Optimized Extraction Protocols for Bioactive Antioxidants from Commercial Seaweeds in Portugal: A Comparative Study of Techniques
Abstract
1. Introduction
2. Materials and Methods
2.1. Materials
2.2. Identification and Sampling
2.3. Antioxidants and Bioactive Compounds Extraction
2.3.1. Experimental Design
2.3.2. Solid–Liquid Extraction (SLE)
2.3.3. Subcritical Water Extraction (SWE)
2.3.4. Ultrasound-Assisted Extraction (UAE)
2.4. Analysis of Phenolic and Antioxidant Content
2.4.1. Total Phenolic Content
2.4.2. Ferric-Reducing Antioxidant Power (FRAP) Analysis
2.4.3. 2,2′-Azino-bis(3-ethylbenzothiazoline-6-sulfonic acid) (ABTS) Analysis
2.4.4. Antioxidant Potency Composite Index (APCI) Calculation
2.5. Greenness Evaluation
2.6. Statistical Analysis
3. Results and Discussion
3.1. Brown Seaweed
3.1.1. Experimental Design and SLE for Brown Seaweed
3.1.2. Analysis of the TPC and Antioxidant Capacity for Brown Seaweed
3.2. Red Seaweed
3.2.1. Experimental Design and SLE for Red Seaweed
3.2.2. Analysis of the TPC and Antioxidant Capacity for Red Seaweed
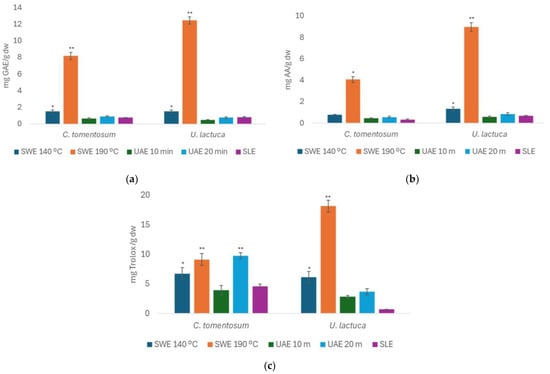
3.3. Green Seaweed
3.3.1. Experimental Design and SLE for Green Seaweed
3.3.2. Analysis of the TPC and Antioxidant Capacity for Green Seaweed
3.4. Antioxidant Potency Composite Index (APCI)
3.5. Correlations Between Methods
Evaluation of the Extraction Method Greenness (AGREEprep)
4. Conclusions
Supplementary Materials
Author Contributions
Funding
Institutional Review Board Statement
Informed Consent Statement
Data Availability Statement
Acknowledgments
Conflicts of Interest
References
- Mouritsen, O.G.; Mouritsen, J.D.; Johansen, M. Seaweeds: Edible, Available, and Sustainable; University of Chicago Press: Chicago, IL, USA, 2013. [Google Scholar]
- Raven, J.A.; Giordano, M. Algae. Curr. Biol. 2014, 24, R590–R595. [Google Scholar] [CrossRef] [PubMed]
- Soares, C.; Sousa, S.; Machado, S.; Vieira, E.; Carvalho, A.P.; Ramalhosa, M.J.; Morais, S.; Correia, M.; Oliva-Teles, T.; Domingues, V.F.; et al. Bioactive Lipids of Seaweeds from the Portuguese North Coast: Health Benefits versus Potential Contamination. Foods 2021, 10, 1366. [Google Scholar] [CrossRef] [PubMed]
- Mendes, M.C.; Navalho, S.; Ferreira, A.; Paulino, C.; Figueiredo, D.; Silva, D.; Gao, F.; Gama, F.; Bombo, G.; Jacinto, R.; et al. Algae as Food in Europe: An Overview of Species Diversity and Their Application. Foods 2022, 11, 1871. [Google Scholar] [CrossRef] [PubMed]
- Martínez-Ruiz, M.; Martínez-González, C.A.; Kim, D.-H.; Santiesteban-Romero, B.; Reyes-Pardo, H.; Villaseñor-Zepeda, K.R.; Meléndez-Sánchez, E.R.; Ramírez-Gamboa, D.; Díaz-Zamorano, A.L.; Sosa-Hernández, J.E.; et al. Microalgae Bioactive Compounds to Topical Applications Products—A Review. Molecules 2022, 27, 3512. [Google Scholar] [CrossRef]
