Non-Extensive Aspects of Gluon Distribution and the Implications for QCD Phenomenology
Abstract
1. Introduction
2. Gluon Distribution and Power-like Parametrization
3. Multiplicity-Dependent -Spectra of Hadrons
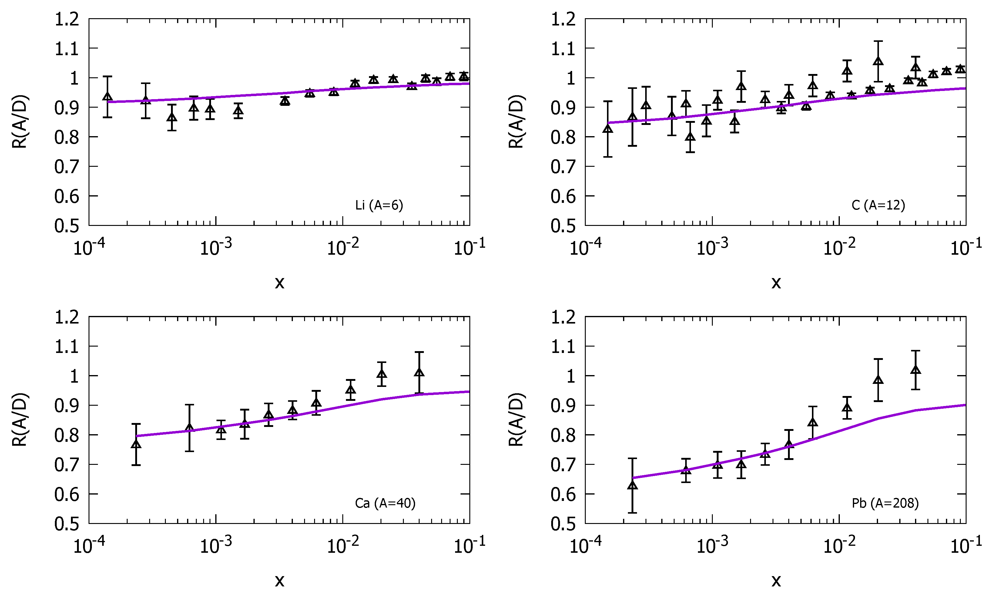
4. Nuclear Effects
5. Nuclear Modification Effects in Heavy-Ion Collisions
6. Summary and Conclusions
Author Contributions
Funding
Data Availability Statement
Conflicts of Interest
References
- Frankfurt, L.; Strikman, M.; Weiss, C. Small-x physics: From HERA to LHC and beyond. Annu. Rev. Nucl. Part. Sci. 2005, 55, 403–465. [Google Scholar] [CrossRef]
- Forshaw, J.R.; Seymour, M.H.; Siodmok, A. On the breaking of collinear factorization in QCD. J. High Energy Phys. 2012, 11, 066. [Google Scholar] [CrossRef]
- Schwartz, M.D.; Yan, K.; Zhu, H.X. Factorization violation and scale invariance. Phys. Rev. D. 2018, 97, 096017. [Google Scholar] [CrossRef]
- Catani, S.; Ciafaloni, M.; Hautmann, F. Gluon contributions to small x heavy flavor production. Phys. Lett. B 1990, 242, 97–102. [Google Scholar] [CrossRef]
- Lipatov, A.V.; Lykasov, G.I.; Zotov, N.P. LHC soft physics and transverse momentum dependent gluon density at low x. Phys. Rev. D 2014, 89, 014001. [Google Scholar] [CrossRef]
- Lipatov, A.V.; Lykasov, G.I.; Malyshev, M.A. Toward the global fit of the TMD gluon density in the proton from the LHC data. Phys. Rev. D 2023, 107, 014022. [Google Scholar] [CrossRef]
- Boer, D. Gluon TMDs in quarkonium production. Few Body Syst. 2017, 58, 32. [Google Scholar] [CrossRef]
- Cisek, A.; Schäfer, W.; Szczurek, A. Exclusive photoproduction of charmonia in γp→Vp and pp→pVp reactions within kt-factorization approach. J. High Energy Phys. 2015, 4, 159. [Google Scholar] [CrossRef]
- Abdulov, N.A.; Bacchetta, A.; Baranov, S.; Bermudez Martinez, A.; Bertone, V.; Bissolotti, C.; Candelise, V.; Bury, M.; Connor, P.L.S.; Favari, L.; et al. TMDlib2 and TMDplotter: A platform for 3D hadron structure studies. Eur. Phys. J. C 2021, 81, 752. [Google Scholar] [CrossRef]
- Moriggi, L.S.; Peccini, G.M.; Machado, M.V.T. Investigating the inclusive transverse spectra in high-energy pp collisions in the context of geometric scaling framework. Phys. Rev. D 2020, 102, 034016. [Google Scholar] [CrossRef]
- Bacchetta, A.; Celiberto, F.G.; Radici, M.; Taels, P. Transverse-momentum-dependent gluon distribution functions in a spectator model. Eur. Phys. J. C 2020, 80, 733. [Google Scholar] [CrossRef]
- Angeles-Martinez, R.; Bacchetta, A.; Balitsky, I.I.; Boer, D.; Boglione, M.; Boussarie, R.; Ceccopieri, F.A.; Cherednikov, I.O.; Connor, R.; Echevarria, M.G.; et al. Transverse momentum dependent (TMD) parton distribution functions: Status and prospects. Acta Phys. Polon. B 2015, 46, 2501–2534. [Google Scholar] [CrossRef]
- Łuszczak, A.; Łuszczak, M.; Schäfer, W. Unintegrated gluon distributions from the color dipole cross section in the BGK saturation model. Phys. Lett. B 2022, 835, 137582. [Google Scholar] [CrossRef]
- Golec-Biernat, K.; Sapeta, S. Saturation model of DIS: An update. J. High Energy Phys. 2018, 2018, 102. [Google Scholar] [CrossRef]
