Wood Fiber-Based Growing Media for Strawberry Cultivation: Effects of Incorporation of Peat and Compost
Abstract
1. Introduction
2. Materials and Methods
2.1. Experiment 1: Incorporating Wood Fiber into Compost with Coconut Coir as Control
2.1.1. Cultivation
2.1.2. Data Recording
2.1.3. Fruit Quality Analysis
2.1.4. Chemical and Physical Properties of the Substrates
2.2. Experiment 2: Incorporating Wood Fiber into Peat and Testing of Start Fertilizer Effect
2.2.1. Cultivation
2.2.2. Data Recording
2.3. Statistical Analysis
3. Results
3.1. Experiment 1: Incorporating Wood Fiber into Compost with Coconut Coir as Control
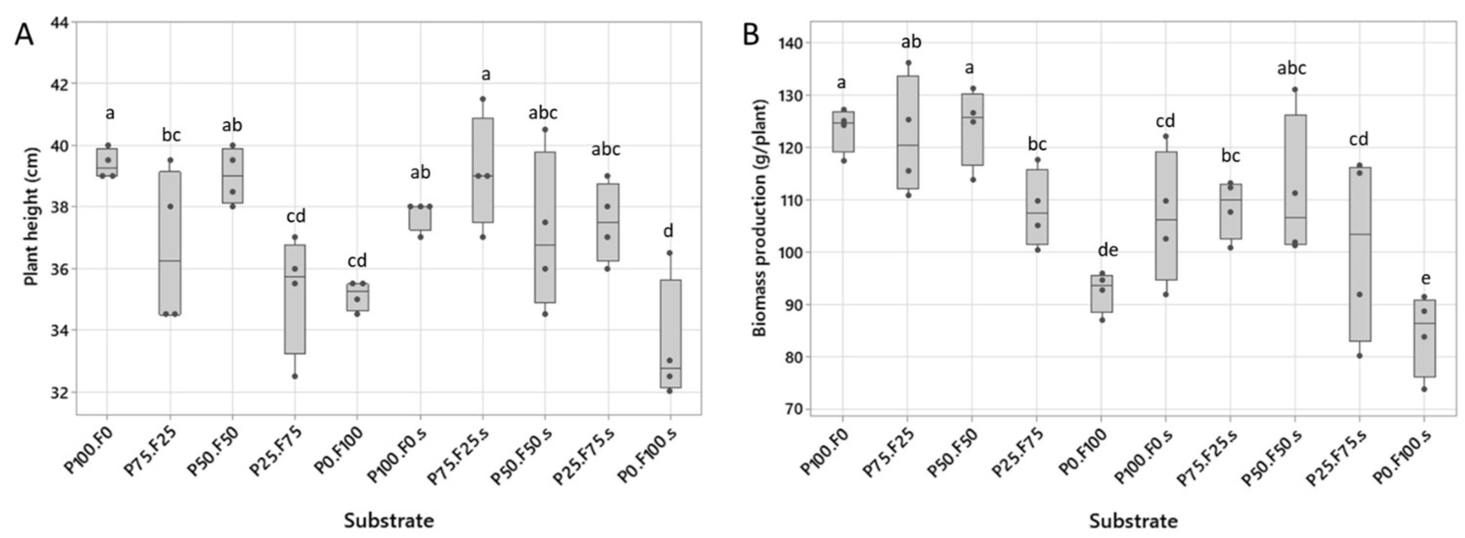
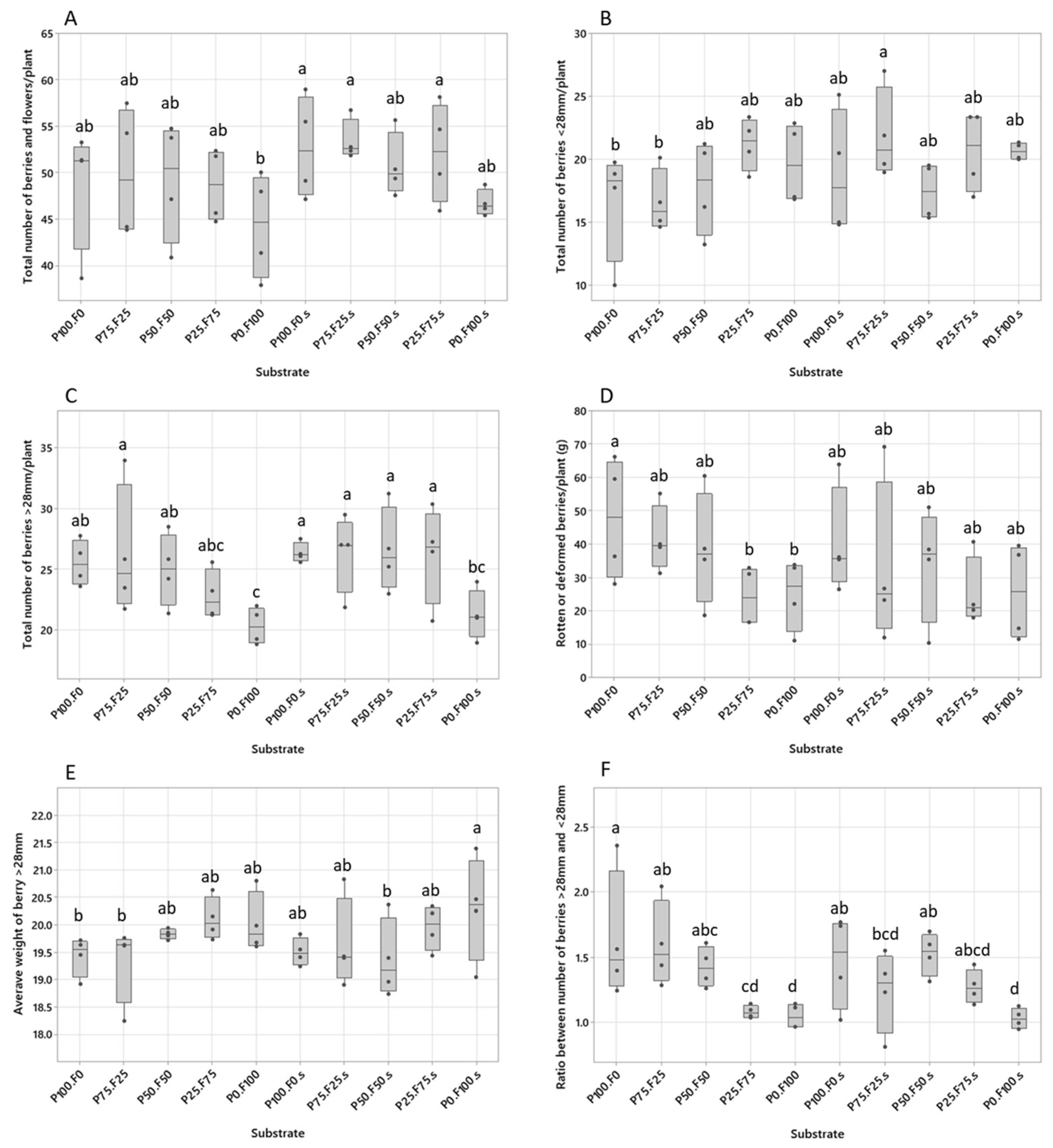
3.2. Experiment 2: Incorporating Wood Fiber into Peat and Testing of Start Fertilizer Effect
4. Discussion
5. Conclusions
Author Contributions
Funding
Data Availability Statement
Conflicts of Interest
References
- Putra, P.A.; Yuliando, H. Soilless culture system to support water use efficiency and product quality: A review. Agric. Agric. Sci. Procedia 2015, 3, 283–288. [Google Scholar] [CrossRef]
- Singh, M.C.; Singh, G.K.; Singh, J.P. Nutrient and water use efficiency of cucumbers grown in soilless media under a naturally ventilated greenhouse. J. Agric. Sci. Technol. 2019, 21, 193–207. [Google Scholar]
- Torrellas, M.; Antón, A.; Ruijs, M.; Victoria, N.G.; Stanghellini, C.; Montero, J.I. Environmental and economic assessment of protected crops in four European scenarios. J. Clean. Prod. 2012, 28, 45–55. [Google Scholar] [CrossRef]
- Gruda, N.S. Increasing sustainability of growing media constituents and stand-alone substrates in soilless culture systems. Agronomy 2019, 9, 298. [Google Scholar] [CrossRef]
- Verhagen, J.; Boon, H. Classification of growing media on their environmental profile. Acta Hortic. 2005, 779, 231–238. [Google Scholar] [CrossRef]
- Gruda, N.; Schnitzler, W. Suitability of wood fiber substrate for production of vegetable transplants: I. Physical properties of wood fiber substrates. Sci. Hortic. 2004, 100, 309–322. [Google Scholar] [CrossRef]
