Technical and Economic Analyses for the Implementation of a Biohydrogen Production System Using Bioelectricity from Vinasse Biogas of the Sugarcane and Alcohol Industry
Abstract
1. Introduction
1.1. Hydrogen
1.1.1. Blue Hydrogen
1.1.2. Gray Hydrogen
1.1.3. Brown Hydrogen
1.1.4. Black Hydrogen
1.1.5. Green Hydrogen
1.2. Electrolysis
1.2.1. Alkaline Water Electrolysis (ALK)
1.2.2. Polymer Electrolyte Membrane (PEM)
1.2.3. Solid Oxide Electrolyzer Cells (SOECs)
1.3. Brazilian Sugar and Ethanol Industry
1.4. Vinasse
1.5. Anaerobic Digestion
1.5.1. Hydrolysis Process
1.5.2. Acidogenesis Process
1.5.3. Acetogenesis Process
1.5.4. Methanogenesis Process
1.6. UASB Reactor
1.7. Biogas Obtained by Vinasse
2. Materials and Methods
2.1. Sugar-Alcohol Industry of Brazil
2.2. Vinasse Biogas Production Potential in the West-Central and Southeast Regions of Brazil
2.3. Energy Power Supplied by the Fuel (Vinasse Biogas)
2.4. Selected Plants Form de Southeast Region
2.5. Energetic Analysis
2.5.1. Energy Balance of the Motor/Generator Set for the Bioelectricity Generation Process
2.5.2. Energy Balance of the Electrolysis Process for Biohydrogen Production Process
2.5.3. Energetic Analysis of the Complete System (Bioelectricity and Biohydrogen Production Process)
2.6. Economic Analysis
2.6.1. Economic Analysis of the Bioelectricity Generation Process
2.6.2. Economic Analysis of the Biohydrogen Generation Process (Electrolysis Process Fed with Bioelectricity)
3. Results
3.1. Results of the Energetic Analysis
3.1.1. Results of the Energy Balance of the Motor/Generator Set for Bioelectricity Generation Process
3.1.2. Results of the Energy Balance of the Electrolysis Process for Biohydrogen Production
3.1.3. Energy Efficiency of the Complete System (Bioelectricity Generation with Biohydrogen Production)
