The Generation of Suspended Cell Wall Material May Limit the Effect of Ultrasound Technology in Some Varietal Wines
Abstract
1. Introduction
2. Materials and Methods
2.1. Wine Samples
2.2. Wine Spectrophotometric Parameters
2.3. Determination of Tannins by HPLC
2.4. Determination of Phenolic Compounds by SEC
2.5. Identification and Quantification of Monosaccharides and Polysaccharides by GC–MS
2.6. Statistical Analyses
3. Results and Discussion
3.1. Chromatic and Phenolic Composition of the Different Wines
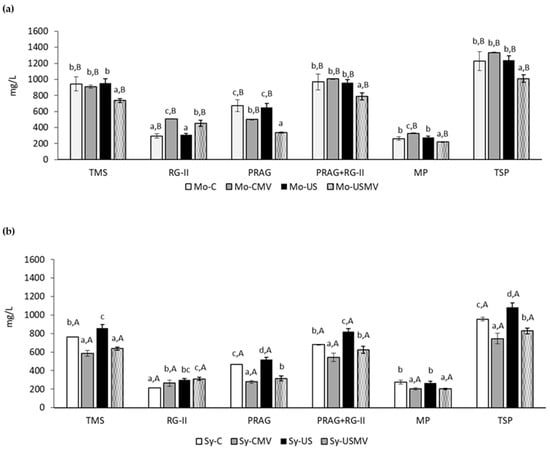
3.2. Polysaccharide Composition of the Different Wines
4. Conclusions
Author Contributions
Funding
Institutional Review Board Statement
Informed Consent Statement
Data Availability Statement
Acknowledgments
Conflicts of Interest
References
- Sacchi, K.L.; Bisson, L.F.; Adams, D.O. A review of the effect of winemaking techniques on phenolic extraction in red wines. Am. J. Enol. Vitic. 2005, 56, 197–206. [Google Scholar] [CrossRef]
- Morata, A.; Escott, C.; Loira, I.; López, C.; Palomero, F.; González, C. Emerging non-thermal technologies for the extraction of grape anthocyanins. Antioxidants 2021, 10, 1863. [Google Scholar] [CrossRef] [PubMed]
- Pérez-Porras, P.; Gómez Plaza, E.; Martínez-Lapuente, L.; Ayestarán, B.; Guadalupe, Z.; Jurado, R.; Bautista-Ortín, A.B. High-Power Ultrasound in Enology: Is the Outcome of This Technique Dependent on Grape Variety? Foods 2023, 12, 2236. [Google Scholar] [CrossRef] [PubMed]
- Pérez-Porras, P.; Bautista-Ortín, A.B.; Jurado, R.; Gómez-Plaza, E. Using high-power ultrasounds in red winemaking: Effect of operating conditions on wine physico-chemical and chromatic characteristics. LWT 2021, 138, 110645. [Google Scholar] [CrossRef]
- Pérez-Porras, P.; Bautista-Ortín, A.B.; Jurado, R.; Gómez-Plaza, E. Combining high-power ultrasound and enological enzymes during winemaking to improve the chromatic characteristics of red wine. LWT 2022, 156, 113032. [Google Scholar] [CrossRef]
- Bindon, K.A.; Smith, P.A.; Kennedy, J.A. Interaction between grape-derived proanthocyanidins and cell wall material. 1. Effect on proanthocyanidin composition and molecular mass. J. Agric. Food Chem. 2010, 58, 2520–2528. [Google Scholar] [CrossRef] [PubMed]
- Bindon, K.A.; Smith, P.A.; Holt, H.; Kennedy, J.A. Interaction between grape-derived proanthocyanidins and cell wall material. 2. Implications for vinification. J. Agric. Food Chem. 2010, 58, 10736–10746. [Google Scholar] [CrossRef]
- Bautista-Ortín, A.B.; Cano-Lechuga, M.; Ruiz-García, Y.; Gómez-Plaza, E. Interactions between grape skin cell wall material and commercial enological tannins. Practical implications. Food Chem. 2014, 152, 558–565. [Google Scholar] [CrossRef]
- Bautista-Ortín, A.B.; Martínez-Hernández, A.; Ruiz-García, Y.; Gil-Muñoz, R.; Gómez-Plaza, E. Anthocyanins influence tannin–cell wall interactions. Food Chem. 2016, 206, 239–248. [Google Scholar] [CrossRef]
- Osete-Alcaraz, A.; Bautista-Ortín, A.B.; Gómez-Plaza, E. The role of soluble polysaccharides in tannin-cell wall interactions in model solutions and in wines. Biomolecules 2019, 10, 36. [Google Scholar] [CrossRef]
