Evaluation of Antimicrobial Activity, Hemostatic Efficacy, Blood Coagulation Dynamics, and DNA Damage of Linen–Copper Composite Materials
Abstract
1. Introduction
2. Materials and Methods
2.1. Raw Materials
2.2. Methods
2.2.1. LI-Cu Coating Procedure
2.2.2. Copper Quantification in Composite Materials by Flame Atomic Absorption Spectrometry (FAAS)
2.2.3. Analysis of Porosity and Surface Area
2.2.4. Analysis of LI-Cu Surface Morphology Using Optical and Scanning Electron Microscopy (SEM)
2.2.5. Assessment of Antimicrobial and Antifungal Activity
2.2.6. Evaluation of Activated Partial Thromboplastin Time (aPTT) and Prothrombin Time (PT) Measurements
2.2.7. PBM Cells
2.2.8. Cell Viability Resazurin Assay
2.2.9. DNA Damage
2.2.10. Plasmid Relaxation Assay
2.2.11. Statistical Analysis
3. Results and Discussion
3.1. Physical Properties of LI-Cu
3.1.1. FAAS Analysis for Copper Content and Surface Properties with Pore Volume Examination
3.1.2. Surface Characteristics and Pore Volume in LI-Cu Samples
3.1.3. Microscopic Analysis
Optical Microscopy
SEM Microscopic Analysis
Elemental Analysis
3.2. Biological Characteristics
3.2.1. Antibacterial Effect
3.2.2. Impact on Plasma Coagulation: Assessment Through aPTT and PT Measurement
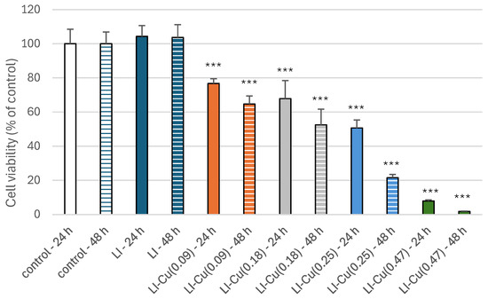
3.2.3. Effect of LI-Cu Samples on the Viability of PBM Cells
3.2.4. Effect of LI-Cu Samples on the DNA Damage in PBM Cells
3.2.5. Effect of LI-Cu Samples on the pUC19 Plasmid Conformation
4. Conclusions
- Development of a novel linen–copper (LI-Cu) composite material via a no-waste magnetron sputtering process.
- Linear dependency observed between the deposited copper content and applied sputtering energy.
- Demonstrated antibacterial activity of the LI-Cu fabric against representative bacteria (E. coli, S. aureus) and antifungal activity against fungi (A. niger and C. globosum).
- Time- and power-dependent cytotoxic and genotoxic effects of LI-Cu composites on peripheral blood mononuclear (PBM) cells.
- Evidence of the LI-Cu composite’s ability to directly interact with plasmid DNA, indicating a potential mechanism for its antimicrobial and genotoxic effects.
Supplementary Materials
Author Contributions
Funding
Institutional Review Board Statement
Informed Consent Statement
Data Availability Statement
Conflicts of Interest
References
- Boulton, A.J.; Lewis, C.T.; Naumann, D.N.; Midwinter, M.J. Prehospital Haemostatic Dressings for Trauma: A Systematic Review. Emerg. Med. J. 2018, 35, 449–457. [Google Scholar] [CrossRef] [PubMed]
- Kwiecinski, J.M.; Horswill, A.R. Staphylococcus aureus bloodstream infections: Pathogenesis and regulatory mechanisms. Curr. Opin. Microbiol. 2020, 53, 51–60. [Google Scholar] [CrossRef] [PubMed]
- Mohamed, S.A.; Hargest, R. Surgical Anatomy of the Skin. Surg. Oxf. 2022, 40, 1–7. [Google Scholar] [CrossRef]
- Rodrigues, M.; Kosaric, N.; Bonham, C.A.; Gurtner, G.C. Wound Healing: A Cellular Perspective. Physiol. Rev. 2019, 99, 665–706. [Google Scholar] [CrossRef]
- Yaron, J.R.; Gosangi, M.; Pallod, S.; Rege, K. In Situ Light-activated Materials for Skin Wound Healing and Repair: A Narrative Review. Bioeng. Transl. Med. 2024, 9, e10637. [Google Scholar] [CrossRef]
- Dhivya, S.; Padma, V.V.; Santhini, E. Wound Dressings—A Review. BioMed 2015, 5, 22. [Google Scholar] [CrossRef]
- Simões, D.; Miguel, S.P.; Ribeiro, M.P.; Coutinho, P.; Mendonça, A.G.; Correia, I.J. Recent advances on antimicrobial wound dressing: A review. Eur. J. Pharm. Biopharm. 2018, 127, 130–141. [Google Scholar] [CrossRef]
- Nethi, S.K.; Das, S.; Patra, C.R.; Mukherjee, S. Recent Advances in Inorganic Nanomaterials for Wound-Healing Applications. Biomater. Sci. 2019, 7, 2652–2674. [Google Scholar] [CrossRef]
- Rezvani Ghomi, E.; Khalili, S.; Nouri Khorasani, S.; Esmaeely Neisiany, R.; Ramakrishna, S. Wound Dressings: Current Advances and Future Directions. J. Appl. Polym. Sci. 2019, 136, 47738. [Google Scholar] [CrossRef]
- Shi, C.; Wang, C.; Liu, H.; Li, Q.; Li, R.; Zhang, Y.; Liu, Y.; Shao, Y.; Wang, J. Selection of Appropriate Wound Dressing for Various Wounds. Front. Bioeng. Biotechnol. 2020, 8, 182. [Google Scholar] [CrossRef]
- Savencu, I.; Iurian, S.; Porfire, A.; Bogdan, C.; Tomuță, I. Review of advances in polymeric wound dressing films. React. Funct. Polym. 2021, 168, 105059. [Google Scholar] [CrossRef]
- Ijaola, A.O.; Akamo, D.O.; Damiri, F.; Akisin, C.J.; Bamidele, E.A.; Ajiboye, E.G.; Berrada, M.; Onyenokwe, V.O.; Yang, S.-Y.; Asmatulu, E. Polymeric Biomaterials for Wound Healing Applications: A Comprehensive Review. J. Biomater. Sci. Polym. Ed. 2022, 33, 1998–2050. [Google Scholar] [CrossRef] [PubMed]
- Prete, S.; Dattilo, M.; Patitucci, F.; Pezzi, G.; Parisi, O.I.; Puoci, F. Natural and Synthetic Polymeric Biomaterials for Application in Wound Management. J. Funct. Biomater. 2023, 14, 455. [Google Scholar] [CrossRef]
- Bishop, A. Factors Influencing Dressing Choice in Wound Care: A Discussion. Br. J. Nurs. 2023, 32, S12–S20. [Google Scholar] [CrossRef]
- Choudhury, A.; Venkatesh, D.N.; Kumar, P.J.; Mohammed, A.P.M. Advanced Wound Care with Biopolymers. Res. J. Pharm. Technol. 2023, 16, 2522–2530. [Google Scholar] [CrossRef]
- Tran, H.Q.; Shahriar, S.M.S.; Yan, Z.; Xie, J. Recent Advances in Functional Wound Dressings. Adv. Wound Care 2023, 12, 399–427. [Google Scholar] [CrossRef]
- Vivcharenko, V.; Trzaskowska, M.; Przekora, A. Wound Dressing Modifications for Accelerated Healing of Infected Wounds. Int. J. Mol. Sci. 2023, 24, 7193. [Google Scholar] [CrossRef]
- Yousefian, F.; Hesari, R.; Jensen, T.; Obagi, S.; Rgeai, A.; Damiani, G.; Bunick, C.G.; Grada, A. Antimicrobial Wound Dressings: A Concise Review for Clinicians. Antibiotics 2023, 12, 1434. [Google Scholar] [CrossRef]
- Nguyen, H.M.; Ngoc Le, T.T.N.; Nguyen, A.T.; Lea, H.N.T.; Pham, T.T. Biomedical materials for wound dressing: Recent advances and applications. RSC Adv. 2023, 13, 5509. [Google Scholar] [CrossRef]