- Kutak, K.; Sapeta, S. Gluon saturation in dijet production in p–Pb collisions at Large Hadron Collider. Phys. Rev. D 2012, 86, 094043. [Google Scholar] [CrossRef]
- Moriggi, L.S.; Ramos, G.S.; Machado, M.V.T. Multiplicity dependence of the pT-spectra for identified particles and its relationship with partonic entropy. Phys. Rev. D 2024, 110, 034005. [Google Scholar] [CrossRef]
- McLerran, L.; Praszalowicz, M. Geometrical scaling and the dependence of the average transverse momentum on the multiplicity and energy for the ALICE experiment. Phys. Lett. B 2015, 741, 246–251. [Google Scholar] [CrossRef]
- Staśto, A.M.; Golec-Biernat, K.J.; Kwieciński, J. Geometric scaling for the total γ*p cross section in the low x region. Phys. Rev. Lett. 2001, 86, 596–599. [Google Scholar] [CrossRef]
- Praszalowicz, M. Improved geometrical scaling at the LHC. Phys. Rev. Lett. 2011, 106, 142002. [Google Scholar] [CrossRef] [PubMed]
- Praszalowicz, M. Geometrical scaling for identified particles. Phys. Lett. B 2013, 727, 461–467. [Google Scholar] [CrossRef]
- Praszalowicz, M.; Francuz, A. Geometrical scaling in inelastic inclusive particle production at the LHC. Phys. Rev. D 2015, 92, 074036. [Google Scholar] [CrossRef]
- Osada, T.; Kumaoka, T. Saturation momentum scale extracted from semi-inclusive transverse spectra in high-energy pp collisions. Phys. Rev. C 2019, 100, 034906. [Google Scholar] [CrossRef]
- Osada, T. Multiplicity-dependent saturation momentum in p–Pb collisions at 5.02 TeV. Phys. Rev. C 2021, 103, 024911. [Google Scholar] [CrossRef]
- Peccini, G.M.; Moriggi, L.S.; Machado, M.V.T. Dilepton production through timelike Compton scattering within the kT-factorization approach. Phys. Rev. D 2020, 102, 094015. [Google Scholar] [CrossRef]
- Peccini, G.M.; Moriggi, L.S.; Machado, M.V.T. Exclusive dilepton production via timelike Compton scattering in heavy ion collisions. Phys. Rev. D 2021, 103, 054009. [Google Scholar] [CrossRef]
- Cisek, A.; Schäfer, W.; Szczurek, A. Exclusive production of ρ meson in gamma–proton collisions: dσ/dt and the role of helicity flip processes. Phys. Lett. B 2023, 836, 137595. [Google Scholar] [CrossRef]
- dos Santos, G.S.; da Silveira, G.G.; Machado, M.V.T. Charmed meson production based on dipole transverse momentum representation in high energy hadron–hadron collisions available at the LHC. Phys. Lett. B 2023, 838, 137667. [Google Scholar] [CrossRef]
- dos Santos, G.S.; da Silveira, G.G.; Machado, M.V.T. Double charmed meson in pp and pA collisions production at the LHC within the dipole approach in momentum representation. Eur. Phys. J. C 2023, 83, 862. [Google Scholar] [CrossRef]
- Moriggi, L.S.; Peccini, G.M.; Machado, M.V.T. Role of nuclear gluon distribution on particle production in heavy ion collisions. Phys. Rev. D 2021, 103, 034025. [Google Scholar] [CrossRef]
- Moriggi, L.S.; Rocha, É.S.; Machado, M.V.T. Study of the azimuthal asymmetry in heavy ion collisions combining initial state momentum orientation and final state collective effects. Phys. Rev. D 2023, 108, 074013. [Google Scholar] [CrossRef]
