Effects of Carbon Dots/PVA Film Combined with Radio Frequency Treatment on Storage Quality of Fried Meatballs
Abstract
1. Introduction
2. Materials and Methods
2.1. Materials
2.2. Production of CDs/PVA Film
2.3. Characterization of CDs/PVA Film
2.4. Functional Properties of CDs/PVA Film
2.4.1. Antioxidant Activities of CDs/PVA Film
2.4.2. Antibacterial Activities of CDs/PVA Film
2.5. RF Sterilization Effect and Sterilization Mechanism
2.5.1. Preparation of Bacterial Suspension
2.5.2. RF Sterilization Effect
2.5.3. Sterilization Mechanism of RF Treatment
Determination of Relative Conductivity
The Extracellular Protein and Nucleic Acid
Determination of Alkaline Phosphatase (AKP)
Determination of Na+/K+-ATPase
2.6. Experiment on the Storage of Meatballs
2.6.1. Determination of TBC
2.6.2. Determination of TVB-N Value
2.6.3. Determination of pH Value
2.6.4. Determination of TBARS Value
2.6.5. Determination of POV
2.7. Statistical Analysis
3. Results and Discussion
3.1. Characterization of the CDs and CDs/PVA Film
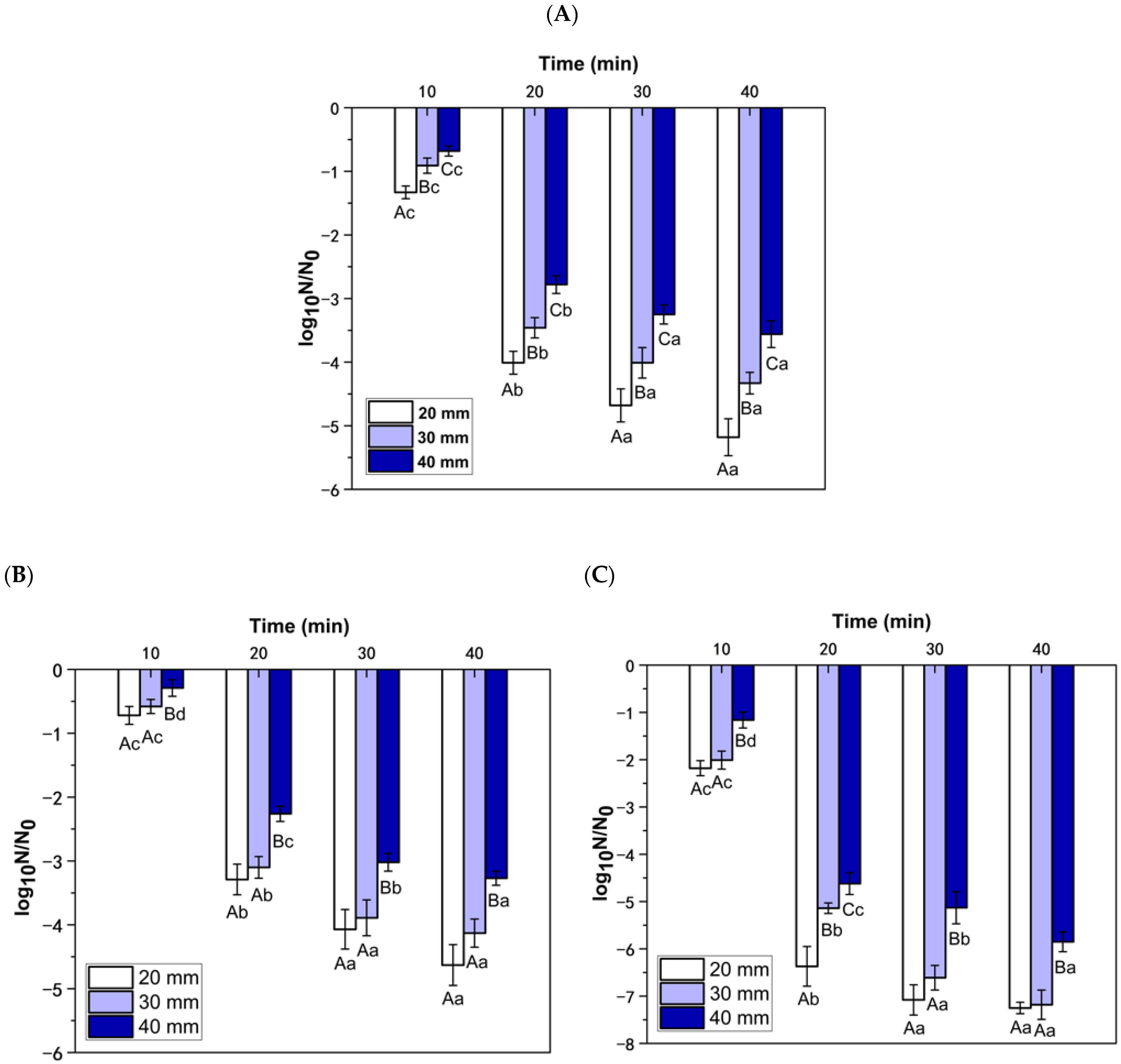
3.2. Sterilization Effect of RF Treatment
3.3. Sterilization Mechanism of RF Treatment
3.4. Temperature Uniformity of RF Treatment
3.5. Effect of CDs/PVA Film Combined with RF Treatment on the Storage Quality of Meatballs
3.5.1. Microbial Analysis
3.5.2. TVB-N and pH Analysis
3.5.3. TBARS and POV Analysis
4. Conclusions
Author Contributions
Funding
Institutional Review Board Statement
Informed Consent Statement
Data Availability Statement
Conflicts of Interest
References
- Tang, T.; Zhang, M.; Law, C.L.; Mujumdar, A.S. Novel strategies for controlling nitrite content in prepared dishes: Current status, potential benefits, limitations and future challenges. Food Res. Int. 2023, 170, 112984. [Google Scholar] [CrossRef] [PubMed]
- Jiao, Y.; Tang, J.; Wang, Y.; Koral, T.L. Radio-frequency applications for food processing and safety. Annu. Rev. Food Sci. Technol. 2018, 9, 105–127. [Google Scholar] [CrossRef] [PubMed]
- Ma, L.; Zhang, M.; Zhao, S. Effect of radio-frequency heating on microbial load, flavor, color, and texture profiles of Cordyceps militaris. J. Sci. Food Agric. 2019, 99, 136–142. [Google Scholar] [CrossRef] [PubMed]
