Abstract
Palladium phthalocyanine (PdPc) and palladium phthalocyanine integrated with tin–zinc oxide (PdPc:SnZnO) were prepared using a simple chemical approach, and their structural and morphological properties were identified using X-ray diffraction, energy dispersive X-ray analysis, scanning electron microscopy, and transmission electron microscopy techniques. The PdPc:SnZnO nanohybrid revealed a polycrystalline structure combining n-type metal oxide SnZnO nanoparticles with p-type organic PdPc molecules. The surface morphology exhibited wrinkled nanofibers decorated with tiny spheres and had a large aspect ratio. The thin film revealed significant optical absorption within the ultraviolet and visible spectra, with narrow band gaps measured at 1.52 eV and 2.60 eV. The electronic characteristics of Al/n-Si/PdPc/Ag and Al/n-Si/PdPc:SnZnO/Ag Schottky diodes were investigated using the current–voltage dependence in both the dark conditions and under illumination. The photodiodes displayed non-ideal behavior with an ideality factor greater than unity. The hybrid diode showed considerably high rectification ratio of 899, quite a low potential barrier, substantial specific photodetectivity, and high enough quantum efficiency, found to be influenced by dopant atoms and the unique topological architecture of the nanohybrid. The capacitance/conductance–voltage dependence measurements revealed the influence of alternative current signals on trapped centers at the interface state, leading to an increase in charge carrier density.
    Keywords:
                                                                    co-precipitation;                    nanohybrid;                    energy gap;                    Schottky diode;                    solar power;                    photovoltaic system        1. Introduction
The excessive use of fossil fuels leads to massive carbon dioxide gas emissions, atmospheric pollution, and global warming, posing a high danger to both the environment and human health. Recent investigations have revealed that traditional energy resources such as oil, coal, and natural gas are projected to be depleted within the next few decades due to rapid industrialization and growing global energy demand. These significant issues have prompted to seek out clean, scalable, and reliable energy resources. Solar power-based nanotechnology has emerged as a promising innovative strategy due to its unlimited availability and environmental friendliness. Photodetectors are specialized photovoltaic (PV) cells that generate electricity by converting incident photons from the sun into electrical signals. However, the excessive cost and quite low efficiency of the photodetectors present significant barriers to widespread adoption [,]. At present, exceptional progress has been made in the development of this technology. In this context, a new class of hybrid semiconductors that blend organic and inorganic advantages has been designed. Inorganic semiconductors have many advantages, including quite high chemical reactivity, stable performance responsivity, considerably fast response speed, considerably high photosensitivity, and thermal stability.
For example, zinc oxide (ZnO) is a transparent conductive oxide with an exciton energy of 60 meV, a bulk electron mobility of about 200 cm2 V−1 s−1, high enough optical transparency, and a relatively small crystal size, making it suitable for solar cells, supercapacitors, and fuel cells. Nevertheless, the aggregation of nanoparticles (NPs) and rapid electron–hole  recombination are the main drawbacks that limit their applications. Furthermore, the wide energy gap of 3.37 eV allows it to only absorb ultraviolet (UV) radiation to generate free charge carriers. Therefore, adjusting the composition, structure, and morphology of ZnO by doping with appropriate transition metals (e.g., Cd, Mn, Ru, Pt, Pd, Ag, Sn, etc.) is required to achieve higher optoelectronic efficiency by reducing recombination and providing a direct pathway for electron transport [,]. In the study [], a highly photosensitive zinc tin oxide (ZnO–SnO2) nanocomposite was prepared that enhanced the efficiency of the Al/p-Si/ZnO–SnO2/Al Schottky diode. When stannic ions (Sn4+) replace zinc ions (Zn2+) inside the ZnO framework, additional energy levels are generated into the energy gap, supporting more active sites. Adding specific cations to the host zinc oxide lattice is a beneficial way to shift the optical absorption into the visible spectrum and enhance photocarrier generation. Organic and metal–organic frameworks (MOFs) offer lightweight, high enough flexibility, photonic selectivity, and rich carbon particles linked by weak forces, making them promising compounds across various technological fields. Metallophthalocyanines (MPcs) are two-dimensional aromatic molecules with 18 delocalized electrons that contribute to the broadening of the optical absorption spectrum by absorbing different wavelengths. Furthermore, two main bands, the Q-band in the visible (Vis) region and the Soret band (B-band) in the UV region or near the Vis spectrum, enable the phthalocyanine (Pc) compounds to absorb photon energy more effectively. It is possible to substitute the central cavity of Pcs with different transition metals such as Cu, Ga, Pd, Zn, Ni, Mn, and Fe to obtain new composites with special physicochemical properties [,]. Recently, nickel phthalocyanine (NiPc) and cobalt phthalocyanine (CoPc) were utilized as hole-transporting layers to enhance the power conversion yield of perovskite solar cells [].
Palladium phthalocyanine (PdPc) has been applied in energy storage, photocatalysis, dye-sensitized solar cells, and organic light-emitting diodes (OLEDs) owing to its favorable chemical reactivity and enhanced hole mobility. It is a divalent metal characterized by a greater exciton diffusion length relative to copper phthalocyanine (CuPc) and zinc phthalocyanine (ZnPc). In the study [], the photoelectric characteristics of PdPc was improved as a photoactive layer to advance solar energy applications. Palladium phthalocyanine is an effective semiconductor with favorable energy levels (highest occupied/lower unoccupied molecular orbitals, HOMO/LUMO) and significant light absorption. The integration of PdPc with metal or metal oxide NPs can improve the photocurrent sensitivity of photodetectors due to their higher ability to generate excitons that dissociate into free charge carriers. Engineering the surface morphology in one dimension (1D), such as nanowires (NWs), nanofibers (NFs), and nanorods (NRs), is crucial in reinforcing nanomaterial stability by supplying precise band alignment structure. NFs have quite a high aspect ratio, flexibility in surface functionalities, and an interconnected porous network structure, which can be classified according to their composition as inorganic, organic, and carbon materials [,]. In the current study, organic/inorganic framework-based nanofibers were synthesized using the cost-effective co-precipitation method. The construction of p-n heterojunctions via the integration of p-type PdPc and n-type SnZnO into the nanohybrid matrix considerably improved the photoelectric activity and electrical conductivity of the Schottky diode by facilitating  separation and inducing additional photocarrier transfer.
2. Material and Methodology
2.1. Materials and Reagents
All reagents utilized in this study were used without further purification: zinc acetate anhydrous (ZnCH3COO)2 with the purity not lower than 98%), tin chloride dihydrate (SnCl2·2H2O, not lower than 98%), ammonium chloride, ammonium molybdate, isopropanol, phthalic anhydride (C6H4(CO)2O, above 97%), palladium chloride (PdCl2, above 97%), and sodium hydroxide (NaOH, above 97%) were purchased from Merck and Sigma-Aldrich company (St. Luis, MO, USA). Aluminum metal (Al, with the purity of 99.9%), silver metal (Ag, 99.9%), n-type silicon, acetone, urea, sulfuric acid (H2SO4), ethyl alcohol, and dimethylformamide (DMF) were obtained from Alfa Aesar and Al-Gomhuria company (Cairo, Egypt). 
2.2. Synthesis of Sn-Doped ZnO
Tin-doped zinc oxide (Sn0.10Zn0.90O) has been synthesized by the chemical co-precipitation route. In this chemical reaction, 4.65 g of anhydrous zinc acetate (ZnCH3COO)2 and 0.70 g of tin chloride dihydrate (SnCl2·2H2O) were separately dissolved in 55 mL and 15 mL of deionized water, respectively. The precursor solutions were mixed under stirring for 3 h at room temperature. The sodium hydroxide (NaOH) solution was carefully added dropwise to the above mixture with continuous stirring at a constant speed for about 6 h. When the pH was about 9, a white solid precipitate was formed, separated with filter paper, and subsequently washed several times with double distilled water to remove residuals or unreacted salt ions. To obtain Sn:ZnO NPs, the resulting powder was dried in a muffle furnace at 70 °C overnight and then calcined in an oven at 400 °C for 2 h [].
2.3. Preparation of PdPc Compound
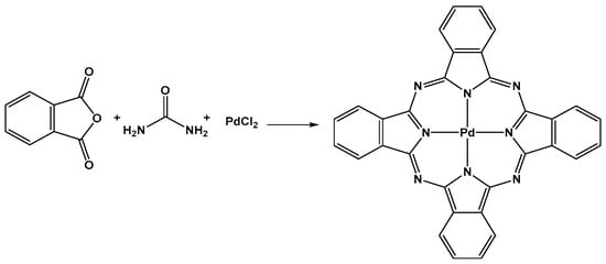
To prepare palladium phthalocyanine (PdPc), the following substances were ground to a homogenous powder: urea (92 mmol, 5.55 g), ammonium chloride (17 mmol, 0.92 g), ammonium molybdate (4.2  10−3 mmol,  g), phthalic anhydride (18 mmol, 2.65 g), and palladium chloride (0.6 mmol, 0.108 g). The mixture underwent fusion for 45 min at 180 °C, and then was cooled to room temperature and washed with 250 mL of boiling water. The product was further purified via recrystallization from a concentrated H2SO4 before drying and washing with boiling acetone [,]. The schematic diagram of synthetic palladium phthalocyanine is illustrated in Figure 1.
      