- Osete-Alcaraz, A.; Gómez-Plaza, E.; Martínez-Pérez, P.; Weiller, F.; Schückel, J.; Willats, W.G.; Moore, J.P.; Ros-García, J.M.; Bautista-Ortín, A.B. Revisiting the use of pectinases in Enology: A role beyond facilitating phenolic grape extraction. Food Chem. 2022, 372, 131282. [Google Scholar] [CrossRef]
- Osete-Alcaraz, A.; Bautista-Ortín, A.B.; Ortega-Regules, A.; Gómez-Plaza, E. Elimination of suspended cell wall material in musts improves the phenolic content and color of red wines. Am. J. Enol. Vitic. 2019, 70, 201–204. [Google Scholar] [CrossRef]
- Glories, Y. La couleur des vins rouges. 1. Partie. Les équilibres des anthocyanes et des tanins. OENO One 1984, 18, 253–271. [Google Scholar] [CrossRef]
- Ho, P.; Silva, M.D.C.M.; Hogg, T.A. Changes in colour and phenolic composition during the early stages of maturation of port in wood, stainless steel and glass. J. Sci. Food Agric. 2001, 81, 1269–1280. [Google Scholar] [CrossRef]
- Ribéreau-Gayon, P.; Pontallier, P.; Glories, Y. Some interpretations of colour changes in young red wines during their conservation. J. Sci. Food Agric. 1983, 34, 505–516. [Google Scholar] [CrossRef]
- Smith, P.A. Precipitation of tannin with methyl cellulose allows tannin quantification in grape and wine samples. Tech. Rev. AWRI 2005, 158, 3–7. [Google Scholar]
- Pastor del Río, J.L.; Kennedy, J.A. Development of proanthocyanidins in Vitis vinifera L. cv. Pinot noir grapes and extraction into wine. Am. J. Enol. Vitic. 2006, 57, 125–132. [Google Scholar] [CrossRef]
- Kennedy, J.A.; Jones, G.P. Analysis of proanthocyanidin cleavage products following acid-catalysis in the presence of excess phloroglucinol. J. Agric. Food Chem. 2001, 49, 1740–1746. [Google Scholar] [CrossRef]
- Ducasse, M.A.; Canal-Llauberes, R.M.; de Lumley, M.; Williams, P.; Souquet, J.M.; Fulcrand, H.; Doco, T.; Cheynier, V. Effect of macerating enzyme treatment on the polyphenol and polysaccharide composition of red wines. Food Chem. 2010, 118, 369–376. [Google Scholar] [CrossRef]
- Busse-Valverde, N.; Gomez-Plaza, E.; Lopez-Roca, J.M.; Gil-Munoz, R.; Fernandez-Fernandez, J.I.; Bautista-Ortin, A.B. Effect of different enological practices on skin and seed proanthocyanidins in three varietal wines. J. Agric. Food Chem. 2010, 58, 11333–11339. [Google Scholar] [CrossRef]
- Pérez-Porras, P.; Gómez-Plaza, E.; Muñoz García, R.; Díaz-Maroto, M.C.; Moreno-Olivares, J.D.; Bautista-Ortín, A.B. Prefermentative grape microwave treatment as a tool for increasing red wine phenolic content and reduce maceration time. Appl. Sci. 2022, 12, 8164. [Google Scholar] [CrossRef]
- Kennedy, J.A.; Taylor, A.W. Analysis of proanthocyanidins by high-performance gel permeation chromatography. J. Chromatogr. A 2003, 995, 99–107. [Google Scholar] [CrossRef] [PubMed]
- Castro-López, L.; Gómez-Plaza, E.; Ortega-Regules, A.; Lozada, D.; Bautista-Ortín, A.B. Role of cell wall deconstructing enzymes in the proanthocyanidin–cell wall adsorption–desorption phenomena. Food Chem. 2016, 196, 526–532. [Google Scholar] [CrossRef] [PubMed]