- Ansari, A.; Darvishi, A. A review of the current state of natural biomaterials in wound healing applications. Front. Bioeng. Biotechnol. 2024, 12, 1309541. [Google Scholar] [CrossRef]
- Polverino, G.; Russo, F.; D’Andrea, F. Bioactive Dressing: A New Algorithm in Wound Healing. J. Clin. Med. 2024, 13, 2488. [Google Scholar] [CrossRef] [PubMed]
- Zhong, Y.; Wei, E.T.; Wu, L.; Wang, Y.; Lin, Q.; Wu, N.; Chen, H.; Tang, N. Novel Biomaterials for Wound Healing and Tissue Regeneration. ACS Omega 2024, 9, 32268–32286. [Google Scholar] [CrossRef] [PubMed]
- Golam, N.; Mustafijur, R.; Tanvir, M.D.; Hasibul, H.; Nusrat, B.H.; Sara, B.; Rajiv, P.; Shadi, H. Recent advances in bioactive wound dressings. Wound Repair Regen. 2025, 33/1, e13233. [Google Scholar] [CrossRef]
- Verma, D.; Okhawilai, M.; Nangan, S.; Thakur, V.K.; Gopi, S.; Kuppusamy, K.; Sharma, M.; Uyama, H. A Sustainable and Green Approach towards the Utilization of Biopolymers for Effective Wound Dressing Applications: A Detailed Review. Nano-Struct. Nano-Objects 2024, 37, 101086. [Google Scholar] [CrossRef]
- Guo, B.; Dong, R.; Liang, Y.; Li, M. Haemostatic Materials for Wound Healing Applications. Nat. Rev. Chem. 2021, 5, 773–791. [Google Scholar] [CrossRef]
- Yu, P.; Zhong, W. Hemostatic Materials in Wound Care. Burns Trauma 2021, 9, tkab019. [Google Scholar] [CrossRef]
- Guo, Y.; Wang, M.; Liu, Q.; Liu, G.; Wang, S.; Li, J. Recent Advances in the Medical Applications of Hemostatic Materials. Theranostics 2023, 13, 161–196. [Google Scholar] [CrossRef]
- Mirhaj, M.; Labbaf, S.; Tavakoli, M.; Seifalian, A. An Overview on the Recent Advances in the Treatment of Infected Wounds: Antibacterial Wound Dressings. Macromol. Biosci. 2022, 22, 2200014. [Google Scholar] [CrossRef]
- Lu, Z.; Yu, D.; Nie, F.; Wang, Y.; Chong, Y. Iron Nanoparticles Open Up New Directions for Promoting Healing in Chronic Wounds in the Context of Bacterial Infection. Pharmaceutics 2023, 15, 2327. [Google Scholar] [CrossRef]
- Cardoso, V.; Rittmeyer, T.; Correa, R.J.; Brêda, G.C.; Almeida, R.V.; Simões, G.; de França, B.M.; de Azevedo, P.N.; Bello Forero, J.S. Photoactive cotton fabric: Synthesis, characterization and antibacterial evaluation of anthraquinone-based dyes linked to cellulose. Dyes Pigm. 2019, 161, 16–23. [Google Scholar] [CrossRef]
- Hong, K.H.; Sun, G. Photocatalytic functional cotton fabrics containing benzophenone chromophoric groups. J. Appl. Polym. Sci. 2007, 106, 2661–2667. [Google Scholar] [CrossRef]
- Ladhari, N.; Baouab, M.H.V.; Dekhil, A.B.; Bakhrouf, A.; Niquette, P. Antibacterial activity of quaternary ammonium salt grafted cotton. J. Text. Inst. 2007, 98, 209–218. [Google Scholar] [CrossRef]
- Orhan, M. Triclosan applications for biocidal functionalization of polyester and cotton surfaces. J. Eng. Fibers Fabr. 2020, 15, 1558925020940104. [Google Scholar] [CrossRef]
- Cassano, R.; Trombino, S.; Ferrarelli, T.; Muzzalupo, R.; Tavano, L.; Picci, N. Synthesis and antibacterial activity evaluation of a novel cotton fiber (Gossypium barbadense) ampicillin derivative. Carbohydr. Polym. 2009, 78, 639–641. [Google Scholar] [CrossRef]
- Braun, M.; Sun, Y. Antimicrobial polymers containing melamine derivatives. I. Preparation and characterization of chloromelamine-based cellulose. J. Polym. Sci. Part A Polym. Chem. 2004, 42, 3818–3827. [Google Scholar] [CrossRef]
- Grace, M.; Chand, N.; Bajpai, S.K. Copper alginate-cotton cellulose (CACC) fibers with excellent antibacterial properties. J. Eng. Fibers Fabr. 2009, 4, 24–35. [Google Scholar] [CrossRef]
- Vigneshwaran, N.; Kathe, A.A.; Varadarajan, P.V.; Nachane, R.P.; Balasubramanya, R.H. Functional finishing of cotton fabrics using silver nanoparticles. J. Nanosci. Nanotechnol. 2007, 7, 1893–1897. [Google Scholar] [CrossRef]
- Ilić, V.; Šaponjić, Z.; Vodnik, V.; Potkonjak, B.; Jovančić, P.; Nedeljković, J.; Radetić, M. The influence of silver content on antimicrobial activity and color of cotton fabrics functionalized with Ag nanoparticles. Carbohydr. Polym. 2009, 78, 564–569. [Google Scholar] [CrossRef]
- Gabbay, J.; Borkow, G.; Mishal, J.; Magen, E.; Zatcoff, R.M.; Shemer-Avni, Y. Copper oxide impregnated textiles with potent biocidal activities. J. Ind. Text. 2006, 35, 323–335. [Google Scholar] [CrossRef]
- Sedighi, A.; Montazer, M.; Samadi, N. Synthesis of nano Cu2O on cotton: Morphological, physical, biological and optical sensing characterizations. Carbohydr. Polym. 2014, 110, 489–498. [Google Scholar] [CrossRef]
- Sedighi, A.; Montazer, M.; Hemmatinejad, N. Copper nanoparticles on bleached cotton fabric: In situ synthesis and characterization. Cellulose 2014, 21, 2119–2132. [Google Scholar] [CrossRef]
- Selvam, S.; Sundrarajan, M. Functionalization of cotton fabric with PVP/ZnO nanoparticles for improved reactive dyeability and antibacterial activity. Carbohydr. Polym. 2012, 87, 1419–1424. [Google Scholar] [CrossRef]
- Mary, G.; Bajpai, S.K.; Chand, N. Copper (II) ions and copper nanoparticles-loaded chemically modified cotton cellulose fibers with fair antibacterial properties. J. Appl. Polym. Sci. 2009, 113, 757–766. [Google Scholar] [CrossRef]
- Karimi, L.; Yazdanshenas, M.E.; Khajavi, R.; Rashidi, A.; Mirjalili, M. Using graphene/TiO2 nanocomposite as a new route for preparation of electroconductive, self-cleaning, antibacterial and antifungal cotton fabric without toxicity. Cellulose 2014, 21, 3813–3827. [Google Scholar] [CrossRef]
- Kudzin, M.H.; Mrozinska, Z.; Walawska, A.; Sójka-Ledakowicz, J. Biofunctionalization of Textile Materials. 1. Biofunctionalization of Poly(Propylene) (PP) Nonwovens Fabrics by Alafosfalin. Coatings 2019, 9, 412. [Google Scholar] [CrossRef]
- Kudzin, M.H.; Mrozinska, Z. Biofunctionalization of Textile Materials. 3. Fabrication of Poly(lactide)-Potassium Iodide Composites with Antifungal Properties. Coatings 2020, 10, 593. [Google Scholar] [CrossRef]