    
    Figure 1.
      Schematic diagram of palladium phthalocyanine compound.
  
2.4. Preparation of PdPc:SnZnO Nanocomposite
PdPc:SnZnO was prepared by dissolving 0.11 g of Sn:ZnO in 15 mL of absolute ethanol and 0.45 g of PdPc in 25 mL (0.3 mol) of a Dimethylformamide (DMF) solution. The aforementioned solutions were mixed using a magnetic stirrer at 50 °C for 10 h. After that, it was subjected to heat treatment in a microwave oven at 200 °C for 1 h. The resulting precipitate was separated by centrifugation, washed with alcohol and deionized water, and then dried at 70 °C for 12 h, followed by an increase to 120 °C for 2 h [].
2.5. Fabrication of Al/n-Si/PdPc/Ag and Al/n-Si/PdPc:SnZnO/Ag Schottky Diode
Before the deposition of PdPc and PdPc:SnZnO nanocomposites, the silicon substrates were cleaned using ultrasonic agitation in a sonication bath (absolute ethanol/deionized water with a mixing ratio of 1:3). Then, the nanocomposites were rinsed in double distilled water for 15 min, and thereafter dried in an oven furnace for 20 min. Aluminum metal’s (Al) bottom contact was evaporated on the n-Si wafer using the thermal evaporating technique. The prepared samples were dissolved in DMF solution and then drop-cast on the bright n-Si surface. The films were dried at 80 °C and then heated to 200 °C for 10 min in a vacuum furnace. This process was repeated five times to achieve thick films. To fabricate Al/n-Si/PdPc/Ag and Al/n-Si/PdPc:SnZnO/Ag Schottky diodes, an (Ag) top contact was evaporated on the thin film layer. The current–voltage (I–V) measurements were carried out in a dark environment using the FYTRONIX 9500 electronic device (FYTRONIX Electronic, Elazığ, Turkey) characterization system (ECS) through a voltage range from −5 V to +5 V. Furthermore, the characteristics of the photodetector were investigated under various illumination intensities using a solar simulator (TM-206, Tenmars Electronics, Taipei, Taiwan). The capacitance/conductance–voltage (C/G–V) characteristics were executed through a wide frequency range by  using a computerized FYTRONIX impedance.
2.6. Characterization
The crystal structure and phase of undoped PdPc and PdPc:SnZnO hybrid thin films were identified by X-ray diffraction (Philips X’pert (Almelo, The Netherlands), CuKα radiation, the wavelength  1.5406 Å) through a doubled Bragg’s scattering angle 2 range of 5°25° and 5°80°. The surface morphology and chemical composition were recorded by a scanning electron microscope (SEM, model JEOL-JSM-636 OLA, Tokyo, Japan) coupled with energy-dispersive X-ray spectroscopy (EDX). Furthermore, the average size, shape, and particle distribution were described with transmission electron microscopy (TEM, FEI Talos F200i, Thermo Field, Hilsboro, OR, USA) at an accelerating voltage of 100 kV. A spin coater EMS 150T ES was employed to coat the specimen on glass substrates. The optical properties of the thin film were investigated from transmittance (T(%)) and reflectance (R(%)) spectra through a wavelength range of 200 nm–1300 nm using a Jasco (Tokyo, Japan) V-570 UV–VIS–NIR spectrophotometer. The instrumental devices for structural, optical and electrical measurements were calibrated with a negligibly small margin of error.
3. Results and Discussion
3.1. Microstructure Analysis
The X-ray diffraction (XRD) of PdPc thin film deposited on a glass substrate is depicted in Figure 2a. The pattern shows a quite sharp, intense peak at 2 6.75° and a relatively weak peak at 27.35°, corresponding to the reflection planes with the Miller indices hkl of 200 and 002, attributed to phase PdPc, in accordance with the standard card number (ICDD 01-085-0091) []. The XRD of the PdPc:SnZnO thin film is demonstrated in Figure 2b. The nanohybrid exhibits a polycrystalline structure with multiple diffraction peaks that combine PdPc and SnZnO. The intense preferred orientation at  6.73° and 7.32°, according to the hkl planes 200 and 002, confirmed the formation of the PdPc compound [,]. The peaks at 31.72°, 34.47°, 36.16°, 47.45°, 56.34°, 62.73°, 66.43°, 67.82°, and 69.05° correspond to the orientation hkl planes 100, 002, 101, 102, 110, 103, 200, 112, and 201, respectively, and are assigned to the wurtzite crystal structure of zinc oxide nanostructure, which is in agreement with the standard card (JCPDS; 36-1451, space group P63mc) [,].
      
    
    Figure 2.
      XRD pattern (a,b) and EDX spectrum (c,d) of PdPc compound and PdPc:SnZnO nanohybrid with 0.1% error in the peak position. See text for details.
  
The phase segregation arises from the high enough amount of SnZnO NPs in the host PdPc framework, resulting in the formation of the nanocomposite. However, the pattern showed that the stannic ions (Sn4+) were uniformly substituted for Zn2+ without phase segregation, probably due to the smaller ionic radius of Sn4+ (0.69 Å) compared to Zn2+ (0.74 Å) []. The XRD parameters of the nanohybrid, such as the crystallite size, internal strain, dislocation density, and degree of crystallinity were estimated using the following formulas: 
      
        
      
      
      
      
    
       
    
    Table 1.
    Crystallographic parameters of PdPc:SnZnO NFs. See text for details.
  
The EDX spectrum presented in Figure 2c shows the peaks of the elements C K, N K, and Pd L with their respective concentrations (in percentage by weight, wt.%) of 48.75, 18.46, and 32.79. In addition, the presence of C K, N K, Pd L, Sn L, Zn K, and O K elements with weight ratios of 31.58, 11.69, 7.20, 9.16, 32.15, and 8.22 (wt.%), respectively,  well confirm the formation of the nanohybrid, as shown in Figure 2d [,]. In EDX, the terms K, L, and M refer to the characteristic X-ray emission lines associated with the different electron energy levels within the atom. Besides, Kα and Lβ refer to specific X-ray emission lines associated with transitions between particular electron shells. These lines are part of the characteristic X-ray spectrum that is used for elemental analysis. The Kα line refers to an X-ray emitted when an electron from the L-shell falls into the K-shell. The Lβ line refers to an X-ray emitted when an electron from the M-shell falls into the L-shell. No peaks associated with impurities or unreacted ions were found in the spectrum, indicating quite high purity.
The surface morphology and topological architecture of palladium phthalocyanine and palladium phthalocyanine/tin–zinc oxide nanostructures were visualized by SEM and TEM micrographs. Figure 3a shows the PdPc particles in nanofiber structures aggregated together due to Van der Waals attraction force. The nanofibers are randomly distributed on the rough surface. Figure 3b,c shows the SEM images of PdPc and PdPc:SnZnO nanohybrids at different magnifications. At low enough magnification, the nanofibers were covered with nanospheres ascribed to the incorporation of SnZnO into the organic PdPc matrix [,]. The nanofibers were distributed on a smooth surface; however, some of them exhibited a wrinkled structure, as shown in Figure 3b. At high magnification, as described in Figure 3c, the nanofibers were distributed in branched architecture like a tree, aligned with lengths spanning several micrometers and a nanoscale diameter, indicating a relatively large aspect ratio and a highly porous surface.
      
