Prolonged Proofing Modulates the Acrylamide Content, Nutritional and Functional Characteristics of Pumpkin (Cucurbita maxima Plomo) and Soft Wheat Composite Bread
Abstract
1. Introduction
2. Materials and Methods
2.1. Raw Materials and Ingredients
2.2. Breadmaking
2.3. Quality Features of Breads
Weight Loss and a Specific Volume
2.4. Physicochemical Characterization of Breads
2.4.1. Texture Profile Analysis of Bread
2.4.2. Measurement of Bread Porosity
2.5. Antioxidant Activity, Total Phenolic and Reducing Sugar Contents
2.5.1. Extract Preparation
2.5.2. Determination of Total Phenolic Compounds
2.5.3. Determination of Antioxidant and Oxidoreductive Activities
2.5.4. Determination of Reducing Sugar Content
2.6. Acrylamide Analysis
2.7. Statistical Analysis
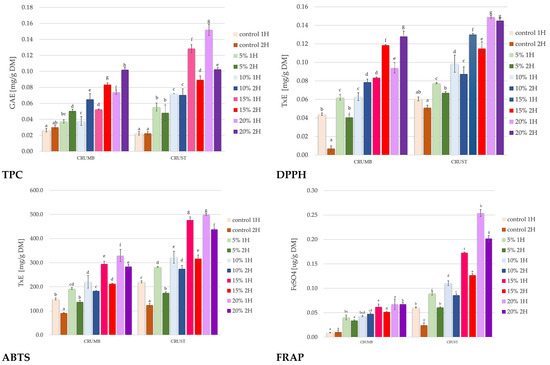
3. Results and Discussion
4. Conclusions
Supplementary Materials
Author Contributions
Funding
Institutional Review Board Statement
Informed Consent Statement
Data Availability Statement
Acknowledgments
Conflicts of Interest
References
- International Agency on Research on Cancer (IARC). Monographs on the evaluation of carcinogenic risks to humans. In Some In-dustrial Chemicals; IARC: Lyon, France, 1994; pp. 389–433. [Google Scholar]
- Matoso, V.; Bargi-Souza, P.; Ivanski, F.; Romano, M.A.; Romano, R.M. Acrylamide: A review about its toxic effects in the light of Developmental Origin of Health and Disease (DOHaD) concept. Food Chem. 2019, 283, 422–430. [Google Scholar] [CrossRef]
- Zyzak, D.V.; Sanders, R.A.; Stojanovic, M.; Tallmadge, D.H.; Eberhart, B.L.; Ewald, D.K.; Gruber, D.C.; Morsch, T.R.; Strothers, M.A.; Rizzi, G.P.; et al. Acrylamide Formation Mechanism in Heated Foods. J. Agric. Food Chem. 2003, 51, 4782–4787. [Google Scholar] [CrossRef] [PubMed]
- Hamlet, C.G.; Sadd, P.A.; Liang, L. Correlations between the Amounts of Free Asparagine and Saccharides Present in Commercial Cereal Flours in the United Kingdom and the Generation of Acrylamide during Cooking. J. Agric. Food Chem. 2008, 56, 6145–6153. [Google Scholar] [CrossRef]
- Sadd, P.A.; Hamlet, C.G.; Liang, L. Effectiveness of Methods for Reducing Acrylamide in Bakery Products. J. Agric. Food Chem. 2008, 56, 6154–6161. [Google Scholar] [CrossRef] [PubMed]
- Taeymans, D.; Wood, J.; Ashby, P.; Blank, I.; Studer, A.; Stadler, R.H.; Gondé, P.; Eijck, P.; Lalljie, S.; Lingnert, H.; et al. A Review of Acrylamide: An Industry Perspective on Research, Analysis, Formation, and Control. Crit. Rev. Food Sci. Nutr. 2004, 44, 323–347. [Google Scholar] [CrossRef]
- Çebi, A. Acrylamide Intake, Its Effects on Tissues and Cancer, 1st ed.; Elsevier: Amsterdam, The Netherlands, 2016; Chapter 4. [Google Scholar] [CrossRef]
- Mollakhalili-Meybodi, N.; Khorshidian, N.; Nematollahi, A.; Arab, M. Acrylamide in bread: A review on formation, health risk assessment, and determination by analytical techniques. Environ. Sci. Pollut. Res. 2021, 28, 15627–15645. [Google Scholar] [CrossRef]
- Sarion, C.; Codină, G.G.; Dabija, A. Acrylamide in Bakery Products: A Review on Health Risks, Legal Regulations and Strategies to Reduce Its Formation. Int. J. Environ. Res. Public Health 2021, 18, 4332. [Google Scholar] [CrossRef] [PubMed] [PubMed Central]
- Surdyk, N.; Rosén, J.; Andersson, R.; Åman, P. Effects of Asparagine, Fructose, and Baking Conditions on Acrylamide Content in Yeast-Leavened Wheat Bread. J. Agric. Food Chem. 2004, 52, 2047–2051. [Google Scholar] [CrossRef]
