Unexpected Behavior of a Maltose-Negative Saccharomyces cerevisiae Yeast: Higher Release of Polyfunctional Thiols from Glutathionylated Than from Cysteinylated S-Conjugates
Abstract
1. Introduction
2. Experimental
2.1. Chemicals
2.2. Synthesis of S-Conjugates
2.3. Yeasts
2.4. Fermentation of Wort Spiked with Cys-3SPol/3SHol/3S4MPol or G-3SPol/3SHol/3S4MPol
2.5. Alcohol Content and Extracts Analysis of Fermented Wort with SafBrewTM LA-01
2.6. Analysis of Fermentable Sugars Using High Performance Liquid Chromatography—Evaporative Light Scattering Detection (HPLC-ELSD)
2.7. Free Polyfunctional Thiols Extraction from Fermented Spiked Wort with a Selective Ag Cartridge and Quantification Using Gas Chromatography—Pulsed Flame Photometric Detection (GC-PFPD)
2.8. Release Efficiency Determination
2.9. Quantification of Esters and Higher Alcohols Using Static Headspace—Gas Chromatography—Mass Spectrometry (HS-GC-MS)
2.10. Quantification of Dimethylsulfide Using HS-GC-PFPD
2.11. Quantification of Volatile Phenols Using GC-MS after Specific Liquid-Liquid Extraction
2.12. Statistical Analyses
3. Results and Discussion
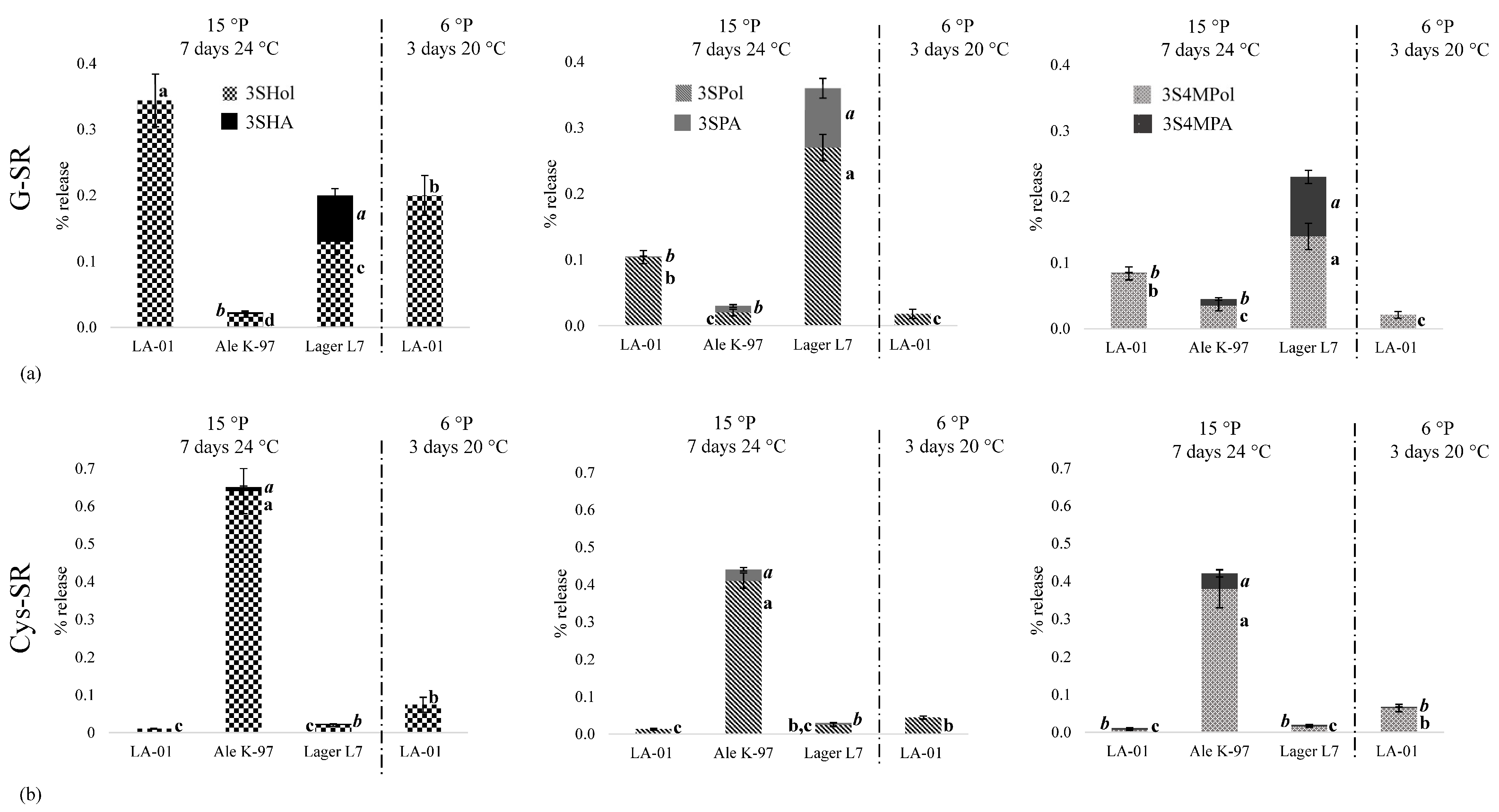
3.1. Free Thiol Release from Cysteinylated and Glutathionylated Sulfanylalkyl Alcohols under Different Fermentation Conditions
3.2. Sugar Consumption and Ethanol, Dimethylsulfide, Higher Alcohols, Esters, and Phenols Formation in the NABLAB-Fermentation-like Media
4. Conclusions
Author Contributions
Funding
Institutional Review Board Statement
Informed Consent Statement
Data Availability Statement
Conflicts of Interest
Abbreviations
References
- Brányik, T.; Silva, D.P.; Baszczyňski, M.; Lehnert, R.; e Silva, J.B.A. A review of methods of low alcohol and alcohol-free beer production. J. Food Eng. 2012, 108, 493–506. [Google Scholar] [CrossRef]
- Sohrabvandi, S.; Mousavi, S.M.; Razavi, S.H.; Mortazavian, A.M.; Rezaei, K. Alcohol-free beer: Methods of production, sensorial defects, and healthful effects. Food Rev. Int. 2010, 26, 335–352. [Google Scholar] [CrossRef]
- Montanari, L.; Marconi, O.; Mayer, H.; Fantozzi, P. Production of alcohol-free beer. In Beer in Health and Disease Prevention; Academic Press: Cambridge, MA, USA, 2009; pp. 61–75. [Google Scholar]
- Muller, C.; Neves, L.E.; Gomes, L.; Guimarães, M.; Ghesti, G. Processes for alcohol-free beer production: A review. Food Sci. Technol. 2019, 40, 273–281. [Google Scholar] [CrossRef]
- Capece, A.; Romaniello, R.; Siesto, G.; Romano, P. Conventional and non-conventional yeasts in beer production. Fermentation 2018, 4, 38. [Google Scholar] [CrossRef]
- Müller, M.; Bellut, K.; Tippmann, J.; Becker, T. Physical methods for dealcoholization of beverage matrices and their impact on quality attributes. ChemBioEng Rev. 2017, 4, 310–326. [Google Scholar] [CrossRef]