- Kammler, S.; Malvis Romero, A.; Burkhardt, C.; Baruth, L.; Antranikian, G.; Liese, A.; Kaltschmitt, M. Macroalgae valorization for the production of polymers, chemicals, and energy. Biomass Bioenergy 2024, 183, 107105. [Google Scholar] [CrossRef]
- Pereira, L. Macroalgae. Encyclopedia 2021, 1, 177–188. [Google Scholar] [CrossRef]
- Sudhakar, K.; Mamat, R.; Samykano, M.; Azmi, W.H.; Ishak, W.F.W.; Yusaf, T. An overview of marine macroalgae as bioresource. Renew. Sustain. Energy Rev. 2018, 91, 165–179. [Google Scholar] [CrossRef]
- Martins, B.; Vieira, M.; Delerue-Matos, C.; Grosso, C.; Soares, C. Biological Potential, Gastrointestinal Digestion, Absorption, and Bioavailability of Algae-Derived Compounds with Neuro-protective Activity: A Comprehensive Review. Mar. Drugs 2022, 20, 362. [Google Scholar] [CrossRef]
- Roohinejad, S.; Koubaa, M.; Barba, F.J.; Saljoughian, S.; Amid, M.; Greiner, R. Application of seaweeds to develop new food products with enhanced shelf-life, quality and health-related beneficial properties. Food Res. Int. 2017, 99, 1066–1083. [Google Scholar] [CrossRef]
- Gbashi, S.; Adebo, O.A.; Piater, L.; Madala, N.E.; Njobeh, P.B. Subcritical Water Extraction of Biological Materials. Sep. Purif. Rev. 2017, 46, 21–34. [Google Scholar] [CrossRef]
- Lorenzo, J.M.; Putnik, P.; Bursać Kovačević, D.; Petrović, M.; Munekata, P.E.; Gómez, B.; Marszałek, K.; Roohinejad, S.; Barba, F.J. Silymarin compounds: Chemistry, innovative extraction techniques and synthesis. Stud. Nat. Prod. Chem. 2020, 64, 111–130. [Google Scholar]
- Santana, A.; Jesus, S.; Larrayoz, M.A.; Filho, R.M. Supercritical Carbon Dioxide Extraction of Algal Lipids for the Biodiesel Production. Procedia Eng. 2012, 42, 1755–1761. [Google Scholar] [CrossRef]
- Tierney, M.S.; Smyth, T.J.; Hayes, M.; Soler-Vila, A.; Croft, A.K.; Brunton, N. Influence of pressurised liquid extraction and solid-liquid extraction methods on the phenolic content and antioxidant activities of Irish macroalgae. Int. J. Food Sci. Technol. 2013, 48, 860–869. [Google Scholar] [CrossRef]
- Sadeghi, A.; Rajabiyan, A.; Nabizade, N.; Meygoli Nezhad, N.; Zarei-Ahmady, A. Seaweed-derived phenolic compounds as diverse bioactive molecules: A review on identification, application, extraction and purification strategies. Int. J Biol. Macromol. 2024, 266, 131147. [Google Scholar] [CrossRef] [PubMed]
- Matos, G.S.; Pereira, S.G.; Genisheva, Z.A.; Gomes, A.M.; Teixeira, J.A.; Rocha, C.M.R. Advances in Extraction Methods to Recover Added-Value Compounds from Seaweeds: Sustainability and Functionality. Foods 2021, 10, 516. [Google Scholar] [CrossRef]
- Bezerra, M.A.; Santelli, R.E.; Oliveira, E.P.; Villar, L.S.; Escaleira, L.A. Response surface methodology (RSM) as a tool for optimization in analytical chemistry. Talanta 2008, 76, 965–977. [Google Scholar] [CrossRef]
- Koocheki, A.; Taherian, A.R.; Razavi, S.M.A.; Bostan, A. Response surface methodology for optimization of extraction yield, viscosity, hue and emulsion stability of mucilage extracted from Lepidium perfoliatum seeds. Food Hydrocoll. 2009, 23, 2369–2379. [Google Scholar] [CrossRef]