3.2. Results of the Economic Analysis
3.2.1. Economic Analysis of the Bioelectricity Generation Process
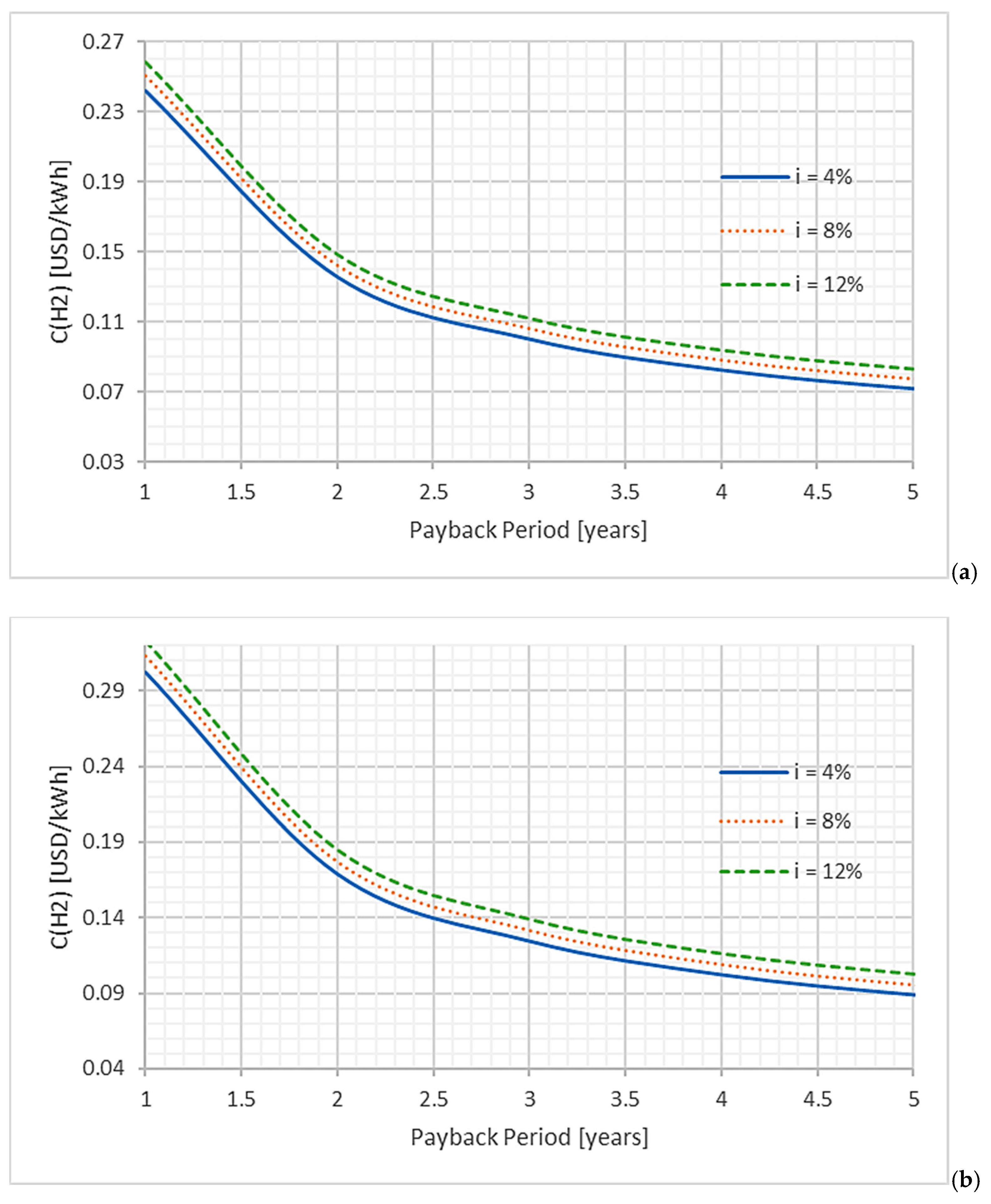
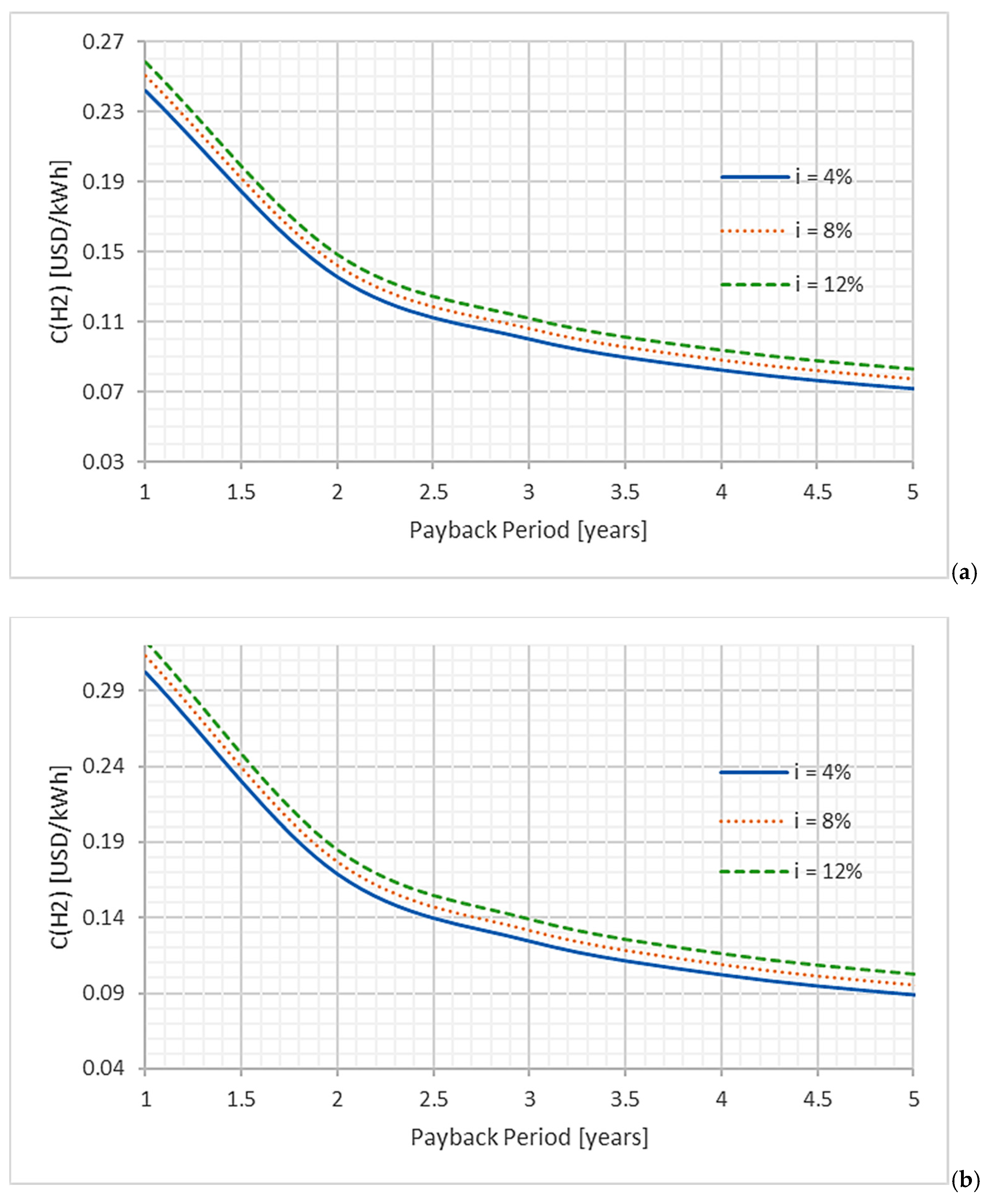
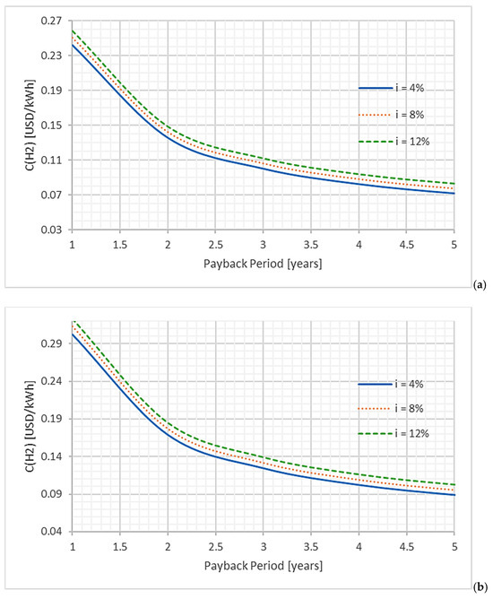
3.2.2. Economic Analysis of the Biohydrogen Production Process
4. Discussion
5. Conclusions
Author Contributions
Funding
Data Availability Statement
Acknowledgments
Conflicts of Interest
Nomenclature
| Estimated cost for plant implementation [USD] | |
| Cost of electricity for industrial processes [USD/kWh] | |
| Cost of electrolyzer [USD] | |
| Cost of bioelectricity produced by the motor/generator set [USD/kWh] | |
| Cost of fuel [USD/kWh] | |
| Cost of biohydrogen in the market [USD/kWh] | |
| Cost of biohydrogen production by electrolysis [USD/kWh] | |
| Cost of water supplied [USD/kg] | |
| Maintenance cost of the electrolyzer [USD/kWh] | |
| Maintenance cost of the motor/generator set [USD/kWh]. | |
| Electrolyzer operating cost [USD/kWh] | |
| Reference cost of the equipment [USD] | |
| Exhaust gas thermal power [kW]. | |
| Power supplied by the fuel [kW] | |
| Power supplied by the biohydrogen [kW] | |
| Power produced by the motor/generator set [kW] | |
| Power required by the electrolyzer [kW] | |
| Single thermal power variable [kW] | |
| Transferred thermal power [kW] | |
| Annuity factor [1/year] | |
| Working period of the motor/generator set [hours/year] | |
| Enthalpy of air at 25 °C [kJ/kg] | |
| Payback period [years] | |
| Annual interest rate [%] | |
| Investment in the motor/generator set [USD] | |
| Investment in the electrolyzer [USD] | |
| Low heat value of fuel [kJ/kg] | |
| Low heat value of biogas [kJ/kg] | |
| Low heat value of biohydrogen [kJ/kg] | |
| power lost in the system [kW] | |
