Application of Predictive Modeling and Molecular Simulations to Elucidate the Mechanisms Underlying the Antimicrobial Activity of Sage (Salvia officinalis L.) Components in Fresh Cheese Production
Abstract
1. Introduction
2. Materials and Methods
2.1. Molecular Modeling
2.2. ANN Modeling
2.3. Support Vector Machine
2.4. Boosted Trees Regression Model (BTR)
2.5. The Models’ Accuracy
2.6. Statistical Analyses
3. Results and Discussion
3.1. Molecular Modeling
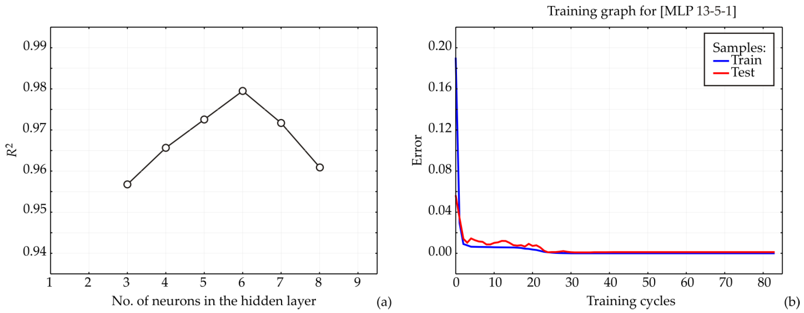
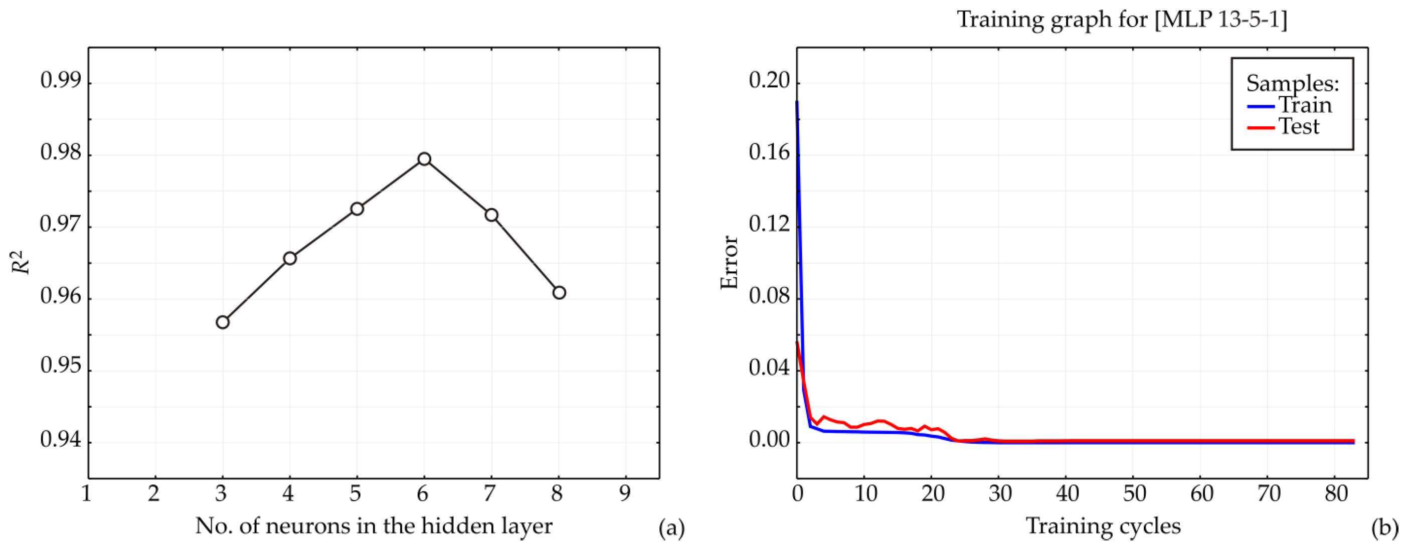
3.2. Artificial Neural Network (ANN) Model
| 1 | 2 | 3 | 4 | 5 | ||
|---|---|---|---|---|---|---|
| 1 | Bacteria (E. coli) | 1.305 | 0.572 | −0.847 | 0.375 | 0.519 |
| 2 | Bacteria (L. monocytogenes) | −8.640 | −0.765 | 0.571 | −0.577 | −6.415 |
| 3 | Bacteria (S. aureus) | 6.706 | 0.950 | −0.124 | 0.575 | 3.871 |
| 4 | Compound (4-Terpineol-SFE) | 0.498 | −0.342 | 0.276 | −0.187 | 2.083 |
| 5 | Compound (α-Thujone) | 1.760 | 0.169 | −0.013 | 0.361 | 0.416 |
| 6 | Compound (Bornyl acetate) | −7.948 | −0.924 | 1.341 | −0.525 | −4.416 |
| 7 | Compound (Carvacrol) | 4.683 | 0.637 | −0.737 | 0.516 | 3.137 |
| 8 | Compound (Caryophyllene oxide) | −4.572 | −1.169 | 1.212 | −0.797 | −4.660 |
| 9 | Compound (Epirosmanol) | 1.558 | −0.203 | 0.394 | −0.062 | 0.459 |
| 10 | Compound (Limonene) | 0.017 | 1.357 | −1.416 | 0.400 | −3.852 |
| 11 | Compound (Thymol) | 3.233 | 1.226 | −1.514 | 0.620 | 4.741 |
| 12 | Binding (No) | 0.200 | 0.539 | −0.614 | 0.256 | 1.176 |
| 13 | Binding (Yes) | −0.880 | 0.261 | 0.172 | 0.024 | −3.202 |
| Bias | −0.625 | 0.815 | −0.444 | 0.311 | −2.110 |
| 1 | 2 | 3 | 4 | 5 | bias | |
|---|---|---|---|---|---|---|
| Binding/weight | 1.628 | −1.995 | 1.880 | −1.237 | −7.746 | 1.230 |
Analysis of Influence
3.3. Support Vector Machine (SVM) Model