- Kudzin, M.H.; Mrozinska, Z. Biofunctionalization of Textile Materials. 2. Antimicrobial modification of poly(lactide) (PLA) nonwoven fabrics by fosfomycin. Polymers 2020, 12, 768. [Google Scholar] [CrossRef]
- Kudzin, M.H.; Giełdowska, M.; Mrozinska, Z.; Bogun, M. Poly(lactic acid)/Zinc/Alginate complex material: Preparation and antimicrobial properties. Antibiotics 2021, 10, 1327. [Google Scholar] [CrossRef]
- Kudzin, M.H.; Giełdowska, M.; Król, P.; Sobanska, Z. Preparation of Cotton–Zinc Composites by Magnetron Sputtering Metallization and Evaluation of their Antimicrobial Properties and Cytotoxicity. Materials 2022, 15, 2746. [Google Scholar] [CrossRef]
- Mrozinska, Z.; Swierczynska, M.; Juszczak, M.; Wozniak, K.; Kudzin, M.H. Poly(Lactide) Nonwoven Fabric with Iron Coating and Its Biological Properties. Coatings 2024, 14, 1050. [Google Scholar] [CrossRef]
- Gębarowski, T.; Jęśkowiak, I.; Wiatrak, B. Investigation of the Properties of Linen Fibers and Dressings. Int. J. Mol. Sci. 2022, 23, 10480. [Google Scholar] [CrossRef] [PubMed]
- Gębarowski, T.; Wiatrak, B.; Janeczek, M.; Żuk, M.; Pistor, P.; Gąsiorowski, K. Were our ancestors right in using flax dressings? Research on the properties of flax fibre and its usefulness in wound healing. Oxid. Med. Cell. Longev. 2020, 2020, 1682317. [Google Scholar] [CrossRef] [PubMed]
- Khan, F.; Hossain, N.; Hasan, F.; Rahman, S.M.M.; Khan, S.; Saifullah, A.Z.A.; Chowdhury, M.A. Advances of natural fiber composites in diverse engineering applications—A review. Appl. Eng. Sci. 2024, 18, 100184. [Google Scholar] [CrossRef]
- Kulma, A.; Skórkowska-Telichowska, K.; Kostyn, K.; Szatkowski, M.; Skała, J.; Drulis-Kawa, Z.; Preisner, M.; Zuk, M.; Szperlik, J.; Wang, Y.F.; et al. New flax producing bioplastic fibers for medical purposes. Ind. Crops Prod. 2015, 68, 80–89. [Google Scholar] [CrossRef]
- Li, H.; Tang, R.; Dai, J.; Wang, Z.; Meng, S.; Zhang, X.; Cheng, F. Recent Progress in Flax Fiber-Based Functional Composites. Adv. Fiber Mater. 2022, 4, 171–184. [Google Scholar] [CrossRef]
- Michel, S.A.A.X.; Vogels, R.R.M.; Bouvy, N.D.; Knetsch, M.L.W.; Van Den Akker, N.M.S.; Gijbels, M.J.J.; Van Der Marel, C.; Vermeersch, J.; Molin, D.G.M.; Koole, L.H. Utilization of flax fibers for biomedical applications. J. Biomed. Mater. Res. B Appl. Biomater. 2014, 102, 477–487. [Google Scholar] [CrossRef]
- Paladini, F.; Picca, R.A.; Sportelli, M.C.; Cioffi, N.; Sannino, A.; Pollini, M. Surface chemical and biological characterization of flax fabrics modified with silver nanoparticles for biomedical applications. Mater. Sci. Eng. C 2015, 52, 1–10. [Google Scholar] [CrossRef]
- Skórkowska-Telichowska, K.; Mierziak-Darecka, J.; Wrobel-Kwiatkowska, M.; Gebarowski, T.; Szopa, J.; Zuk, M. Wound coverage by the linen dressing accelerates ulcer healing. Adv. Dermatol. Alergol. 2021, 38, 827–841. [Google Scholar] [CrossRef]
- Skórkowska-Telichowska, K.; Zuk, M.; Kulma, A.; Bugajska-Prusak, A.; Ratajczak, K.; Gąsiorowski, K.; Kostyn, K.; Szopa, J. New dressing materials derived from transgenic flax products to treat long-standing venous ulcers—A pilot study. Wound Repair Regen. 2010, 18, 168–179. [Google Scholar] [CrossRef]
- Durrant, P.J.; Durrant, B. Introduction to Advanced Inorganic Chemistry; Longmans, Green&Co.: London, UK, 1962. [Google Scholar]
- Conry, R.R. Copper: Inorganic & Coordination Chemistry. In Encyclopedia of Inorganic Chemistry, 1st ed.; Conry, R.R., Karlin, K.D., Eds.; John Wiley & Sons, Inc.: Hoboken, NJ, USA, 2005; pp. 1–19. [Google Scholar] [CrossRef]
- Allen, S.E.; Walvoord, R.R.; Padilla-Salinas, R.; Kozlowski, M.C. Aerobic Copper-Catalyzed Organic Reactions. Chem. Rev. 2013, 113, 6234–6458. [Google Scholar] [CrossRef]
- Zerk, T.J.; Bernhardt, P.V. Redox-Coupled Structural Changes in Copper Chemistry: Implications for Atom Transfer Catalysis. Coord. Chem. Rev. 2018, 375, 173–190. [Google Scholar] [CrossRef]
- De Sousa, P.V.F.; De Oliveira, A.F.; Da Silva, A.A.; Lopes, R.P. Environmental Remediation Processes by Zero Valence Copper: Reaction Mechanisms. Environ. Sci. Pollut. Res. 2019, 26, 14883–14903. [Google Scholar] [CrossRef] [PubMed]
- Benesperi, I.; Singh, R.; Freitag, M. Copper Coordination Complexes for Energy-Relevant Applications. Energies 2020, 13, 2198. [Google Scholar] [CrossRef]
- Krasnovskaya, O.; Naumov, A.; Guk, D.; Gorelkin, P.; Erofeev, A.; Beloglazkina, E.; Majouga, A. Copper Coordination Compounds as Biologically Active Agents. Int. J. Mol. Sci. 2020, 21, 3965. [Google Scholar] [CrossRef]
- Borkow, G.; Gabbay, J. Copper as a Biocidal Tool. Curr. Med. Chem. 2005, 12, 2163–2175. [Google Scholar] [CrossRef]
- Borkow, G.; Gabbay, J. Copper, An Ancient Remedy Returning to Fight Microbial, Fungal and Viral Infections. Curr. Chem. Biol. 2009, 3, 272–278. [Google Scholar] [CrossRef]
- Grass, G.; Rensing, C.; Solioz, M. Metallic Copper as an Antimicrobial Surface. Appl. Environ. Microbiol. 2011, 77, 1541–1547. [Google Scholar] [CrossRef]
- Vincent, M.; Duval, R.E.; Hartemann, P.; Engels-Deutsch, M. Contact Killing and Antimicrobial Properties of Copper. J. Appl. Microbiol. 2018, 124, 1032–1046. [Google Scholar] [CrossRef]
- Ermini, M.L.; Voliani, V. Antimicrobial Nano-Agents: The Copper Age. ACS Nano 2021, 15, 6008–6029. [Google Scholar] [CrossRef]
- Li, X.; Cong, Y.; Ovais, M.; Cardoso, M.B.; Hameed, S.; Chen, R.; Chen, M.; Wang, L. Copper-based Nanoparticles against Microbial Infections. WIREs Nanomed. Nanobiotechnol. 2023, 15, e1888. [Google Scholar] [CrossRef]
- Yimeng, S.; Huilun, X.; Ziming, L.; Kejun, L.; Chaima, M.; Xiangyu, Z.; Yinchun, H.; Yan, W.; Di, H. Copper-Based Nanoparticles as Antibacterial Agents. Eur. J. Inorg. Chem. 2023, 26, e202200614. [Google Scholar] [CrossRef]
- Cortes, A.A.; Zuñiga, J.M. The Use of Copper to Help Prevent Transmission of SARS-Coronavirus and Influenza Viruses. A General Review. Diagn. Microbiol. Infect. Dis. 2020, 98, 115176. [Google Scholar] [CrossRef] [PubMed]