| Correction factor to determine the estimated cost, between 0.5 and 1 | |
| Air mass flow [kg/s] | |
| Mass flow rate of Biogas supplied [m3/h] | |
| Mass flow of biogas in the motor/generator set [kg/s] | |
| Mass flow of fuel [kg/s] | |
| Mass flow of biohydrogen produced [kg/s] | |
| Mass flow of water in the electrolyzer [kg/h] | |
| Electrical efficiency of the electrolyzer [%] | |
| Electrical efficiency of the motor/generator set [%] | |
| Electrical efficiency of the entire process [%] | |
| Specific mass of the vinasse biogas [kg/m3] | |
| Biohydrogen production capacity [Nm3/h] | |
| Specification of the equipment [-] | |
| Reference of a specification for the required system [-] | |
| Expected annual income from the H2 production based on payback [USD/kWh] | |
| Expected annual income from the electricity production based on payback [USD/kWh] |
References
- Chantre, C.; Andrade Eliziário, S.; Pradelle, F.; Católico, A.C.; Branquinho Das Dores, A.M.; Torres Serra, E.; Campello Tucunduva, R.; Botelho Pimenta Cantarino, V.; Leal Braga, S. Hydrogen Economy Development in Brazil: An Analysis of Stakeholders’ Perception. Sustain. Prod. Consum. 2022, 34, 26–41. [Google Scholar] [CrossRef]
- Capurso, T.; Stefanizzi, M.; Torresi, M.; Camporeale, S.M. Perspective of the Role of Hydrogen in the 21st Century Energy Transition. Energy Convers. Manag. 2022, 251, 114898. [Google Scholar] [CrossRef]
- Hassan, N.S.; Jalil, A.A.; Rajendran, S.; Khusnun, N.F.; Bahari, M.B.; Johari, A.; Kamaruddin, M.J.; Ismail, M. Recent Review and Evaluation of Green Hydrogen Production via Water Electrolysis for a Sustainable and Clean Energy Society. Int. J. Hydrogen Energy 2024, 52, 420–441. [Google Scholar] [CrossRef]