- Hagedorn, R. Multiplicities, pT distributions and the expected hadron→quark–gluon phase transition. Riv. Nuovo Cim. 1983, 6, 1–50. [Google Scholar] [CrossRef]
- Wong, C.-Y.; Wilk, G.; Cirto, L.J.L.; Tsallis, C. From QCD-based hard-scattering to nonextensive statistical mechanical descriptions of transverse momentum spectra in high-energy pp and p collisions. Phys. Rev. D 2015, 91, 114027. [Google Scholar] [CrossRef]
- Bhattacharyya, T.; Cleymans, J.; Mogliacci, S.; Parvan, A.S.; Sorin, A.S.; Teryaev, O.V. Non-extensivity of the QCD pT-spectra. Eur. Phys. J. A 2018, 54, 222. [Google Scholar] [CrossRef]
- Bíró, G.; Barnaföldi, G.G.; Biró, T.S.; Ürmössy, K.; Takács, A. Systematic analysis of the non-extensive statistical approach in high energy particle collisions—Experiment vs. theory. Entropy 2017, 19, 88. [Google Scholar] [CrossRef]
- Bíró, G.; Barnaföldi, G.G.; Biró, T.S. Tsallis-thermometer: A QGP indicator for large and small collisional systems. J. Phys. G 2020, 47, 105002. [Google Scholar] [CrossRef]
- Akhil, A.; Tiwari, S.K. Exploring anisotropic flow via the Boltzmann transport equation employing the Tsallis blast wave description at LHC energies. J. Phys. G 2024, 51, 035002. [Google Scholar] [CrossRef]
- Li, L.L.; Liu, F.H.; Olimov, K.K. Excitation functions of Tsallis-like parameters in high-energy nucleus–nucleus collisions. Entropy 2021, 23, 478. [Google Scholar] [CrossRef]
- Sharma, N.; Cleymans, J.; Hippolyte, B.; Paradza, M. A comparison of p–p, p–Pb, Pb–Pb collisions in the thermal model: Multiplicity dependence of thermal parameters. Phys. Rev. C 2019, 99, 044914. [Google Scholar] [CrossRef]
- Khuntia, A.; Tripathy, S.; Sahoo, R.; Cleymans, J. Multiplicity dependence of non-extensive parameters for strange and multi-strange particles in proton–proton collisions at = 7 TeV at the LHC. Eur. Phys. J. A 2017, 53, 103. [Google Scholar] [CrossRef]
- Bhattacharyya, T.; Cleymans, J.; Mogliacci, S. Analytic results for the Tsallis thermodynamic variables. Phys. Rev. D 2016, 94, 094026. [Google Scholar] [CrossRef]
- Parvan, A.S.; Teryaev, O.V.; Cleymans, J. Systematic comparison of Tsallis statistics for charged pions produced in pp collisions. Eur. Phys. J. A 2017, 53, 102. [Google Scholar] [CrossRef]
- Tripathy, S.; Bhattacharyya, T.; Garg, P.; Kumar, P.; Sahoo, R.; Cleymans, J. Nuclear modification factor using tsallis non-extensive statistics. Eur. Phys. J. A 2016, 52, 289. [Google Scholar] [CrossRef]
- Han, C.; Xing, H.; Wang, X.; Fu, Q.; Wang, R.; Chen, X. Pion valence quark distributions from maximum entropy method. Phys. Lett. B 2020, 800, 135066. [Google Scholar] [CrossRef]
- Chen, J.; Wang, X.; Cai, Y.; Chen, X.; Wang, Q. Valence quark distributions in pions: Insights from tsallis entropy. arXiv 2024, arXiv:2408.03068. [Google Scholar] [CrossRef]
- Dokshitzer, Y.L. Calculation of structure functions of deep-inelastic scattering and e+e− annihilation by perturbation theory in quantum chromodynamics. Sov. Phys. JETP 1977, 46, 641–653. Available online: http://jetp.ras.ru/cgi-bin/e/index/e/46/4/p641?a=list (accessed on 25 December 2024).