- Xu, J.; Zhang, M.; Adhikari, B. Comparative study on the effect of radio frequency and high-pressure pasteurization on the texture, water distribution, and rheological properties of Nostoc sphaeroides. J. Appl. Phycol. 2018, 30, 1041–1048. [Google Scholar] [CrossRef]
- Wang, L.; Wang, X.; Ma, J.; Yang, K.; Feng, X.; You, X.; Wang, S.; Zhang, Y.; Xiong, G.; Wang, L.; et al. Effects of radio frequency heating on water distribution and structural properties of grass carp myofibrillar protein gel. Food Chem. 2021, 343, 128557. [Google Scholar] [CrossRef]
- Yang, Y.; Geveke, D. Shell egg pasteurization using radio frequency in combination with hot air or hot water. Food Microbiol. 2020, 85, 103281. [Google Scholar] [CrossRef]
- Omerović, N.; Djisalov, M.; Živojević, K.; Mladenović, M.; Vunduk, J.; Milenković, I.; Knežević, N.Ž.; Gadjanski, I.; Vidić, J. Antimicrobial nanoparticles and biodegradable polymer composites for active food packaging applications. Compr. Rev. Food Sci. Food Saf. 2021, 20, 2428–2454. [Google Scholar] [CrossRef]
- Fu, B.; Liu, Q.; Liu, M.; Chen, X.; Lin, H.; Zheng, Z.; Zhu, J.; Dai, C.; Dong, X.; Yang, D.-P. Carbon dots enhanced gelatin/chitosan bio-nanocomposite packaging film for perishable foods. Chin. Chem. Lett. 2022, 33, 4577–4582. [Google Scholar] [CrossRef]
- Wang, B.; Lu, S. The light of carbon dots: From mechanism to applications. Matter 2022, 5, 110–149. [Google Scholar] [CrossRef]
- Uthirakumar, P.; Devendiran, M.; Kim, T.H.; Lee, I.-H. A convenient method for isolating carbon quantum dots in high yield as an alternative to the dialysis process and the fabrication of a full-band UV blocking polymer film. New J. Chem. 2018, 42, 18312–18317. [Google Scholar] [CrossRef]
- Salimi, F.; Moradi, M.; Tajik, H.; Molaei, R. Optimization and characterization of eco-friendly antimicrobial nanocellulose sheet prepared using carbon dots of white mulberry (Morus alba L.). J. Sci. Food Agric. 2021, 101, 3439–3447. [Google Scholar] [CrossRef] [PubMed]
- Riahi, Z.; Rhim, J.-W.; Bagheri, R.; Pircheraghi, G.; Lotfali, E. Carboxymethyl cellulose-based functional film integrated with chitosan-based carbon quantum dots for active food packaging applications. Prog. Org. Coat. 2022, 166, 106794. [Google Scholar] [CrossRef]
