Stimulation of Hair Growth Effect by Fermented Ginsenosides Using Levilactobacillus brevis THK-D437
Abstract
1. Introduction
2. Materials and Methods
2.1. Isolation of β-Glucosidase Producing Bacterial Strain
2.2. Identification of Levilactobacillus brevis THK-D437
2.3. Fermentation of Ginsenosides
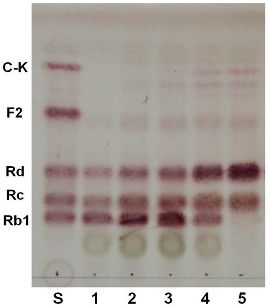
2.4. Analysis of Ginsenosides by Chromatography
2.4.1. TLC Analysis
2.4.2. LC/MS Analysis
2.5. Cell Culture
2.6. MTT Assay
2.7. Analysis of Hair Growth Morphological and Histological Changes in Hair Follicles in C57BL/6 Mice
2.8. Statistical Analysis
3. Results and Discussion
3.1. Isolation and Identification of Levilactobacillus brevis THK-D437
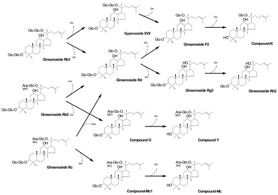
3.2. Biotransformation of Ginsenoside by Levilactobacillus brevis THK-D437
3.3. Effects of Fermented Ginsenosides on the Cell Viability and Proliferation of HHDPCs
3.4. Hair Growth Stimulation Effect of Fermented Ginsenosides in the C57BL/6 Mouse Model
3.5. Analysis of Histological Changes in the Skin Tissue of Mice Treated with Fermented Ginsenosides
4. Conclusions
Author Contributions
Funding
Institutional Review Board Statement
Informed Consent Statement
Data Availability Statement
Conflicts of Interest
References
- Maloh, J.; Engel, T.; Natarelli, N.; Nong, Y.; Zufall, A.; Sivamani, R.K. Systematic Review of Psychological Interventions for Quality of Life, Mental Health, and Hair Growth in Alopecia Areata and Scarring Alopecia. J. Clin. Med. 2023, 12, 964. [Google Scholar] [CrossRef] [PubMed]
- Roh, S.-S.; Kim, C.D.; Lee, M.-H.; Hwang, S.-L.; Rang, M.-J.; Yoon, Y.-K. The Hair Growth Promoting Effect of Sophora flavescens Extract and Its Molecular Regulation. J. Dermatol. Sci. 2002, 30, 43–49. [Google Scholar] [CrossRef] [PubMed]
- Stenn, K.S.; Paus, R. Controls of Hair Follicle Cycling. Physiol. Rev. 2001, 81, 449–494. [Google Scholar] [CrossRef] [PubMed]
- Hardy, M.H. The Secret Life of the Hair Follicle. Trends Genet. 1992, 8, 55–61. [Google Scholar] [CrossRef] [PubMed]
- Oliver, R.F. The Induction of Hair Follicle Formation in the Adult Hooded Rat by Vibrissa Dermal Papillae. Development 1970, 23, 219–236. [Google Scholar] [CrossRef]
- Jahoda, C.A. Induction of Follicle Formation and Hair Growth by Vibrissa Dermal Papillae Implanted into Rat Ear Wounds: Vibrissa-Type Fibres Are Specified. Development 1992, 115, 1103–1109. [Google Scholar] [CrossRef]
- Kim, J.; Han, B.J.; Kim, H.; Lee, J.; Joo, I.; Omer, S.; Kim, Y.; Han, Y. Th1 Immunity Induction by Ginsenoside Re Involves in Protection of Mice against Disseminated Candidiasis Due to Candida albicans. Int. Immunopharmacol. 2012, 14, 481–486. [Google Scholar] [CrossRef]