- Ajanovic, A.; Sayer, M.; Haas, R. The Economics and the Environmental Benignity of Different Colors of Hydrogen. Int. J. Hydrogen Energy 2022, 47, 24136–24154. [Google Scholar] [CrossRef]
- Shiva Kumar, S.; Himabindu, V. Hydrogen Production by PEM Water Electrolysis—A Review. Mater Sci. Energy Technol. 2019, 2, 442–454. [Google Scholar] [CrossRef]
- Ju, H.K.; Badwal, S.; Giddey, S. A Comprehensive Review of Carbon and Hydrocarbon Assisted Water Electrolysis for Hydrogen Production. Appl. Energy 2018, 231, 502–533. [Google Scholar] [CrossRef]
- Dawood, F.; Anda, M.; Shafiullah, G.M. Hydrogen Production for Energy: An Overview. Int. J. Hydrogen Energy 2020, 45, 3847–3869. [Google Scholar] [CrossRef]
- Yahya, A.; Shihab, E.; Raed, K.; Ramzi, H. The Dawn of Green Hydrogen Maintaining the GCC’s Edge in a Decarbonized World; Strategy&: Abu Dhabi, United Arab Emirates, 2020. [Google Scholar]
- Holm, T.; Borsboom-Hanson, T.; Herrera, O.E.; Mérida, W. Hydrogen Costs from Water Electrolysis at High Temperature and Pressure. Energy Convers. Manag. 2021, 237, 114106. [Google Scholar] [CrossRef]
- Minke, C.; Suermann, M.; Bensmann, B.; Hanke-Rauschenbach, R. Is Iridium Demand a Potential Bottleneck in the Realization of Large-Scale PEM Water Electrolysis? Int. J. Hydrogen Energy 2021, 46, 23581–23590. [Google Scholar] [CrossRef]
- Belincanta, J.; Alchorne, J.A.; Teixeira Da Silva, M. The Brazilian Experience with Ethanol Fuel: Aspects of Production, Use, Quality and Distribution Logistics. Braz. J. Chem. Eng. 2016, 33, 1091–1102. [Google Scholar] [CrossRef]
- Konchinski, V. Estados Se Movimentam Para Produzir Hidrôgenio Verde. Available online: https://valor.globo.com/publicacoes/especiais/hidrogenio-verde/noticia/2023/12/07/estados-se-movimentam-para-produzir-hidrogenio-verde.ghtml (accessed on 30 August 2024).