- Guadalupe, Z.; Martínez-Pinilla, O.; Garrido, Á.; Carrillo, J.D.; Ayestarán, B. Quantitative determination of wine polysaccharides by gas chromatography–mass spectrometry (GC–MS) and size exclusion chromatography (SEC). Food Chem. 2012, 131, 367–374. [Google Scholar] [CrossRef]
- Ayestarán, B.; Guadalupe, Z.; León, D. Quantification of major grape polysaccharides (Tempranillo v.) released by maceration enzymes during the fermentation process. Anal. Chim. Acta 2004, 513, 29–39. [Google Scholar] [CrossRef]
- Doco, T.; Quellec, N.; Moutounet, M.; Pellerin, P. Polysaccharide patterns during the aging of Carignan noir red wines. Am. J. Enol. Vitic. 1999, 50, 25–32. [Google Scholar] [CrossRef]
- Doco, T.; Vuchot, P.; Cheynier, V.; Moutounet, M. Structural modification of wine arabinogalactans during aging on lees. Am. J. Enol. Vitic. 2003, 54, 150–157. [Google Scholar] [CrossRef]
- Guadalupe, Z.; Ayestarán, B.; Williams, P.; Doco, T. Determination of must and wine polysaccharides by gas chromatography-mass spectrometry (GC-MS) and size-exclusion chromatography (SEC). In Polysaccharides; Springer: Berlin/Heidelberg, Germany, 2015; pp. 1265–1297. ISBN 978-3-319-03751-6. [Google Scholar] [CrossRef]
- Canalejo, D.; Guadalupe, Z.; Martínez-Lapuente, L.; Ayestarán, B.; Pérez-Magariño, S. Optimization of a method to extract polysaccharides from white grape pomace by-products. Food Chem. 2021, 365, 130445. [Google Scholar] [CrossRef]
- Bindon, K.A.; Li, S.; Kassara, S.; Smith, P.A. Retention of proanthocyanidin in wine-like solution is conferred by a dynamic interaction between soluble and insoluble grape cell wall components. J. Agric. Food Chem. 2016, 64, 8406–8419. [Google Scholar] [CrossRef]
- Osete-Alcaraz, A.; Gómez-Plaza, E.; Martínez-Pérez, P.; Weiller, F.; Schückel, J.; Willats, W.G.; Moore, J.P.; Ros-García, J.M.; Bautista-Ortín, A.B. The impact of carbohydrate-active enzymes on mediating cell wall polysaccharide-tannin interactions in a wine-like matrix. Food Res. Int. 2020, 129, 108889. [Google Scholar] [CrossRef]
- Osete-Alcaraz, A.; Gómez-Plaza, E.; Martínez-Pérez, P.; Weiller, F.; Schückel, J.; Willats, W.G.; Moore, J.P.; Ros-García, J.M.; Bautista-Ortín, A.B. The influence of hydrolytic enzymes on tannin adsorption-desorption onto grape cell walls in a wine-like matrix. Molecules 2021, 26, 770. [Google Scholar] [CrossRef] [PubMed]
- Ruiz-Garcia, Y.; Smith, P.A.; Bindon, K.A. Selective extraction of polysaccharide affects the adsorption of proanthocyanidin by grape cell walls. Carbohydr. Polym. 2014, 114, 102–114. [Google Scholar] [CrossRef]
- Le Bourvellec, C.; Bouchet, B.; Renard, C.M. Non-covalent interaction between procyanidins and apple cell wall material. Part III: Study on model polysaccharides. Biochim. Biophys. Acta-Gen. Subj. 2005, 1725, 10–18. [Google Scholar] [CrossRef] [PubMed]
- Brandão, E.; Silva, M.S.; García-Estévez, I.; Williams, P.; Mateus, N.; Doco, T.; de Freitas, V.; Soares, S. The role of wine polysaccharides on salivary protein-tannin interaction: A molecular approach. Carbohydr. Polym. 2017, 177, 77–85. [Google Scholar] [CrossRef]