- Roy, S.; Ezati, P.; Rhim, J.W. Gelatin/Carrageenan-Based Functional Films with Carbon Dots from Enoki Mushroom for Active Food Packaging Applications. ACS Appl. Polym. Mater. 2021, 3, 6437–6445. [Google Scholar] [CrossRef]
- Jamroz, E.; Kopel, P.; Tkaczewska, J.; Dordevic, D.; Jancikova, S.; Kulawik, P.; Milosavljevic, V.; Dolezelikova, K.; Smerkova, K.; Svec, P.; et al. Nanocomposite Furcellaran Films-the Influence of Nanofillers on Functional Properties of Furcellaran Films and Effect on Linseed Oil Preservation. Polymers 2019, 11, 2046. [Google Scholar] [CrossRef] [PubMed]
- Kousheh, S.A.; Moradi, M.; Tajik, H.; Molaei, R. Preparation of antimicrobial/ultraviolet protective bacterial nanocellulose film with carbon dots synthesized from lactic acid bacteria. Int. J. Biol. Macromol. 2020, 155, 216–225. [Google Scholar] [CrossRef]
- Deng, Y.; Wu, Y.; Zheng, Y.; Wang, D.; Liu, Z. Evaluation of the inactivation kinetics of Cronobacter sakazakii in infant formula treated by radio frequency dielectric heating and UVC light. Philipp. Agric. Sci. 2023, 104, 82–89. [Google Scholar]
- Xu, J.; Zhang, M.; Bhandari, B.; Cao, P. Microorganism control and product quality improvement of Twice-cooked pork dish using ZnO nanoparticles combined radio frequency pasteurization. LWT—Food Sci. Technol. 2018, 95, 65–71. [Google Scholar] [CrossRef]
- Zhang, L.; Zhang, M.; Ju, R.; Mujumdar, A.S.; Liu, K. Synergistic antibacterial mechanism of different essential oils and their effect on quality attributes of ready-to-eat pakchoi (Brassica campestris L. ssp. chinensis). Int. J. Food Microbiol. 2022, 379, 109845. [Google Scholar] [CrossRef]
- Lin, Y.; Tang, X.; Xu, L.; Wang, S. Antibacterial properties and possible action mechanism of chelating peptides-zinc nanocomposite against Escherichia coli. Food Control 2019, 106, 106675. [Google Scholar] [CrossRef]
- Fang, Z.; Xu, L.; Lin, Y.; Cai, X.; Wang, S. The preservative potential of Octopus scraps peptides—Zinc chelate against Staphylococcus aureus: Its fabrication, antibacterial activity and action mode. Food Control 2019, 98, 24–33. [Google Scholar] [CrossRef]
- GB 4789.2-2010; National Food Safety Standard Food Microbiological Examination: Aerobic Plate Count. China Standard Publishing House: Beijing, China, 2010.