- Piornos, J.A.; Koussissi, E.; Balagiannis, D.P.; Brouwer, E.; Parker, J.K. Alcohol-free and low-alcohol beers: Aroma chemistry and sensory characteristics. Compr. Rev. Food Sci. Food Saf. 2023, 22, 233–259. [Google Scholar] [CrossRef]
- Simon, M.; Collin, S. Increasing dimethylsulfide and polyfunctional thiols, an opportunity to enhance the fruity flavors of NABLABs. J. Am. Soc. Brew. Chem. 2024, 1–12. [Google Scholar] [CrossRef]
- Piornos, J.A.; Balagiannis, D.P.; Methven, L.; Koussissi, E.; Brouwer, E.; Parker, J.K. Elucidating the odor-active aroma compounds in alcohol-free beer and their contribution to the worty flavor. J. Agric. Food Chem. 2020, 68, 10088–10096. [Google Scholar] [CrossRef] [PubMed]
- Simon, M.; Vuylsteke, G.; Collin, S. Flavor defects of fresh and aged NABLABs: New challenges against oxidation. J. Am. Soc. Brew. Chem. 2023, 81, 533–543. [Google Scholar] [CrossRef]
- Simon, M.; Collin, S. Why oxidation should be still more feared in NABLABs: Fate of polyphenols and bitter compounds. Beverages 2022, 8, 61. [Google Scholar] [CrossRef]
- Bellut, K.; Arendt, E.K. Chance and challenge: Non-Saccharomyces yeasts in nonalcoholic and low alcohol beer brewing—A review. J. Am. Soc. Brew. Chem. 2019, 77, 77–91. [Google Scholar] [CrossRef]
- Simões, J.; Coelho, E.; Magalhães, P.; Brandão, T.; Rodrigues, P.; Teixeira, J.A.; Domingues, L. Exploiting non-conventional yeasts for low-alcohol beer production. Microorganisms 2023, 11, 316. [Google Scholar] [CrossRef] [PubMed]
- Yabaci Karaoglan, S.; Jung, R.; Gauthier, M.; Kinčl, T.; Dostálek, P. Maltose-negative yeast in non-alcoholic and low-alcoholic beer production. Fermentation 2022, 8, 273. [Google Scholar] [CrossRef]
- Bellut, K.; Michel, M.; Zarnkow, M.; Hutzler, M.; Jacob, F.; Atzler, J.J.; Arendt, E.K. Screening and application of Cyberlindnera yeasts to produce a fruity, non-alcoholic beer. Fermentation 2019, 5, 103. [Google Scholar] [CrossRef]
- Johansson, L.; Nikulin, J.; Juvonen, R.; Krogerus, K.; Magalhães, F.; Mikkelson, A.; Gibson, B. Sourdough cultures as reservoirs of maltose-negative yeasts for low-alcohol beer brewing. Food Microbiol. 2021, 94, 103629–103640. [Google Scholar] [CrossRef] [PubMed]
- Rautio, J.; Londesborough, J. Maltose transport by brewer’s yeasts in brewer’s wort. J. Inst. Brew. 2003, 109, 251–261. [Google Scholar] [CrossRef]
- Bellut, K.; Michel, M.; Zarnkow, M.; Hutzler, M.; Jacob, F.; De Schutter, D.P.; Arendt, E.K. Application of non-Saccharomyces yeasts isolated from kombucha in the production of alcohol-free beer. Fermentation 2018, 4, 66. [Google Scholar] [CrossRef]