- Jackson, B.E.; Wright, R.D.; Barnes, M.C. Pine tree substrate, nitrogen rate, particle size, and peat amendment affect poinsettia growth and substrate physical properties. HortScience 2008, 43, 2155–2161. [Google Scholar] [CrossRef]
- Woznicki, T.; Kusnierek, K.; Roos, U.M.; Andersen, S.; Zimmer, K.; Sønsteby, A. Exploration of alternative growing media in strawberry production with focus on wood fiber from Norway spruce. Acta Hortic. 2021, 1305, 15–22. [Google Scholar] [CrossRef]
- Jackson, E. Challenges and considerations of using wood substrates: Physical properties. Greenhouse Grower 2018, 11, 54–56. [Google Scholar]
- Jackson, B.E.; Wright, R.D.; Alley, M.M. Comparison of fertilizer nitrogen availability, nitrogen immobilization, substrate carbon dioxide efflux, and nutrient leaching in peat-lite, pine bark, and pine tree substrates. HortScience 2009, 44, 781–790. [Google Scholar] [CrossRef]
- Schmilewski, G. The role of peat in assuring the quality of growing media. Mires Peat 2008, 3, 2. [Google Scholar]
- Ghorbani, M.; Amirahmadi, E.; Neugschwandtner, R.W.; Konvalina, P.; Kopecký, M.; Moudrý, J.; Perná, K.; Murindangabo, Y.T. The impact of pyrolysis temperature on biochar properties and its effects on soil hydrological properties. Sustainability 2022, 14, 14722. [Google Scholar] [CrossRef]
- Carlile, W. The use of composted materials in growing media. Acta Hortic. 2005, 779, 321–328. [Google Scholar] [CrossRef]
- Raviv, M. Composts in growing media: What’s new and what’s next? Acta Hortic. 2011, 982, 39–52. [Google Scholar] [CrossRef]
- Benito, M.; Masaguer, A.; De Antonio, R.; Moliner, A. Use of pruning waste compost as a component in soilless growing media. Biores. Technol. 2005, 96, 597–603. [Google Scholar] [CrossRef]
- Ostos, J.C.; López-Garrido, R.; Murillo, J.M.; López, R. Substitution of peat for municipal solid waste-and sewage sludge-based composts in nursery growing media: Effects on growth and nutrition of the native shrub Pistacia lentiscus L. Biores. Technol. 2008, 99, 1793–1800. [Google Scholar] [CrossRef]