- Jones-Moore, H.R.; Jelley, R.E.; Marangon, M.; Fedrizzi, B. The polysaccharides of winemaking: From grape to wine. Trends Food Sci. Technol. 2021, 111, 731–740. [Google Scholar] [CrossRef]
- Ortega-Regules, A.; Romero-Cascales, I.; Ros-García, J.M.; López-Roca, J.M.; Gómez-Plaza, E. A first approach towards the relationship between grape skin cell-wall composition and anthocyanin extractability. Anal. Chim. Acta 2006, 563, 26–32. [Google Scholar] [CrossRef]
- Medina-Plaza, C.; Dokoozlian, N.; Ponangi, R.; Blair, T.; Block, D.E.; Oberholster, A. Correlation between skin cell wall composition and polyphenol extractability of pinot noir and ‘Cabernet Sauvignon’ grapes. Am. J. Enol. Vitic. 2021, 72, 328–337. [Google Scholar] [CrossRef]
- Martínez-Lapuente, L.; Guadalupe, Z.; Ayestarán, B.; Pérez-Porras, P.; Bautista-Ortín, A.B.; Gómez-Plaza, E. Effects of combining high power ultrasound and enological enzymes on the composition of polysaccharides in red wine. LWT 2022, 170, 114060. [Google Scholar] [CrossRef]
- Doco, T.; Williams, P.; Cheynier, V. Effect of flash release and pectinolytic enzyme treatments on wine polysaccharide composition. J. Agric. Food Chem. 2007, 55, 6643–6649. [Google Scholar] [CrossRef]
- Apolinar-Valiente, R.; Romero-Cascales, I.; Williams, P.; Gómez-Plaza, E.; López-Roca, J.M.; Ros-García, J.M.; Doco, T. Effect of winemaking techniques on polysaccharide composition of ‘Cabernet Sauvignon’, ‘Syrah’ and ‘Monastrell’ red wines. Aust. J. Grape Wine Res. 2014, 20, 62–71. [Google Scholar] [CrossRef]


| CI | Hue | TPI | TA | PA | MCPT | |
|---|---|---|---|---|---|---|
| ‘Monastrell’ | ||||||
| Mo-C | 10.31 ± 0.46 b | 0.57 ± 0.01 a | 52.11 ± 0.38 b | 539.30 ± 14.00 c | 23.52 ± 1.42 a | 1121.51 ± 8.69 b |
| Mo-US | 7.86 ± 0.55 a | 0.73 ± 0.00 d | 42.29 ± 2.13 a | 358.17 ± 17.91 a | 25.47 ± 1.75 a | 932.91 ± 6.24 a |
| Mo-CMV | 10.55 ± 0.16 b | 0.65 ± 0.01 c | 49.60 ± 0.37 b | 451.39 ± 3.93 b | 31.31 ± 0.43 b | 1291.61 ± 0.85 c |
| Mo-USMV | 12.37 ± 0.28 d | 0.61 ± 0.01 b | 58.49 ± 0.79 c | 550.72 ± 15.06 c | 32.21 ± 0.93 b | 1532.82 ± 20.21 d |
| ‘Syrah’ | ||||||
| Sy-C | 19.40 ± 0.24 a | 0.46 ± 0.01 b | 58.77 ± 0.02 a | 969.63 ± 12.57 a | 40.76 ± 2.98 a | 995.89 ± 26.27 a |
| Sy-US | 23.47 ± 0.44 b | 0.47 ± 0.00 b | 70.91 ± 1.31 c | 1087.59 ± 35.62 b | 49.07 ± 0.80 bc | 1340.05 ± 46.32 c |
| Sy-CMV | 23.16 ± 0.34 b | 0.44 ± 0.00 a | 65.92 ± 0.08 b | 1088.31 ± 23.33 b | 45.31 ± 1.07 b | 1103.79 ± 41.89 b |
| Sy-USMV | 24.77 ± 0.60 c | 0.46 ± 0.00 ab | 75.65 ± 0.85 d | 1114.39 ± 11.44 b | 50.49 ± 1.18 c | 1315.48 ± 0.85 c |
| TTp | mDP | %EGC | %Gal | EGC | ECG | |
|---|---|---|---|---|---|---|
| ‘Monastrell’ | ||||||
| Mo-C | 752.70 ± 59.91 bc | 6.82 ± 0.28 b | 18.63 ± 0.59 c | 2.10 ± 0.31 a | 472.87 ± 28.47 b | 53.17 ± 7.70 ab |
| Mo-US | 534.19 ± 45.37 a | 6.11 ± 0.08 a | 16.68 ± 0.55 b | 2.32 ± 0.04 ab | 301.42 ± 35.46 a | 41.92 ± 4.09 a |
| Mo-CMV | 699.01 ± 37.28 b | 8.05 ± 0.21 c | 17.38 ± 0.82 bc | 2.34 ± 0.09 ab | 410.65 ± 40.84 b | 55.17 ± 2.16 b |