- Gribov, V.N.; Lipatov, L.N. Deep inelastic ep scattering in perturbation theory. Sov. J. Nucl. Phys. 1972, 15, 438–450. [Google Scholar]
- Altarelli, G.; Parisi, G. Asymptotic freedom in parton language. Nucl. Phys. B 1977, 126, 298–318. [Google Scholar] [CrossRef]
- Gribov, L.V.; Levin, E.M.; Ryskin, M.G. Semihard processes in QCD. Phys. Rep. 1983, 100, 1–150. [Google Scholar] [CrossRef]
- Mueller, A.H.; Qiu, J. Gluon recombination and shadowing at small values of x. Nucl. Phys. B 1986, 268, 427–452. [Google Scholar] [CrossRef]
- Kharzeev, D.E.; Levin, E.M. Deep inelastic scattering as a probe of entanglement. Phys. Rev. D 2017, 95, 114008. [Google Scholar] [CrossRef]
- Hentschinski, M.; Kutak, K. Evidence for the maximally entangled low x proton in Deep Inelastic Scattering from H1 data. Eur. Phys. J. C 2022, 82, 111. [Google Scholar] [CrossRef]
- Hentschinski, M.; Kharzeev, D.E.; Kutak, K.; Tu, Z. Probing the onset of maximal entanglement inside the proton in diffractive deep inelastic scattering. Phys. Rev. Lett. 2023, 131, 241901. [Google Scholar] [CrossRef]
- Hentschinski, M.; Kharzeev, D.E.; Kutak, K.; Tu, Z. QCD evolution of entanglement entropy. Rep. Prog. Phys. 2024, 87, 120501. [Google Scholar] [CrossRef]
- Harland-Lang, L.A.; Martin, A.D.; Motylinski, P.; Thorne, R.S. Parton distributions in the LHC era: MMHT 2014 PDFs. Eur. Phys. J. C 2015, 75, 204. [Google Scholar] [CrossRef] [PubMed]
- Hou, T.-J.; Gao, J.; Hobbs, T.J.; Xie, K.; Dulat, S.; Guzzi, M.; Guzzi, M.; Huston, J.; Nadolsky, P.; Pumplin, J.; et al. New CTEQ global analysis of quantum chromodynamics with high-precision data from the LHC. Phys. Rev. D 2021, 103, 014013. [Google Scholar] [CrossRef]
- Bailey, S.; Cridge, T.; Harland-Lang, L.A.; Martin, A.D.; Thorne, R.S. Parton distributions from LHC, HERA, Tevatron and fixed target data: MSHT20 PDFs. Eur. Phys. J. C 2021, 81, 341. [Google Scholar] [CrossRef]
- Ball, R.D.; Bertone, V.; Carrazza, S.; Debbio, L.D.; Forte, S.; Groth-Merrild, P.; Ubiali, M. Parton distributions from high-precision collider data. Eur. Phys. J. C 2017, 77, 663. [Google Scholar] [CrossRef] [PubMed]
- Abramowicz, H. et al. [H1 and ZEUS Collaborations] Combination of measurements of inclusive deep inelastic e±p scattering cross sections and QCD analysis of HERA data. Eur. Phys. J. C 2015, 75, 580. [Google Scholar] [CrossRef]
- Kuraev, E.A.; Lipatov, L.N.; Fadin, V.S. The Pomeranchuk singularity in nonabelian gauge theories. Sov. Phys. JETP 1977, 45, 199–204. Available online: http://jetp.ras.ru/cgi-bin/e/index/e/45/2/p199?a=list (accessed on 25 December 2024).