- Jagaran, K.; Singh, M. Nanomedicine for COVID-19: Potential of Copper Nanoparticles. Biointerface Res. Appl. Chem. 2020, 11, 10716–10728. [Google Scholar] [CrossRef]
- Govind, V.; Bharadwaj, S.; Sai Ganesh, M.R.; Vishnu, J.; Shankar, K.V.; Shankar, B.; Rajesh, R. Antiviral Properties of Copper and Its Alloys to Inactivate COVID-19 Virus: A Review. BioMetals 2021, 34, 1217–1235. [Google Scholar] [CrossRef]
- Ramos-Zúñiga, J.; Bruna, N.; Pérez-Donoso, J.M. Toxicity Mechanisms of Copper Nanoparticles and Copper Surfaces on Bacterial Cells and Viruses. Int. J. Mol. Sci. 2023, 24, 10503. [Google Scholar] [CrossRef]
- Albalawi, S.A.; Albalawi, R.A.; Albalawi, A.A.; Alanazi, R.F.; Almahlawi, R.M.; Alhwity, B.S.; Alatawi, B.D.; Elsherbiny, N.; Alqifari, S.F.; Abdel-Maksoud, M.S. The Possible Mechanisms of Cu and Zn in the Treatment and Prevention of HIV and COVID-19 Viral Infection. Biol. Trace Elem. Res. 2024, 202, 1524–1538. [Google Scholar] [CrossRef]
- Gerwien, F.; Skrahina, V.; Kasper, L.; Hube, B.; Brunke, S. Metals in Fungal Virulence. FEMS Microbiol. Rev. 2018, 42, fux050. [Google Scholar] [CrossRef]
- Robinson, J.R.; Isikhuemhen, O.S.; Anike, F.N. Fungal–Metal Interactions: A Review of Toxicity and Homeostasis. J. Fungi 2021, 7, 225. [Google Scholar] [CrossRef]
- Pereira, D.; Carreira, T.S.; Alves, N.; Sousa, Â.; Valente, J.F.A. Metallic Structures: Effective Agents to Fight Pathogenic Microorganisms. Int. J. Mol. Sci. 2022, 23, 1165. [Google Scholar] [CrossRef]
- Huang, T.; Li, X.; Maier, M.; O’Brien-Simpson, N.M.; Heath, D.E.; O’Connor, A.J. Using Inorganic Nanoparticles to Fight Fungal Infections in the Antimicrobial Resistant Era. Acta Biomater. 2023, 158, 56–79. [Google Scholar] [CrossRef]
- Madkhali, O.A. A Comprehensive Review on Potential Applications of Metallic Nanoparticles as Antifungal Therapies to Combat Human Fungal Diseases. Saudi Pharm. J. 2023, 31, 101733. [Google Scholar] [CrossRef]
- Denoyer, D.; Masaldan, S.; La Fontaine, S.; Cater, M.A. Targeting Copper in Cancer Therapy: ‘Copper That Cancer’. Metallomics 2015, 7, 1459–1476. [Google Scholar] [CrossRef] [PubMed]
- Shao, S.; Si, J.; Shen, Y. Copper as the Target for Anticancer Nanomedicine. Adv. Ther. 2019, 2, 1800147. [Google Scholar] [CrossRef]
- Guan, D.; Zhao, L.; Shi, X.; Ma, X.; Chen, Z. Copper in Cancer: From Pathogenesis to Therapy. Biomed. Pharmacother. 2023, 163, 114791. [Google Scholar] [CrossRef] [PubMed]
- Ji, P.; Wang, P.; Chen, H.; Xu, Y.; Ge, J.; Tian, Z.; Yan, Z. Potential of Copper and Copper Compounds for Anticancer Applications. Pharmaceuticals 2023, 16, 234. [Google Scholar] [CrossRef]
- Yang, S.; Song, Y.; Hu, Y.; Chen, H.; Yang, D.; Song, X. Multifaceted Roles of Copper Ions in Anticancer Nanomedicine. Adv. Healthc. Mater. 2023, 12, 2300410. [Google Scholar] [CrossRef]
- Belozerskaya, G.G.; Makarov, V.A.; Zhidkov, E.A.; Malykhina, L.S.; Sergeeva, O.A.; Ter-Arutyunyants, A.A.; Makarova, L.V. Local Hemostatics (A Review). Pharm. Chem. J. 2006, 40, 353–359. [Google Scholar] [CrossRef]
- Van Rensburg, M.; Van Rooy, M.; Bester, M.; Serem, J.; Venter, C.; Oberholzer, H. Oxidative and Haemostatic Effects of Copper, Manganese and Mercury, Alone and in Combination at Physiologically Relevant Levels: An Ex Vivo Study. Hum. Exp. Toxicol. 2019, 38, 419–433. [Google Scholar] [CrossRef]
- Tarantino, G.; Citro, V.; Capone, D.; Gaudiano, G.; Sinatti, G.; Santini, S.J.; Balsano, C. Copper Concentrations Are Prevalently Associated with Antithrombin III, but Also with Prothrombin Time and Fibrinogen in Patients with Liver Cirrhosis: A Cross Sectional Retrospective Study. J. Trace Elem. Med. Biol. 2021, 68, 126802. [Google Scholar] [CrossRef]
- Jacobs, A.; Renaudin, G.; Forestier, C.; Nedelec, J.-M.; Descamps, S. Biological Properties of Copper-Doped Biomaterials for Orthopedic Applications: A Review of Antibacterial, Angiogenic and Osteogenic Aspects. Acta Biomater. 2020, 117, 21–39. [Google Scholar] [CrossRef]
- Shen, Q.; Qi, Y.; Kong, Y.; Bao, H.; Wang, Y.; Dong, A.; Wu, H.; Xu, Y. Advances in Copper-Based Biomaterials With Antibacterial and Osteogenic Properties for Bone Tissue Engineering. Front. Bioeng. Biotechnol. 2022, 9, 795425. [Google Scholar] [CrossRef] [PubMed]
- Sherief, Z.; Xian, G.; Thomas, S.; Ajith, A. Effects of surface grafting of copper nanoparticles on the tensile and bonding properties of flax fibers. Sci. Eng. Compos. Mater. 2017, 24, 651–660. [Google Scholar] [CrossRef]
- Broughton, G.; Janis, J.E.; Attinger, C.E. A brief history of wound care. Plast. Reconstr. Surg. 2006, 117 (Suppl. S7), 6S–11S. [Google Scholar] [CrossRef] [PubMed]
- Świerczyńska, M.; Mrozińska, Z.; Juszczak, M.; Woźniak, K.; Kudzin, M.H. Preparation and Biochemical Activity of Copper-Coated Cellulose Nonwoven Fabric via Magnetron Sputtering and Alginate-Calcium Ion Complexation. Mar. Drugs 2024, 22, 436. [Google Scholar] [CrossRef] [PubMed]
- Yılmaz, F.; Bahtiyari, M.İ. An Approach for Linen Fabrics Coloring and Antibacterial Activity by Cumin in Combination with Nano Copper and Iron. J. Nat. Fibers 2022, 19, 7406–7413. [Google Scholar] [CrossRef]
- Ivanovska, A.; Milenković, J.; Lađarević, J.; Mihajlovski, K.; Dojčinović, B.; Ugrinović, V.; Škaro Bogojević, S.; Kostić, M. Harnessing the power of green and rooibos tea aqueous extracts for obtaining colored bioactive cotton and cotton/flax fabrics intended for disposable and reusable medical textiles. Cellulose 2024, 31, 9523–9542. [Google Scholar] [CrossRef]
- Forrest, R.D. Early history of wound treatment. J. R. Soc. Med. 1982, 75, 198–205. [Google Scholar] [CrossRef]
- EN ISO 20645:2006; Textile Fabrics. Determination of Antibacterial Activity—Agar Diffusion Plate Test. International Organization for Standardization: Geneva, Switzerland, 2006.
- EN 14119: 2005 Point 10.5 (B2); Testing of Textiles. Evaluation of the Action of Microfungi. Visual Method. International Organization for Standardization: Geneva, Switzerland, 2005.