- Shin, J.Y.; Lee, J.M.; Shin, H.S.; Park, S.Y.; Yang, J.E.; Cho, S.K.; Yi, T.-H. Anti-Cancer Effect of Ginsenoside F2 against Glioblastoma Multiforme in Xenograft Model in SD Rats. J. Ginseng Res. 2012, 36, 86. [Google Scholar] [CrossRef]
- Attele, A.S.; Wu, J.A.; Yuan, C.-S. Ginseng Pharmacology: Multiple Constituents and Multiple Actions. Biochem. Pharmacol. 1999, 58, 1685–1693. [Google Scholar] [CrossRef]
- Song, S.B.; Tung, N.H.; Quang, T.H.; Ngan, N.T.T.; Kim, K.E.; Kim, Y.H. Inhibition of TNF-α-Mediated NF-κB Transcriptional Activity in HepG2 Cells by Dammarane-Type Saponins from Panax ginseng Leaves. J. Ginseng Res. 2012, 36, 146. [Google Scholar] [CrossRef]
- Tawab, M.A.; Bahr, U.; Karas, M.; Wurglics, M.; Schubert-Zsilavecz, M. Degradation of Ginsenosides in Humans after Oral Administration. Drug Metab. Dispos. 2003, 31, 1065–1071. [Google Scholar] [CrossRef] [PubMed]
- Lee, S.M.; Shon, H.J.; Choi, C.-S.; Hung, T.M.; Min, B.S.; Bae, K. Ginsenosides from Heat Processed Ginseng. Chem. Pharm. Bull. 2009, 57, 92–94. [Google Scholar] [CrossRef] [PubMed]
- Han, B.; Park, M.; Han, Y.; Woo, L.; Sankawa, U.; Yahara, S.; Tanaka, O. Degradation of Ginseng Saponins under Mild Acidic Conditions. Planta Med. 1982, 44, 146–149. [Google Scholar] [CrossRef] [PubMed]
- Ding, L.; Gao, Z.; Wu, S.; Chen, C.; Liu, Y.; Wang, M.; Zhang, Y.; Li, L.; Zou, H.; Zhao, G.; et al. Ginsenoside Compound-K Attenuates OVX-Induced Osteoporosis via the Suppression of RANKL-Induced Osteoclastogenesis and Oxidative Stress. Nat. Prod. Bioprospect. 2023, 13, 49. [Google Scholar] [CrossRef]
- Wang, R.; Zhang, M.; Hu, S.; Liu, K.; Tai, Y.; Tao, J.; Zhou, W.; Zhao, Z.; Wang, Q.; Wei, W. Ginsenoside Metabolite Compound-K Regulates Macrophage Function through Inhibition of β-Arrestin2. Biomed. Pharmacother. 2019, 115, 108909. [Google Scholar] [CrossRef]
- Tang, M.; Xie, X.; Yang, Y.; Li, F. Ginsenoside Compound K-a Potential Drug for Rheumatoid Arthritis. Pharmacol. Res. 2021, 166, 105498. [Google Scholar] [CrossRef]
- Cheng, L.-Q.; Na, J.R.; Bang, M.H.; Kim, M.K.; Yang, D.-C. Conversion of Major Ginsenoside Rb1 to 20 (S)-Ginsenoside Rg3 by Microbacterium sp. GS514. Phytochemistry 2008, 69, 218–224. [Google Scholar] [CrossRef]
- Jiang, Y.; Li, W.; Fan, D. Biotransformation of Ginsenoside Rb1 to Ginsenoside CK by Strain XD101: A Safe Bioconversion Strategy. Appl. Biochem. Biotechnol. 2021, 193, 2110–2127. [Google Scholar] [CrossRef]
- Kim, B.-G.; Choi, S.-Y.; Kim, M.-R.; Suh, H.J.; Park, H.J. Changes of Ginsenosides in Korean Red Ginseng (Panax ginseng) Fermented by Lactobacillus plantarum M1. Process Biochem. 2010, 45, 1319–1324. [Google Scholar] [CrossRef]
- Quan, L.-H.; Cheng, L.-Q.; Kim, H.-B.; Kim, J.-H.; Son, N.-R.; Kim, S.-Y.; Jin, H.-O.; Yang, D.-C. Bioconversion of Ginsenoside Rd into Compound K by Lactobacillus pentosus DC101 Isolated from Kimchi. J. Ginseng Res. 2010, 34, 288–295. [Google Scholar] [CrossRef]