- Rosén, J.; Nyman, A.; Hellenäs, K.-E. Retention studies of acrylamide for the design of a robust liquid chromatography–tandem mass spectrometry method for food analysis. J. Chromatogr. A 2007, 1172, 19–24. [Google Scholar] [CrossRef]
- Fink, M.; Andersson, R.; Rosén, J.; Åman, P. Effect of Added Asparagine and Glycine on Acrylamide Content in Yeast-Leavened Bread. Cereal Chem. 2006, 83, 218–222. [Google Scholar] [CrossRef]
- Lopez-Moreno, C.; Fernández-Palacios, S.; Márquez, P.R.; Márquez, S.J.R.; Montosa, C.R.; Otero, J.C.; Navarrete, J.T.L.; Ortiz, R.P.; Delgado, M.C.R. Assessment of Acrylamide Levels and Evaluation of Physical Attributes in Bread Made with Sourdough and Prolonged Fermentation. Food Sci. Eng. 2023, 5, 34–48. [Google Scholar] [CrossRef]
- Forstova, V.; Belkova, B.; Riddellova, K.; Vaclavik, L.; Prihoda, J.; Hajslova, J. Acrylamide formation in traditional Czech leavened wheat-rye breads and wheat rolls. Food Control 2014, 38, 221–226. [Google Scholar] [CrossRef]
- Rydberg, P.; Eriksson, S.; Tareke, E.; Karlsson, P.; Ehrenberg, L.; Törnqvist, M. Investigations of Factors That Influence the Acrylamide Content of Heated Foodstuffs. J. Agric. Food Chem. 2003, 51, 7012–7018. [Google Scholar] [CrossRef]
- Dastmalchi, F.; Razavi, S.H.; Faraji, M.; Labbafi, M. Effect of Lactobacillus casei- casei and Lactobacillus reuteri on acrylamide formation in flat bread and Bread roll. J. Food Sci. Technol. 2015, 53, 1531–1539. [Google Scholar] [CrossRef]
- Gallani, B.; Curtis, A. The Revised Food Drink Europe ‘Acrylamide Toolbox’; FoodDrinkEurope: Brussels, Belgium, 2011. [Google Scholar]
- Fredriksson, H.; Tallving, J.; Rosén, J.; Åman, P. Fermentation Reduces Free Asparagine in Dough and Acrylamide Content in Bread. Cereal Chem. 2004, 81, 650–653. [Google Scholar] [CrossRef]
- Benedito de Barber, C.; Preito, J.A.; Collar, C. Reversed-phase high-performance liquid chromatography analysis of changes in free amino acids during wheat bread dough fermentation. Cereal Chem. 1989, 66, 283–288. [Google Scholar]
- FDE. FoodDrinkEurope Acrylamide Toolbox. 2019. Available online: https://www.fooddrinkeurope.eu/wp-content/uploads/2021/05/FoodDrinkEurope_Acrylamide_Toolbox_2019.pdf (accessed on 4 December 2024).
- Ghendov-Mosanu, A.; Netreba, N.; Balan, G.; Cojocari, D.; Boestean, O.; Bulgaru, V.; Gurev, A.; Popescu, L.; Deseatnicova, O.; Resitca, V.; et al. Effect of Bioactive Compounds from Pumpkin Powder on the Quality and Textural Properties of Shortbread Cookies. Foods 2023, 12, 3907. [Google Scholar] [CrossRef]
- Hussain, A.; Kausar, T.; Din, A.; Murtaza, A.; Jamil, M.A.; Noreen, S.; Iqbal, M.A. Antioxidant and Antimicrobial Properties of Pumpkin (Cucurbita maxima) Peel, Flesh and Seeds Powders. J. Biol. Agric. Healthc. 2021, 11, 42–51. [Google Scholar] [CrossRef]
- Xie, J.; Wang, C.; Zhang, B.; Yang, A.; Yin, Q.; Huang, H.; Chen, M. Cucurmosin induces the apoptosis of human pancreatic cancer CFPAC-1 cells by inactivating the PDGFR-β signalling pathway. Pharmacol. Rep. 2013, 65, 682–688. [Google Scholar] [CrossRef]
- Caili, F.; Haijun, T.; Tongyi, C.; Yi, L.; Quanhong, L. Some properties of an acidic protein-bound polysaccharide from the fruit of pumpkin. Food Chem. 2005, 100, 944–947. [Google Scholar] [CrossRef]
- Leljak-Levanić, D.; Čipčić Paljetak, H.; Uzelac, L.; Mihaljević, S.; Bauer, N.; Krsnik-Rasol, M.; Jelaska, S. Extracellular gly-coproteins in embryogenic culture of pumpkin (Cucurbita pepo L.). Food Technol. Biotechnol. 2011, 49, 156–161. [Google Scholar]