- Andrews, J.M. Determination of minimum inhibitory concentrations. J. Antimicrob. Chemoth. 2001, 48 (Suppl. S1), 5–16. [Google Scholar] [CrossRef]
- Kowalska-Krochmal, B.; Dudek-Wicherby, R. The Minimum Inhibitory Concentration of Antibiotics: Methods, Interpretation, Clinical Relevance. Pathogens 2021, 10, 165. [Google Scholar] [CrossRef]
- Kluska, M.; Juszczak, M.; Wysokiński, D.; Żuchowski, J.; Stochmal, A.; Woźniak, K. Kaempferol Derivatives Isolated from Lens Culinaris Medik. Reduce DNA Damage Induced by Etoposide in Peripheral Blood Mononuclear Cells. Toxicol. Res. 2019, 8, 896–907. [Google Scholar] [CrossRef]
- O’Brien, J.; Wilson, I.; Orton, T.; Pognan, F. Investigation of the Alamar Blue (Resazurin) Fluorescent Dye for the Assessment of Mammalian Cell Cytotoxicity. Eur. J. Biochem. 2000, 267, 5421–5426. [Google Scholar] [CrossRef] [PubMed]
- Tokarz, P.; Piastowska-Ciesielska, A.W.; Kaarniranta, K.; Blasiak, J. All-Trans Retinoic Acid Modulates DNA Damage Response and the Expression of the VEGF-A and MKI67 Genes in ARPE-19 Cells Subjected to Oxidative Stress. Int. J. Mol. Sci. 2016, 17, 898. [Google Scholar] [CrossRef] [PubMed]
- Juszczak, M.; Das, S.; Kosińska, A.; Rybarczyk-Pirek, A.J.; Wzgarda-Raj, K.; Tokarz, P.; Vasudevan, S.; Chworos, A.; Woźniak, K.; Rudolf, B. Piano-Stool Ruthenium(II) Complexes with Maleimide and Phosphine or Phosphite Ligands: Synthesis and Activity against Normal and Cancer Cells. Dalton Trans. 2023, 52, 4237–4250. [Google Scholar] [CrossRef] [PubMed]
- Foulk, J.; Akin, D.; Dodd, R.; Ulven, C. Production of Flax Fibers for Biocomposites. In Cellulose Fibers: Bio- and Nano-Polymer Composites: Green Chemistry and Technology; Kalia, S., Kaith, B.S., Kaur, I., Eds.; Springer: Berlin, Heidelberg, 2011; pp. 61–95. ISBN 978-3-642-17370-7. [Google Scholar]
- Maity, S.; Gon, D.P.; Paul, P. A Review of Flax Nonwovens: Manufacturing, Properties, and Applications. J. Nat. Fibers 2014, 11, 365–390. [Google Scholar] [CrossRef]
- Yan, L.; Chouw, N.; Jayaraman, K. Flax Fibre and Its Composites–A Review. Compos. B Eng. 2014, 56, 296–317. [Google Scholar] [CrossRef]
- Ramesh, M. Flax (Linum usitatissimum L.) Fibre Reinforced Polymer Composite Materials: A Review on Preparation, Properties and Prospects. Prog. Mater. Sci. 2019, 102, 109–166. [Google Scholar] [CrossRef]
- Gomez-Campos, A.; Vialle, C.; Rouilly, A.; Sablayrolles, C.; Hamelin, L. Flax Fiber for Technical Textile: A Life Cycle Inventory. J. Clean. Prod. 2021, 281, 125177. [Google Scholar] [CrossRef]
- Kelly, P.J.; Arnell, R.D. Magnetron Sputtering: A Review of Recent Developments and Applications. Vacuum 2000, 56, 159–172. [Google Scholar] [CrossRef]
- Bräuer, G.; Szyszka, B.; Vergöhl, M.; Bandorf, R. Magnetron Sputtering–Milestones of 30 Years. Vacuum 2010, 84, 1354–1359. [Google Scholar] [CrossRef]
- Greene, J.E. Review Article: Tracing the Recorded History of Thin-Film Sputter Deposition: From the 1800s to 2017. J. Vac. Sci. Technol. 2017, 35, 05C204. [Google Scholar] [CrossRef]
- Hassan, M.M. 16—Antimicrobial Coatings for Textiles. In Handbook of Antimicrobial Coatings; Tiwari, A., Ed.; Elsevier: Amsterdam, The Netherlands, 2018; pp. 321–355. ISBN 978-0-12-811982-2. [Google Scholar]
- Tudose, I.V.; Comanescu, F.; Pascariu, P.; Bucur, S.; Rusen, L.; Iacomi, F.; Koudoumas, E.; Suchea, M.P. Chapter 2—Chemical and Physical Methods for Multifunctional Nanostructured Interface Fabrication. In Functional Nanostructured Interfaces for Environmental and Biomedical Applications; Dinca, V., Suchea, M.P., Eds.; Micro and Nano Technologies; Elsevier: Amsterdam, The Netherlands, 2019; pp. 15–26. ISBN 978-0-12-814401-5. [Google Scholar]
- Wilmer, C.E.; Leaf, M.; Lee, C.Y.; Farha, O.K.; Hauser, B.G.; Hupp, J.T.; Snurr, R.Q. Large-Scale Screening of Hypothetical Metal–Organic Frameworks. Nat. Chem. 2012, 4, 83–89. [Google Scholar] [CrossRef] [PubMed]
- de Lange, M.F.; Lin, L.-C.; Gascon, J.; Vlugt, T.J.H.; Kapteijn, F. Assessing the Surface Area of Porous Solids: Limitations, Probe Molecules, and Methods. Langmuir 2016, 32, 12664–12675. [Google Scholar] [CrossRef] [PubMed]
- Brunauer, S.; Emmett, P.H.; Teller, E. Adsorption of Gases in Multimolecular Layers. J. Am. Chem. Soc. 1938, 60, 309–319. [Google Scholar] [CrossRef]
- Swenson, H.; Stadie, N.P. Langmuir’s Theory of Adsorption: A Centennial Review. Langmuir 2019, 35, 5409–5426. [Google Scholar] [CrossRef]
- Sinha, P.; Datar, A.; Jeong, C.; Deng, X.; Chung, Y.G.; Lin, L.-C. Surface Area Determination of Porous Materials Using the Brunauer–Emmett–Teller (BET) Method: Limitations and Improvements. J. Phys. Chem. C 2019, 123, 20195–20209. [Google Scholar] [CrossRef]
- Levy, S.B.; Marshall, B. Antibacterial Resistance Worldwide: Causes, Challenges and Responses. Nat. Med. 2004, 10, S122–S129. [Google Scholar] [CrossRef]
- Kudzin, M.H.; Kaczmarek, A.; Mrozińska, Z.; Olczyk, J. Deposition of Copper on Polyester Knitwear Fibers by a Magnetron Sputtering System. Physical Properties and Evaluation of Antimicrobial Response of New Multi-Functional Composite Materials. Appl. Sci. 2020, 10, 6990. [Google Scholar] [CrossRef]
- Kudzin, M.H.; Mrozińska, Z.; Kaczmarek, A.; Lisiak-Kucińska, A. Deposition of Copper on Poly(Lactide) Non-Woven Fabrics by Magnetron Sputtering-Fabrication of New Multi-Functional, Antimicrobial Composite Materials. Materials 2020, 13, 3971. [Google Scholar] [CrossRef]
- Mrozińska, Z.; Kaczmarek, A.; Świerczyńska, M.; Juszczak, M.; Kudzin, M.H. Biochemical Behavior, Influence on Cell DNA Condition, and Microbiological Properties of Wool and Wool–Copper Materials. Materials 2024, 17, 2878. [Google Scholar] [CrossRef]
- Kudzin, M.H.; Mrozińska, Z.; Urbaniak, P. Vapor Phosphorylation of Cellulose by Phosphorus Trichloride: Selective Phosphorylation of 6-Hydroxyl Function—The Synthesis of New Antimicrobial Cellulose 6-Phosphate(III)-Copper Complexes. Antibiotics 2021, 10, 203. [Google Scholar] [CrossRef]