- Náthia-Neves, G.; de Alencar Neves, T.; Berni, M.; Dragone, G.; Mussatto, S.I.; Forster-Carneiro, T. Start-up Phase of a Two-Stage Anaerobic Co-Digestion Process: Hydrogen and Methane Production from Food Waste and Vinasse from Ethanol Industry. Biofuel Res. J. 2018, 5, 813–820. [Google Scholar] [CrossRef]
- Pereira, I.Z.; dos Santos, I.F.S.; Barros, R.M.; e Silva, H.L.D.C.; Tiago Filho, G.L.; e Silva, A.P.M. Vinasse Biogas Energy and Economic Analysis in the State of São Paulo, Brazil. J. Clean Prod. 2020, 260, 121018. [Google Scholar] [CrossRef]
- Parsaee, M.; Kiani, M.K.D.; Karimi, K. A Review of Biogas Production from Sugarcane Vinasse. Biomass Bioenergy 2019, 122, 117–125. [Google Scholar] [CrossRef]
- Budiyono; Syaichurrozi, I.; Sumardiono, S. Effect of Total Solid Content to Biogas Production Rate from Vinasse. Int. J. Eng. Trans. B Appl. 2014, 27, 177–184. [Google Scholar] [CrossRef]
- Syaichurrozi, I. Review—Biogas Technology to Treat Bioethanol Vinasse. Waste Technol. 2016, 4, 16–23. [Google Scholar] [CrossRef]
- Obileke, K.C.; Nwokolo, N.; Makaka, G.; Mukumba, P.; Onyeaka, H. Anaerobic Digestion: Technology for Biogas Production as a Source of Renewable Energy—A Review. Energy Environ. 2021, 32, 191–225. [Google Scholar] [CrossRef]
- España-Gamboa, E.I.; Mijangos-Cortés, J.O.; Hernández-Zárate, G.; Maldonado, J.A.D.; Alzate-Gaviria, L.M. Methane Production by Treating Vinasses from Hydrous Ethanol Using a Modified UASB Reactor. Biotechnol. Biofuels 2012, 5, 82. [Google Scholar] [CrossRef]
- Florian, G.; Beatrice, G.; Uli, Z. Sustainable Biogas Production—A Handbook for Organic Farmers, 1642nd ed.; FiBL: Frick, Switzerland, 2014. [Google Scholar]
- Tafannum, T. A Novel Approach for Anaerobic Treatment of Food Waste Under Psychrophilic Temperature. Master’s Thesis, Concordia University, Montreal, QC, Canada, 2023. [Google Scholar]
- Antunes, M. Análise de Possíveis Cenários Para Utilização de Biogás Em Um Frigorífico. Master’s Thesis, Universidade De Caixas Do Sul, CaixasdoSul, Brazil, 2019. [Google Scholar]
- Junior, A.E.S.; Duda, R.M.; de Oliveira, R.A. Improving the Energy Balance of Ethanol Industry with Methane Production from Vinasse and Molasses in Two-Stage Anaerobic Reactors. J. Clean Prod. 2019, 238, 117577. [Google Scholar] [CrossRef]
- Montoro, S.B.; Lucas, J.; Santos, D.F.L.; Costa, M.S.S.M. Anaerobic Co-Digestion of Sweet Potato and Dairy Cattle Manure: A Technical and Economic Evaluation for Energy and Biofertilizer Production. J. Clean Prod. 2019, 226, 1082–1091. [Google Scholar] [CrossRef]
- Janke, L.; Leite, A.; Nikolausz, M.; Schmidt, T.; Liebetrau, J.; Nelles, M.; Stinner, W. Biogas Production from Sugarcane Waste: Assessment on Kinetic Challenges for Process Designing. Int. J. Mol. Sci. 2015, 16, 20685–20703. [Google Scholar] [CrossRef]
- Wendling, J.M. Technical and Economic Feasibility Analysis of a Hybrid System Applied to the Sugar and Alcohol Sector: Use of Vinasse Biogas and Photovoltaic Energy. Master’s Thesis, Universidade Estadual Paulista “Julho Mesquita Filho”, Guaratinguetá, Brazil, 2020. [Google Scholar]
- Paulino, R. Uso Do Biogás Para Produção de Biohidrogênio: Eletrólise versus Reforma a Vapor. Master’s Thesis, Universidade Estadual Paulista “Julho Mesquita Filho”, Guaratinguetá, Brazil, 2017. [Google Scholar]
- CONAB. Monitoring of the Brazilian Crop, 2022/2023 Crop Year 4th Survey; Companhia Nacional de Abastecimento: Brasília, Brazil, 2023. [Google Scholar]
- Souza, L.; Alves, H.; Borba, C. Modelagem e Simulação Da Produção de Biogás a Partir Da Vinhaça e Estimativa de Produção de Gás de Síntese No Setor Sucroenergético. Master’s Thesis, Universidade Federal do Paraná, Palotina, Brazil, 2020. [Google Scholar]