- Que, F.; Mao, L.; Fang, X.; Wu, T. Comparison of hot air-drying and freeze-drying on the physicochemical properties and antioxidant activities of pumpkin (Cucurbita moschata Duch.) flours. Int. J. Food Sci. Technol. 2008, 43, 1195–1201. [Google Scholar] [CrossRef]
- Yang, X.; Zhao, Y.; Lv, Y. Chemical composition and antioxidant activity of an acidic polysaccharide extractedfrom Cucurbita moschata Duchesne ex Poiret. J. Agric. Food Chem. 2007, 55, 4684–4690. [Google Scholar] [CrossRef]
- Hussain, A.; Kausar, T.; Aslam, J.; Quddoos, M.Y.; Ali, A.; Kauser, S.; Zerlasht, M.; Rafique, A.; Noreen, S.; Iftikhar, K.; et al. Physical and Rheological Studies of Biscuits Developed with Different Replacement Levels of Pumpkin (Cucurbita maxima) Peel, Flesh, and Seed Powders. J. Food Qual. 2023, 2023, 4362094. [Google Scholar] [CrossRef]
- Shajan, A.E.; Dash, K.K.; Hamid; Bashir, O.; Shams, R. Comprehensive comparative insights on physico-chemical characteristics, bioactive components, and therapeutic potential of pumpkin fruit. Futur. Foods 2024, 9, 100312. [Google Scholar] [CrossRef]
- Hussain, A.; Kausar, T.; Sehar, S.; Sarwar, A.; Ashraf, A.H.; Jamil, M.A.; Noreen, S.; Rafique, A.; Iftikhar, K.; Quddoos, M.Y.; et al. A Comprehensive review of functional ingredients, especially bioactive compounds present in pumpkin peel, flesh and seeds, and their health benefits. Food Chem. Adv. 2022, 1, 100067. [Google Scholar] [CrossRef]
- Hoxha, I.; Hoxha, B.; Xhabiri, G.; Shala, N.; Dreshaj, A.; Durmishi, N. The Effect of the Addition of Pumpkin Flour on the Rheological, Nutritional, Quality, and Sensory Properties of Bread. Ecol. Eng. Environ. Technol. 2023, 24, 178–185. [Google Scholar] [CrossRef]
- Aukkanit, N.; Sirichokworraki, S. Effect of dried pumpkin powder on physical, Chemical, and sensory properties of noodle. In Proceedings of the Academics World 52nd International Conference, Los Angeles, CA, USA, 21–22 November 2016; pp. 128–132. [Google Scholar]
- Wahyono, A.; Tifania, A.Z.; Kurniawati, E.; Kasutjianingati; Kang, W.W.; Chung, S.K. Physical properties and cellular structure of bread enriched with pumpkin flour. IOP Conf. Ser. Earth Environ. Sci. 2018, 207, 012054. [Google Scholar] [CrossRef]
- Różyło, R.; Gawlik-Dziki, U.; Dziki, D.; Jakubczyk, A.; Karaś, M.; Różyło, K. Wheat Bread with Pumpkin (Cucurbita maxima L.) Pulp as a Functional Food Product. Food Technol. Biotechnol. 2014, 52, 430–438. [Google Scholar] [CrossRef]
- Pongjanta, J.; Naulbunrang, A.; Kawngdang, S.; Manon, T.; Thepjaikat, T. Utilization of pumpkin powder in bakery products. Songklanakarin J. Sci. Technol. 2006, 28, 71–79. [Google Scholar]
- Hwang, E.-S.; Park, T.Y. Effect of Adding Pumpkin-Sweet Potato Powder on Cookie Quality Characteristics, Antioxidant Activity, and Acrylamide Reduction. J. Korean Soc. Food Sci. Nutr. 2022, 51, 1312–1320. [Google Scholar] [CrossRef]
- Zhou, X.; Duan, M.; Gao, S.; Wang, T.; Wang, Y.; Wang, X.; Zhou, Y. A strategy for reducing acrylamide content in wheat bread by combining acidification rate and prerequisite substance content of Lactobacillus and Saccharomyces cerevisiae. Curr. Res. Food Sci. 2022, 5, 1054–1060. [Google Scholar] [CrossRef] [PubMed]
- Khorshidian, N.; Yousefi, M.; Shadnoush, M.; Siadat, S.D.; Mohammadi, M.; Mortazavian, A.M. Using probiotics for mitigation of acrylamide in food products: A mini review. Curr. Opin. Food Sci. 2020, 32, 67–75. [Google Scholar] [CrossRef]
- Oledzki, R.; Harasym, J. Boiling vs. Microwave Heating—The Impact on Physicochemical Characteristics of Bell Pepper (Capsicum annuum L.) at Different Ripening Stages. Appl. Sci. 2023, 13, 8175. [Google Scholar] [CrossRef]