    
    Figure 3.
      SEM micrograph of PdPc (a); SEM (b,c) and TEM (d–f) images of the nanohybrid.
  
Figure 3d–f describes the TEM images of the nanohybrid. Figure 3d,e shows the aggregation of nanofibers in sheet-like structures decorated with nanospheres, revealing quite a large specific surface area-to-volume ratio. Little NFs were aggregated in nanorods covered with tiny spheres with an average size of about 10 nm [,]. The nanohybrid with a large enough aspect ratio, surface area, and quite high porosity provides plenty of active sites that are exceptionally useful in optoelectronic and solar systems.
3.2. Optical Analysis
Figure 4 depicts the transmittance and reflectance spectra of the PdPc:SnZnO thin film within a wavelength range of 200 nm–1300 nm. The film exhibits two sharp absorption edges around about 400 nm and 700 nm, associated with the Soret band (B-band) and the Q-band, respectively. These features are attributed to electron transitions from the valence band (V.B.) to the conduction band (C.B.), as illustrated in Figure 4a []. To confirm the weak peaks located at 330 and 385 nm in the UV region, the transmittance spectrum for multiple films was measured through the wavelength range of 200 nm–400 nm, as presented in Figure S1a,b (see Supplementary Materials). These weak peaks may be owing to the presence of SnZnO NPs in the PdPc framework. According to several studies, the intense absorption edge of both undoped and metal-doped ZnO can be observed within the UV region or close to the Vis spectrum at wavelengths ranging from 360 nm 400 nm [,].

      
    
    Figure 4.
      Transmittance T (a) and reflectance R (b) spectra of PdPc:SnZnO thin film. The error is about 0.2% and 0.05% for T and R, respectively. See text for details.
  
The reflectance spectrum in Figure 4b shows peaks and valleys through a broad spectral range, indicating the strong optical absorption of the nanohybrid. The absorption coefficient, , is one of the key parameters and describes the decay of incident photon energy  with  the Planc’s constant and  the photon frequency) in the thin film layer, estimated from T(%) and R(%) using the following relation:
      
        
      
      
      
      
    
        where d denotes the film thickness.
As demonstrated in Figure 5a, the film has an essential broadening band (Q-band) centered at  in the Vis spectrum, which is associated with  transitions from the HOMO to the LUMO of the PdPc ring. In addition, an absorption Soret band at 3.12 eV near the visible region and a relatively weak C-band in the UV spectrum at 3.48 eV were observed. Indeed, metal–phthalocyanine compounds display a broad optical transition from 1.5 to 6 eV (Q, B, N, L, and C bands), suggesting intense electron transitions [,]. Ordinarily, the Q-band is observed in the Vis region within the spectrum range of 600–700 nm, while the B band is presented in both the UV and Vis region, and the N, L, and C bands are found within the UV spectrum.

      
    
    Figure 5.
      Absorption coefficient α (5) (a) and energy band gap  (6) (b) photon energy dependence of PdPc:SnZnO thin film. See text for details.
  
It can be observed that the substitution of tin–zinc oxide nanospheres caused a shift in absorption to a lower energy. The energy band gap  of the hybrid thin film was determined from the absorption coefficient using the Tauc equation, expressed as follows:
      
        
      
      
      
      
    
        where  is an independent constant and δ is an index of 1/2 for direct allowed transitions. The optical band gap of the hybrid thin film was estimated by extrapolating the straight-line portion of the curve to  as shown in Figure 5b.  was found to be 1.52 eV and 2.60 eV due to the coupling of Frenkel excitons between non-equivalent molecules in a unit cell and  pairs [].
The thin film revealed a redshift attributed to the optical band gap reduction compared to other studies in the literature, which may be due to SnZnO dopants and the formation of Frenkel exciton coupling between non-equivalent molecules in a unit cell and  pairs []. Substitutions of SnZnO nanoparticles create additional electronic states within the band gap of PdPc. The molecular interaction between new intermediate states and the electronic states of the host organic lattice resulted in a decrease in the band gap. This can also be explained by the generation of Frenkel exciton, which dissociates into free electrons and holes and leads to intermolecular transitions between orbitals. This process influences the probabilities of electronic excitations, particularly within the Q-band of the host organic framework, as well as the tuning of the energy gap.
Refractive index () and extinction coefficient  are crucial optical parameters that can be given by the following formulas:
      
        
      
      
      
      
    
      
        
      
      
      
      
    
The refractive index as a function of photon energy is depicted in Figure 6a. The thin film exhibits anomalous dispersion arising from optical absorption and strong photon–electron interactions. Two dispersion peaks are noted near the absorption edge (Soret and Q-bands), which are attributed to the absorption of photon energy over a wide range of wavelengths and electronic transitions. The extinction coefficient displayed a wide band in the energy range from 1.71 1.92  within the visible region, as shown in Figure 6b, which is associated with the strong absorption of photon energy by the hybrid thin film, leading to the production of additional free charge carriers [].
      
    
    Figure 6.
      Refractive index  (a) and extinction coefficient  (b) of PdPc:SnZnO thin film.
  
The high extinction coefficient over a wide wavelength range is essential for optimizing the absorption of incident photon energy and increasing the exciton formation. Moreover, the volume and surface energy loss (VELF and SELF, respectively) rate was investigated based on the real () and imaginary () dielectric constants using the following relations:
      
        
      
      
      
      
    
      
        
      
      
      
      
    
The VELF and sSELFas a function of photon energy are illustrated in Figure 7. The hybrid PdPc:SnZnO thin film shows similar energy loss, while with relatively higher VELF values due to the loss of more energy in moving electrons from the bulk atoms [,].
      
    
    Figure 7.
      Volume and surface energy loss functions (VELF (9) and SELF (10), respectively) of PdPc:SnZnO thin film.
  
Both functions describe the energy dissipation caused by the hybrid thin film’s interaction with light energy. The SELF defines the reduction in recombination losses at the surface, whereas the VELF demonstrates the reinforcement of optical absorption bulk. The optical conductivity  was defined as follows: 
      
        
      
      
      
      
    
        where c denotes the speed of light. 
Figure 8 shows the  of PdPc:SnZnO thin film as a function of h. The nanohybrid exhibits high optical conductivity, with the highest values observed in the UV spectrum, along with two bands in the Vis region near the interband transitions, indicating the high enough ability of the nanocomposite to absorb light energy and convert it into charge carriers. In addition, the strong optical conductivity is related to rapid exciton dissociation and free  mobility [].
      
    
    Figure 8.
      Optical conductivity of PdPc:SnZnO thin film.
  
3.3. I–V Characteristics in Darkness Environment
The semilogarithmic I–V dependence of Al/n-Si/PdPc/Ag and Al/n-Si/PdPc:SnZnO/Ag Schottky diodes were measured in dark conditions over a voltage range of −5  to +5 . The devices exhibited nonlinear rectifying behavior, with rectification ratios   899 and 496 at +3 V, and −3 V respectively, as illustrated in Figure 9a. Here Ir and If are the reverse and forward currents, respectively. The hybrid photodiode revealed a higher rectification ratio attributed to the presence of SnZnO dopants in the PdPc, which produced excess donor electrons. The incorporation of the stannic ion (Sn4+) increased carrier density by providing two additional free electrons []. To evaluate the performance of photodiodes, electronic parameters such as the potential barrier , saturation current , ideality factor , shunt resistance , and series resistance  were defined using the thermionic emission (TE) theory, Cheung–Cheung, and Norde functions.
      