- Cassman, N.A.; Lourenço, K.S.; Do Carmo, J.B.; Cantarella, H.; Kuramae, E.E. Genome-Resolved Metagenomics of Sugarcane Vinasse Bacteria. Biotechnol. Biofuels 2018, 11, 48. [Google Scholar] [CrossRef]
- Kiani Deh Kiani, M.; Parsaee, M.; Safieddin Ardebili, S.M.; Reyes, I.P.; Fuess, L.T.; Karimi, K. Different Bioreactor Configurations for Biogas Production from Sugarcane Vinasse: A Comprehensive Review. Biomass Bioenergy 2022, 161, 106446. [Google Scholar] [CrossRef]
- Paulino, R.F.S.; Silveira, J.L. Biohydrogen Production and Bagasse Gasification Process in the Sugarcane Industry. In Sustainable Bioenergy: Advances and Impacts; Elsevier: Amsterdam, The Netherlands, 2019. [Google Scholar]
- Xavier, B. Thermodynamic, Ecological and Economic Aspects of Cogeneration Systems with Internal Combustion Engines Operating with Natural Gas, Biogas and Synthesis Gas. Master’s Thesis, Universidade Estadual Paulista “Julho Mesquita Filho”, Guaratinguetá, Brazil, 2016. [Google Scholar]
- Barbosa, I. Relatorio de Sustentabilidade 2022 São Manoel; TerraGrata Consultoria em Sustentabilidade: São Manoel, Brazil, 2022. [Google Scholar]
- Usina Estiva. Etanol-Usina Estiva; Usina Estiva: Novo Horizonte, Brazil, 2023. [Google Scholar]
- Prenzier, A.; Fernandes, D.; Pereira, R.; Morais, T. Uso de Biogás Em Motores de Combustão Interna. Rev. Bras. De Tecnol. Apl. Nas Ciências Agrárias 2011, 4, 221–237. [Google Scholar]
- Caterpillar. CG260-16 2020; CAT Gas Generator Set, Ratings Summary; Caterpillar: Irving, TX, USA; pp. 1–4. Available online: https://www.cat.com/electricpower (accessed on 10 November 2022).
- Brizi, F.; Silveira, J.L.; Desideri, U.; Reis, J.A.D.; Tuna, C.E.; Lamas, W.D.Q. Energetic and Economic Analysis of a Brazilian Compact Cogeneration System: Comparison between Natural Gas and Biogas. Renew. Sustain. Energy Rev. 2014, 38, 193–211. [Google Scholar] [CrossRef]
- Yingjian, L.; Qi, Q.; Xiangzhu, H.; Jiezhi, L. Energy Balance and Efficiency Analysis for Power Generation in Internal Combustion Engine Sets Using Biogas. Sustain. Energy Technol. Assess. 2014, 6, 25–33. [Google Scholar] [CrossRef]
- Silveira, J.L. Sustainable Hydrogen Production Processes; Springer International Publishing: Cham, Switzerland, 2017; ISBN 978-3-319-41614-4. [Google Scholar]
- De Campos, V.A.F.; Cantagallo, J.P.T.; Llerena-Pizarro, O.R.; Silveira, J.L. Internal Combustion Engine Fueled with Biogas: Energetic, Economic and Environmental Analyses. IEEE Lat. Am. Trans. 2019, 17, 1873–1878. [Google Scholar] [CrossRef]
- Hydrogenics. Generadores de Hidrogeno HySTAT; Hydrogenics: Oevel, Belgium, 2017. [Google Scholar]
- Boehm, R. Design Analysis of Thermal Systems; Wiley: Hoboken, NJ, USA, 1987; Volume 1. [Google Scholar]
- José, L.S. Estudo de Sistema de Cogeração Aplicado a Fabricação de Papel e Celulose. Master’s Thesis, Escola Federal de Engenharia de Itajuba, Itajuba, Brazil, 1990. [Google Scholar]
- Králík, T.; Knápek, J.; Vávrová, K.; Outrata, D.; Horák, M.; Janota, L.; Jablonská, Š. Biomass Price as a Key Factor for the Further Development of Biogas and Biomethane Use—Methodology and Policy Implications. Sustain. Energy Technol. Assess. 2023, 60, 103492. [Google Scholar] [CrossRef]
- García, J. The Power of Hydrogen: Exploring the Energy Potential of 1 kg of Hydrogen. Available online: https://www.ingenieroemprendedor.com/english/blog/the-power-of-hydrogen-exploring-the-energy-potential-of-1-kg-of-hydrogen/the-power-of-hydrogen-exploring-the-energy-potential-of-1-kg-of-hydrogen/ (accessed on 12 December 2023).



