- Morreale, F.; Garzon, R.; Rosell, C.M. Understanding the role of hydrocolloids viscosity and hydration in developing gluten-free bread. A study with hydroxypropylmethylcellulose. Food Hydrocoll. 2018, 77, 629–635. [Google Scholar] [CrossRef]
- Harasym, J.; Satta, E.; Kaim, U. Ultrasound Treatment of Buckwheat Grains Impacts Important Functional Properties of Resulting Flour. Molecules 2020, 25, 3012. [Google Scholar] [CrossRef]
- Sridhar, K.; Charles, A.L. In vitro antioxidant activity of Kyoho grape extracts in DPPH• and ABTS• assays: Estimation methods for EC50 using advanced statistical programs. Food Chem. 2018, 275, 41–49. [Google Scholar] [CrossRef]
- Re, R.; Pellegrini, N.; Proteggente, A.; Pannala, A.; Yang, M.; Rice-Evans, C. Antioxidant activity applying an improved ABTS radical cation decolorization assay. Free Radic. Biol. Med. 1999, 26, 1231–1237. [Google Scholar] [CrossRef]
- Hu, R.; Lin, L.; Liu, T.; Ouyang, P.; He, B.; Liu, S. Reducing Sugar Content in Hemicellulose Hydrolysate by DNS Method: A Revisit. J. Biobased Mater. Bioenergy 2008, 2, 156–161. [Google Scholar] [CrossRef]
- Harasym, J.; Ol˛edzki, R. The Mutual Correlation of Glucose, Starch, and Beta-Glucan Release During Microwave Heating and Antioxidant Activity of Oat Water Extracts. Food Bioprocess Technol. 2018, 11, 874–884. [Google Scholar] [CrossRef]
- Zhao, H. Quantification of Acrylamide in a Variety of Food Matrices by LC/MS/MS Triple Quadrupole; Agilent Technologies Application Note, 5994-0820EN; Agilent Technologies: Santa Clara, CA, USA, 2019. [Google Scholar]
- Tang, D.; Chen, M.; Huang, X.; Zhang, G.; Zeng, L.; Zhang, G.; Wu, S.; Wang, Y. SRplot: A free online platform for data visualization and graphing. PLoS ONE 2023, 18, e0294236. [Google Scholar] [CrossRef] [PubMed]
- Liubych, V.; Novikov, V.; Pushka, O.; Pushka, I.; Cherchel, V.; Kyrpa, M.; Kolibabchuk, T.; Kirian, V.; Moskalets, V.; Moskalets, T. Development of wheat bread recipe with pumpkin paste. Eastern-European J. Enterp. Technol. 2023, 1, 60–68. [Google Scholar] [CrossRef]
- Davoudi, Z.; Shahedi, M.; Kadivar, M. Effects of pumpkin powder addition on the rheological, sensory, and quality attributes of Taftoon bread. Cereal Chem. 2020, 97, 904–911. [Google Scholar] [CrossRef]
- See, E.F.; Nadiah, W.; Aziah, N. Physico-Chemical and Sensory Evaluation of Breads Supplemented with Pumpkin Flour. ASEAN Food J. 2007, 14, 123–130. [Google Scholar]
- El-Demery, M.E. Evaluation of Physico-Chemical Properties of Toast Bread Fortified with Pumpkin (Cucurbita moschata) Flour, Proceedings of the 6th Arab and 3rd International Annual Scientific Conference on Development of Higher Specific Education Programs in Egypt and the Arab World in the Light of Knowledge Era Requirements; Faculty of Specific Education, Mansoura University: Mansoura, Egypt, 2011; pp. 13–14. [Google Scholar]
- Chikpah, S.K.; Korese, J.K.; Hensel, O.; Sturm, B.; Pawelzik, E. Influence of blend proportion and baking conditions on the quality attributes of wheat, orange-fleshed sweet potato and pumpkin composite flour dough and bread: Optimization of processing factors. Discov. Food 2023, 3, 1–24. [Google Scholar] [CrossRef]
- Wongsagonsup, R.; Kittisuban, P.; Yaowalak, A.; Suphantharika, M. Physical and sensory qualities of composite wheat-pumpkin flour bread with addition of hydrocolloids. Int. Food Res. J. 2015, 22, 745–752. [Google Scholar]