- De la Lama-Calvente, D.; Fernández-Rodríguez, M.J.; Garrido-Fernández, A.; Borja, R. Process optimization of the extraction of reducing sugars and total phenolic compounds from the invasive alga Rugulopteryx okamurae by response surface methodology (RSM). Algal Res. 2024, 80, 103500. [Google Scholar] [CrossRef]
- Tsegay, Z.T.; Agriopoulou, S.; Chaari, M.; Smaoui, S.; Varzakas, T. Statistical Tools to Optimize the Recovery of Bioactive Compounds from Marine Byproducts. Mar. Drugs 2024, 22, 182. [Google Scholar] [CrossRef]
- Nursid, M.; Permatasari, A.; Syafitri, U.D.; Batubara, I. Application of Box-Behnken Design for the Extraction of Padina australis. Molekul 2022, 17, 270. [Google Scholar] [CrossRef]
- Rashid, T.; Ali Ammar Taqvi, S.; Sher, F.; Rubab, S.; Thanabalan, M.; Bilal, M.; ul Islam, B. Enhanced lignin extraction and optimisation from oil palm biomass using neural network modelling. Fuel 2021, 293, 120485. [Google Scholar] [CrossRef]
- Tirado-Kulieva, V.A.; Sánchez-Chero, M.; Yarlequé, M.V.; Villegas Aguilar, G.F.; Carrión-Barco, G.; Ygnacio Santa Cruz, A.G.; Sánchez-Chero, J. An Overview on the Use of Response Surface Methodology to Model and Optimize Extraction Processes in the Food Industry. Curr. Res. Nutr. Food Sci. J. 2021, 9, 745–754. [Google Scholar] [CrossRef]
- Andres, A.I.; Petron, M.J.; Lopez, A.M.; Timon, M.L. Optimization of Extraction Conditions to Improve Phenolic Content and In Vitro Antioxidant Activity in Craft Brewers’ Spent Grain Using Response Surface Methodology (RSM). Foods 2020, 9, 1398. [Google Scholar] [CrossRef] [PubMed]
- Belwal, T.; Dhyani, P.; Bhatt, I.D.; Rawal, R.S.; Pande, V. Optimization extraction conditions for improving phenolic content and antioxidant activity in Berberis asiatica fruits using response surface methodology (RSM). Food Chem. 2016, 207, 115–124. [Google Scholar] [CrossRef] [PubMed]
- Zhang, Y.; Hawboldt, K.; MacQuarrie, S. Extraction of bioactive compounds from beach-cast brown algae: A review on accelerated solvent extraction and subcritical water extraction. RSC Sustain. 2024, 2, 2069–2091. [Google Scholar] [CrossRef]
- Quitério, E.; Grosso, C.; Ferraz, R.; Delerue-Matos, C.; Soares, C. A Critical Comparison of the Advanced Extraction Techniques Applied to Obtain Health-Promoting Compounds from Seaweeds. Mar. Drugs 2022, 20, 677. [Google Scholar] [CrossRef]
- Castro-Puyana, M.; Herrero, M.; Mendiola, J.A.; Ibáñez, E. Subcritical water extraction of bioactive components from algae. In Functional Ingredients from Algae for Foods and Nutraceuticals; Elsevier: Amsterdam, The Netherlands, 2013; pp. 534–560. [Google Scholar]
- Cheng, Y.; Xue, F.; Yu, S.; Du, S.; Yang, Y. Subcritical Water Extraction of Natural Products. Molecules 2021, 26, 4004. [Google Scholar] [CrossRef]