- Balitsky, I.I.; Lipatov, L.N. The Pomeranchuk singularity in quantum chromodynamics. Sov. J. Nucl. Phys. 1978, 28, 822–829. [Google Scholar]
- Balitsky, I. Operator expansion for high-energy scattering. Nucl. Phys. B 1996, 463, 99–160. [Google Scholar] [CrossRef]
- Kovchegov, Y.V. Small-x F(2) structure function of a nucleus including multiple pomeron exchanges. Phys. Rev. 1999, D60, 034008. [Google Scholar] [CrossRef]
- Tsallis, C. Possible generalization of Boltzmann–Gibbs statistics. J. Stat. Phys. 1988, 52, 479–487. [Google Scholar] [CrossRef]
- Tsallis, C.; Mendes, R.S.; Plastino, A.R. The role of constraints within generalized nonextensive statistics. Phys. A Stat. Mech. Appl. 1998, 261, 534–554. [Google Scholar] [CrossRef]
- Prato, D.; Tsallis, C. Nonextensive foundation of Lévy distributions. Phys. Rev. E 1999, 60, 2398–2401. [Google Scholar] [CrossRef] [PubMed]
- Zanette, D.H.; Alemany, P.A. Thermodynamics of anomalous diffusion. Phys. Rev. Lett. 1995, 75, 366–369. [Google Scholar] [CrossRef]
- Acharya, S. et al. [ALICE COllaboration] Charged-particle production as a function of multiplicity and transverse spherocity in pp collisions at = 5.02 and 13 TeV. Eur. Phys. J. C 2019, 79, 857. [Google Scholar] [CrossRef]
- Cleymans, J.; Lykasov, G.I.; Parvan, A.S.; Sorin, A.S.; Teryaev, O.V.; Worku, D. Systematic properties of the Tsallis distribution: Energy dependence of parameters in high-energy p–p collisions. Phys. Lett. B 2013, 723, 351–354. [Google Scholar] [CrossRef]
- Cleymans, J.; Worku, D. Relativistic thermodynamics: Transverse momentum distributions in high-energy physics. Eur. Phys. J. A 2012, 48, 160. [Google Scholar] [CrossRef]
- Adam, J. et al. [ALICE Collaboration] Multi-strange baryon production in p–Pb collisions at = 5.02 TeV. Phys. Lett. B 2016, 758, 389–401. [Google Scholar] [CrossRef]
- Khachatryan, V. et al. [The CMS Collaboration] Multiplicity and rapidity dependence of strange hadron production in pp, pPb and PbPb collisions at the LHC. Phys. Lett. B 2017, 768, 103–129. [Google Scholar] [CrossRef]
- Adam., J. et al. [ALICE Collaboration] Enhanced production of multi-strange hadrons in high-multiplicity proton–proton collisions. Nat. Phys. 2017, 13, 535–539. [Google Scholar] [CrossRef]
- Rath, R.; Khuntia, A.; Sahoo, R.; Cleymans, J. Event multiplicity, transverse momentum and energy dependence of charged particle production, and system thermodynamics in pp collisions at the Large Hadron Collider. J. Phys. G 2020, 47, 055111. [Google Scholar] [CrossRef]
- Abelev, B. et al. [ALICE Collaboration] Multiplicity dependence of the average transverse momentum in pp, p–Pb, and Pb–Pb collisions at the LHC. Phys. Lett. B 2013, 727, 371–380. [Google Scholar] [CrossRef]
- Tumasyan, A. et al. [The CMS Collaboration] Multiplicity and transverse momentum dependence of charge-balance functions in pPb and PbPb collisions at LHC energies. J. High Energy Phys. 2024, 8, 148. [Google Scholar] [CrossRef]
- Acharya, S. et al. [ALICE Collaboration] Multiplicity dependence of J/ψ production at midrapidity in pp collisions at = 13 TeV. Phys. Lett. B 2020, 810, 135758. [Google Scholar] [CrossRef]
- Ortiz, A.; Paz, A.; Romo, J.D.; Tripathy, S.; Zepeda, E.A.; Bautista, I. Multiparton interactions in pp collisions from machine learning-based regression. Phys. Rev. D 2020, 102, 076014. [Google Scholar] [CrossRef]
- Morreale, A.; Salazar, F. Mining for gluon saturation at colliders. Universe 2021, 7, 312. [Google Scholar] [CrossRef]
- Levin, E.; Rezaeian, A.H. Gluon saturation and inclusive hadron production at LHC. Phys. Rev. D 2010, 82, 014022. [Google Scholar] [CrossRef]