- Huige, N.J.; Sanchez, G.W.; Leidig, A.R. Process for Preparing a Nonalcoholic (Less the 0.5 Volume Percent Alcohol) Malt Beverage. Patent US4970082A, 13 November 1990. [Google Scholar]
- De Francesco, G.; Turchetti, B.; Sileoni, V.; Marconi, O.; Perretti, G. Screening of new strains of Saccharomycodes ludwigii and Zygosaccharomyces rouxii to produce low-alcohol beer. J. Inst. Brew. 2015, 121, 113–121. [Google Scholar] [CrossRef]
- Saerens, S.; Swiegers, J.H. Production of Low-Alcohol or Alcohol-Free Beer with Pichia kluyveri Yeast Strains. WO2014135673A2, 12 September 2014. [Google Scholar]
- Lai, Y.T.; Hsieh, C.W.; Lo, Y.C.; Liou, B.K.; Lin, H.W.; Hou, C.Y.; Cheng, K.C. Isolation and identification of aroma-producing non-Saccharomyces yeast strains and the enological characteristic comparison in wine making. LWT 2022, 154, 112653–112666. [Google Scholar] [CrossRef]
- Vaštík, P.; Rosenbergová, Z.; Furdíková, K.; Klempová, T.; Šišmiš, M.; Šmogrovičová, D. Potential of non-Saccharomyces yeast to produce non-alcoholic beer. FEMS Yeast Res. 2022, 22, foac039. [Google Scholar] [CrossRef]
- Liu, Y.; Li, H.; Du, J. Non-alcoholic beer production by Saccharomycodes ludwigii. Food Sci. 2011, 32, 186–190. [Google Scholar]
- Mortazavian, A.M.; Razavi, S.H.; Mousavi, S.M.; Malganji, S.; Sohrabvandi, S. The effect of Saccharomyces strain and fermentation conditions on quality parameters of non-alcoholic Beer. Arch. Adv. Biosci. 2014, 5, 109–114. [Google Scholar]
- Anfang, N.; Brajkovich, M.; Goddard, M.R. Co-fermentation with Pichia kluyveri increases varietal thiol concentrations in Sauvignon Blanc. Aust. J. Grape Wine Res. 2009, 15, 1–8. [Google Scholar] [CrossRef]
- Vicente, J.; Calderón, F.; Santos, A.; Marquina, D.; Benito, S. High potential of Pichia kluyveri and other Pichia species in wine technology. Int. J. Mol. Sci. 2021, 22, 1196. [Google Scholar] [CrossRef]
- Méndez-Zamora, A.; Gutiérrez-Avendaño, D.O.; Arellano-Plaza, M.; De la Torre González, F.J.; Barrera-Martínez, I.; Gschaedler Mathis, A.; Casas-Godoy, L. The non-Saccharomyces yeast Pichia kluyveri for the production of aromatic volatile compounds in alcoholic fermentation. FEMS Yeast Res. 2020, 20, foaa067. [Google Scholar] [CrossRef] [PubMed]
- Canonico, L.; Agarbati, A.; Comitini, F.; Ciani, M. Unravelling the potential of non-conventional yeasts and recycled brewers spent grains (BSG) for non-alcoholic and low alcohol beer (NABLAB). LWT 2023, 190, 115528–115536. [Google Scholar] [CrossRef]
- Escribano, R.; González-Arenzana, L.; Garijo, P.; Berlanas, C.; López-Alfaro, I.; López, R.; Gutiérrez, A.R.; Santamaría, P. Screening of enzymatic activities within different enological non-Saccharomyces yeasts. J. Food Sci. Technol. 2017, 54, 1555–1564. [Google Scholar] [CrossRef]