- Getachew, A.T.; Jacobsen, C.; Holdt, S.L. Emerging Technologies for the Extraction of Marine Phenolics: Opportunities and Challenges. Mar. Drugs 2020, 18, 389. [Google Scholar] [CrossRef]
- Barroso, M.F.; Ramalhosa, M.J.; Alves, R.C.; Dias, A.; Soares, C.M.D.; Oliva-Teles, M.T.; Delerue-Matos, C. Total antioxidant capacity of plant infusions: Assessment using electrochemical DNA-based biosensor and spectrophotometric methods. Food Control 2016, 68, 153–161. [Google Scholar] [CrossRef]
- Grosso, C.; Moreira, M.M.; Fernandes, V.C.; Barroso, M.F.; Silva, A.; Delerue-Matos, C.; Soares, C. Antioxidant Activity of Food and By-Products: In Vitro Methods. In Extraction, Characterization, and Functional Assessment of Bioactive Compounds Methods and Protocols in Food Science; Springer US: New York, NY, USA, 2024; pp. 19–31. [Google Scholar]
- Seeram, N.P.; Aviram, M.; Zhang, Y.; Henning, S.M.; Feng, L.; Dreher, M.; Heber, D. Comparison of Antioxidant Potency of Commonly Consumed Polyphenol-Rich Beverages in the United States. J. Agric. Food Chem. 2008, 56, 1415–1422. [Google Scholar] [CrossRef]
- Pena-Pereira, F.; Wojnowski, W.; Tobiszewski, M. AGREE—Analytical GREEnness Metric Approach and Software. Anal. Chem. 2020, 92, 10076–10082. [Google Scholar] [CrossRef] [PubMed]
- Wojnowski, W.; Tobiszewski, M.; Pena-Pereira, F.; Psillakis, E. AGREEprep—Analytical greenness metric for sample preparation. TrAC Trends Anal. Chem. 2022, 149, 116553. [Google Scholar] [CrossRef]
- Catarino, M.D.; Silva, A.M.S.; Mateus, N.; Cardoso, S.M. Optimization of phlorotannins extraction from fucus vesiculosus and evaluation of their potential to prevent metabolic disorders. Mar. Drugs 2019, 17, 162. [Google Scholar] [CrossRef] [PubMed]
- Sapatinha, M.; Oliveira, A.; Costa, S.; Pedro, S.; Gonçalves, A.; Mendes, R.; Bandarra, N.M.; Pires, C. Red and brown seaweeds extracts: A source of biologically active compounds. Food Chem. 2022, 393, 133453. [Google Scholar] [CrossRef]
- Sumampouw, G.A.; Jacobsen, C.; Getachew, A.T. Optimization of phenolic antioxidants extraction from Fucus vesiculosus by pressurized liquid extraction. J. Appl. Phycol. 2021, 33, 1195–1207. [Google Scholar] [CrossRef]
- Shen, L.; Pang, S.; Zhong, M.; Sun, Y.; Qayum, A.; Liu, Y.; Rashid, A.; Xu, B.; Liang, Q.; Ma, H.; et al. A comprehensive review of ultrasonic assisted extraction (UAE) for bioactive components: Principles, advantages, equipment, and combined technologies. Ultrason. Sonochem 2023, 101, 106646. [Google Scholar] [CrossRef]
- O’Sullivan, A.M.; O’Callaghan, Y.C.; O’Grady, M.N.; Queguineur, B.; Hanniffy, D.; Troy, D.J.; Kerry, J.P.; O’Brien, N.M. In vitro and cellular antioxidant activities of seaweed extracts prepared from five brown seaweeds harvested in spring from the west coast of Ireland. Food Chem. 2011, 126, 1064–1070. [Google Scholar] [CrossRef]