- Păucean, A.; Man, S. Physico-Chemical and Sensory Evaluations of Wheat Bread with Pumpkin (Cucurbita Maxima) Pulp Incorporated. J. Agroaliment. Process. Technol. 2014, 20, 26–32. [Google Scholar]
- Ge, F.; Wu, P.; Chen, X.D. Evolutions of rheology, microstructure and starch hydrolysis of pumpkin-enriched bread during simulated gastrointestinal digestion. Int. J. Food Sci. Technol. 2021, 56, 6000–6010. [Google Scholar] [CrossRef]
- Ma, S.; Wang, Z.; Liu, N.; Zhou, P.; Bao, Q.; Wang, X. Effect of wheat bran dietary fibre on the rheological properties of dough during fermentation and Chinese steamed bread quality. Int. J. Food Sci. Technol. 2020, 56, 1623–1630. [Google Scholar] [CrossRef]
- Staichok, A.C.B.; Mendonça, K.R.B.; Santos, P.G.A.D.; Garcia, L.G.C.; Damiani, C. Pumpkin Peel Flour (Cucurbita máxima L.)—Characterization and Technological Applicability. J. Food Nutr. Res. 2016, 4, 327–333. [Google Scholar]
- Jeevitha, G.R.; Bhuvana, S. Study on the impact of pumpkin seed flour on whole wheat bread characteristics. Int. J. Chem. Stud. 2019, 7, 273–277. [Google Scholar]
- Shevchenko, A.; Litvynchuk, S.; Drobot, V. Changes in structural units in dough and bread from wheat flour with the addition of pumpkin cellulose in combination with phospholipids. EUREKA Life Sci. 2023, 3, 34–43. [Google Scholar] [CrossRef]
- Rakcejeva, T.; Galoburda, R.; Cude, L.; Strautniece, E. Use of dried pumpkins in wheat bread production. Procedia Food Sci. 2011, 1, 441–447. [Google Scholar] [CrossRef]
- Kampuse, S.; Ozola, L.; Straumite, E.; Galoburda, R. Quality Parameters Of Wheat Bread Enriched With Pumpkin (Cucurbita Moschata) By-Products. Acta Univ. Cibiniensis. Ser. E Food Technol. 2015, 19, 3–14. [Google Scholar] [CrossRef]
- Batista, J.E.R.; Braga, L.P.; Oliveira, R.C.D.; Silva, E.P.; Damiani, C. Partial replacement of wheat flour by pumpkin seed flour inthe production of cupcakes filled with carob. Food Sci. Technol. Res. 2018, 38, 250–254. [Google Scholar] [CrossRef]
- Erbas, M.; Sekerci, H.; Arslan, S.; Durak, A.N. Effect of sodium metabisulfite addition and baking temperature on maillard reaction in bread. J. Food Qual. 2012, 35, 144–151. [Google Scholar] [CrossRef]
- Chhanwal, N.; Anandharamakrishnan, C. Temperature- and Moisture-Based Modeling for Prediction of Starch Gelatinization and Crumb Softness during Bread-Baking Process. J. Texture Stud. 2014, 45, 462–476. [Google Scholar] [CrossRef]
- Yu, G.; Zhao, J.; Wei, Y.; Huang, L.; Li, F.; Zhang, Y.; Li, Q. Physicochemical Properties and Antioxidant Activity of Pumpkin Polysaccharide (Cucurbita moschata Duchesne ex Poiret) Modified by Subcritical Water. Foods 2021, 10, 197. [Google Scholar] [CrossRef]
- Wahyono, A.; Dewi, A.C.; Oktavia, S.; Jamilah, S.; Kang, W.W. Antioxidant activity and total phenolic contents of bread enriched with pumpkin flour. IOP Conf. Ser. Earth Environ. Sci. 2020, 411, 012049. [Google Scholar] [CrossRef]
- Akbaş, M.; Kılmaoğlu, H. Evaluation of The Effects of The Use of Vegetable and Fruit Extracts on Bread Quality Properties. Turk. J. Agric.-Food Sci. Technol. 2022, 10, 1838–1844. [Google Scholar] [CrossRef]
- Aljahani, A.H. Wheat-yellow pumpkin composite flour: Physico-functional, rheological, antioxidant potential and quality properties of pan and flat bread. Saudi J. Biol. Sci. 2022, 29, 3432–3439. [Google Scholar] [CrossRef] [PubMed]
- Mrázková, M.; Sumczynski, D.; Orsavová, J. Influence of Storage Conditions on Stability of Phenolic Compounds and Antioxidant Activity Values in Nutraceutical Mixtures with Edible Flowers as New Dietary Supplements. Antioxidants 2023, 12, 962. [Google Scholar] [CrossRef] [PubMed]