    
    Figure 9.
      I–V (a) and Rj–V (b) dependences of Al/n-Si/PdPc/Ag and Al/n-Si/PdPc:SnZnO/Ag Schottky diodes with the errors of about 0.02% and 0.05% for I–V and Rj–V plots, respectively. See text for details.
  
According to the TE model, the I–V characteristics of fabricated diodes were investigated in terms of applied voltage and absolute temperature (T), considering the existence of series resistance at the interfacial layers using the following relationship:
      
        
      
      
      
      
    
        where  denotes the electron charge represents the Boltzmann constant. At low enough voltage bias, the reverse saturation current  was calculated from the intercept of the straight-line part of the semi-log curve at zero potential by applying the following formula:
      
        
      
      
      
      
    
The estimated  was used to identify the barrier height  using the following equation: 
      
        
      
      
      
      
    
In Equations (13) and (14),  represents the effective metal contact area of  and  is the effective Richardson’s constant of  for n-type Si. Both photodiodes displayed a low saturation current, suggesting a minimum leakage current and minority carrier diffusion, whereas the hybrid PdPc:SnZnO/n-Si diode’s low enough potential barrier emphasized quite rapid majority carrier transfer to metal contacts [,]. It is known that the critical voltage or barrier height of the stannic zinc oxide as a metal oxide semiconductor material typically ranges between 0.2 eV and 0.8 eV, depending on the type of metal doping support and its concentration, as well as the metal contacts used in Schottky photodiodes. The ideality factor ais one of the key parameters for describing device quality. At a relatively low voltage, the ideality factor was calculated from the slope of lnI–V using the following equation:
      
        
      
      
      
      
    
The diodes had an ideality factor ranging from 2 to 4, indicating a current transport mechanism affected by barrier inhomogeneity, interface recombination, series resistance, and interface states at different heterostructures []. An ideal diode has an ideality factor of 1 or 2; however, most manufactured photodiodes have an ideality factor above 1, which is due to structure defects, the influence of interface states, and series resistance. The relatively low n value of Al/n-Si/PdPc:SnZnO/Ag is due to the doping of phthalocyanine molecules with Pd atoms, which modifies the electron density of Pc, making it more responsive to interactions with SnZnO NPs. Series resistance has a significant impact on the photodetector’s current flow and electrical conductivity. The I–V dependence shows that high forward bias values cause a deviation from linearity due to series resistance. A high-performance Schottky diode has a relatively low  and a relatively high  Based on the Rj–V dependence illustrated in Figure 9b and using the junction resistance equation , the values for  and  were calculated, indicating that the hybrid diode has a smaller series resistance and higher shunt resistance compared to the undoped diode. Furthermore, the Cheung–Cheung model was applied to determine the electronic parameters, , , and , by examining the nonlinear region of forward bias using the following equations:
      
        
      
      
      
      
    
      
        
      
      
      
      
    
 was defined from the slope, and n was defined from the intercept on the I-axis, which equals  (Figure 10a,b). The  value was determined again from the slope of the H–I dependence, as illustrated in Figure 10c,d, and  was given from the intercept  [,].

      
    
    Figure 10.
      Cheung–Cheung (a,b) and H–I (c,d) dependences of Al/n-Si/PdPc/Ag and Al/n-Si/PdPc:SnZnO/Ag diodes. See text for details.
  
The incorporation of SnZnO in organic PdPc facilitates electron transport within the hybrid and minimizes potential barriers by providing a pathway for the flow of charge carriers. The synergy between the p-type PdPc as the hole transport and the n-type as the electron transport forms a p–n heterojunction [,]. This combination increases the charge carrier concentration, which, in turn, reduces series resistance [,]. In this context, in the study [] a hybrid nanomaterial was prepared by combining multi-walled carbon nanotubes (MWCNTs) with zinc phthalocyanine (ZnPc) organic semiconductors for use in multiple optoelectronic applications. However, the hybrid PdPc:SnZnO/n-Si Schottky diode showed [] quite low series resistance, a relatively small barrier height, and a considerably large shunt resistance compared to the photodiode in the literature.
The Norde function [,] is an alternative method to define  and  expressed as follows:
      
        
      
      
      
      
    
      
        
      
      
      
      
    
      
        
      
      
      
      
    
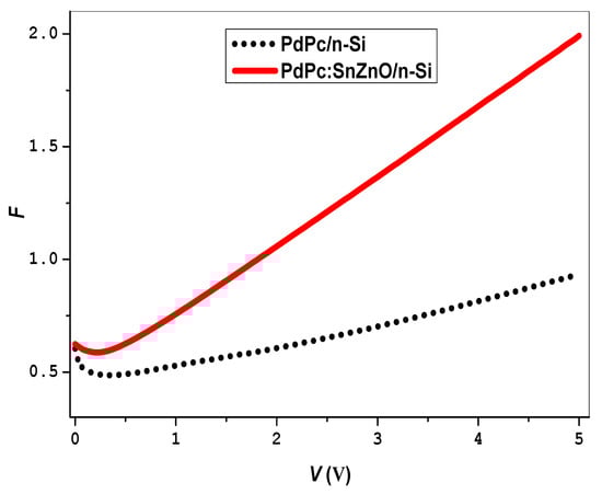
Here, γ is the first integer that takes a value higher than  and  is the minimum current corresponding to the minimum voltage , extracted from the I–V characteristic curve.  was determined from the projection of the minimum point in the F–V plot as demonstrated in Figure 11. The electronic parameters data are summarized in Table 2, indicating a significant deviation between the TE and Cheung–Cheung model on the one hand and the Norde function on the other hand. This discrepancy is related to the difference in the applied voltage bias as well as the validity of the Norde function for an ideal Schottky diode [,]. To describe the heterojunction structure of nanohybrids and the working mechanism of the Schottky photodiode, the energy band diagram is illustrated in Figure 12.
      
    
    Figure 11.
      Norde function (18) of Al/n-Si/PdPc/Ag and Al/n-Si/hybrid diodes.
  
       
    
    Table 2.
    The electronic parameters of fabricated Schottky diodes in a dark environment. See text for details.
  
      
    
    Figure 12.
      Energy band diagram of the hybrid Schottky photodiode, where Ec, Ev, Eg, and χ2 are the conduction band energy, valence band energy, energy gap, and electron affinity, respectively.
  
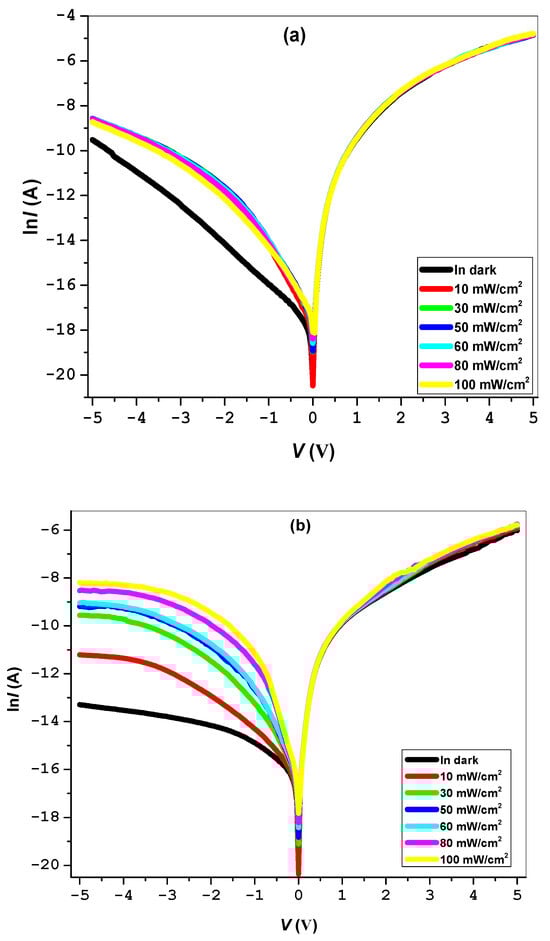
3.4. The Photodetector Characteristics
The photosensitivity and current transfer mechanisms were investigated under different illuminations. The undoped photodiodes exhibited a lower photocurrent (Figure 13a) compared to the hybrid photodiode, which increased from 10  in the dark to 2  under a light intensity of 100 mW/cm2 (Figure 13b). PdPc:SnZnO acts as a photoactive layer, capturing more photons and improving light absorption. When the photodiode is subjected to light, the trapped centers at the heterojunction layers absorb the incident photon energy and jump to the conduction band []. In addition, the morphological and topological architecture of the nanofibers with higher surface porosity and a larger aspect ratio enhances the light trapping on the surface and increases the ability of the photodiode to absorb excess photon energy, resulting in a great efficient conversion of light energy into electrical signals. The current transport mechanism at the interface was defined from the power law
      
        
      
      
      
      
    
      
    
    Figure 13.
      IV graph of Al/n-Si/PdPc/Ag (a) and of hybrid diode (b) under illuminations.
  