3.4. Boosted Trees Regression Model (BTR)
3.5. Validation of Machine Learning Models
4. Conclusions
Supplementary Materials
Author Contributions
Funding
Institutional Review Board Statement
Informed Consent Statement
Data Availability Statement
Conflicts of Interest
References
- Vukić, V.; Vukić, D.; Pavlić, B.; Iličić, M.; Kocić-Tanackov, S.; Kanurić, K.; Bjekić, M.; Zeković, Z. Antimicrobial potential of kombucha fresh cheese with the addition of sage (Salvia officinalis L.) and its preparations. Food Funct. 2023, 14, 3348–3356. [Google Scholar] [CrossRef] [PubMed]
- Issa, D.; Najjar, A.; Greige-Gerges, H.; Nehme, H. Screening of some essential oil constituents as potential inhibitors of the ATP synthase of Escherichia coli. J. Food Sci. 2019, 84, 138–146. [Google Scholar] [CrossRef]
- Abou-Taleb, H.K.; Mohamed, M.I.E.; Shawir, M.S.; Abdelgaleil, S.A.M. Insecticidal properties of essential oils against Tribolium castaneum (Herbst) and their inhibitory effects on acetylcholinesterase and adenosine triphosphatases. Nat. Prod. Res. 2015, 30, 710–714. [Google Scholar] [CrossRef]
- Han, Y.; Sun, Z.; Chen, W. Antimicrobial susceptibility and antibacterial mechanism of limonene against Listeria monocytogenes. Molecules 2020, 25, 33. [Google Scholar] [CrossRef] [PubMed]
- Gill, A.O.; Holley, R.A. Inhibition of membrane bound ATPases of Escherichia coli and Listeria monocytogenes by plant oil aromatics. Int. J. Food Microbiol. 2006, 111, 170–174. [Google Scholar] [CrossRef]
- Su, F.; Yang, G.; Hu, D.; Ruan, C.; Wang, J.; Zhang, Y.; Zhu, Q. Chemical composition, antibacterial and antioxidant activities of essential oil from Centipeda minima. Molecules 2023, 28, 824. [Google Scholar] [CrossRef]
- AlphaFold Database. Available online: https://alphafold.ebi.ac.uk/ (accessed on 15 January 2025).