- Karaś, M.; Szymanowska, U.; Borecka, M.; Jakubczyk, A.; Kowalczyk, D. Antioxidant Properties of Wafers with Added Pumpkin Seed Flour Subjected to In Vitro Digestion. Appl. Sci. 2024, 14, 5129. [Google Scholar] [CrossRef]
- Aljobair, M.O. Enrichment of Bread With Green Pumpkin, Watermelon and Cucumber Peels: Physicochemical, Pasting, Rheological, Antioxidant and Organoleptic Properties. J. Food Qual. 2024, 2024, 6649325. [Google Scholar] [CrossRef]
- Fan, W.; Zhao, J.; Li, Q. Effect of different food additives on the color protection of instant pumpkin flour. Food Chem. Adv. 2023, 3, 100413. [Google Scholar] [CrossRef]
- Platzer, M.; Kiese, S.; Herfellner, T.; Schweiggert-Weisz, U.; Eisner, P. How Does the Phenol Structure Influence the Results of the Folin-Ciocalteu Assay? Antioxidants 2021, 10, 811. [Google Scholar] [CrossRef]
- Loi, M.; Paciolla, C. Plant Antioxidants for Food Safety and Quality: Exploring New Trends of Research. Antioxidants 2021, 10, 972. [Google Scholar] [CrossRef] [PubMed] [PubMed Central]
- Lin, C.T.; Tejano, L.A.; Panjaitan, F.C.A.; Permata, V.N.S.; Sevi, T.; Chang, Y.W. Protein identification and potential bioactive peptides from pumpkin (Cucurbita maxima) seeds. Food Sci. Nutr. 2024, 12, 5388–5402. [Google Scholar] [CrossRef] [PubMed] [PubMed Central]
- Mokhtar, M.; Bouamar, S.; Di Lorenzo, A.; Temporini, C.; Daglia, M.; Riazi, A. The Influence of Ripeness on the Phenolic Content, Antioxidant and Antimicrobial Activities of Pumpkins (Cucurbita moschata Duchesne). Molecules 2021, 26, 3623. [Google Scholar] [CrossRef] [PubMed] [PubMed Central]
- Gawlik-Dziki, U.; Dziki, D.; Baraniak, B.; Lin, R. The effect of simulated digestion in vitro on bioactivity of wheat bread with Tartary buckwheat flavones addition. LWT Food Sci. Technol. 2009, 42, 137–143. [Google Scholar] [CrossRef]
- Liu, J.; Liu, X.; Man, Y.; Liu, Y. Reduction of acrylamide content in bread crust by starch coating. J. Sci. Food Agric. 2017, 98, 336–345. [Google Scholar] [CrossRef] [PubMed]
- Rwubatse, B.; Okoth, M.W.; Andago, A.A.; Ngala, S.; Bitwayiki, C.; Ndungutse, V.; Ndahetuye, J.B. Acrylamide Formation during Baking of Whole Wheat Flour Incorporated with Spent Coffee Grounds and Juices of Lemon Fruits and Rosemary Leaves. J. Food Process. Preserv. 2023, 2023, 9952725. [Google Scholar] [CrossRef]
- Ciesarová, Z.; Kukurová, K.; Mikušová, L.; Basil, E.; Polakovičová, P.; Duchoňová, L.; Vlček, M.; Šturdík, E. Nutritionally enhanced wheat-oat bread with reduced acrylamide level. Qual. Assur. Saf. Crop. Foods 2014, 6, 327–334. [Google Scholar] [CrossRef]
- Jaworska, D.; Mojska, H.; Gielecińska, I.; Najman, K.; Gondek, E.; Przybylski, W.; Krzyczkowska, P. The effect of vegetable and spice addition on the acrylamide content and antioxidant activity of innovative cereal products. Food Addit. Contam. Part A 2019, 36, 374–384. [Google Scholar] [CrossRef] [PubMed]








| Volume [cm3] | Surface [cm2] | |||||||
|---|---|---|---|---|---|---|---|---|
| Proofing | 1H | 2H | 1H | 2H | ||||
| Sample | 0 | 7 | 0 | 7 | 0 | 7 | 0 | 7 |
| SWF | 189.9 ± 0.7 d | 195.5 ± 1 d | 178.5 ± 1.4 d | 195.1 ± 1.4 e | 18.16 ± 0.1 d | 17.81 ± 42.8 a | 17.16 ± 0.11 d | 18.5 ± 0.05 d |
| 5% | 168.8 ± 2.7 c | 171.9 ± 2.2 c | 172.1 ± 0.4 c | 181.8 ± 1.6 d | 16.91 ± 0.09 c | 16.78 ± 26.8 b | 16.9 ± 0.04 a | 17.58 ± 0.13 c |
| 10% | 182.1 ± 1.4 d | 176.9 ± 3.8 c | 169.9 ± 1.4 c | 172.7 ± 3.3 c | 17.73 ± 0.06 d | 17.2 ± 13.2 c | 16.51 ± 0.28 cd | 17.01 ± 0.25 b |