- Ummat, V.; Tiwari, B.K.; Jaiswal, A.K.; Condon, K.; Garcia-Vaquero, M.; O’Doherty, J.; O’Donnell, C.; Rajauria, G. Optimisation of ultrasound frequency, extraction time and solvent for the recovery of polyphenols, phlorotannins and associated antioxidant activity from brown seaweeds. Mar. Drugs 2020, 18, 250. [Google Scholar] [CrossRef]
- McDonnell, A.; Barone, M.E.; Nash, R.; Touzet, N. Comparative antioxidant potential, proximal biochemical composition, and pigment content of 11 brown seaweeds from the West of Ireland. Food Chem. Adv. 2024, 4, 100699. [Google Scholar] [CrossRef]
- Subbiah, V.; Duan, X.; Agar, O.T.; Dunshea, F.R.; Barrow, C.J.; Suleria, H.A.R. Comparative study on the effect of different drying techniques on phenolic compounds in Australian beach-cast brown seaweeds. Algal Res. 2023, 72, 103140. [Google Scholar] [CrossRef]
- Dhaouafi, J.; Nedjar, N.; Jridi, M.; Romdhani, M.; Balti, R. Extraction of Protein and Bioactive Compounds from Mediterranean Red Algae (Sphaerococcus coronopifolius and Gelidium spinosum) Using Various Innovative Pretreatment Strategies. Foods 2024, 13, 1362. [Google Scholar] [CrossRef] [PubMed]
- Carpena, M.; Garcia-Perez, P.; Garcia-Oliveira, P.; Chamorro, F.; Otero, P.; Lourenço-Lopes, C.; Cao, H.; Simal-Gandara, J.; Prieto, M.A. Biological properties and potential of compounds extracted from red seaweeds. Phytochem. Rev. 2023, 22, 1509–1540. [Google Scholar] [CrossRef] [PubMed]
- Plaza, M.; Amigo-Benavent, M.; del Castillo, M.D.; Ibáñez, E.; Herrero, M. Facts about the formation of new antioxidants in natural samples after subcritical water extraction. Food Res. Int. 2010, 43, 2341–2348. [Google Scholar] [CrossRef]
- Khatulistiani, T.S.; Noviendri, D.; Munifah, I.; Melanie, S. Bioactivities of red seaweed extracts from Banten, Indonesia. IOP Conf. Ser. Earth Environ. Sci. 2019, 404, 012065. [Google Scholar] [CrossRef]
- Pimentel, F.B.; Cermeño, M.; Kleekayai, T.; Harnedy, P.A.; FitzGerald, R.J.; Alves, R.C.; Oliveira, M.B.P.P. Effect of in vitro simulated gastrointestinal digestion on the antioxidant activity of the red seaweed Porphyra dioica. Food Res. Int. 2020, 136, 109309. [Google Scholar] [CrossRef]
- Emu, S.A.; Dulal, M.A.; Kali, T.D.; Chadni, M.S.; Rasul, M.G.; Mondal, M.N.; Ahsan, M.E.; Khan, M.; Shah, A.K.M.A. Effects of extracting solvents on phytochemical, antioxidant, and antibacterial activity of some seaweeds from the Bay of Bengal offshore Island. Food Humanit. 2023, 1, 1157–1166. [Google Scholar] [CrossRef]
- Khan, A.B.S.; Ullah, R.; Akhter, M.; Hasan, M.; Yasmin, F.; Bosu, A.; Haque, M.A.; Islam, M.; Amin, A.; Islam, A.; et al. Effect of distinct drying approach on bioactive compounds and nutritional profiling of Ulva intestinalis and Padina tetrastromatica from the Bay of Bengal, Bangladesh. Food Chem. Adv. 2024, 5, 100778. [Google Scholar] [CrossRef]