| Region/State | Production Sources | Use |
|---|---|---|
| Amazonia | Solar Panels | Electrical Energy for Small Communities |
| Bahia | Solar Panels | Local Industry |
| Rio de Janeiro | Solar Panels | Local Industry |
| Extremo Nordeste | On and Offshore wind farms | Exportation |
| Minas Gerais | Biomass, Hydroelectric and solar energy | Mining Decarbonization |
| Pernambuco | Solar and Wind Energy | Suape Port Industry |
| São Paulo | Sugarcane ethanol | Vehicle Supply |
| Rio Grande do Sul | Offshore wind farms and agricultural waste | Internal Market |
| Paraná | Pig farming waste | Ammonia Production for Fertilizer |
| Mato Grosso | Residues from soybean and corn crops | Ammonia Production for Fertilizer |
| Mato Grosso do Sul | Residues from soybean and corn crops | Ammonia Production for Fertilizer |
| Region | Ethanol Production |
|---|---|
| North | 263,151.0 m3/year |
| Northeast | 2,048,658.9 m3/year |
| West Central | 13,018,769.5 m3/year |
| Southeast | 14,893,962.1 m3/year |
| South | 1,113,168.0 m3/year |
| Total | 31,337,709.5 m3/year |
| Region | Vinasse Production by Region (Taking 1 m3 Ethanol—12 m3 Vinasse) | Daily Production of Biogas by Region (1 m3 Vinasse—10 m3 Biogas) | Biogas Flow Rate by Region (m3/h) |
|---|---|---|---|
| West-Central | 428,014.34 m3/day | 4,280,143.40 m3/day | 178,229.31 m3/h |
| Southeast | 489,664.51 m3/day | 4,896,645.07 m3/day | 204,026.88 m3/h |
| Region | Mass Flow of Fuel Per Region | Energy Potential Generation |
|---|---|---|
| West-Central | 91.23 kg/s | 1,138,687.21 kW |
| Southeast | 104.44 kg/s | 1,303,505.15 kW |
| Ethanol Plant | Average Production of Ethanol (year) | Biogas Flow Rate per Plant |
|---|---|---|
| São José da Estiva | 155,700 m3 | 2465.75 m3/h |
| São Manoel | 132,202 m3 | 1810.99 m3/h |
| Ethanol Plant | Energy Power Supplied by the Fuel |
|---|---|
| São José da Estiva | 13,626.71 kW |
| São Manoel | 11,570.19 kW |
| Characteristics | Value |
|---|---|
| Electric Power (using Biogas) | 3510 kW |
| Frequency | 60 Hz |
| Electrical efficiency | 43.2 % |
| Thermal efficiency | 38.5 % |
| NOx emissions | 500 mg/Nm3 |
| RPM | 900 |
| HySTAT® 10 | HySTAT® 15 | HySTAT® 30 | HySTAT® 60 | Long Scale | |
|---|---|---|---|---|---|
| Capacity [Nm3/h] | 4–10 | 6–15 | 12–30 | 24–60 | 120–1300 |
| Operation Pressure [bar] | 10 or 25 | 10 | 10 | 10 | 10 |
| Expected Power Consumption [kWh/Nm3] | 5.0 | 5.0 | 5.0 | 4.9 | 4.9 |
| Water Consuption [1/Nm3H2] | 1.5–2.0 | ||||
| Room Temperature | +5–40 °C | ||||
| Purity | 99.9 % (99.999 % opcional) Saturated H2O, O2 < 1000 ppm | ||||
| Voltage and Frequency | 3 × 400/480/575 VAC, 50/60 Hz | ||||
| Options | Biohydrogen purification system, water treatment system, cooling system | ||||
| Dimensions | 1.67 × 2.53 × 1.81 m | 3.22 × 2.53 × 1.81 m | |||
| Characteristics | Value |
|---|---|
| Capacity | 600 Nm3/h |
| Electric power | 2940 kW |
| Water consumption | 1.05 m3/h |
| k | 25 Years |
| i | 4% |
| 8% | |
| 12% |
| Capacity | Cost |
|---|---|
| 2800 kW | USD 1,406,667.00 |
| 3600 kW | USD 1,610,000.00 |
| Cost of fuel (vinasse niogas) | 0.019 USD/kWh |
| Cost of electricity for industrial processes | 0.145 USD/kWh |
| Sale price of biohydrogen | 0.291 USD/kWh |
| Working period (hours per year) | 7300 h |
| São José da Estiva | São Manoel | |
|---|---|---|
| Power supplied by biohydrogen | 2200.99 kW | 1868.82 kW |
| Power required by the electrolyzer | 2940 kW | |
| Water rate for industrial process | 0.00256 USD/kg | |
| Mass flow of water in the electrolyzer | 0.8329 kg/h | |
| Electrolyzer Capacity | Biohydrogen Flow Rate | Estimated Cost of the Electrolyzer |