- Quan, L.-H.; Piao, J.-Y.; Min, J.-W.; Yang, D.-U.; Lee, H.N.; Yang, D.C. Bioconversion of Ginsenoside Rb1 into Compound K by Leuconostoc citreum LH1 Isolated from Kimchi. Braz. J. Microbiol. 2011, 42, 1227–1237. [Google Scholar] [CrossRef] [PubMed]
- Shin, H.-S.; Park, S.-Y.; Hwang, E.-S.; Lee, D.-G.; Song, H.-G.; Mavlonov, G.T.; Yi, T.-H. The Inductive Effect of Ginsenoside F2 on Hair Growth by Altering the WNT Signal Pathway in Telogen Mouse Skin. Eur. J. Pharmacol. 2014, 730, 82–89. [Google Scholar] [CrossRef] [PubMed]
- Buck, J.D. Nonstaining (KOH) Method for Determination of Gram Reactions of Marine Bacteria. Appl. Environ. Microbiol. 1982, 44, 992–993. [Google Scholar] [CrossRef] [PubMed]
- Fitch, W.M. Toward Defining the Course of Evolution: Minimum Change for a Specific Tree Topology. Syst. Biol. 1971, 20, 406–416. [Google Scholar] [CrossRef]
- Saitou, N.; Nei, M. The Neighbor-Joining Method: A New Method for Reconstructing Phylogenetic Trees. Mol. Biol. Evol. 1987, 4, 406–425. [Google Scholar] [CrossRef]
- Kim, S.; Kang, B.Y.; Cho, S.Y.; Sung, D.S.; Chang, H.K.; Yeom, M.H.; Kim, D.H.; Sim, Y.C.; Lee, Y.S. Compound K Induces Expression of Hyaluronan Synthase 2 Gene in Transformed Human Keratinocytes and Increases Hyaluronan in Hairless Mouse Skin. Biochem. Biophys. Res. Commun. 2004, 316, 348–355. [Google Scholar] [CrossRef]
- Zhou, J.; Gao, Y.; Yi, X.; Ding, Y. Ginsenoside Rh2 Suppresses Neovascularization in Xenograft Psoriasis Model. Cell. Physiol. Biochem. 2015, 36, 980–987. [Google Scholar] [CrossRef]
- Qi, S.-H.; Liu, P.; Xie, J.-L.; Shu, B.; Xu, Y.-B.; Ke, C.-N.; Liu, X.-S.; Li, T.-Z. Experimental Study on Repairing of Nude Mice Skin Defects with Composite Skin Consisting of Xenogeneic Dermis and Epidermal Stem Cells and Hair Follicle Dermal Papilla Cells. Burns 2008, 34, 385–392. [Google Scholar] [CrossRef]
- Gharzi, A.; Reynolds, A.J.; Jahoda, C.A.B. Plasticity of Hair Follicle Dermal Cells in Wound Healing and Induction. Exp. Dermatol. 2003, 12, 126–136. [Google Scholar] [CrossRef]
- Zhang, Z.; Zhang, Y.; Li, W.; Ma, L.; Wang, E.; Xing, M.; Zhou, Y.; Huan, Z.; Guo, F.; Chang, J. Curcumin/Fe-SiO2 Nano Composites with Multi-Synergistic Effects for Scar Inhibition and Hair Follicle Regeneration during Burn Wound Healing. Appl. Mater. Today 2021, 23, 101065. [Google Scholar] [CrossRef]
- Song, P.H.; Park, G.-R.; Kim, Y.-H.; Jung, D.H.; Ku, S.-K.; Song, C.-H. Hair-Growth-Promoting Effects of Fermented Red Ginseng Marc and Traditional Polyherb Formula in C57BL/6 Mice. Appl. Sci. 2021, 11, 1195. [Google Scholar] [CrossRef]
- Shin, H.-S.; Park, S.-Y.; Hwang, E.-S.; Lee, D.-G.; Mavlonov, G.T.; Yi, T.-H. Ginsenoside F2 Reduces Hair Loss by Controlling Apoptosis through the Sterol Regulatory Element-Binding Protein Cleavage Activating Protein and Transforming Growth Factor-β Pathways in a Dihydrotestosterone-Induced Mouse Model. Biol. Pharm. Bull. 2014, 37, 755–763. [Google Scholar] [CrossRef] [PubMed]