- Friesner, R.A.; Murphy, R.B.; Repasky, M.P.; Frye, L.L.; Greenwood, J.R.; Halgren, T.A.; Sanschagrin, P.C.; Mainz, D.T. Extra precision glide: Docking and scoring incorporating a model of hydrophobic enclosure for protein-ligand complexes. J. Med. Chem. 2006, 49, 6177–6196. [Google Scholar] [CrossRef]
- Hou, T.; Wang, J.; Li, Y.; Wang, W. Assessing the performance of the MM/PBSA and MM/GBSA methods: I. The accuracy of binding free energy calculations based on molecular dynamics simulations. J. Chem. Inf. Comput. Sci. 2011, 51, 69–82. [Google Scholar] [CrossRef] [PubMed]
- Bowers, K.J.; Chow, E.; Xu, H.; Dror, R.O.; Eastwood, M.P.; Gregersen, B.A.; Klepeis, J.L.; Kolossvary, I.; Moraes, M.A.; Sacerdoti, F.D.; et al. Scalable algorithms for molecular dynamics simulations on commodity clusters. In Proceedings of the ACM/IEEE Conference on Supercomputing (SC06), Tampa, FL, USA, 11–17 November 2006. [Google Scholar]
- Damm, W.; Dajnowicz, S.; Ghoreishi, D.; Yu, Y.; Ganeshan, K.; Madin, O.; Rudshteyn, B.; Hu, R.; Wu, M.; Shang, Y.; et al. OPLS5: Addition of polarizability and improved treatment of metals. ChemRxiv 2024. [Google Scholar] [CrossRef]
- Sharma, S.; Gupta, R.; Bhatia, R.; Toor, A.P.; Setia, H. Predicting microbial response to anthropogenic environmental disturbances using artificial neural network and multiple linear regression. Int. J. Cogn. Comput. Eng. 2021, 2, 65–70. [Google Scholar] [CrossRef]
- Al, S.; Ciloglu, F.U.; Akcay, A.; Koluman, A. Machine learning models for prediction of Escherichia coli O157:H7 growth in raw ground beef at different storage temperatures. Meat Sci. 2024, 210, 109421. [Google Scholar] [CrossRef] [PubMed]
- Pratama, D.A.; Abo-Alsabeh, R.R.; Bakar, M.A.; Salhi, A.; Ibrahim, N.F. Solving partial differential equations with hybridized physic-informed neural network and optimization approach: Incorporating genetic algorithms and L-BFGS for improved accuracy. Alex. Eng. J. 2023, 77, 205–226. [Google Scholar] [CrossRef]
- Habib, M.; Timoudas, T.O.; Ding, Y.; Nord, N.; Chen, S.; Wang, Q. A hybrid machine learning approach for the load prediction in the sustainable transition of district heating networks. Sustain. Cities Soc. 2023, 99, 104892. [Google Scholar] [CrossRef]
- Goodswen, S.J.; Barratt, J.L.; Kennedy, P.J.; Kaufer, A.; Calarco, L.; Ellis, J.T. Machine learning and applications in microbiology. FEMS Microbiol. Rev. 2021, 45, fuab015. [Google Scholar] [CrossRef] [PubMed]
- Yu, H.; Cooper, A.R.; Infante, D.M. Improving species distribution model predictive accuracy using species abundance: Application with boosted regression trees. Ecol. Model. 2020, 432, 109202. [Google Scholar] [CrossRef]
- Suleiman, A.; Tight, M.R.; Quinn, A.D. Hybrid neural networks and boosted regression tree models for predicting roadside particulate matter. Environ. Model. Assess. 2016, 21, 731–750. [Google Scholar] [CrossRef]