Here,  denotes the photocurrent, P denotes the incident power of the UV light intensity,  is an exponent that determines the dominant charge mechanism, and B is a constant. The exponent m of an undoped diode was found by linear fit (Figure 14a) to be 0.41 ± 0.02 with a coefficient of determination (R2) = 0.99, which indicates an acceptable fit. suggesting that the recombination effect dominates the current generation process. On the other hand, the hybrid diode shows different behavior. As shown in Figure 14b, there are two linear regions, namely 0.5 V to 3.4 V and 3.4 V to 4.6 V (taken at  with slopes of 0.78 ± 0.08 and 1.67 ± 012, with R2 = 0.99, and 0.98 respectively, which provide an acceptable fit. The exponent 0.78 indicates that the dominant transport mechanism is the trapped charge carriers at deep levels, while 1.67 confirms that the free space charge limited current improves photoconductivity []. The hybrid Schottky diode displays two distinct current transport mechanisms based on the charge carrier density accumulated at different heterojunctions of the PdPc:SnZnO semiconductor, with the current increasing as the voltage increases, resulting in excess carrier injection.

      
    
    Figure 14.
      Power law (14) (a,b) and I T dependence (c,d) of undoped (a,c) and hybrid (b,d) photodiodes. See text for details.
  
Further on, the transient photocurrent response is illustrated in Figure 14c,d. As soon as the diode is illuminated, the current rapidly increases to a certain level and reaches saturation until the light switches off. With the light on, the trapped centers at deep levels absorb photons and become free. When the diode turns off, charge carriers recombine and are trapped at deep levels, causing the photocurrent to gradually decrease and return to its initial value. Organic PdPc has a broad optical absorption range; however, the incorporation of SnZnO facilitates multiple exciton generation and dissociation into free electrons and holes, resulting in a high photoresponse. Additionally, hole transfer by PdPc minimizes  recombination, increasing photocurrent sensitivity [,,]. The high photocurrent response of the hybrid Schottky diode is attributed to the generation of abundant photocarriers when incident photon energy exceeds the energy gap of the PdPc:SnZnO nanofibers. Moreover, the observed upward trend indicates that trapped carriers have an impact on the transient current response, delaying their rise to steady-state values and distorting the ideal current behavior. This can also be explained by the delay in the photodiode response time due to the influence of series resistance and the difference between the light switching on and current stabilization. The photosensitivity , responsivity , quantum efficiency , and detectivity  were calculated to determine the optoelectronic characteristics as follows: 
      
        
      
      
      
      
    
In the formulas (22),  is the dark current,  denotes the contact area,   [].
The photodetector parameters are presented in Table 3. As shown in Table 3, the hybrid diode exhibited high responsivity and photodetectivity compared with the undoped diode. This indicates the ability of the hybrid nanomaterial to generate a large photocurrent under UV light and effectively detect incident photon energy by increasing the path length of light inside the photodiode device. A single photon can create more than one  pair, promoting the Schottky diode performance [,,]. Furthermore, the higher quantum efficiency of the hybrid Schottky diode refers to the larger ratio of the produced electrons to the number of the incoming photons []. It also ensures that the hybrid nanomaterial can absorb specific wavelengths of light more effectively. The hybrid photodiode showed higher responsivity, relatively similar specific detection, and lower photosensitivity compared to the results obtained in Ref [] the photosensitivity, responsivity, and specific detection of ZnO photodiodes were improved by co-doping with Sn and Ti atoms using a sol–gel method. In addition, the photodetector results in the present study are in reasonable agreement with the data reported by one of the authors of this paper, who has fabricated a high-performance Schottky diode by integrating ZnO nanosheets with Sn and Pd atoms using the facile chemical co-precipitation method [].
       
    
    Table 3.
    Photodetector parameters of the fabricated diodes under illuminations. See text for details.
  
3.5. C/G–V and Rs–V Analyses
The junction behavior of the Al/n-Si/PdPc:SnZnO/Ag diode was studied as a function of voltage and frequency. Figure 15a,b shows the measured capacitance–voltage (CmV) and adjusted (corrected) capacitance–voltage (Cadj–V) for different frequency ranges within 10 kHz–1 MHz interval. The capacity peak gradually decreased from 6.42  to 0.56  as the applied frequency was shifted to lower reverse bias, and there was no response to alternating current (ac) signals at a positive voltage (Figure 15a). At lower frequencies, the trapped charge carriers at the interfacial layers follow the ac signals, producing additional capacity while responding slowly to higher signals and, thus, contributing less to capacitance. The capacity was corrected considering the impact of series resistance using the following relationship:
      
        
      
      
      
      
    
      
        
      
      
      
      
    
      
    
    Figure 15.
      Cm–V (a) and Cadj–V (b) characteristics of Al/n-Si/PdPc:SnZnO/Ag Schottky diode (with error of 0.02% ) for various alternative current frequency ranges, as indicated. See text for details.
  
Figure 15b shows the adjusted capacitance , which gradually decreases with increasing frequency due to the presence of interface states in a metal–semiconductor heterojunction diode [,]. The reduction in capacitance plays a significant role in maintaining a high-performance Schottky diode during long-term operation. The decrease in diode capacity is related to the slowdown of the charge carrier recombination and lower leakage current, leading to lower power dissipation and thermal load reduction. This property helps the photodetectors to work at high frequencies without damage. The measured conductance–voltage (Gm–V) dependence was measured and corrected by the following formula: 
      
        
      
      
      
      
    
Figure 16a,b shows that the measured  and adjusted  conductance increased with applied frequency at a low voltage bias ranging from  and from , respectively, indicating an increase in charge carrier transitions to metal contacts. The width of the  peak decreased and shifted to a lower voltage, attributed to the higher response of interface states to ac signals (Figure 16a). The fluctuations in  behavior at higher reverse bias can be linked to the higher impact of interface states and series resistance (Figure 16b).
      
    
    Figure 16.
      Gm–V (a) and Gadj–V (b) dependences of Al/n-Si/PdPc:SnZnO/Ag Schottky diode for various alternative current frequency ranges, as indicated. See text for details.
  
The series resistance was identified from the (C–V) measurements using the Nicollian–Goetzberger equation:
      
        
      
      
      
      
    
As Figure 17 shows, the magnitude of series resistance decreases with frequency increase, owing to an increase in donor concentration and trapped centers at the heterojunction layers, which respond strongly to the applied ac signals [,].
      
    
    Figure 17.
      Rs–V dependence of Al/n-Si/PdPc:SnZnO/Ag diode for various alternative current frequency ranges, as indicated. See text for details.
  
The reduction in the series resistance has several advantages because it injects more charges into the active region and transfers them to the electrodes, allowing the current to flow efficiently through the photodiode. The Mott–Schottky formula was utilized to determine the donor concentration  and the built-in voltage  at the interface states of the Al/n-Si/PdPc:SnZnO/Ag hybrid diode using the following capacitance equation:
      
        
      
      
      
      
    
Here,  represents the static dielectric constant, C refers to the depletion layer capacitance, and  is the vacuum permittivity, which takes the value of  [].  was estimated by extrapolating the linear part of –V dependence in relation to the -axis, and  was evaluated from the slope presented in Figure 18. The  value was used to determine the potential barrier  using the following formula:
      
        
      
      
      
      
    
      
    
    Figure 18.
      1/C2–V dependence of Al/n-Si/PdPc:SnZnO/Ag Schottky diode. See text for details.
  