- Benito, S.; Hofmann, T.; Laier, M.; Lochbühler, B.; Schüttler, A.; Ebert, K.; Fritsch, S.; Röcker, J.; Rauhut, D. Effect on quality and composition of Riesling wines fermented by sequential inoculation with non-Saccharomyces and Saccharomyces cerevisiae. Eur. Food Res. Technol. 2015, 241, 707–717. [Google Scholar] [CrossRef]
- Sohrabvandi, S.; Razavi, S.H.; Mousavi, S.M.; Mortazavian, A.; Rezaei, K. Application of Saccharomyces rouxii for the production of non-alcoholic beer. Food Sci. Biotechnol. 2009, 18, 1132–1137. [Google Scholar]
- Canonico, L.; Agarbati, A.; Comitini, F.; Ciani, M. Torulaspora delbrueckii in the brewing process: A new approach to enhance bioflavour and to reduce ethanol content. Food Microbiol. 2016, 56, 45–51. [Google Scholar] [CrossRef]
- Nikulin, J.; Aisala, H.; Gibson, B. Production of non-alcoholic beer via cold contact fermentation with Torulaspora delbrueckii. J. Inst. Brew. 2022, 128, 28–35. [Google Scholar] [CrossRef]
- Jackowski, M.; Czepiela, W.; Hampf, L.; Żuczkowski, W.; Dymkowski, T.; Trusek, A. Comparison of two commercially available strains, Saccharomycodes ludwigii and Torulaspora delbrueckii, for the production of low-alcohol beer. Beverages 2023, 9, 66. [Google Scholar] [CrossRef]
- De Francesco, G.; Sannino, C.; Sileoni, V.; Marconi, O.; Filippucci, S.; Tasselli, G.; Turchetti, B. Mrakia gelida in brewing process: An innovative production of low alcohol beer using a psychrophilic yeast strain. Food Microbiol. 2018, 76, 354–362. [Google Scholar] [CrossRef]
- Güzel, N.; Güzel, M.; Bahçeci, K.S. Nonalcoholic beer. In Trends in Non-Alcoholic Beverages; Academic Press: Cambridge, MA, USA, 2020; pp. 167–200. [Google Scholar]
- Methner, Y.; Hutzler, M.; Zarnkow, M.; Prowald, A.; Endres, F.; Jacob, F. Investigation of non-Saccharomyces yeast strains for their suitability for the production of non-alcoholic beers with novel flavor profiles. J. Am. Soc. Brew. Chem. 2022, 80, 341–355. [Google Scholar] [CrossRef]
- Methner, Y.; Dancker, P.; Maier, R.; Latorre, M.; Hutzler, M.; Zarnkow, M.; Jacob, F. Influence of varying fermentation parameters of the yeast strain Cyberlindnera saturnus on the concentrations of selected flavor components in non-alcoholic beer focusing on (E)-β-damascenone. Foods 2022, 11, 1038. [Google Scholar] [CrossRef] [PubMed]
- Bellut, K.; Krogerus, K.; Arendt, E.K. Lachancea fermentati strains isolated from kombucha: Fundamental insights, and practical application in low alcohol beer brewing. Front. Microbiol. 2020, 11, 764–785. [Google Scholar] [CrossRef] [PubMed]