- Motyka, L.; Golec-Biernat, K.; Watt, G. Dipole models and parton saturation in ep scattering. In HERA and the LHC: 4th Workshop on the Implications of HERA for LHC Physics; Jung, H., de Roeck, A., Eds.; DESY: Hamburg, Germany, 2009; pp. 471–581. [Google Scholar] [CrossRef]
- Acharya, S. et al. [ALICE Collaboration] Multiplicity dependence of light-flavor hadron production in pp collisions at = 7 TeV. Phys. Rev. C 2019, 99, 024906. [Google Scholar] [CrossRef]
- Azimov, Y.I.; Dokshitzer, Y.L.; Khoze, V.A.; Troyan, S.I. The string effect and QCD coherence. Phys. Lett. B 1985, 165, 147–150. [Google Scholar] [CrossRef]
- Moriggi, L.; Machado, M.V.T. Nuclear modification factor in small system collisions within perturbative QCD including thermal effects. Physics 2022, 4, 787–799. [Google Scholar] [CrossRef]
- Accardi, A.; Albacete, J.L.; Anselmino, M.; Armesto, N.; Aschenauer, E.C.; Bacchetta, A.; Boer, D.; Brooks, W.K.; Burton, T.; Chang, N.-B.; et al. Electron–Ion Collider: The next QCD frontier. Understanding the glue that binds us all. Eur. Phys. J. A 2016, 52, 268. [Google Scholar] [CrossRef]
- Rezaeian, A.H.; Schmidt, I. Impact-parameter dependent color glass condensate dipole model and new combined HERA data. Phys. Rev. D 2013, 88, 074016. [Google Scholar] [CrossRef]
- Rezaeian, A.H.; Siddikov, M.; van de Klundert, M.; Venugopalan, R. Analysis of combined HERA data in the impact-parameter dependent saturation model. Phys. Rev. 2013, D87, 034002. [Google Scholar] [CrossRef]
- Rezaei, B. The nuclear shadowing effect of gluon at small x. Nucl. Phys. A 2025, 1053, 122971. [Google Scholar] [CrossRef]
- Krelina, M.; Nemchik, J. Nuclear shadowing in DIS at electron–ion colliders. Eur. Phys. J. Plus 2020, 135, 444. [Google Scholar] [CrossRef]
- Abdul Khalek, R.; Ethier, J.J.; Rojo, J. Nuclear parton distributions from lepton–nucleus scattering and the impact of an electron-ion collider. Eur. Phys. J. C 2019, 79, 471. [Google Scholar] [CrossRef]
- Eskola, K.J.; Paakkinen, P.; Paukkunen, H.; Salgado, C.A. EPPS16: Nuclear parton distributions with LHC data. Eur. Phys. J. C 2017, 77, 163. [Google Scholar] [CrossRef]
- Schienbein, I.; Yu, J.; Kovarik, K.; Keppel, C.; Morfin, J.; Olness, F.; Owens, J. PDF nuclear corrections for charged and neutral current processes. Phys. Rev. D 2009, 80, 094004. [Google Scholar] [CrossRef]
- Mueller, A.H. Small-x behavior and parton saturation: A QCD model. Nucl. Phys. B 1990, 335, 115–137. [Google Scholar] [CrossRef]
- Glauber, R. Cross sections in deuterium at high energies. Phys. Rev. 1955, 100, 242–248. [Google Scholar] [CrossRef]
- Armesto, N.; Braun, M.A. Parton densities and dipole cross-sections at small x in large nuclei. Eur. Phys. J. C 2001, 20, 517–522. [Google Scholar] [CrossRef]
- De Jager, C.W.; De Vries, H.; De Vries, C. Nuclear charge- and magnetization-density-distribution parameters from elastic electron scattering. At. Data Nucl. Data Tab. 1974, 14, 479–508. [Google Scholar] [CrossRef]
- De Vries, H.; De Jager, C.W.; De Vries, C. Nuclear charge-density-distribution parameters from elastic electron scattering. At. Data Nucl. Data Tab. 1987, 36, 495–536. [Google Scholar] [CrossRef]
- Miller, M.L.; Reygers, K.; Sanders, S.J.; Steinberg, P. Glauber modeling in high energy nuclear collisions. Annu. Rev. Nucl. Part. Sci. 2007, 57, 205–243. [Google Scholar] [CrossRef]
- d’Enterria, D. Hard scattering cross sections at LHC in the Glauber approach: From pp to pA and AA collisions. arXiv arXiv:nucl-ex/0302016. [CrossRef]