- Kudzin, M.H.; Boguń, M.; Mrozińska, Z.; Kaczmarek, A. Physical Properties, Chemical Analysis, and Evaluation of Antimicrobial Response of New Polylactide/Alginate/Copper Composite Materials. Mar. Drugs 2020, 18, 660. [Google Scholar] [CrossRef] [PubMed]
- Jafari, A.; Pourakbar, L.; Farhadi, K.; Gholizad, L.; Goosta, Y. Biological Synthesis of Silver Nanoparticles and Evaluation of Antibacterial and Antifungal Properties of Silver and Copper Nanoparticles. Turk. J. Biol. 2015, 39, 556–561. [Google Scholar] [CrossRef]
- Hemmati, S.; Kamangar, S.A.; Ahmeda, A.; Zangeneh, M.M.; Zangeneh, A. Application of copper nanoparticles containing natural compounds in the treatment of bacterial and fungal diseases. Appl. Organomet. Chem. 2020, 34/4, e5465. [Google Scholar] [CrossRef]
- Benhalima, L.; Amri, S.; Bensouilah, M.; Ouzrout, R. Antibacterial effect of copper sulfate against multi-drug resistant nosocomial pathogens isolated from clinical samples. Pak. J. Med. Sci. 2019, 35, 1322–1328. [Google Scholar] [CrossRef]
- Araujo, R.; Gonçalves Rodrigues, A.; Pina-Vaz, C. Susceptibility pattern among pathogenic species of Aspergillus to physical and chemical treatments. Med. Mycol. 2006, 44, 439–443. [Google Scholar] [CrossRef]
- Sahithya, K.; Ekanayake, A.K.; Hemanathan, D.; Sindhu, R.; Jaswanth, B. Mycosynthesis of CuO Nanoparticles Using Aspergillus niger and Their Bioefficiency against Human Pathogens. Nano Biomed. Eng. 2024, 16, 264–275. [Google Scholar] [CrossRef]
- Ruparelia, J.P.; Chatterjee, A.K.; Duttagupta, S.P.; Mukherji, S. Strain specificity in antimicrobial activity of silver and copper nanoparticles. Acta Biomater. 2008, 4, 707–716. [Google Scholar] [CrossRef]
- Toyama, T.; Kobayashi, M.; Rubiy’atno; Morikawa, M.; Mori, K. Sulfamethoxazole Removal and Fuel-Feedstock Biomass Production from Wastewater in a Phyto-Fenton Process Using Duckweed Culture. Chemosphere 2024, 361, 142592. [Google Scholar] [CrossRef]
- Fernando, P.D.S.M.; Ko, D.O.; Piao, M.J.; Kang, K.A.; Herath, H.M.U.L.; Hyun, J.W. Protective Effect of Luteolin against Oxidative Stress-mediated Cell Injury via Enhancing Antioxidant Systems. Mol. Med. Rep. 2024, 30, 1–10. [Google Scholar] [CrossRef]
- Huang, Y.; Liu, H.; Zhao, Y.; Chen, H.; Li, Q.; Li, X.; Hua, S.; Cao, D.; Chang, Y. Disrupting Redox Homeostasis for Tumor Therapy Based on PDT/Chemo/Ferroptosis Therapeutic Hybrid Liposomes. RSC Adv. 2024, 14, 20152–20162. [Google Scholar] [CrossRef]
- Sen, P.; Kemppainen, E.; Orešič, M. Perspectives on Systems Modeling of Human Peripheral Blood Mononuclear Cells. Front. Mol. Biosci. 2018, 4, 96. [Google Scholar] [CrossRef] [PubMed]
- Miquelestorena-Standley, E.; da Silva, A.V.V.; Monnier, M.; Chadet, S.; Piollet, M.; Héraud, A.; Lemoine, R.; Bochaton, T.; Derumeaux, G.; Roger, S.; et al. Human Peripheral Blood Mononuclear Cells Display a Temporal Evolving Inflammatory Profile after Myocardial Infarction and Modify Myocardial Fibroblasts Phenotype. Sci. Rep. 2023, 13, 16745. [Google Scholar] [CrossRef] [PubMed]
- Juszczak, M.; Kluska, M.; Kosińska, A.; Palusiak, M.; Rybarczyk-Pirek, A.J.; Wzgarda-Raj, K.; Rudolf, B.; Woźniak, K. Cytotoxicity of Piano-Stool Ruthenium Cyclopentadienyl Complexes Bearing Different Imidato Ligands. Appl. Organomet. Chem. 2022, 36, e6595. [Google Scholar] [CrossRef]
- Vieira-da-Silva, B.; Castanho, M.A.R.B. Resazurin Reduction-Based Assays Revisited: Guidelines for Accurate Reporting of Relative Differences on Metabolic Status. Molecules 2023, 28, 2283. [Google Scholar] [CrossRef]
- Rojas, E.; Lopez, M.C.; Valverde, M. Single Cell Gel Electrophoresis Assay: Methodology and Applications. J. Chromatogr. B Biomed. Appl. 1999, 722, 225–254. [Google Scholar] [CrossRef]
- Sengupta, S.; Ganguly, A.; Roy, A.; BoseDasgupta, S.; D’Annessa, I.; Desideri, A.; Majumder, H.K. ATP Independent Type IB Topoisomerase of Leishmania donovani Is Stimulated by ATP: An Insight into the Functional Mechanism. Nucleic Acids Res. 2011, 39, 3295–3309. [Google Scholar] [CrossRef]
- Singh, N.P.; McCoy, M.T.; Tice, R.R.; Schneider, E.L. A Simple Technique for Quantitation of Low Levels of DNA Damage in Individual Cells. Exp. Cell. Res. 1988, 175, 184–191. [Google Scholar] [CrossRef]
- Linder, M.C. The Relationship of Copper to DNA Damage and Damage Prevention in Humans. Mutat. Res. 2012, 733, 83–91. [Google Scholar] [CrossRef]
- Jing, M.; Liu, Y.; Song, W.; Yan, Y.; Yan, W.; Liu, R. Oxidative Damage Induced by Copper in Mouse Primary Hepatocytes by Single-Cell Analysis. Environ. Sci. Pollut. Res. 2016, 23, 1335–1343. [Google Scholar] [CrossRef]
- Song, Y.; Xie, X.; Liu, Y.; Zhu, Z.; Sun, L. Nanoscale Study of DNA–Cu2+ Interactions by Liquid-Cell Electron Microscopy. ACS Omega 2023, 8, 26325–26331. [Google Scholar] [CrossRef]
- Erxleben, A. Interactions of Copper Complexes with Nucleic Acids. Coord. Chem. Rev. 2018, 360, 92–121. [Google Scholar] [CrossRef]
- de Souza, Í.P.; Machado, B.d.P.; de Carvalho, A.B.; Binatti, I.; Krambrock, K.; Molphy, Z.; Kellett, A.; Pereira-Maia, E.C.; Silva-Caldeira, P.P. Exploring the DNA Binding, Oxidative Cleavage, and Cytotoxic Properties of New Ternary Copper(II) Compounds Containing 4-Aminoantipyrine and N,N-Heterocyclic Co-Ligands. J. Mol. Struct. 2019, 1178, 18–28. [Google Scholar] [CrossRef]
- Thapliyal, D.; Verma, S.; Sen, P.; Kumar, R.; Thakur, A.; Tiwari, A.K.; Singh, D.; Verros, G.D.; Arya, R.K. Natural Fibers Composites: Origin, Importance, Consumption Pattern, and Challenges. J. Compos. Sci. 2023, 7, 506. [Google Scholar] [CrossRef]
- Haidir, F.; Fahma, F.; Firmanda, A.; Purnawati, R.; Suryanegara, L.; MacMillan, C. Review: Natural Fibres for Textile Application. IOP Conf. Ser. Earth Environ. Sci. 2024, 1358, 012006. [Google Scholar] [CrossRef]