- Gunathilake, T.; Akanbi, T.O.; Wang, B.; Barrow, C.J. Antioxidant benefits of Ecklonia radiata algae phenolic extracts in food grade omega-3 delivery systems. Future Foods 2024, 10, 100406. [Google Scholar] [CrossRef]
- Vaghela, P.; Trivedi, K.; Anand, K.G.V.; Nayak, J.; Vyas, D.; Ghosh, A. Aqueous homogenate of fresh Ulva lactuca for ameliorating nutrient deficiency—A nutraceutical alternative to using whole seaweeds. Algal Res. 2023, 74, 103211. [Google Scholar] [CrossRef]
- Vignesh, A.; Amal, T.C.; Sarvalingam, A.; Vasanth, K. A review on the influence of nutraceuticals and functional foods on health. Food Chem. Adv. 2024, 5, 100749. [Google Scholar] [CrossRef]
- Kumar, N.; Goel, N. Phenolic acids: Natural versatile molecules with promising therapeutic applications. Biotechnol. Rep. 2019, 24, e00370. [Google Scholar] [CrossRef] [PubMed]
- Belhadj, R.N.A.; Mellinas, C.; Jiménez, A.; Bordehore, C.; Garrigós, M.C. Invasive Seaweed Rugulopteryx okamurae: A Potential Source of Bioactive Compounds with Antioxidant Activity. Antioxidants 2024, 13, 1298. [Google Scholar] [CrossRef] [PubMed]
- Chaves, N.; Santiago, A.; Alías, J.C. Quantification of the Antioxidant Activity of Plant Extracts: Analysis of Sensitivity and Hierarchization Based on the Method Used. Antioxidants 2020, 9, 76. [Google Scholar] [CrossRef] [PubMed]
- Carreira-Casais, A.; Otero, P.; Garcia-Perez, P.; Garcia-Oliveira, P.; Pereira, A.G.; Carpena, M.; Soria-Lopez, A.; Simal-Gandara, J.; Prieto, M.A. Benefits and drawbacks of ultrasound-assisted extraction for the recovery of bioactive compounds from marine algae. Int. J. Environ. Res. Public Health 2021, 18, 9153. [Google Scholar] [CrossRef] [PubMed]
- Irianto, I.; Naryaningsih, A.; Trisnawati, N.W.; Astuti, A.; Komariyah, K.; Qomariyah, L.; Chaidir, C.; Saputri, A.; Wulandari, R.; Rizkiyah, D.N.; et al. From sea to solution: A review of green extraction approaches for unlocking the potential of brown algae. S. Afr. J. Chem. Eng. 2024, 48, 1–21. [Google Scholar] [CrossRef]
- Wardani, N.I.; Samkumpim, T.; Alahmad, W.; King, A.W.; Varanusupakul, P.; Shishov, A.; Yahaya, N.; Zain, N.N.M. Recent cutting-edge approaches to the integration of solid-liquid extraction with deep eutectic solvents: Toward a greener procedure for biomass valorization. Adv. Sample Prep. 2024, 10, 100113. [Google Scholar] [CrossRef]







| Seaweed | E. bicyclis | F. vesiculosus | H. elongata | U. pinnatifida | |||||
|---|---|---|---|---|---|---|---|---|---|
| Temperature (°C) | 75 | 75 | 55.2 | 75 | |||||
| Ratio (g/mL) | 1:75 | 1:75 | 1:74 | 1:100 | |||||
| Time (h) | 1 | 1 | 3.5 | 1 | |||||
| Best model | CCD | CCD | CCD | CCD | |||||
| Response | TPC (mg GAE/g d.w.) | FRAP (mg AA/g d.w.) | TPC (mg GAE/g d.w.) | FRAP (mg AA/g d.w.) | TPC (mg GAE/g d.w.) | FRAP (mg AA/g d.w.) | TPC (mg GAE/g d.w.) | FRAP (mg AA/g d.w.) | |
| Model | Quadratic | N.A | Reduced Cubic | N.A | N.A | Reduced Cubic | Cubic | Reduced Cubic | |