- Arneodo, M. et al. [The New Muon Collaboration (NMC)] The structure function ratios and at small x. Nucl. Phys. B 1995, 441, 12–30. [Google Scholar] [CrossRef][Green Version]
- Adams, M. et al. [Fermilab E665 Collaboration] Shadowing in inelastic scattering of muons on carbon, calcium and lead at low xBj. Z. Phys. C 1995, 67, 403–410. [Google Scholar] [CrossRef]
- Arneodo, M. et al. [The New Muon Collaboration (NMC)] The Q2 dependence of the structure function ratio / and the difference RSn-RC in deep inelastic muon scattering. Nucl. Phys. B 1996, 481, 23–39. [Google Scholar] [CrossRef]
- Helenius, I.; Eskola, K.J.; Paukkunen, H. Centrality dependence of inclusive prompt photon production in d+Au, Au+Au, p+Pb, and Pb+Pb collisions. J. High Energy Phys. 2013, 2013, 30. [Google Scholar] [CrossRef]
- Helenius, I.; Paukkunen, H.; Eskola, K.J. Nuclear PDF constraints from p+Pb collisions at the LHC. PoS 2015, DIS2015, 036. [Google Scholar] [CrossRef]
- Vitev, I. Non-Abelian energy loss in cold nuclear matter. Phys. Rev. C 2007, 75, 064906. [Google Scholar] [CrossRef]
- Kang, Z.B.; Vitev, I.; Xing, H. Nuclear modification of high transverse momentum particle production in p+A collisions at RHIC and LHC. Phys. Lett. B 2012, 718, 482–487. [Google Scholar] [CrossRef]
- Arleo, F.; Peigné, S. Quenching of light hadron spectra in p–A collisions from fully coherent energy loss. Phys. Rev. Lett. 2020, 125, 032301. [Google Scholar] [CrossRef]
- Arleo, F.; Cougoulic, F.; Peigné, S. Fully coherent energy loss effects on light hadron production in pA collisions. J. High Energy Phys. 2020, 2020, 190. [Google Scholar] [CrossRef]
- Adam, J. et al. [ALICE Collaboration] Centrality dependence of the nuclear modification factor of charged pions, kaons, and protons in Pb–Pb collisions at = 2.76 TeV. Phys. Rev. C 2016, 93, 034913. [Google Scholar] [CrossRef]






| Y | T | |
|---|---|---|
| 3.0 | 0.368 | 0.968 |
| 4.0 | 0.516 | 0.466 |
| 5.0 | 0.761 | 0.282 |
| 6.0 | 1.083 | 0.157 |
| 7.0 | 1.557 | 0.061 |
| 8.0 | 2.523 | 0.059 |
| 9.0 | 3.904 | 0.024 |
| 10.0 | 6.021 | −0.006 |
| 11.0 | 9.307 | −0.033 |
| 12.0 | 14.39 | −0.0579 |
| 13.0 | 22.41 | −0.0806 |
Disclaimer/Publisher’s Note: The statements, opinions and data contained in all publications are solely those of the individual author(s) and contributor(s) and not of MDPI and/or the editor(s). MDPI and/or the editor(s) disclaim responsibility for any injury to people or property resulting from any ideas, methods, instructions or products referred to in the content. |
© 2025 by the authors. Licensee MDPI, Basel, Switzerland. This article is an open access article distributed under the terms and conditions of the Creative Commons Attribution (CC BY) license (https://creativecommons.org/licenses/by/4.0/).
Share and Cite
Moriggi, L.S.; Machado, M.V.T. Non-Extensive Aspects of Gluon Distribution and the Implications for QCD Phenomenology. Physics 2025, 7, 5. https://doi.org/10.3390/physics7010005
Moriggi LS, Machado MVT. Non-Extensive Aspects of Gluon Distribution and the Implications for QCD Phenomenology. Physics. 2025; 7(1):5. https://doi.org/10.3390/physics7010005
Chicago/Turabian StyleMoriggi, Lucas S., and Magno V. T. Machado. 2025. "Non-Extensive Aspects of Gluon Distribution and the Implications for QCD Phenomenology" Physics 7, no. 1: 5. https://doi.org/10.3390/physics7010005
APA StyleMoriggi, L. S., & Machado, M. V. T. (2025). Non-Extensive Aspects of Gluon Distribution and the Implications for QCD Phenomenology. Physics, 7(1), 5. https://doi.org/10.3390/physics7010005