- Bellut, K.; Michel, M.; Hutzler, M.; Zarnkow, M.; Jacob, F.; De Schutter, D.P.; Arendt, E.K. Investigation into the potential of Lachancea fermentati strain KBI 12.1 for low alcohol beer brewing. J. Am. Soc. Brew. Chem. 2019, 77, 157–169. [Google Scholar]
- Fermentis. The Ideal Yeast for Low- and No-Alcohol Beers-SafBrew™ LA-01. Available online: https://fermentis.com/en/product/safbrew-la-01/ (accessed on 14 February 2024).
- Lodder, J. The Yeasts: A Taxonomic Study, Part 1, 2nd ed.; North-Holland Pub. Co.: Amsterdam, The Netherlands, 1970. [Google Scholar]
- Atputharajah, J.D.; Widanapathirana, S.; Samarajeewa, U. Microbiology and biochemistry of natural fermentation of coconut palm sap. Food Microbiol. 1986, 3, 273–280. [Google Scholar] [CrossRef]
- Ahmad, M.; Chaudhury, A.R.; Ahmad, K.U. Studies on toddy yeast. Mycologia 1954, 46, 708–720. [Google Scholar] [CrossRef]
- Rettberg, N.; Lafontaine, S.; Schubert, C.; Dennenlöhr, J.; Knoke, L.; Diniz Fischer, P.; Thörner, S. Effect of production technique on pilsner-style non-alcoholic beer (NAB) chemistry and flavor. Beverages 2022, 8, 4. [Google Scholar] [CrossRef]
- Gros, J.; Peeters, F.; Collin, S. Occurrence of odorant polyfunctional thiols in beers hopped with different cultivars. First evidence of an S-cysteine conjugate in hop (Humulus lupulus L.). J. Agric. Food Chem. 2012, 60, 7805–7816. [Google Scholar] [CrossRef] [PubMed]
- Chenot, C.; Robiette, R.; Collin, S. First evidence of the cysteine and glutathione conjugates of 3-sulfanylpentan-1-ol in hop (Humulus lupulus L.). J. Agric. Food Chem. 2019, 67, 4002–4010. [Google Scholar] [CrossRef] [PubMed]
- Bonnaffoux, H.; Roland, A.; Schneider, R.; Cavelier, F. Spotlight on release mechanisms of volatile thiols in beverages. Food Chem. 2021, 339, 127628–127639. [Google Scholar] [CrossRef] [PubMed]
- Wakabayashi, H.; Wakabayashi, M.; Eisenreich, W.; Engel, K.H. Stereochemical course of the generation of 3-mercaptohexanal and 3-mercaptohexanol by β-lyase-catalyzed cleavage of cysteine conjugates. J. Agric. Food Chem. 2004, 52, 110–116. [Google Scholar] [CrossRef] [PubMed]
- Chenot, C.; de Chanvalon, E.T.; Janssens, P.; Collin, S. Modulation of the sulfanylalkyl acetate/alcohol ratio and free thiol release from cysteinylated and/or glutathionylated sulfanylalkyl alcohols in beer under different fermentation conditions. J. Agric. Food Chem. 2021, 69, 6005–6012. [Google Scholar] [CrossRef] [PubMed]
- Cordente, A.G.; Capone, D.L.; Curtin, C.D. Unravelling glutathione conjugate catabolism in Saccharomyces cerevisiae: The role of glutathione/dipeptide transporters and vacuolar function in the release of volatile sulfur compounds 3-mercaptohexan-1-ol and 4-mercapto-4-methylpentan-2-one. Appl. Microbiol. Biotechnol. 2015, 99, 9709–9722. [Google Scholar] [CrossRef] [PubMed]