- Sanjay, M.R.; Arpitha, G.R.; Naik, L.L.; Gopalakrishna, K.; Yogesha, B. Applications of Natural Fibers and Its Composites: An Overview. Nat. Resour. 2016, 7, 108–114. [Google Scholar] [CrossRef]
- Fuentes Molina, N.; Fragozo Brito, Y.; Polo Benavides, J.M. Recycling of Residual Polymers Reinforced with Natural Fibers as a Sustainable Alternative: A Review. Polymers 2021, 13, 3612. [Google Scholar] [CrossRef]
- Gowthaman, S.; Nakashima, K.; Kawasaki, S. A State-of-the-Art Review on Soil Reinforcement Technology Using Natural Plant Fiber Materials: Past Findings, Present Trends and Future Directions. Materials 2018, 11, 553. [Google Scholar] [CrossRef]
- Elfaleh, I.; Abbassi, F.; Habibi, M.; Ahmad, F.; Guedri, M.; Nasri, M.; Garnier, C. A Comprehensive Review of Natural Fibers and Their Composites: An Eco-Friendly Alternative to Conventional Materials. Results Eng. 2023, 19, 101271. [Google Scholar] [CrossRef]
- Chokshi, S.; Parmar, V.; Gohil, P.; Chaudhary, V. Chemical Composition and Mechanical Properties of Natural Fibers. J. Nat. Fibers 2022, 19, 3942–3953. [Google Scholar] [CrossRef]
- Hu, L.; Fang, X.; Du, M.; Luo, F.; Guo, S. Hemicellulose-Based Polymers Processing and Application. Am. J. Plant Sci. 2020, 11, 2066–2079. [Google Scholar] [CrossRef]
- Chen, F.; Sawada, D.; Hummel, M.; Sixta, H.; Budtova, T. Unidirectional All-Cellulose Composites from Flax via Controlled Impregnation with Ionic Liquid. Polymers 2020, 12, 1010. [Google Scholar] [CrossRef] [PubMed]
- Kamarudin, S.H.; Mohd Basri, M.S.; Rayung, M.; Abu, F.; Ahmad, S.; Norizan, M.N.; Osman, S.; Sarifuddin, N.; Desa, M.S.Z.M.; Abdullah, U.H.; et al. A Review on Natural Fiber Reinforced Polymer Composites (NFRPC) for Sustainable Industrial Applications. Polymers 2022, 14, 3698. [Google Scholar] [CrossRef] [PubMed]
- Romanowska, B.; Różańska, W.; Zimniewska, M. The Influence of the Chemical Composition of Flax and Hemp Fibers on the Value of Surface Free Energy. Materials 2024, 17, 1104. [Google Scholar] [CrossRef]
- Klemm, D.; Heublein, B.; Fink, H.-P.; Bohn, A. Cellulose: Fascinating Biopolymer and Sustainable Raw Material. Angew. Chem. Int. Ed. 2005, 44, 3358–3393. [Google Scholar] [CrossRef]
- Scheller, H.V.; Ulvskov, P. Hemicelluloses. Annu. Rev. Plant Biol. 2010, 61, 263–289. [Google Scholar] [CrossRef]
- Thakur, B.R.; Singh, R.K.; Handa, A.K. Chemistry and Uses of Pectin--a Review. Crit. Rev. Food Sci. Nutr. 1997, 37, 47–73. [Google Scholar] [CrossRef]
- Ridley, B.L.; O’Neill, M.A.; Mohnen, D. Pectins: Structure, Biosynthesis, and Oligogalacturonide-Related Signaling. Phytochemistry 2001, 57, 929–967. [Google Scholar] [CrossRef]
- Dai, J.; Patti, A.F.; Saito, K. Recent Developments in Chemical Degradation of Lignin: Catalytic Oxidation and Ionic Liquids. Tetrahedron Lett. 2016, 57, 4945–4951. [Google Scholar] [CrossRef]
- Pickering, K.L.; Efendy, M.G.A.; Le, T.M. A Review of Recent Developments in Natural Fibre Composites and Their Mechanical Performance. Compos. Part A Appl. Sci. Manuf. 2016, 83, 98–112. [Google Scholar] [CrossRef]
- Djafari Petroudy, S.R. 3—Physical and Mechanical Properties of Natural Fibers. In Advanced High Strength Natural Fibre Composites in Construction; Fan, M., Fu, F., Eds.; Woodhead Publishing: Cambridge, UK, 2017; pp. 59–83. ISBN 978-0-08-100411-1. [Google Scholar]
- Rahman, M.Z. Mechanical and Damping Performances of Flax Fibre Composites—A Review. Compos. Part C Open Access 2021, 4, 100081. [Google Scholar] [CrossRef]
- Mrozińska, Z.; Kudzin, M.H.; Ponczek, M.B.; Kaczmarek, A.; Król, P.; Lisiak-Kucińska, A.; Żyłła, R.; Walawska, A. Biochemical Approach to Poly(Lactide)–Copper Composite—Impact on Blood Coagulation Processes. Materials 2024, 17, 608. [Google Scholar] [CrossRef] [PubMed]
- Suriyakala, G.; Sathiyaraj, S.; Babujanarthanam, R.; Alarjani, K.M.; Hussein, D.S.; Rasheed, R.A.; Kanimozhi, K. Green Synthesis of Gold Nanoparticles Using Jatropha Integerrima Jacq. Flower Extract and Their Antibacterial Activity. J. King Saud Univ.—Sci. 2022, 34, 101830. [Google Scholar] [CrossRef]
- Sathiyaraj, S.; Suriyakala, G.; Dhanesh Gandhi, A.; Babujanarthanam, R.; Almaary, K.S.; Chen, T.-W.; Kaviyarasu, K. Biosynthesis, Characterization, and Antibacterial Activity of Gold Nanoparticles. J. Infect. Public Health 2021, 14, 1842–1847. [Google Scholar] [CrossRef] [PubMed]














| Composite | Structure | Antibacterial Activity/Medical Application | Lit. |
|---|---|---|---|
| COT-TRA-ANQs | ![]() | Antibacterial against Ec under VIS irradiation | [30] |
| COT-BTC-HBP | ![]() | Antibacterial against Ec and Sa under UV irradiation | [31] |
| COT-HTMAP | ![]() | Antibacterial against Ec, Pa, Sa, and St | [32] |
| COT-TCS | ![]() | Antibacterial against Ec and Sa | [33] |
| COT-AMP | ![]() | Antibacterial against Sf | [34] |
| COT-CAHT | ![]() | Durable and rechargeable composite with antibacterial activity against Sa and Ec | [35] |
| COT-ALG-Cu2+ (CuNPs) | ![]() | Antibacterial against Ec | [36] |
| POLYM-ME TALS, METAL SALTS, METAL NPs | COT-Ag (Ag+/NaBH4) | Antibacterial against Ec, Kp, Sa, and fungi Ca | [37,38] |
| COT-CuO (10%) COT + (CuSO4 + CH2O + PG) | Antibacterial against Ec and Sa; MRSA; VRE, HIV-1, and fungi Ca | [39] | |
| COT-Cu2O c/ (10%) COT + (CuSO4 + NaOH + NH3) | Antibacterial against Ec and Sa | [40] | |
| COT-Cu0 (Cu2+ (NaH2PO2) → Cu0) | Antibacterial against Ec and Sa | [41] | |
| COT-ZnO; COT-PVP-ZnO | Antibacterial against Ec and Sa | [42] | |
| COT-ALG-Cu2+ | Antibacterial against Ec | [43] | |
| COT-ALG-Cu0 (Cu2+ (NaBH4) → Cu) | |||
| COT-G-TiO2 (COT → COT-GO (+TiCl3) → COT-G-TiO2 | Antibacterial against Ec, Sa, and fungi Ca | [44] |
| Sample Prepared a,b | Sputter Deposition Parameters | ||
|---|---|---|---|
| Power | Deposition Time | Energy Applied | |