Here,   2.8 × 1019 cm−3 in this equation denotes the state density in the C.B. The results on , , and  are tabulated in Table 4. The high-donor density is ascribed to the metal–metal oxide support. Doping stannic zinc oxide nanoparticles creates new states in the band structure, leading to the generation of free electrons in the C.B. of organic palladium phthalocyanine, thereby improving n-type conductivity. Furthermore, the doping process produces additional localized energy states at the organic/inorganic interfaces, increasing carrier concentrations [,,,]. The present Schottky diode had a lower built-in voltage compared with the Al/CuPc/n-Si/Al photodiode reported in the previous study [].
       
    
    Table 4.
    Electronic parameters of Al/n-Si/PdPc:SnZnO/Ag from the CV analysis.
  
4. Conclusions
In conclusion, PdPc and PdPc:SnZnO nanomaterials were well prepared via a facile chemical route, exhibiting superior structural–morphological, and optical properties. The PdPc:SnZnO nanohybrid was found in nanofibers decorated with nanospheres, possessing quite a large aspect ratio and specific surface area. In addition, the hybrid thin film revealed a red shift in the optical band gap, found to be affected by relatively strong optical absorption and the creation of intermediate bands between the . and  The integration of palladium phthalocyanine with SnZnO NPs allowed to facilitate electron transitions and to improved photoconductivity. The latter remarkable features of the hybrid material facilitated its application as a photoactive layer in the construction of a highly efficient Al/n-Si/PdPc:SnZnO/Ag Schottky diode. The device displayed a lower potential barrier and series resistance in the dark, as well as higher responsivity, detectivity, and photocurrent sensitivity when the photodiode was exposed to light power, which can be attributed to the increase in charge carrier density at the interface by exciton dissociation. Furthermore, C/G–V dependence analysis confirms a significant role of trapped centers in organic (p-type PdPc)/inorganic (n-type SnZnO) heterostructures that provide electron-donating states and promote charge transitions.
Supplementary Materials
The following supporting information can be downloaded at: https://www.mdpi.com/article/10.3390/physics7010004/s1, Figure S1: (a–d) The transmittance spectra of PdPc:SnZnO thin films at wavelength range from 200 nm–400 nm.
Author Contributions
Conceptualization, A.A.-S. and E.E.; methodology, E.E. and M.A.S.; validation, E.E. and M.A.S.; formal analysis, E.E. and M.A.S.; writing—original draft preparation, E.E., A.A.-S. and M.A.S.; writing—review and editing, E.E., A.A.-S. and M.A.S.; visualization, M.A.S., E.E. and A.A; project administration, A.A.-S.; All authors have read and agreed to the published version of the manuscript.
Funding
This research was funded by Qassim University, grant number 2023-SDG-1-BSRC36145 (Buraydah, Saudi Arabia).
Data Availability Statement
Data supporting this research are included within the article and/or supplementary materials.
Acknowledgments
The authors gratefully acknowledge Qassim University, represented by the Deanship of Scientific Research, for their financial support of this research under the number 2023-SDG-1-BSRC36145 during the academic year 1445 AH/2023 AD.
Conflicts of Interest
The authors declare no conflict of interest.
References
- Tawalbeh, M.; Javed, R.M.; Al-Othman, A.; Almomani, F. Salinity gradient solar ponds hybrid systems for power generation and water desalination. Energy Convers. Manag. 2023, 289, 117180. [Google Scholar] [CrossRef]
 - Tyagi, K.; Gahtori, B.; Kumar, S.; Dhakate, S.R. Advances in solar thermoelectric and photovoltaic-thermoelectric hybrid systems for power generation. Sol. Energy 2023, 254, 195–212. [Google Scholar] [CrossRef]
 - Yin, J.; Lu, X. Theoretical study impurities intermediate band material based on Sn heavily doped ZnO by first principles. Superlattices Microstruct. 2020, 145, 106608. [Google Scholar] [CrossRef]
 - Iqbal, M.A.; Zhai, Y.; Wang, P.; Qiu, J.; Liu, X. Enhanced ultrafast nonlinear optical response in Bi-doped ZnO glass-ceramics. Opt. Mater. 2025, 158, 116447. [Google Scholar] [CrossRef]
 - Yalcin, M.; Dere, A.; Yakuphanoglu, F. ZnO-SnO2 binary oxide nanocomposite photodiode and photonic applications. Mater. Scie. Eng. B 2024, 300, 117125. [Google Scholar] [CrossRef]
 - Ghanbari, N.; Zakavi, S. Photosensitizing activity of phthalocyanine derivatives dispersed on nanostructured amberlyst 15: Free base vs. metal complexes. Dye. Pigment. 2024, 224, 111999. [Google Scholar] [CrossRef]
 - Jiang, T.; Ou, C.; Wang, L.; Chen, J.; Dmytro, S.; Zhang, Q.; Luo, J.; Wang, H. Electrocatalytic performance of CNTs/graphene composited rare earth phthalocyanines (M = La, Y, Yb, Sc). J. Rare Earths 2024, 42, 323–333. [Google Scholar] [CrossRef]
 - Küçükgenç, O.; Agcaabat, R.; Dumludag, F.; Odabas, Z. Comparative examination of both spectral properties and hybrid solar cell application of 2,4,6-trimethoxyphenoxy substituted phthalocyanine dyes. Polyhedron 2024, 262, 117169. [Google Scholar] [CrossRef]
 - Timoumi, A.; Wederni, M.A.; Bouguila, N.; Jamoussi, B.; AL Turkestani, M.K.; Chakroun, R.; Al-Mur, B. Electrical impedance spectroscopy study of unsubstituted palladium (II) phthalocyanine. Synth. Met. 2021, 272, 116659. [Google Scholar] [CrossRef]
 - Mohtaram, F.; Borhani, S.; Ahmadpour, M.; Fojan, P.; Behjat, A.; Rubahn, H.; Madsen, M. Electrospun ZnO nanofiber interlayers for enhanced performance of organic photovoltaic devices. Sol. Energy 2020, 197, 311–316. [Google Scholar] [CrossRef]
 - Mohammadi-Ganjgah, A.; Shaterian, M.; Bahrami, H.; Rasuli, R.; Yavari, S.; Ghasemi, R.; Parvizi, Z. Electrospun synthesis of polyaniline and titanium dioxide nanofibers as potential electrode materials in electrochemical hydrogen storage. Renew. Energy 2024, 226, 120439. [Google Scholar] [CrossRef]
 - Elgazzar, E. Impact of Pd2+ and Sn4+ co-doping ZnO nanoflakes toward high-performing Schottky diode based on the generation of intermediate bands within the energy gap. J. Mater. Sci. Mater. Electron. 2024, 35, 1697. [Google Scholar] [CrossRef]
 - Ghaeini, M.; Zanjanchi, M.A.; Farjood, M. Loading nano-rod cobalt phthalocyanine onto nitrogen-doped graphene and its application in photodegradation reaction under visible-light. J. Organomet. Chem. 2023, 994, 122721. [Google Scholar] [CrossRef]