- Grigatti, M.; Giorgioni, M.E.; Ciavatta, C. Compost-based growing media: Influence on growth and nutrient use of bedding plants. Biores. Technol. 2007, 98, 3526–3534. [Google Scholar] [CrossRef]
- Norwegian Ministry of Food and Agriculture. Regulation on Fertilizers of Organic Origin. 2003. Available online: https://lovdata.no/dokument/SF/forskrift/2003-07-04-951 (accessed on 12 November 2022). (In Norwegian).
- Regulation EU 2019/1009 of the European Parliament and of the Council of 5 June 2019 Laying Down Rules on Making Available on the Market of EU Fertilising Products and Amending Regulations (EC) No 1069/2009 and (EC) No 1107/2009 and Repealing Regulation (EC) No 2003/2003. Available online: https://eur-lex.europa.eu/legal-content/EN/TXT/PDF/?uri=CELEX:32019R1009&from=EN (accessed on 12 November 2022).
- Aaby, K.; Mazur, S.; Nes, A.; Skrede, G. Phenolic compounds in strawberry (Fragaria × ananassa Duch.) fruits: Composition in 27 cultivars and changes during ripening. Food Chem. 2012, 132, 86–97. [Google Scholar] [CrossRef]
- Benzie, I.F.; Strain, J.J. The ferric reducing ability of plasma (FRAP) as a measure of “antioxidant power”: The FRAP assay. Anal. Biochem. 1996, 239, 70–76. [Google Scholar] [CrossRef]
- Singleton, V.L.; Orthofer, R.; Lamuela-Raventós, R.M. Analysis of total phenols and other oxidation substrates and antioxidants by means of folin-ciocalteu reagent. In Methods in Enzymology; Elsevier: Amsterdam, The Netherlands, 1999; pp. 152–178. [Google Scholar]
- Williams, R.; Baker, D.; Schmit, J. Analysis of water-soluble vitamins by high-speed ion-exchange chromatography. J. Chrom. Sci. 1973, 11, 618–624. [Google Scholar] [CrossRef]
- EN 13651; Soil Improvers and Growing Media—Extraction of Calcium Chloride/DTPA (CAT) Soluble Nutrients. European Committee for Standardization: Brussels, Belgium, 2001.
- EN 13037; Soil Improvers and Growing Media—Determination of pH. European Committee for Standardization: Brussels, Belgium, 2011.