| [kW] | [min] | [kWh] | |
| LI | - | - | - |
| LI-Cu(0.5kW/10min) | 0.5 | 10 | 0.08 |
| LI-Cu(0.5kW/30min) | 0.5 | 30 | 0.25 |
| LI-Cu(1kW/10min) | 1 | 10 | 0.17 |
| LI-Cu(1kW/30min) | 1 | 30 | 0.5 |
| Sample Prepared a,b | Copper Deposition | Composite Code a,d | |
|---|---|---|---|
| [g/kg] | [Mol/kg] c | ||
| LI | 0 | 0 | LI |
| LI-Cu(0.5kW/10min; 0.08kWh) | 5.90 | 0.093 | LI-Cu (0.09) |
| LI-Cu(1kW/10min; 0.17kWh) | 11.20 | 0.176 | LI-Cu (0.18) |
| LI-Cu(0.5kW/30min; 0.25kWh) | 15.74 | 0.248 | LI-Cu (0.25) |
| LI-Cu(1kW/30min; 0.5kWh) | 29.72 | 0.468 | LI-Cu (0.47) |
| Composite Code | Composite Surface Parameters | |
|---|---|---|
| TPV | SSA | |
| [cm3/g] | [m2/g] | |
| LI | 0.3245 | |
| LI-Cu (0.09) | 1.615 × 10−3 | 0.3495 |
| LI-Cu (0.18) | 2.048 × 10−3 | 0.3927 |
| LI-Cu (0.25) | 2.460 × 10−3 | 0.4185 |
| LI-Cu (0.47) | 0.4343 | |
| Samples | Surface Elements Determined | |||||
|---|---|---|---|---|---|---|
| C | O | Cu | ||||
| A.C. | W.C. | A.C. | W.C. | A.C. | W.C. | |
| LI | 45.27 | 38.31 | 54.73 | 61.69 | ||
| LI-Cu (0.09) | 43.34 | 29.00 | 48.92 | 43.60 | 7.74 | 27.40 |
| LI-Cu (0.18) | 42.90 | 23.30 | 40.64 | 29.40 | 16.46 | 45.30 |
| LI-Cu (0.25) | 45.25 | 28.56 | 44.57 | 37.48 | 10.17 | 33.97 |
| LI-Cu (0.47) | 39.39 | 21.70 | 45.10 | 33.10 | 15.51 | 47.20 |
| Sample a | Sample Depos. b | ZID c [mm] | MIC d [mg/g/(mg/mL)] | LIT | |||||||
|---|---|---|---|---|---|---|---|---|---|---|---|
| Bacteria and Fungi e,f | Bacteria and Fungi e,f | ||||||||||
| Bacteria | Fungi | Bacteria | Fungi | ||||||||
| mg/g | M/MLL | Ec | Sa | An | Cg | Ec | Sa | An | Cg | ||
| LI | - | - | 0 | 0 | 0 | 0 | This work | ||||
| LI-Cu (0.01) | 0.6 | 0.01 | 0 | 0 | 0 | 0 | 2.5 | 5.7 | 5.7 | 5.7 | |
| LI-Cu (0.09) | 5.7 | 0.09 | 1 | 1 | 1 | 1 | 2.5 | 5.7 | 5.7 | 5.7 | |
| LI-Cu (0.18) | 11.4 | 0.18 | 1 | 1 | 1 | 2 | |||||
| LI-Cu (0.25) | 15.9 | 0.25 | 1 | 2 | 1 | 2 | |||||
| LI-Cu (0.47) | 29.8 | 0.47 | 2 | 2 | 1 | 3 | |||||
| PET-Cu (0.11–0.22) | 0.11–0.22 | 1–2 | 1 | 3 | [124] | ||||||
| PLA-Cu (0.16–0.43) | 0.16–0.43 | 2 | 2 | [125] | |||||||
| WF-Cu (0.06–0.38) | 0.06–0.38 | 1–3 | 1–2 | 1 | [126] | ||||||
| CELLP-Cu2+ (0.1) | 0.1 | 1 | 1 | [127] | |||||||
| PLA-ALG-Cu2+ (0.21–1.16) | 0.21–1.16 | 3 | 2–4 | 3 | 3 | [128] | |||||
| Sample a | Sample Depos. b | ZID c [mm] | MIC [mg/mL] | LIT | |||||||
|---|---|---|---|---|---|---|---|---|---|---|---|
| Bacteria and Fungi a,d,e | Bacteria and Fungi a,d,e | ||||||||||
| Bacteria | Fungi | Bacteria | Fungi | ||||||||
| mg/g; mg/mL | M/MLL | Ec | Sa | An | Cg | Ec | Sa | An | Cg | ||
| CuCl2 | 0.05 | 15 | 14 | [129] | |||||||
| CuSO4 | 32 | 0.21 | 12 | 13 | [130] | ||||||
| 8 | 0.05 | 4.6 | 4.6 | ||||||||
| 2 | 0.01 | 0 | 0 | ||||||||
| 16 | 16 | ||||||||||
| CuSO4 | 0.4 | 0.4–0.8 | [131] | ||||||||
| 0.25 | [132] | ||||||||||
| CuO | 50 | 0.63 | 1.5 | 2.5 | [133] | ||||||
| 150 | 1.8 | 6.5 | 8.5 | ||||||||
| AgNO3 | 0.05 | 16 | 15 | [129] | |||||||
| NaClO f | 0.03 | [132] | |||||||||
| Cu/CuONPS | 0.04–0.18 | 0.14 | [134] | ||||||||
| CuNPS | 32 | 0.5 | 37 | 35 | [130] | ||||||
| 8 | 0.13 | 26 | 25 | ||||||||
| 1 | 0.016 | 13 | 13 | ||||||||
| 4 | 4 | ||||||||||
| CuNPS | 3 | 0.05 | 17 | 16 | [129] | ||||||
| Oxytet. | 30 | 0.07 | 23 | 23 | [130] | ||||||
| aPTT | ||||||
|---|---|---|---|---|---|---|
| Sample | LI | LI-Cu (0.09) | LI-Cu (0.18) | LI-Cu (0.25) | LI-Cu (0.47) | C |
| Mean | 38.55 | 40.25 | 41.05 | 46.50 | 48.35 | 37.75 |
| SD | 0.49 | 0.64 | 0.64 | 0.99 | 1.20 | 0.78 |
| Median | 38.55 | 40.25 | 41.05 | 46.5 | 48.35 | 37.75 |
| p-value * | 0.073 | 0.043 | 0.004 | 0.003 | 0.634 | |
| PT | ||||||
|---|---|---|---|---|---|---|
| Sample | LI | LI-Cu (0.09) | LI-Cu (0.18) | LI-Cu (0.25) | LI-Cu (0.47) | C |
| Mean | 13.50 | 14.20 | 14.60 | 15.20 | 15.40 | 13.60 |
| SD | 0.42 | 0.85 | 0.85 | 0.85 | 0.71 | 0.85 |
| Median | 13.5 | 14.2 | 14.6 | 15.2 | 15.4 | 13.6 |
| p-value * | - | 0.406 | 0.243 | 0.127 | 0.083 | 0.895 |
Disclaimer/Publisher’s Note: The statements, opinions and data contained in all publications are solely those of the individual author(s) and contributor(s) and not of MDPI and/or the editor(s). MDPI and/or the editor(s) disclaim responsibility for any injury to people or property resulting from any ideas, methods, instructions or products referred to in the content. |
© 2025 by the authors. Licensee MDPI, Basel, Switzerland. This article is an open access article distributed under the terms and conditions of the Creative Commons Attribution (CC BY) license (https://creativecommons.org/licenses/by/4.0/).
Share and Cite
Mrozińska, Z.; Świerczyńska, M.; Juszczak, M.; Woźniak, K.; Kudzin, M.H. Evaluation of Antimicrobial Activity, Hemostatic Efficacy, Blood Coagulation Dynamics, and DNA Damage of Linen–Copper Composite Materials. J. Compos. Sci. 2025, 9, 30. https://doi.org/10.3390/jcs9010030
Mrozińska Z, Świerczyńska M, Juszczak M, Woźniak K, Kudzin MH. Evaluation of Antimicrobial Activity, Hemostatic Efficacy, Blood Coagulation Dynamics, and DNA Damage of Linen–Copper Composite Materials. Journal of Composites Science. 2025; 9(1):30. https://doi.org/10.3390/jcs9010030
Chicago/Turabian StyleMrozińska, Zdzisława, Małgorzata Świerczyńska, Michał Juszczak, Katarzyna Woźniak, and Marcin H. Kudzin. 2025. "Evaluation of Antimicrobial Activity, Hemostatic Efficacy, Blood Coagulation Dynamics, and DNA Damage of Linen–Copper Composite Materials" Journal of Composites Science 9, no. 1: 30. https://doi.org/10.3390/jcs9010030
APA StyleMrozińska, Z., Świerczyńska, M., Juszczak, M., Woźniak, K., & Kudzin, M. H. (2025). Evaluation of Antimicrobial Activity, Hemostatic Efficacy, Blood Coagulation Dynamics, and DNA Damage of Linen–Copper Composite Materials. Journal of Composites Science, 9(1), 30. https://doi.org/10.3390/jcs9010030