- Martín-Baos, J.Á.; López-Gómez, J.A.; Rodriguez-Benitez, L.; Hillel, T.; García-Ródenas, R. A prediction and behavioural analysis of machine learning methods for modelling travel mode choice. Transp. Res. Part C Emerg. Technol. 2023, 156, 104318. [Google Scholar] [CrossRef]
- Colin, B.; Clifford, S.; Wu, P.; Rathmanner, S.; Mengersen, K. Using boosted regression trees and remotely sensed data to drive decision-making. Open J. Stat. 2017, 7, 75040. [Google Scholar] [CrossRef]
- Ferreira, A.J.; Figueiredo, M.A. Boosting algorithms: A review of methods, theory, and applications. Ensemble Mach. Learn. 2012, 35–85. [Google Scholar] [CrossRef]
- Gu, H.; Wang, J.; Ma, L.; Shang, Z.; Zhang, Q. Insights into the BRT (Boosted Regression Trees) method in the study of the climate-growth relationship of Masson pine in subtropical China. Forests 2019, 10, 228. [Google Scholar] [CrossRef]
- Liemohn, M.W.; Shane, A.D.; Azari, A.R.; Petersen, A.K.; Swiger, B.M.; Mukhopadhyay, A. RMSE is not enough: Guidelines to robust data-model comparisons for magnetospheric physics. J. Atmos. Sol.-Terr. Phys. 2021, 218, 105624. [Google Scholar] [CrossRef]
- Lončar, B.; Pezo, L.; Knežević, V.; Nićetin, M.; Filipović, J.; Petković, M.; Filipović, V. Enhancing cookie formulations with combined dehydrated peach: A machine learning approach for technological quality assessment and optimization. Foods 2024, 13, 782. [Google Scholar] [CrossRef] [PubMed]
- Baranyi, J.; Rockaya, M.; Ellouze, M. From data to models and predictions in food microbiology. Curr. Opin. Food Sci. 2024, 57, 101177. [Google Scholar] [CrossRef]
- Papoutsoglou, G.; Tarazona, S.; Lopes, M.B.; Klammsteiner, T.; Ibrahimi, E.; Eckenberger, J.; Novielli, P.; Tonda, A.; Simeon, A.; Shigdel, R.; et al. Machine learning approaches in microbiome research: Challenges and best practices. Front. Microbiol. 2023, 14, 1261889. [Google Scholar] [CrossRef] [PubMed]
- Namkung, J. Machine learning methods for microbiome studies. J. Microbiol. 2020, 58, 206–216. [Google Scholar] [CrossRef] [PubMed]
- Zhang, J.; Morris, A.J. A sequential learning approach for single hidden layer neural networks. Neural Netw. 1998, 11, 65–80. [Google Scholar] [CrossRef]
- Narkhede, M.V.; Bartakke, P.P.; Sutaone, M.S. A review on weight initialization strategies for neural networks. Artif. Intell. Rev. 2022, 55, 291–322. [Google Scholar] [CrossRef]
- Montesinos López, O.A.; Montesinos López, A.; Crossa, J. Overfitting, model tuning, and evaluation of prediction performance. In Multivariate Statistical Machine Learning Methods for Genomic Prediction; Springer International Publishing: Cham, Switzerland, 2022; pp. 109–139. [Google Scholar] [CrossRef]
- El Chaal, R.; Aboutafail, M.O. A comparative study of back-propagation algorithms: Levenberg-Marquart and BFGS for the formation of multilayer neural networks for estimation of fluoride. Commun. Math. Biol. Neurosci. 2022, 2022. [Google Scholar] [CrossRef]
- Yilmaz, A.; Poli, R. Successfully and efficiently training deep multi-layer perceptrons with logistic activation function simply requires initializing the weights with an appropriate negative mean. Neural Netw. 2022, 153, 87–103. [Google Scholar] [CrossRef]