| 15% | 156.5 ± 9.2 b | 154.9 ± 2 b | 151.5 ± 0.1 b | 162.3 ± 2.5 b | 16.02 ± 0.59 b | 15.86 ± 3.1 d | 15.62 ± 0.06 c | 16.46 ± 0.11 a |
| 20% | 135.5 ± 0.1 a | 140.5 ± 1.5 a | 137.3 ± 3.2 a | 145.4 ± 0.8 a | 14.63 ± 0.8 a | 14.82 ± 0.04 a | 14.51 ± 0.48 b | 16.31 ± 0.11 a |
| Sample (S) | *** | *** | *** | *** | ||||
| Day (D) | *** | *** | *** | *** | ||||
| Proofing (P) | ns | ns | ns | ns | ||||
| S × P | ns | ns | ns | ns | ||||
| D × P | *** | *** | *** | *** | ||||
| S × D | *** | *** | *** | *** | ||||
| S × P × D | *** | *** | *** | *** | ||||
| Specific Volume [cm3/g] | ||||
|---|---|---|---|---|
| Proofing | 1H | 2H | ||
| Sample | 0 | 7 | 0 | 7 |
| SWF | 2.25 ± 0.01 d | 2.35 ± 0.03 e | 2.40 ± 0.01 d | 2.32 ± 0.00 e |
| 5% | 2.13 ± 0.01 c | 2.25 ± 0.02 d | 2.07 ± 0.03 c | 2.03 ± 0.01 c |
| 10% | 2.12 ± 0.03 c | 2.15 ± 0.04 c | 2.12 ± 0.06 c | 2.17 ± 0.01 d |
| 15% | 1.87 ± 0.01 b | 2.01 ± 0.01 b | 1.88 ± 0.02 b | 1.89 ± 0.12 b |
| 20% | 1.69 ± 0.03 a | 1.80 ± 0.00 a | 1.69 ± 0.02 a | 1.61 ± 0.00 a |
| Sample (S) | *** | *** | ||
| Day (D) | *** | *** | ||
| Proofing (P) | *** | *** | ||
| S × P | *** | *** | ||
| D × P | ns | ns | ||
| S × D | *** | *** | ||
| S × P × D | ns | ns | ||
| Water Activity (%) | Porosity (%) | ||||
|---|---|---|---|---|---|
| Sample | Day | Proofing 1H | Proofing 2H | Proofing 1H | Proofing 2H |
| control | 0 | 0.954 ± 0.002 b | 0.966 ± 0.002 c | 55.7 ± 11.6 a | 87.8 ± 3.8 d |
| 7 | 0.958 ± 0.006 c | 0.962 ± 0.004 c | 91.6 ± 3.6 c | 90.4 ± 4.8 c | |
| 5% | 0 | 0.958 ± 0.003 b | 0.962 ± 0.003 c | 53.7 ± 7.8 a | 63.3 ± 6.2 c |
| 7 | 0.953 ± 0.002 b | 0.955 ± 0.003 b | 84.1 ± 6.1 b | 80.9 ± 4.3 a | |
| 10% | 0 | 0.956 ± 0.002 b | 0.957 ± 0.003 b | 55.8 ± 6.7 a | 62.9 ± 5.4 c |
| 7 | 0.954 ± 0.001 bc | 0.956 ± 0.002 b | 74.3 ± 9.6 a | 80.8 ± 9.0 ab | |
| 15% | 0 | 0.943 ± 0.003 a | 0.953 ± 0.003 b | 54.6 ± 5.1 a | 59.0 ± 6.1 b |
| 7 | 0.945 ± 0.002 a | 0.953 ± 0.003 b | 86.0 ± 5.3 b | 78.9 ± 9.2 ab | |
| 20% | 0 | 0.945 ± 0.002 a | 0.945 ± 0.004 a | 58.5 ± 6.1 a | 49.4 ± 6.1 a |
| 7 | 0.941 ± 0.002 a | 0.945 ± 0.004 a | 75.7 ± 6.0 a | 84.0 ± 5.4 b | |
| sample (S) | *** | *** | |||
| day (D) | *** | *** | |||
| proofing (P) | ns | x | |||
| S × P | ns | *** | |||
| D × P | *** | x | |||
| S × D | *** | x | |||
| S × P × D | *** | x | |||
| Proofing 1H | ||||||
|---|---|---|---|---|---|---|
| Sample | Day | Hardness [N] | Cohesiveness | Springiness | Chewiness [N] | Resilience |
| control | 0 | 6.8 ± 1.5 a | 0.83 ± 0.06 c | 0.82 ± 0.10 b | 4.66 ± 1.25 ab | 0.45 ± 0.03 ab |
| 7 | 32.3 ± 7.1 bc | 0.56 ± 0.10 a | 0.74 ± 0.03 b | 13.39 ± 3.28 b | 0.33 ± 0.06 a | |
| 5% | 0 | 9.1 ± 0.6 b | 0.77 ± 0.02 abc | 0.76 ± 0.04 ab | 5.40 ± 0.29 b | 0.47 ± 0.03 b |
| 7 | 31.8 ± 6.9 abc | 0.50 ± 0.05 a | 0.71 ± 0.01 ab | 11.32 ± 2.88 ab | 0.30 ± 0.04 a | |
| 10% | 0 | 6.6 ± 1.5 a | 0.78 ± 0.08 bc | 0.72 ± 0.03 a | 3.63 ± 0.72 a | 0.44 ± 0.04 ab |
| 7 | 24.1 ± 4.1 a | 0.50 ± 0.05 a | 0.66 ± 0.05 ab | 8.46 ± 2.03 a | 0.31 ± 0.02 a | |
| 15% | 0 | 9.8 ± 2.0 b | 0.74 ± 0.01 ab | 0.69 ± 0.04 a | 4.98 ± 1.25 ab | 0.42 ± 0.01 a |
| 7 | 31.1 ± 6.5 ab | 0.51 ± 0.05 a | 0.66 ± 0.07 a | 10.24 ± 1.95 ab | 0.32 ± 0.04 a | |
| 20% | 0 | 14.3 ± 1.5 c | 0.71 ± 0.02 a | 0.71 ± 0.06 a | 7.27 ± 1.42 c | 0.43 ± 0.03 ab |
| 7 | 40.4 ± 3.5 c | 0.49 ± 0.04 a | 0.72 ± 0.02 a | 12.8. ± 1.05 b | 0.33 ± 0.03 a | |
| day (D) | *** | *** | * | *** | *** | |
| proofing (P) | *** | ns | ns | *** | ns | |
| sample (S) | *** | * | *** | *** | ns | |
| D × P | ns | ns | ns | * | ns | |