| Parameters | Model (p-value) | 0.0002 | Null | 0.0338 | Null | Null | 0.0004 | 0.0028 | 0.0111 |
| Lack-of-fit | 0.142 | 0.350 | 0.0630 | 0.994 | 0.326 | ||||
| (p-value) R2 | 0.971 | 0.689 | 0.960 | 0.996 | 0.854 | ||||
| Adjusted R2 | 0.933 | 0.502 | 0.908 | 0.981 | 0.707 | ||||
| Predicted R2 | 0.783 | 0.0696 | 0.706 | 0.994 | 0.437 | ||||
| Adeq precision | 15.5 | 7.51 | 15.9 | 28.9 | 9.35 | ||||
| Equation | (a) | - | (b) | - | - | (c) | - | (d) | |
| Predicted Value | 19.1 | - | 45.1 | - | - | 54.5 | 4.62 | 17.8 | |
| Real Value | 21.1 | 195 | 44.4 | 178 | 9.98 | 36.5 | 2.54 | 16.6 | |
| Seaweed | C. crispus | G. gracilis | P. palmata | P. dioica | |||||
|---|---|---|---|---|---|---|---|---|---|
| Temperature (°C) | 69 | 73 | 25 | 75 | |||||
| Ratio (g/mL) | 1:75 | 1:75 | 1:75 | 1:75 | |||||
| Time (h) | 3 | 1.51 | 3 | 3 | |||||
| Best model | CCD | BBD | BBD | BBD | |||||
| Response | TPC (mg GAE/g d.w.) | FRAP (mg AA/g d.w.) | TPC (mg GAE/g d.w.) | FRAP (mg AA/g d.w.) | TPC (mg GAE/g d.w.) | FRAP (mg AA/g d.w.) | TPC (mg GAE/g d.w.) | FRAP (mg AA/g d.w.) | |
| Model | Quadratic | Reduced Quadratic | Quadratic | N.A | N.A | N.A | N.A | Linear | |
| Parameters | Model (p-value) | 0.0123 | 0.0004 | 0.0019 | Null | Null | Null | Null | 0.0235 |
| Lack-of-fit | 0.206 | 0.333 | 0.0952 | 0.719 | |||||
| (p-value) R2 | 0.889 | 0.675 | 0.974 | 0.563 | |||||
| Adjusted R2 | 0.747 | 0.629 | 0.928 | 0.444 | |||||
| Predicted R2 | 0.0682 | 0.540 | 0.610 | 0.172 | |||||
| Adeq precision | 10.5 | 7.33 | 14.6 | 7.01 | |||||
| Equation | (a) | (b) | (c) | - | - | - | - | (d) | |
| Predicted Value | 3.80 | 10.4 | 3.36 | - | - | - | - | 5.47 | |
| Real Value | 2.10 | 7.19 | 2.87 | 13.3 | 1.10 | 4.78 | 1.17 | 4.68 | |
| Seaweed | C. tomentosum | U. lactuca | |||
|---|---|---|---|---|---|
| A-Temperature (°C) | 75 | 75 | |||
| B-Ratio (g/mL) | 1:75 | 1:100 | |||
| C-Time (h) | 1 | 5 | |||
| Best model | BBD | CCD | |||
| Response | TPC (mg GAE/g d.w.) | FRAP (mg AA/g d.w.) | TPC (mg GAE/g d.w.) | FRAP (mg AA/g d.w.) | |
| Model | Reduced Quadratic | Quadratic | Reduced Cubic | Quadratic | |
| Parameters | Model (p-value) | 0.0123 | 0.0002 | 0.0012 | 0.0063 |
| Lack-of-fit | 0.206 | 0.520 | 0.5297 | 0.614 | |
| (p-value) R2 | 0.889 | 0.990 | 0.756 | 0.910 | |
| Adjusted R2 | 0.747 | 0.972 | 0.674 | 0.794 | |
| Predicted R2 | 0.0682 | 0.893 | 0.466 | 0.370 | |
| Adeq precision | 10.5 | 26.9 | 9.85 | 11.4 | |
| Equation | (a) | (b) | (c) | (d) | |
| Predicted Value | 3.22 | 15.0 | 4.77 | 10.3 | |
| Real value | 2.21 | 14.8 | 2.35 | 10.6 | |
| C. crispus | C. tomentosum | E. bicyclis | F. vesiculosus | G. gracilis | H. elongata | P. dioica | P. palmata | U. lactuca | U. pinnatifida | ||
|---|---|---|---|---|---|---|---|---|---|---|---|
| FRAP index (%) | SWE 140 °C | 7.19 | 4.29 | 40.1 | 34.4 | 14.4 | 24.7 | 4.92 | 8.07 | 7.13 | 15.6 |
| SWE 190 °C | 44.1 | 21.9 | 100 | 81.4 | 43.5 | 79.2 | 35.8 | 35.6 | 48.1 | 91.9 | |