 - Ma, D.; Zhang, Y.; Tan, H.; Song, F.; Jia, Y.; Cui, H. Flower spherical carbon nitride/copper phthalocyanine for photocatalytic degradation of SBX under visible light. J. Mol. Struct. 2025, 1325, 141012. [Google Scholar] [CrossRef]
 - Karaoglu, K.; Yüzüak, G.D.; Yüzüak, E.; Turan, H.; Akçay, H.T. Preparation and characterization of the highly efficient tetraphenylimidazole substituted Phthalocyanine/ZnO composite and investigation of its effect on the photocatalytic degradation of Rhodamine B and 2,4,6-trichlorophenol. Mater. Sci. Semicond. Process. 2024, 177, 108392. [Google Scholar] [CrossRef]
 - Nikolaeva, N.S.; Klyamer, D.D.; Zharkov, S.M.; Tsygankova, A.R.; Sukhikh, A.S.; Morozova, N.B.; Basova, T.V. Heterostructures based on PdeAu nanoparticles and cobalt phthalocyanine for hydrogen chemiresistive sensors. Int. J. Hydrogen Energy 2021, 46, 19682–19692. [Google Scholar] [CrossRef]
 - Li, D.; Wu, G.; Duan, J.; Liu, X.; Gang, J.; Ge, S. Solvothermal growth of manganese phthalocyanine quadrangular crystals on Mn slice in ethanediol medium. J. Sol. State Chem. 2025, 343, 125150. [Google Scholar] [CrossRef]
 - Sukhikh, A.S.; Klyamer, D.D.; Parkhomenko, R.G.; Krasnov, P.O.; Gromilov, S.A.; Hassan, A.K.; Basova, T.V. Effect of fluorosubstitution on the structure of single crystals, thin films and spectral properties of palladium phthalocyanines. Dyes Pigments 2018, 149, 348–355. [Google Scholar] [CrossRef]
 - Lokesh, K.S.; Adriaens, A. Synthesis and characterization of tetra-substituted palladium phthalocyanine complexes. Dyes Pigments 2013, 96, 269–277. [Google Scholar] [CrossRef]
 - Gnaneswari, M.D.; Karunakaran, M.; Chandrasekar, L.B.; Leonora, J.M.; Sundaram, P.S. Chemically prepared p-type Sn doped ZnO nanoparticles: Synthesis, characterization and its antibacterial properties. J. Cryst. Growth 2024, 627, 127548. [Google Scholar] [CrossRef]
 - Koçak, C.C.; Dursun, Z. Enhanced electrocatalytic oxidation of methanol on Au-Pt bimetallic particles modified copper phthalocyanine-carbon nanotube composite electrode. Mater. Sci. Eng. B 2022, 275, 115485. [Google Scholar] [CrossRef]
 - Yadav, A.B.; Rawat, G.; Sannakashappanavar, B.S. A low cost Sn doped ZnO thin film based Schottky diode for UV detection. Mater. Today Commun. 2022, 31, 10375. [Google Scholar] [CrossRef]
 - Tiwari, A.; Sahay, P.P. Highly c-axis oriented (Mg, Sn) co-doped ZnO thin films for optoelectronic applications. Opt. Mater. 2022, 134, 113098. [Google Scholar] [CrossRef]
 - Roguai, S.; Djelloul, A. Sn doping effects on the structural, microstructural, Seebeck coefficient, and photocatalytic properties of ZnO thin films. Solid State Commun. 2022, 350, 114740. [Google Scholar] [CrossRef]
 - Manjunatha, G.N.; Hojamberdiev, S.M.; Sannegowda, L.K. Nitrogen-rich palladium tetra amino-hippuric acid phthalocyanine complex and its hybrid composite with multi-walled carbon nanotubes for supercapacitor application. J. Energy Stor. 2022, 50, 104696. [Google Scholar]
 - Hu, K.; Wang, F.; Yan, Y.; Liu, H.; Shen, Z. One step from nanofiber to functional hybrid structure: Pd doped ZnO/SnO2 heterojunction nanofibers with hexagonal ZnO columns for enhanced low-temperature hydrogen gas sensing. Ceram. Int. 2021, 47, 15228–15236. [Google Scholar] [CrossRef]
 - Ramaripa, P.S.; Modibane, K.D.; Makgopa, K.; Seerane, O.A.; Nkadimeng, M.S.; Makhado, E.; Pandey, S. Influence of phthalocyanine nanowire dye on the performance of titanium dioxide-metal organic framework nanocomposite for dye-sensitized solar cells. Chem. Eng. J. Adv. 2023, 14, 100485. [Google Scholar] [CrossRef]
 - Tang, Q.; Tan, G.; Zhang, H.; Li, H.; Xiong, Y.; Pang, D.; Ye, L.; Fang, L.; Kong, C.; Li, W. Enhanced photoresponse of self-powered ZnO-based photoelectrochemical-type UV photodetectors via Ga-doping for optical communication application. J. Alloys Compd. 2024, 972, 172864. [Google Scholar] [CrossRef]
 - Khalili, S.; Chenari, H.M.; Orhan, Z.; Yıldırım, F.; Aydŏgan, S. Synthesis characterization of SnO2 nanofibers (NFs) and application of high-performing photodetectors based on SnO2 NFs/n-Si heterostructure. Sens. Actuators A Phys. 2022, 342, 113631. [Google Scholar] [CrossRef]
 - Mkhondwane, S.T.; Mgidlana, S.; Openda, Y.I.; Nene, L.; Nyokong, T. Photosono catalytic behaviour of phthalocyanine when supported on electrospun nanofibers: The effect of radical initiators. Synth. Met. 2023, 299, 117484. [Google Scholar] [CrossRef]
 - Al-Ghamdi, A.A.; Al-Hartomy, O.A.; El Okr, M.; Nawar, A.M.; El-Gazzar, S.; Tantawy, F.; Yakuphanoglu, F. Semiconducting properties of Al doped ZnO thin films. Spectrochim. Acta A Mol. Biomol. Spectrosc. 2014, 131, 512–517. [Google Scholar] [CrossRef] [PubMed]
 - Darwish, A.A.A.; Helali, S.; Qashou, S.S.; Yahia, I.S.; El-Zaidia, E.F.M. Studying the surface morphology, linear and nonlinear optical properties of manganese (III) phthalocyanine chloride/FTO films. Phys. B Cond. Matter 2021, 622, 413355. [Google Scholar] [CrossRef]
 - El-Saady, A.A.; El-Nahass, M.M.; Abdel Basset, D.M.; Roushdy, N.; Farag, A.M.M. Investigating the properties of nano crystalline beta metal-free phthalocyanine films: From molecules to optoelectronic applications. Opt. Int. J. Light Electron Opt. 2023, 292, 171403. [Google Scholar] [CrossRef]
 - Timoumi, A.; Dastan, D.; Jamoussi, B.; Essalah, K.; Alsalmi, O.H.; Bouguila, N.; Abassi, H.; Chakroun, R.; Shi, R.; Ţălu, Ş. Experimental and theoretical studies on optical properties of tetra(imidazole) of palladium (II) phthalocyanine. Molecules 2022, 27, 6151. [Google Scholar] [CrossRef]
 - Karanlık, C.C.; Atmaca, G.Y.; Erdogmus, A. Improved singlet oxygen yields of new palladium phthalocyanines using sonochemistry and comparisons with photochemistry. Polyhedron 2021, 206, 115351. [Google Scholar] [CrossRef]
 - Babalola, A.V.; Oluwasusi, V.; Owoeye, V.A.; Emegha, J.O.; Pelemo, D.A.; Fasasi, A.Y.; Gurku, U.M.; Alayande, S.O.; Yusuf, S.; Saje, B. Effect of tin concentrations on the elemental and optical properties of zinc oxide thin films. Heliyon 2024, 10, e23190. [Google Scholar] [CrossRef]
 - Kiran, M.R.; Ulla, H.; Satyanarayan, N.M.; Umesh, G. Optoelectronic properties of hybrid diodes based on vanadylphthalocyanine and zinc oxide nanorods thin films. Opt. Mater. 2018, 96, 109348. [Google Scholar] [CrossRef]
 - Wang, Z.; Wang, S.; Yang, G.; Yin, Y.; Zou, X.; Hao, Y.; Wang, H.; Xu, B.; Yin, S. A simple strategy passivating ZnO electron transport layers for realizing high efficiency in organic solar cells. Surf. Interfaces 2024, 44, 103699. [Google Scholar] [CrossRef]