- Jahn, M. Artificial neural networks and time series of counts: A class of nonlinear INGARCH models. Stud. Nonlinear Dyn. Econom. 2024, 28, 751–765. [Google Scholar] [CrossRef]
- Goretzko, D.; Siemund, K.; Sterner, P. Evaluating model fit of measurement models in confirmatory factor analysis. Educ. Psychol. Meas. 2024, 84, 123–144. [Google Scholar] [CrossRef] [PubMed]
- Li, Y.; Qiu, Y.; Xu, Y. From multivariate to functional data analysis: Fundamentals, recent developments, and emerging areas. J. Multivar. Anal. 2022, 188, 104806. [Google Scholar] [CrossRef]
- Pavlov, G.; Maydeu-Olivares, A.; Shi, D. Using the standardized root mean squared residual (SRMR) to assess exact fit in structural equation models. Educ. Psychol. Meas. 2021, 81, 110–130. [Google Scholar] [CrossRef] [PubMed]
- Roy, A.; Chakraborty, S. Support vector machine in structural reliability analysis: A review. Reliab. Eng. Syst. Saf. 2023, 233, 109126. [Google Scholar] [CrossRef]
- Bansal, M.; Goyal, A.; Choudhary, A. A comparative analysis of K-nearest neighbor, genetic, support vector machine, decision tree, and long short term memory algorithms in machine learning. Decis. Anal. 2022, 3, 100071. [Google Scholar] [CrossRef]
- Montesinos López, O.A.; Montesinos López, A.; Crossa, J. Support vector machines and support vector regression. In Multivariate Statistical Machine Learning Methods for Genomic Prediction; Springer International Publishing: Cham, Switzerland, 2022; pp. 337–378. [Google Scholar] [CrossRef]
- Dong, J.; Chen, Y.; Yao, B.; Zhang, X.; Zeng, N. A neural network boosting regression model based on XGBoost. Appl. Soft Comput. 2022, 125, 109067. [Google Scholar] [CrossRef]











| Compound | Concentration in EO (%) a | Concentration in SFE (%) a | Molecular Weight (Da) |
|---|---|---|---|
| Epirosmanol | 26.25 | 20.47 | 346.43 |
| 4-Terpineol | - | 0.18 | 154.25 |
| Caryophyllene oxide | 0.42 | 0.63 | 220.36 |
| Carvacrol | 0.95 | 0.14 | 150.22 |
| Bornyl acetate | 1.26 | 1.40 | 196.29 |
| Limonene | 0.36 | 0.51 | 136.24 |
| α-Thujone | 5.26 | 9.23 | 152.24 |
| Thymol | 1.61 | 0.40 | 150.22 |
| Compound | E. coli | L. monocytogenes | S. aureus | |||
|---|---|---|---|---|---|---|
| MMGBSA dG Bind (kcal/mol) | Binding/ Weight | MMGBSA dG Bind (kcal/mol) | Binding/ Weight | MMGBSA dG Bind (kcal/mol) | Binding/ Weight | |
| Epirosmanol | −57.59 | −16.62 | −59.84 | −17.27 | −89.40 | −25.80 |
| 4-Terpineol | −34.43 | −22.32 | −25.40 | −16.46 | −45.40 | −29.43 |
| Caryophyllene oxide | −42.04 | −19.07 | −37.36 | −16.95 | −46.13 | −20.93 |
| Carvacrol | −37.76 | −25.13 | −32.26 | −21.70 | −44.77 | −29.80 |
| Bornyl acetate | −37.23 | −18.96 | −25.17 | −12.82 | −39.85 | −20.30 |
| Limonene | −35.48 | −26.04 | −34.10 | −25.03 | −26.9 | −19.74 |
| α-Thujone | −33.60 | −22.07 | −28.66 | −18.82 | −39.96 | −26.24 |
| Thymol | −44.95 | −29.92 | −40.16 | −26.73 | −50.98 | −33.93 |