| UAE 10 min | 2.04 | 2.46 | 20.9 | 11.8 | 1.74 | 6.01 | 3.25 | 2.13 | 3.20 | 3.66 | |
| UAE 20 min | 2.54 | 3.09 | 19.9 | 15.8 | 1.99 | 5.87 | 4.21 | 2.31 | 4.57 | 4.57 | |
| SLE | 1.84 | 1.82 | 5.35 | 3.42 | 4.65 | 1.10 | 0.63 | 1.80 | 3.73 | 1.20 | |
| ABTS index(%) | SWE 140 °C | 9.96 | 13.7 | 64.7 | 55.5 | 13.9 | 38.8 | 7.28 | 12.2 | 12.4 | 16.9 |
| SWE 190 °C | 15.4 | 18.5 | 100 | 55.2 | 17.1 | 65.3 | 14.8 | 14.4 | 36.8 | 68.7 | |
| UAE 10 min | 3.39 | 8.03 | 58.3 | 31.1 | 3.11 | 12.8 | 2.23 | 2.39 | 5.83 | 5.59 | |
| UAE 20 min | 3.86 | 19.8 | 50.5 | 28.8 | 3.91 | 13.1 | 2.75 | 1.85 | 7.48 | 5.66 | |
| SLE | 0.300 | 9.32 | 2.99 | 12.6 | 2.02 | 7.41 | 2.42 | 10.1 | 1.47 | 0.360 | |
| APCI | 9.06 | 10.29 | 46.27 | 33.02 | 10.63 | 25.41 | 7.82 | 9.09 | 13.07 | 21.42 | |
| TPC | FRAP | ABTS | |
|---|---|---|---|
| TPC | 1 | 0.904 | 0.797 |
| FRAP | 0.904 | 1 | 0.838 |
| ABTS | 0.797 | 0.838 | 1 |
Disclaimer/Publisher’s Note: The statements, opinions and data contained in all publications are solely those of the individual author(s) and contributor(s) and not of MDPI and/or the editor(s). MDPI and/or the editor(s) disclaim responsibility for any injury to people or property resulting from any ideas, methods, instructions or products referred to in the content. |
© 2025 by the authors. Licensee MDPI, Basel, Switzerland. This article is an open access article distributed under the terms and conditions of the Creative Commons Attribution (CC BY) license (https://creativecommons.org/licenses/by/4.0/).
Share and Cite
Santos, F.; Soares, C.; Morais, S.L.; Neves, C.; Grosso, C.; Ramalhosa, M.J.; Vieira, M.; Delerue-Matos, C.; Domingues, V.F. Optimized Extraction Protocols for Bioactive Antioxidants from Commercial Seaweeds in Portugal: A Comparative Study of Techniques. Foods 2025, 14, 453. https://doi.org/10.3390/foods14030453
Santos F, Soares C, Morais SL, Neves C, Grosso C, Ramalhosa MJ, Vieira M, Delerue-Matos C, Domingues VF. Optimized Extraction Protocols for Bioactive Antioxidants from Commercial Seaweeds in Portugal: A Comparative Study of Techniques. Foods. 2025; 14(3):453. https://doi.org/10.3390/foods14030453
Chicago/Turabian StyleSantos, Francisca, Cristina Soares, Stephanie L. Morais, Cátia Neves, Clara Grosso, Maria João Ramalhosa, Mónica Vieira, Cristina Delerue-Matos, and Valentina F. Domingues. 2025. "Optimized Extraction Protocols for Bioactive Antioxidants from Commercial Seaweeds in Portugal: A Comparative Study of Techniques" Foods 14, no. 3: 453. https://doi.org/10.3390/foods14030453
APA StyleSantos, F., Soares, C., Morais, S. L., Neves, C., Grosso, C., Ramalhosa, M. J., Vieira, M., Delerue-Matos, C., & Domingues, V. F. (2025). Optimized Extraction Protocols for Bioactive Antioxidants from Commercial Seaweeds in Portugal: A Comparative Study of Techniques. Foods, 14(3), 453. https://doi.org/10.3390/foods14030453