|---|---|---|
| 100 Nm3/h | 8.99 kg/h | USD 867,623.82 |
| 1000 Nm3/h | 89.9 kg/h | USD 3,580,399.32 |
| Ethanol Plants | Bioelectricity Produced |
|---|---|
| São José da Estiva | 3642.42 kW |
| São Manoel | 3092.71 kW |
| São Jose da Estiva | |
| 13,626.71 kW | |
| 3642.42 kW | |
| 8894.16 kW | |
| 1090.14 kW | |
| São Manoel | |
| 11,570.19 kW | |
| 3092.71 kW | |
| 7551.86 kW | |
| 925.62 kW | |
| Ethanol Plants | Mass Flow of Biogas | Mass Flow of Biogas |
|---|---|---|
| São José da Estiva | 1386.42 Nm3/h | 0.88 kg/s |
| São Manoel | 1177.19 Nm3/h | 0.75 kg/s |
| Power Required in the Electrolyzer | 2940 kW |
|---|---|
| Lower Heat Value of H2 | 120,000 kJ/kg |
| Mass flow of water in the electrolyzer | 0.01479 kg/s |
| Energy efficiency of the electrolyzer | 60.42% |
| São Jose da Estiva | |
| 3642.42 kW | |
| 2200.99 kW | |
| 1150.03 kW | |
| 291.39 kW | |
| São Manoel | |
| 3092.71 kW | |
| 1868.82 kW | |
| 976.47 kW | |
| 247.42 kW | |
| Ethanol Plants | Mass Flow of Biohydrogen | Power Supplied by Biohydrogen |
|---|---|---|
| São José da Estiva | 0.0183 kg/s | 2200.99 kW |
| São Manoel | 0.0156 kg/s | 1868.82 kW |
| Electric efficiency CG260-16 model | 26.73% |
| Electric efficiency HySTAT 600 | 60.39% |
| Global efficiency of the system | 16.14% |
| Motor/Generator Set | Investment |
|---|---|
| Caterpillar CG260-16 | USD 1,543,449.66 |
| Electrolyzer Capacity | Biohydrogen Flow Rate | Estimated Cost of the Electrolyzer |
|---|---|---|
| 600 Nm3/h | 53.26 kg/h | USD 2,000,396.35 |
Disclaimer/Publisher’s Note: The statements, opinions and data contained in all publications are solely those of the individual author(s) and contributor(s) and not of MDPI and/or the editor(s). MDPI and/or the editor(s) disclaim responsibility for any injury to people or property resulting from any ideas, methods, instructions or products referred to in the content. |
© 2024 by the authors. Licensee MDPI, Basel, Switzerland. This article is an open access article distributed under the terms and conditions of the Creative Commons Attribution (CC BY) license (https://creativecommons.org/licenses/by/4.0/).
Share and Cite
Picón Lescano, G.D.; Silva Paulino, R.F.; de Assis Wendling Júnior, J.M.; Tuna, C.E.; Silveira, J.L. Technical and Economic Analyses for the Implementation of a Biohydrogen Production System Using Bioelectricity from Vinasse Biogas of the Sugarcane and Alcohol Industry. Fermentation 2024, 10, 564. https://doi.org/10.3390/fermentation10110564
Picón Lescano GD, Silva Paulino RF, de Assis Wendling Júnior JM, Tuna CE, Silveira JL. Technical and Economic Analyses for the Implementation of a Biohydrogen Production System Using Bioelectricity from Vinasse Biogas of the Sugarcane and Alcohol Industry. Fermentation. 2024; 10(11):564. https://doi.org/10.3390/fermentation10110564
Chicago/Turabian StylePicón Lescano, Germán Darío, Regina Franciélle Silva Paulino, José Marcelo de Assis Wendling Júnior, Celso Eduardo Tuna, and José Luz Silveira. 2024. "Technical and Economic Analyses for the Implementation of a Biohydrogen Production System Using Bioelectricity from Vinasse Biogas of the Sugarcane and Alcohol Industry" Fermentation 10, no. 11: 564. https://doi.org/10.3390/fermentation10110564
APA StylePicón Lescano, G. D., Silva Paulino, R. F., de Assis Wendling Júnior, J. M., Tuna, C. E., & Silveira, J. L. (2024). Technical and Economic Analyses for the Implementation of a Biohydrogen Production System Using Bioelectricity from Vinasse Biogas of the Sugarcane and Alcohol Industry. Fermentation, 10(11), 564. https://doi.org/10.3390/fermentation10110564

