; while OT1 and OT2 were below these thresholds. Water absorption values for OT3 (18.69%) and OT4 (19.04%) marginally satisfied Indian standards but failed Nigerian requirements, which is reflective of high porosity. Linear shrinkage (~14%) met IS 1498 marginally, and pH values (6.14–6.34) were consistent with lateritic soils. Overall, OT3 and OT4 demonstrated promise for low-energy SCMs and unfired brick applications, though they must be restricted to non-load-bearing uses unless further stabilization is applied. Full article
Show Figures

Figure 1

Previous Issue
Back to TopTop