- EN 13654; Soil Improvers and Growing Media—Determination of Nitrogen—Part 1: Modified Kjeldahl Method. European Committee for Standardization: Brussels, Belgium, 2001.
- EN 13040; Soil Improvers and Growing Media—Sample Preparation for Chemical and Physical Tests, Determination of Dry Matter Content, Moisture Content and Laboratory Compacted Bulk Density. European Committee for Standardization: Brussels, Belgium, 2007.
- EN 13039; Soil Improvers and Growing Media—Determination of Organic Matter Content and Ash. European Committee for Standardization: Brussels, Belgium, 2011.
- De Boodt, M.; Verdonck, O.; Cappaert, I. Method for measuring the water release curve of organic substrates. Acta. Hortic. 1973, 37, 2054–2063. [Google Scholar]
- De Boodt, M.; Verdonck, O. The physical properties of the substrates in horticulture. Acta Hortic. 1971, 26, 37–44. [Google Scholar] [CrossRef]
- Arguedas, F.R.; Lea-Cox, J.D.; Ristvey. A.G. Revisiting the measurement of plant available water in soilless substrates. Proc. Southern Nursery Assoc. Res. Conf. 2007, 52, 111–115. [Google Scholar]
- Marinou, E.; Chrysargyris, A.; Tzortzakis, N.G. Use of sawdust, coco soil and pumice in hydroponically grown strawberry. Plant Soil Environ. 2013, 59, 452–459. [Google Scholar] [CrossRef]
- Binte Mostafiz, S. Utilization of Modified Wood Shavings as Growing Media for Selected Horticultural Crops. Master’s Thesis, University of Helsinki: Helsinki, Finland, 2014. [Google Scholar]
- Depardieu, C.; Premont, V.; Boily, C.; Caron, J. Sawdust and bark-based substrates for soilless strawberry production: Irrigation and electrical conductivity management. PloS ONE 2016, 11, e0154104. [Google Scholar] [CrossRef]
- Kowalczyk, K.; Gajc-Wolska, J. Effect of the kind of growing medium and transplant grafting on the cherry tomato yielding. Acta Sci. Pol. Hortorum Cultus. 2011, 10, 61–70. [Google Scholar]
- Raviv, M.; Lieth, J.H.; Bar-Tal, A. Soilless Culture: Theory and Practice; Elsevier: Amsterdam, The Netherlands, 2019. [Google Scholar]
- Wright, R.D.; Jackson, B.E.; Browder, J.F.; Latimer, J.G. Growth of chrysanthemum in a pine tree substrate requires additional fertilizer. HortTechnology 2008, 18, 111–115. [Google Scholar] [CrossRef]
- Tariq, R.; Qureshi, K.M.; Hassan, I.; Rasheed, M.; Qureshi, U.S. Effect of planting density and growing media on growth and yield of strawberry. Pakistan J. Agric. Res. 2013, 26, 113–123. [Google Scholar]
- Palencia, P.; Bordonaba, J.G.; Martínez, F.; Terry, L.A. Investigating the effect of different soilless substrates on strawberry productivity and fruit composition. Sci. Hortic. 2016, 203, 12–19. [Google Scholar] [CrossRef]
- Fernandes, C.; Corá, J.E. Bulk density and relationship air/water of horticultural substrate. Sci. Agric. 2004, 61, 446–450. [Google Scholar] [CrossRef]
- Yeager, T.; Gilliam, C.; Bilderback, T.E.; Fare, D.; Niemiera, A.; Tilt, K. Best Management Practices: Guide for Producing Container-Grown Plants; Southern Nursery Association: Marietta, GA, USA, 1997. [Google Scholar]









| Time of the Day (h) | Watering Criterion |
|---|---|
| 9.00–10.00 a | When temp. > 20 °C and solar radiation > 500 W/m2 |
| 10.00–13.00 | Fixed watering at 10.00 and 12.00 h |
| 13.00–17.00 | When daily radiation sum > 500 J/m2 (min. 1.5 h between watering) |
| 17.00–21.00 | When temp. > 23 °C, (min. 1.5 h between watering) |