- Wolf, A.E.; Dietz, K.J.; Schröder, P. Degradation of glutathione S-conjugates by a carboxypeptidase in the plant vacuole. FEBS Lett. 1996, 384, 31–34. [Google Scholar] [CrossRef] [PubMed]
- Chenot, C.; Donck, W.; Janssens, P.; Collin, S. Malt and hop as sources of thiol S-conjugates: Thiol-releasing property of lager yeast during fermentation. J. Agric. Food Chem. 2022, 70, 3272–3279. [Google Scholar] [CrossRef] [PubMed]
- Kankolongo, M.-L.; Decourriere, L.; Lorenzo-Alonso, C.-J.; Bodart, E.; Robiette, R.; Collin, S. 3-Sulfanyl-4-methylpentan-1-ol in dry-hopped beers: First evidence of glutathione S-conjugates in hop (Humulus lupulus L.). J. Agric. Food Chem. 2016, 64, 8572–8582. [Google Scholar] [CrossRef]
- Scholtes, C.; Nizet, S.; Collin, S. Guaiacol and 4-methylphenol as specific markers of torrefied malts. Fate of volatile phenols in special beers through aging. J. Agric. Food Chem. 2014, 62, 9522–9528. [Google Scholar] [CrossRef]
- Verstrepen, K.J.; Derdelinckx, G.U.Y.; Dufour, J.P.; Winderickx, J.; Thevelein, J.M.; Pretorius, I.S.; Delvaux, F.R. Flavor-active esters: Adding fruitiness to beer. J. Biosci. Bioeng. 2003, 96, 110–118. [Google Scholar] [CrossRef] [PubMed]
- Anness, B.J.; Bamforth, C.W. Dimethyl sulphide—A review. J. Inst. Brew. 1982, 88, 244–252. [Google Scholar] [CrossRef]
- Vanbeneden, N.; Van Roey, T.; Willems, F.; Delvaux, F.; Delvaux, F.R. Release of phenolic flavour precursors during wort production: Influence of process parameters and grist composition on ferulic acid release during brewing. Food Chem. 2008, 111, 83–91. [Google Scholar] [CrossRef]
- Vanbeneden, N.; Gils, F.; Delvaux, F.; Delvaux, F.R. Formation of 4-vinyl and 4-ethyl derivatives from hydroxycinnamic acids: Occurrence of volatile phenolic flavour compounds in beer and distribution of Pad1-activity among brewing yeasts. Food Chem. 2008, 107, 221–230. [Google Scholar] [CrossRef]

| Wort Density (°P) | Fermentation Time (Days) | Fermentation Temperature (°C) | 2SEol | 3SProl | 2SEA | 3SPrA |
|---|---|---|---|---|---|---|
| Threshold in Conventional Beers (µg/L) | ||||||
| 2000 | 40 | 400 | 40 | |||
| Concentration (µg/L) | ||||||
| 15 | 7 | 24 | 1.5 b | 2.0 b | 0.9 b | 2.0 a |
| 6 | 3 | 20 | 4.7 a | 4.5 a | 2.0 a | 2.2 a |
| 6 °P–3 Days at 20 °C | 15 °P–7 Days at 24 °C | |
|---|---|---|
| Sugars and Alcohol | ||
| Remaining sugars (%) | ||
| Glucose (initial conc. = 5 g/L) | 0 | |
| Fructose (initial conc. = 1 g/L) | 0 | |
| Saccharose (initial conc. = 2 g/L) | 19 | |
| Maltose (initial conc. = 26 g/L) | 100 | |
| Maltotriose (initial conc. = 8 g/L) | 100 | |
| Alcohol content (% v/v) | 0.4 a | 1.2 a |
| Real extract (°P) | 5.4 b | 11.0 a |