 - Thirumoorthi, M.; Dhavud, S.S.; Ganesh, V.; Al Abdulaal, T.H.; Yahia, I.S.; Deivatamil, D. High responsivity n–ZnO/p–CuO heterojunction thin film synthesised by low-cost SILAR method for photodiode applications. Opt. Mater. 2022, 128, 112410. [Google Scholar] [CrossRef]
 - Çiçek, O.; Karasüleymanŏglu, M.; Kurnaz, S.; Taşçı, A.T. Self-powered visible-UV light photodiodes based on ZnO nanorods-silicon heterojunctions with surface modification and structural enhancement. Optik/Optics 2011, 261, 169137. [Google Scholar] [CrossRef]
 - Yuan, Z.; Yu, J.; Wang, N.; Jiang, Y. A hybrid photodiode with planar heterojunction structure consisting of ZnO nanoparticles and CuPc thin film. Curr. Appl. Phys. 2012, 12, 1278–1282. [Google Scholar] [CrossRef]
 - Kiran, M.R.; Ulla, H.; Fernandes, J.M.; Satyanarayan, M.N.; Umesh, G. Electrical characterization of hybrid hetero interface using n-ZnO and p-CuPc. Mater. Today Proc. 2015, 2, 1230–1233. [Google Scholar] [CrossRef]
 - Yakuphanoglu, F. Electronic and photovoltaic properties of Al/p-Si/copper phthalocyanine photodiode junction barrier. Sol. Energy Mater. Sol. Cells 2007, 91, 1182–1186. [Google Scholar] [CrossRef]
 - Siddiq, M.A.; Sopaih, M.; Elgazzar, E. Impact of Y2O3 nanosheets on the microstructural characteristics of Alq3 prepared via the co-precipitation route for enhancement of photodiode performance. ACS Omega 2023, 8, 24883–24892. [Google Scholar] [CrossRef]
 - Li, C.; Hu, Q.; Chen, Q.; Yu, W.; Xu, J.; Xu, Z. Tetrapropyl-substituted palladium phthalocyanine used as an efficient hole transport material in perovskite solar cells. Org. Electron. 2021, 88, 106018. [Google Scholar] [CrossRef]
 - Lu, C.; Yu, Z.; Cao, J. Advancement in porphyrin/phthalocyanine compounds-based perovskite solar cells. Chin. J. Struct. Chem. 2024, 43, 100240. [Google Scholar] [CrossRef]
 - Osama, R.; Morsy, M.; Al-Kamela, A.N.; Mahmoud, E.A.; Ashery, A.; El-Sayed, A. Stimulating photodiode characteristics of hybrid ZnPc-MWCNTs. J. Alloys Compd. 2021, 891, 161783. [Google Scholar] [CrossRef]
 - Elgazzar, E. Improvement the efficacy of Al/CuPc/n-Si/Al Schottky diode based on strong light absorption and high photocarriers response. Mater. Res. Express 2020, 7, 095102. [Google Scholar] [CrossRef]
 - Shchurik, E.V.; Vasil’ev, S.G.; Shestakov, A.F.; Kraevaya, O.A.; Lv, C.; Zhidkov, I.S.; Aldoshin, S.M.; Troshin, P.A. Redox-active phthalocyanine-based frameworks produced by pyrolysis: Promising electrode materials for low-cost potassium batteries. Synthet. Metals 2025, 311, 117796. [Google Scholar] [CrossRef]
 - Farooq, W.A.; Elgazzar, E.; Dere, A.; Dayan, O.; Serbetci, Z.; Karabulut, A.; Atif, M.; Hanif, A. Photoelectrical characteristics of novel Ru(II) complexes based photodiode. J. Mater. Sci. Mater. Electron. 2019, 30, 5516–5525. [Google Scholar] [CrossRef]
 - Mensah-Darkwa, K.; Ocaya, R.O.; Al-Sehemi, A.G.; Yeboah, D.; Dere, A.; Al-Ghamdi, A.A.; Gupta, R.K.; Yakuphanoğlu, F. Optoelectronic enhancement of ZnO/p-Si Schottky barrier photodiodes by (Sn, Ti) co-doping. Phys. B Cond. Matter 2023, 667, 415155. [Google Scholar] [CrossRef]
 - Gao, Y.; Zhang, R.; Xiang, Z.; Yuan, B.; Cui, T.; Gao, Y.; Cheng, Z.; Wu, J.; Qi, Y.; Zhang, Z. Theoretical insights into photocatalytic CO2 reduction on Palladium phthalocyanine. Chem. Phys. Lett. 2022, 803, 139812. [Google Scholar] [CrossRef]
 - Tejada, J.A.; Lopez-Varo, P.; Chaure, N.B.; Chambrier, I.; Cammidge, A.N.; Cook, M.J.; Jafari-Fini, A.; Ray, A.K. Organic thin film transistors using a liquid crystalline palladium phthalocyanine as active layer. J. Appl. Phys. 2018, 123, 115501. [Google Scholar] [CrossRef]
 - Yoshida, Y.; Nakamura, M.; Tanaka, S.; Hiromitsu, I.; Fujita, Y.; Yoshino, K. Photovoltaic properties and inner electric field of ZnO/Zn phthalocyanine hybrid solar cells. Synthet. Metals 2006, 156, 1213–1217. [Google Scholar] [CrossRef]
 - Uzar, N.; Abdulaziz, U. Investigation of structural, optical, electrical, thermoelectric and optoelectronic properties of undoped ZnO, Sb-doped ZnO and Sb–B co-doped ZnO thin films. Mater. Chem. Phys. 2024, 322, 129519. [Google Scholar] [CrossRef]
 - Chu, L.; Xu, C.; Li, Z.; Nie, C. High-performance self-powered ultraviolet photodetector based on a ZnO/CuPc inorganic/organic heterojunction. RSC Adv. 2024, 14, 13361. [Google Scholar] [CrossRef] [PubMed]
 - Peng, R.; Jiang, T.; Luo, Q.; Li, L.; Chen, J. CNTs/Gr composite sandwich layered rare earth phthalocyanines MPcs (M= Yb, La) used as improved energy storage behaviors for lithium-ion batteries. J. Energy Stor. 2024, 99, 113328. [Google Scholar] [CrossRef]
 - Aslan, E.; Zarbali, M. Tuning of photosensitivity and optical parameters of ZnO based photodetectors by co-Sn and Ti doping. Opt. Mater. 2022, 125, 112030. [Google Scholar] [CrossRef]
 - Lys, A.; Zabolotnii, V.; Čaplovicova, M.; Tepliakova, L.; Berzins, A.; Sahul, M.; Čaplovič, L.; Pogrebnjak, A.; Iatsunskyi, I.; Viter, R. Core-shell nanofibers of ZnFe2O4/ZnO for enhanced visible-light photoelectrochemical performance. J. Alloys Compd. 2024, 984, 173885. [Google Scholar] [CrossRef]
 - Pavani, M.; Ashok, K.A.; Rajagopal, R.V.; Kaleemulla, S.; Jyothi, I.; Choi, C. Electrical, optical and morphological properties of Au/n–Ge heterostructures by using cobalt phthalocyanine (CoPc) interlayer. Mater. Today Commun. 2023, 35, 106360. [Google Scholar]
 - Mondal, P.; Major, S.S. Dependence of diode behaviour and photoresponse of Ga-doped ZnO (GZO)/p-Si junction on the carrier concentration of GZO layer. Micro Nanostruct. 2024, 185, 207719. [Google Scholar] [CrossRef]
 - Rani, A.U.; Reddy, D.S.; Kumar, A.A.; Reddy, V.R. Structural, chemical, optical, electrical and photodiode properties of Au/ZnPc/undoped-InP MPS-type diode using a ZnPc interlayer. Mater. Sci. Eng. B 2024, 305, 117436. [Google Scholar] [CrossRef]
 
Disclaimer/Publisher’s Note: The statements, opinions and data contained in all publications are solely those of the individual author(s) and contributor(s) and not of MDPI and/or the editor(s). MDPI and/or the editor(s) disclaim responsibility for any injury to people or property resulting from any ideas, methods, instructions or products referred to in the content.  | 
© 2025 by the authors. Licensee MDPI, Basel, Switzerland. This article is an open access article distributed under the terms and conditions of the Creative Commons Attribution (CC BY) license (https://creativecommons.org/licenses/by/4.0/).