| Day of Storage | Kombucha C ** | Kombucha EO | Kombucha SFE | ||||||
|---|---|---|---|---|---|---|---|---|---|
| E. coli | L. mono | S. aureus | E. coli | L. mono | S. aureus | E. coli | L. mono | S. aureus | |
| 0 | 3.3 a,* | 4.5 a | 4.8 a | 3.9 a | 4.5 a | 4.5 a | 3.7 a | 4.3 a | 4.6 a |
| 30 | 1.5 b | 2.6 c | 2.9 c | 1.0 d | 2.5 d | 1.9 c | 1.9 d | 2.5 c | 2.4 d |
| Net. Name | Training Perf. | Test Perf. | Training Error | Test Error | Training Algorithm | Error Function | Hidden Activation | Output Activation |
|---|---|---|---|---|---|---|---|---|
| MLP 13-5-1 | 0.979 | 0.991 | 0.528 | 2.693 | BFGS 20 | SOS | Logistic | Logistic |
| χ2 | RMSE | MBE | MPE | SSE | AARD | R2 | Skew | Kurr | Mean | StDev | Var | |
|---|---|---|---|---|---|---|---|---|---|---|---|---|
| ANN | 2.419 | 1.523 | −0.072 | −5.559 | 55.520 | 33.910 | 0.934 | −0.371 | 0.817 | −0.072 | 1.554 | 2.414 |
| SVM | 5.124 | 2.216 | −0.289 | −7.771 | 115.836 | 139.379 | 0.835 | −0.702 | 1.266 | −0.289 | 2.244 | 5.036 |
| BTR | 7.072 | 2.603 | −0.601 | −8.646 | 153.968 | 128.476 | 0.765 | −0.348 | 0.308 | −0.601 | 2.587 | 6.694 |
Disclaimer/Publisher’s Note: The statements, opinions and data contained in all publications are solely those of the individual author(s) and contributor(s) and not of MDPI and/or the editor(s). MDPI and/or the editor(s) disclaim responsibility for any injury to people or property resulting from any ideas, methods, instructions or products referred to in the content. |
© 2025 by the authors. Licensee MDPI, Basel, Switzerland. This article is an open access article distributed under the terms and conditions of the Creative Commons Attribution (CC BY) license (https://creativecommons.org/licenses/by/4.0/).
Share and Cite
Vukić, D.; Lončar, B.; Pezo, L.; Vukić, V. Application of Predictive Modeling and Molecular Simulations to Elucidate the Mechanisms Underlying the Antimicrobial Activity of Sage (Salvia officinalis L.) Components in Fresh Cheese Production. Foods 2025, 14, 2164. https://doi.org/10.3390/foods14132164
Vukić D, Lončar B, Pezo L, Vukić V. Application of Predictive Modeling and Molecular Simulations to Elucidate the Mechanisms Underlying the Antimicrobial Activity of Sage (Salvia officinalis L.) Components in Fresh Cheese Production. Foods. 2025; 14(13):2164. https://doi.org/10.3390/foods14132164
Chicago/Turabian StyleVukić, Dajana, Biljana Lončar, Lato Pezo, and Vladimir Vukić. 2025. "Application of Predictive Modeling and Molecular Simulations to Elucidate the Mechanisms Underlying the Antimicrobial Activity of Sage (Salvia officinalis L.) Components in Fresh Cheese Production" Foods 14, no. 13: 2164. https://doi.org/10.3390/foods14132164
APA StyleVukić, D., Lončar, B., Pezo, L., & Vukić, V. (2025). Application of Predictive Modeling and Molecular Simulations to Elucidate the Mechanisms Underlying the Antimicrobial Activity of Sage (Salvia officinalis L.) Components in Fresh Cheese Production. Foods, 14(13), 2164. https://doi.org/10.3390/foods14132164