| Mo-USMV | 834.19 ± 13.09 c | 6.82 ± 0.07 b | 15.10 ± 0.06 a | 2.65 ± 0.07 b | 424.84 ± 8.50 b | 74.53 ± 0.77 c |
| ‘Syrah’ | ||||||
| Sy-C | 440.57 ± 56.58 a | 6.46 ± 0.29 b | 22.60 ± 1.36 b | 4.54 ± 0.49 a | 332.56 ± 59.72 a | 65.98 ± 4.13 a |
| Sy-US | 759.78 ± 54.25 b | 5.20 ± 0.09 a | 19.58 ± 0.55 a | 4.24 ± 0.09 a | 496.94 ± 44.14 bc | 107.40 ± 5.74 b |
| Sy-CMV | 464.98 ± 97.36 a | 6.59 ± 0.19 b | 23.92 ± 0.37 b | 4.17 ± 0.26 a | 369.93 ± 72.59 ab | 65.02 ± 16.13 a |
| Sy-USMV | 843.46 ± 8.74 b | 4.84 ± 0.07 a | 18.29 ± 0.10 a | 4.29 ± 0.15 a | 515.23 ± 7.21 c | 120.87 ± 4.76 b |
| Total Area | Fraction 1 (HMM) | Fraction 2 (MMM) | Fraction 3 (LMM) | |
|---|---|---|---|---|
| ‘Monastrell’ | ||||
| Mo-C | 1.53 | 0.29 (19.03%) | 0.51 (33.24%) | 0.69 (45.40%) |
| Mo-US | 1.27 | 0.26 (20.52%) | 0.49 (38.27%) | 0.49 (38.71%) |
| Mo-CMV | 1.43 | 0.33 (23.09%) | 0.51 (35.58%) | 0.56 (38.91%) |
| Mo-USMV | 1.74 | 0.46 (26.66%) | 0.61 (34.70%) | 0.63 (36.41%) |
| ‘Syrah’ | ||||
| Sy-C | 1.66 | 0.17 (10.14%) | 0.65 (39.04%) | 0.83 (50.17%) |
| Sy-US | 2.09 | 0.30 (14.40%) | 0.86 (41.29%) | 0.91 (43.60%) |
| Sy-CMV | 1.86 | 0.21 (11.42%) | 0.73 (39.12%) | 0.91 (48.79%) |
| Sy-USMV | 2.28 | 0.36 (15.94%) | 0.91 (40.06%) | 0.99 (43.34%) |
Disclaimer/Publisher’s Note: The statements, opinions and data contained in all publications are solely those of the individual author(s) and contributor(s) and not of MDPI and/or the editor(s). MDPI and/or the editor(s) disclaim responsibility for any injury to people or property resulting from any ideas, methods, instructions or products referred to in the content. |
© 2024 by the authors. Licensee MDPI, Basel, Switzerland. This article is an open access article distributed under the terms and conditions of the Creative Commons Attribution (CC BY) license (https://creativecommons.org/licenses/by/4.0/).
Share and Cite
Pérez-Porras, P.; Bautista-Ortín, A.B.; Martínez-Lapuente, L.; Guadalupe, Z.; Ayestarán, B.; Gómez-Plaza, E. The Generation of Suspended Cell Wall Material May Limit the Effect of Ultrasound Technology in Some Varietal Wines. Foods 2024, 13, 1306. https://doi.org/10.3390/foods13091306
Pérez-Porras P, Bautista-Ortín AB, Martínez-Lapuente L, Guadalupe Z, Ayestarán B, Gómez-Plaza E. The Generation of Suspended Cell Wall Material May Limit the Effect of Ultrasound Technology in Some Varietal Wines. Foods. 2024; 13(9):1306. https://doi.org/10.3390/foods13091306
Chicago/Turabian StylePérez-Porras, Paula, Ana Belén Bautista-Ortín, Leticia Martínez-Lapuente, Zenaida Guadalupe, Belén Ayestarán, and Encarna Gómez-Plaza. 2024. "The Generation of Suspended Cell Wall Material May Limit the Effect of Ultrasound Technology in Some Varietal Wines" Foods 13, no. 9: 1306. https://doi.org/10.3390/foods13091306
APA StylePérez-Porras, P., Bautista-Ortín, A. B., Martínez-Lapuente, L., Guadalupe, Z., Ayestarán, B., & Gómez-Plaza, E. (2024). The Generation of Suspended Cell Wall Material May Limit the Effect of Ultrasound Technology in Some Varietal Wines. Foods, 13(9), 1306. https://doi.org/10.3390/foods13091306