| Aromas | ||
| Higher alcohols and esters (mg/L) | ||
| n-Propanol (thr. 600) | 6.0 a | 7.7 a |
| Isobutanol (thr. 100) | 9.0 a | 8.9 a |
| 3-Methylbutanol (thr. 50) | 17.6 a | 33.1 a |
| Total higher alcohols | 32.6 b | 49.7 a |
| 3-Methylbutyl acetate (thr. 1.2) | 0.1 a | 0.1 a |
| Ethyl acetate (thr. 25) | 1.1 a | 1.6 a |
| Ethyl hexanoate (thr. 0.2) | 0.1 a | nq b |
| Ethyl octanoate (thr. 0.9) | 0.1 a | 0.1 a |
| Ethyl decanoate (thr. 1.5) | 0.1 b | 0.2 a |
| Total esters | 1.5 a | 2.0 a |
| DMS (µg/L) | ||
| Dimethylsulfide (thr. 48) [9] | 5 b | 14 a |
| Phenols (µg/L) | ||
| 4-Vinylphenol (thr. 170) | 642 b | 1405 a |
| 4-Vinylguaiacol (thr. 125) | 810 b | 1725 a |
| 4-Ethylphenol (thr. 150) | 9 a | 16 a |
| 4-Ethylguaiacol (thr. 130) | nd | nd |
| Vanillin (thr. 50) | 19 b | 33 a |
Disclaimer/Publisher’s Note: The statements, opinions and data contained in all publications are solely those of the individual author(s) and contributor(s) and not of MDPI and/or the editor(s). MDPI and/or the editor(s) disclaim responsibility for any injury to people or property resulting from any ideas, methods, instructions or products referred to in the content. |
© 2024 by the authors. Licensee MDPI, Basel, Switzerland. This article is an open access article distributed under the terms and conditions of the Creative Commons Attribution (CC BY) license (https://creativecommons.org/licenses/by/4.0/).
Share and Cite
Simon, M.; Christiaens, R.; Janssens, P.; Collin, S. Unexpected Behavior of a Maltose-Negative Saccharomyces cerevisiae Yeast: Higher Release of Polyfunctional Thiols from Glutathionylated Than from Cysteinylated S-Conjugates. Fermentation 2024, 10, 276. https://doi.org/10.3390/fermentation10060276
Simon M, Christiaens R, Janssens P, Collin S. Unexpected Behavior of a Maltose-Negative Saccharomyces cerevisiae Yeast: Higher Release of Polyfunctional Thiols from Glutathionylated Than from Cysteinylated S-Conjugates. Fermentation. 2024; 10(6):276. https://doi.org/10.3390/fermentation10060276
Chicago/Turabian StyleSimon, Margaux, Romain Christiaens, Philippe Janssens, and Sonia Collin. 2024. "Unexpected Behavior of a Maltose-Negative Saccharomyces cerevisiae Yeast: Higher Release of Polyfunctional Thiols from Glutathionylated Than from Cysteinylated S-Conjugates" Fermentation 10, no. 6: 276. https://doi.org/10.3390/fermentation10060276
APA StyleSimon, M., Christiaens, R., Janssens, P., & Collin, S. (2024). Unexpected Behavior of a Maltose-Negative Saccharomyces cerevisiae Yeast: Higher Release of Polyfunctional Thiols from Glutathionylated Than from Cysteinylated S-Conjugates. Fermentation, 10(6), 276. https://doi.org/10.3390/fermentation10060276