| D × S P × S | ns | ns | ns | ns | ns | |
| D × P × S | ns | ns | ns | ns | ns | |
| Day (D) | ns | ns | ns | ns | ns | |
| Proofing 2H | ||||||
| Sample | Time | Hardness [N] | Cohesiveness | Springiness | Chewiness [N] | Resilience |
| control | 0 | 10.3 ± 2.7 ab | 0.78 ± 0.03 a | 0.78 ± 0.07 a | 6.26 ± 1.95 a | 0.47 ± 0.03 b |
| 7 | 35.8 ± 2.6 a | 0.56 ± 0.03 a | 0.76 ± 0.07 b | 15.10 ± 1.59 b | 0.33 ± 0.02 a | |
| 5% | 0 | 10.2 ± 0.8 ab | 0.74 ± 0.01 a | 0.78 ± 0.05 a | 5.91 ± 0.66 a | 0.45 ± 0.02 ab |
| 7 | 34.3 ± 1.8 a | 0.53 ± 0.01 a | 0.75 ± 0.04 ab | 13.53 ± 0.83 ab | 0.32 ± 0.02 a | |
| 10% | 0 | 9.9 ± 1.5 a | 0.72 ± 0.02 a | 0.76 ± 0.04 a | 5.37 ± 0.75 a | 0.40 ± 0.04 a |
| 7 | 35.5 ± 8.1 a | 0.55 ± 0.17 a | 0.70 ± 0.05 ab | 13.05 ± 1.55 ab | 0.33 ± 0.10 a | |
| 15% | 0 | 11.6 ± 1.9 ab | 0.72 ± 0.04 a | 0.69 ± 0.08 a | 5.70 ± 1.17 a | 0.48 ± 0.05 b |
| 7 | 38.0 ± 2.3 a | 0.44 ± 0.06 a | 0.72 ± 0.05 ab | 11.85 ± 1.02 a | 0.29 ± 0.04 a | |
| 20% | 0 | 12.9 ± 2.0 b | 0.73 ± 0.11 a | 0.71 ± 0.07 a | 6.64 ± 1.23 a | 0.44 ± 0.06 ab |
| 7 | 41.9 ± 8.1 a | 0.53 ± 0.21 a | 0.68 ± 0.05 a | 14.32 ± 2.37 b | 0.37 ± 0.15 a | |
| Day (D) | *** | *** | * | *** | *** | |
| Proofing (P) | *** | ns | ns | *** | ns | |
| Sample (S) | *** | * | *** | *** | ns | |
| D × P | ns | ns | ns | * | ns | |
| D × S | ns | ns | ns | ns | ns | |
| P × S | ns | ns | ns | ns | ns | |
| D × P × S | ns | ns | ns | ns | ns | |
Disclaimer/Publisher’s Note: The statements, opinions and data contained in all publications are solely those of the individual author(s) and contributor(s) and not of MDPI and/or the editor(s). MDPI and/or the editor(s) disclaim responsibility for any injury to people or property resulting from any ideas, methods, instructions or products referred to in the content. |
© 2025 by the authors. Licensee MDPI, Basel, Switzerland. This article is an open access article distributed under the terms and conditions of the Creative Commons Attribution (CC BY) license (https://creativecommons.org/licenses/by/4.0/).
Share and Cite
Alija, D.; Olędzki, R.; Nikolovska Nedelkoska, D.; Wojciechowicz-Budzisz, A.; Pejcz, E.; Jankuloska, V.; Xhabiri, G.; Harasym, J. Prolonged Proofing Modulates the Acrylamide Content, Nutritional and Functional Characteristics of Pumpkin (Cucurbita maxima Plomo) and Soft Wheat Composite Bread. Foods 2025, 14, 437. https://doi.org/10.3390/foods14030437
Alija D, Olędzki R, Nikolovska Nedelkoska D, Wojciechowicz-Budzisz A, Pejcz E, Jankuloska V, Xhabiri G, Harasym J. Prolonged Proofing Modulates the Acrylamide Content, Nutritional and Functional Characteristics of Pumpkin (Cucurbita maxima Plomo) and Soft Wheat Composite Bread. Foods. 2025; 14(3):437. https://doi.org/10.3390/foods14030437
Chicago/Turabian StyleAlija, Durim, Remigiusz Olędzki, Daniela Nikolovska Nedelkoska, Agata Wojciechowicz-Budzisz, Ewa Pejcz, Vezirka Jankuloska, Gafur Xhabiri, and Joanna Harasym. 2025. "Prolonged Proofing Modulates the Acrylamide Content, Nutritional and Functional Characteristics of Pumpkin (Cucurbita maxima Plomo) and Soft Wheat Composite Bread" Foods 14, no. 3: 437. https://doi.org/10.3390/foods14030437
APA StyleAlija, D., Olędzki, R., Nikolovska Nedelkoska, D., Wojciechowicz-Budzisz, A., Pejcz, E., Jankuloska, V., Xhabiri, G., & Harasym, J. (2025). Prolonged Proofing Modulates the Acrylamide Content, Nutritional and Functional Characteristics of Pumpkin (Cucurbita maxima Plomo) and Soft Wheat Composite Bread. Foods, 14(3), 437. https://doi.org/10.3390/foods14030437