| Parameter | C100.F0 | C75.F25 | C50.F50 | C25.F75 | C0F100 | Coco |
|---|---|---|---|---|---|---|
| BDg (Mg m−3) | 0.3 a | 0.3 a | 0.2 b | 0.2 b | 0.1 c | 0.1 c |
| TPSh (m3 m−3) | 0.908 abc | 0.855 c | 0.895 bc | 0.910 ab | 0.93 ab | 0.956 a |
| Air-filled (0 to −10 hPa) | 0.329 bc | 0.197 e | 0.253 de | 0.312 cd | 0.727 a | 0.402 b |
| EAWi (−10 to −50 hPa) | 0.048 c | 0.059 c | 0.146 a | 0.148 a | 0.119 b | 0.116 b |
| WBCj (−50 to −100 hPa) | 0.020 b | 0.021 b | 0.032 a | 0.029 a | 0.006 c | 0.021 b |
| −100 to −1000 hPa | 0.058 c | 0.080 bc | 0.118 a | 0.072 ab | 0.010 d | 0.097 ab |
| −1000 to −15000 hPa) | 0.147 b | 0.130 bc | 0.105 c | 0.107 c | 0.071 d | 0.183 a |
| Analysis | Unit | C100.F0 a | C0.F100 b | Coco c |
|---|---|---|---|---|
| Dry matter | % (w/w) | 43.7 | 18.3 | 90.3 |
| Bulk density | g/L | 600 | 370 | 100 |
| Loss on ignition | % (w/w) | 34.6 | 99.6 | 86.9 |
| pH 25 °C (H2O) | 7.6 | 4.5 | 6.1 | |
| Conductivity | mS/m | 79.7 | 5.9 | 13.2 |
| Total Nitrogen | % DM | 1.06 | 0.05 | 0.86 |
| NO3-N CAT | mg/L | 149 | <1.00 | <1.00 |
| NH4-N (CAT) | mg/L | <1.00 | <1.00 | 5.2 |
| Phosphorus (P-CAT) | mg/L | 65.9 | 1.95 | 1.8 |
| Potassium (K-CAT) | mg/L | 443 | 23.7 | 56 |
| Magnesium (Mg-CAT) | mg/L | 117 | 13.9 | 22 |
| Sodium (Na-CAT) | mg/L | 94.6 | 35 | - |
| Sulphur (S-CAT) | mg/L | 329 | 11.4 | 2.1 |
| Iron (Fe-CAT) | mg/L | 284 | 1.46 | 11 |
| Manganese (Mn-CAT) | mg/L | 3.86 | 6.21 | 0.80 |
| Copper (Cu-CAT) | mg/L | 3.18 | <0.1 | 0.09 |
| Zinc (Zn-CAT) | mg/L | 10.7 | 0.91 | 0.39 |
| Boron (B-CAT) | mg/L | 0.37 | 0.1 | 0.18 |
| Molybdenum (Mo-CAT) | mg/L | <0.05 | <0.05 | <1.00 |
| Aluminum (Al-CAT) | mg/L | 19.1 | 4.82 | 0.37 |
Disclaimer/Publisher’s Note: The statements, opinions and data contained in all publications are solely those of the individual author(s) and contributor(s) and not of MDPI and/or the editor(s). MDPI and/or the editor(s) disclaim responsibility for any injury to people or property resulting from any ideas, methods, instructions or products referred to in the content. |
© 2022 by the authors. Licensee MDPI, Basel, Switzerland. This article is an open access article distributed under the terms and conditions of the Creative Commons Attribution (CC BY) license (https://creativecommons.org/licenses/by/4.0/).
Share and Cite
Aurdal, S.M.; Woznicki, T.L.; Haraldsen, T.K.; Kusnierek, K.; Sønsteby, A.; Remberg, S.F. Wood Fiber-Based Growing Media for Strawberry Cultivation: Effects of Incorporation of Peat and Compost. Horticulturae 2023, 9, 36. https://doi.org/10.3390/horticulturae9010036
Aurdal SM, Woznicki TL, Haraldsen TK, Kusnierek K, Sønsteby A, Remberg SF. Wood Fiber-Based Growing Media for Strawberry Cultivation: Effects of Incorporation of Peat and Compost. Horticulturae. 2023; 9(1):36. https://doi.org/10.3390/horticulturae9010036
Chicago/Turabian StyleAurdal, Siv M., Tomasz L. Woznicki, Trond Knapp Haraldsen, Krzysztof Kusnierek, Anita Sønsteby, and Siv Fagertun Remberg. 2023. "Wood Fiber-Based Growing Media for Strawberry Cultivation: Effects of Incorporation of Peat and Compost" Horticulturae 9, no. 1: 36. https://doi.org/10.3390/horticulturae9010036
APA StyleAurdal, S. M., Woznicki, T. L., Haraldsen, T. K., Kusnierek, K., Sønsteby, A., & Remberg, S. F. (2023). Wood Fiber-Based Growing Media for Strawberry Cultivation: Effects of Incorporation of Peat and Compost. Horticulturae, 9(1), 36. https://doi.org/10.3390/horticulturae9010036