| Characteristics | THK-D437 | L. brevis ATCC 14687T | 
|---|---|---|
| Isolation source | Kimchi | − | 
| Gram | + | + | 
| Catalase | − | − | 
| Morphology | Lod | Lod | 
| Acid production (API 50CH) of: | ||
| D-Xylose | + | − | 
| Methyl-α-D-glucopyranoside | + | − | 
| N-Acetyl-Glucosamine | − | + | 
| Esculin ferric citrate | + | − | 
| D-Maltose | + | − | 
| D-Turanose | − | + | 
| D-gluconate (potassium) | − | + | 
| 2-Ketogluconate (potassium) | − | + | 
| Retention Time | Identification | 1 | 2 | % of Change | 
|---|---|---|---|---|
| 39′ | Rb1 | 9594 | 2088 | −78.2 | 
| 39.5′ | Rc | 3404 | 6085 | +78.7 | 
| 39.85′ | Rb2 | 1675 | 1241 | −25.9 | 
| 40.7′ | Rd | 5804 | 22,973 | +295.8 | 
| 54.3′ | Compound K | 190 | 2094 | +1102.1 | 
| 55.6′ | Rh2 | 730 | 1961 | +268 | 
| Disclaimer/Publisher’s Note: The statements, opinions and data contained in all publications are solely those of the individual author(s) and contributor(s) and not of MDPI and/or the editor(s). MDPI and/or the editor(s) disclaim responsibility for any injury to people or property resulting from any ideas, methods, instructions or products referred to in the content. | 
© 2024 by the authors. Licensee MDPI, Basel, Switzerland. This article is an open access article distributed under the terms and conditions of the Creative Commons Attribution (CC BY) license (https://creativecommons.org/licenses/by/4.0/).
Share and Cite
Yi, E.-J.; Nguyen, T.T.M.; Jeong, J.; Jin, X.; Zheng, Q.; Park, S.-J.; Yi, G.-S.; Yang, S.-J.; Yi, T.-H. Stimulation of Hair Growth Effect by Fermented Ginsenosides Using Levilactobacillus brevis THK-D437. Fermentation 2024, 10, 565. https://doi.org/10.3390/fermentation10110565
Yi E-J, Nguyen TTM, Jeong J, Jin X, Zheng Q, Park S-J, Yi G-S, Yang S-J, Yi T-H. Stimulation of Hair Growth Effect by Fermented Ginsenosides Using Levilactobacillus brevis THK-D437. Fermentation. 2024; 10(11):565. https://doi.org/10.3390/fermentation10110565
Chicago/Turabian StyleYi, Eun-Ji, Trang Thi Minh Nguyen, Jeehaeng Jeong, Xiangji Jin, Qiwen Zheng, Se-Jig Park, Gyeong-Seon Yi, Su-Jin Yang, and Tae-Hoo Yi. 2024. "Stimulation of Hair Growth Effect by Fermented Ginsenosides Using Levilactobacillus brevis THK-D437" Fermentation 10, no. 11: 565. https://doi.org/10.3390/fermentation10110565
APA StyleYi, E.-J., Nguyen, T. T. M., Jeong, J., Jin, X., Zheng, Q., Park, S.-J., Yi, G.-S., Yang, S.-J., & Yi, T.-H. (2024). Stimulation of Hair Growth Effect by Fermented Ginsenosides Using Levilactobacillus brevis THK-D437. Fermentation, 10(11), 565. https://doi.org/10.3390/fermentation10110565
 
        




 
       