- Wan, J.; Pei, Y.; Hu, Y.; Ai, T.; Sheng, F.; Li, J.; Li, B. Microencapsulation of eugenol through gelatin-based emulgel for preservation of refrigerated meat. Food Bioprocess Technol. 2020, 13, 1621–1632. [Google Scholar] [CrossRef]
- GB/T 9695.5-2008; Meat and Meat Products—Measurement of pH. China Standard Publishing House: Beijing, China, 2008.
- Wang, Q.; Zhang, L.; Ding, W. Eugenol nanocapsules embedded with gelatin-chitosan for chilled pork preservation. Int. J. Biol. Macromol. 2020, 158, 837–844. [Google Scholar] [CrossRef] [PubMed]
- GB 5009.227-2016; National Food Safety Standard Determination of Peroxide Value in Food. China Standard Publishing House: Beijing, China, 2016.
- Mathew, S.; Snigdha, S.; Mathew, J.; Radhakrishnan, E.K. Biodegradable and active nanocomposite pouches reinforced with silver nanoparticles for improved packaging of chicken sausages. Food Packag. Shelf Life 2019, 19, 155–166. [Google Scholar] [CrossRef]
- Hu, M.; Gu, X.; Hu, Y.; Deng, Y.; Wang, C. PVA/Carbon Dot Nanocomposite Hydrogels for Simple Introduction of Ag Nanoparticles with Enhanced Antibacterial Activity. Macromol. Mater. Eng. 2016, 301, 1352–1362. [Google Scholar] [CrossRef]
- Patil, A.S.; Waghmare, R.D.; Pawar, S.P.; Salunkhe, S.T.; Kolekar, G.B.; Sohn, D.; Gore, A.H. Photophysical insights of highly transparent, flexible and re-emissive PVA@WTR-CDs composite thin films: A next generation food packaging material for UV blocking applications. J. Photochem. Photobiol. A Chem. 2020, 400, 112647. [Google Scholar] [CrossRef]
- Ezati, P.; Rhim, J.W.; Molaei, R.; Rezaei, Z. Carbon quantum dots-based antifungal coating film for active packaging application of avocado. Food Packag. Shelf Life 2022, 33, 100878. [Google Scholar] [CrossRef]
- Fan, K.; Zhang, M.; Fan, D.; Jiang, F. Effect of carbon dots with chitosan coating on microorganisms and storage quality of modified-atmosphere-packaged fresh-cut cucumber. J. Sci. Food Agric. 2019, 99, 6032–6041. [Google Scholar] [CrossRef]
- Rani, S.; Kumar, K.D.; Mandal, S.; Kumar, R. Functionalized carbon dot nanoparticles reinforced soy protein isolate biopolymeric film. J. Polym. Res. 2020, 27, 312. [Google Scholar] [CrossRef]
- Zhu, H.; Li, D.; Ma, J.; Du, Z.; Li, P.; Li, S.; Wang, S. Radio frequency heating uniformity evaluation for mid-high moisture food treated with cylindrical electromagnetic wave conductors. Innov. Food Sci. Emerg. Technol. 2018, 47, 56–70. [Google Scholar] [CrossRef]
- Lau, S.K.; Thippareddi, H.; Subbiah, J. Radiofrequency heating for enhancing microbial safety of shell eggs immersed in deionized water. J. Food Sci. 2017, 82, 2933–2943. [Google Scholar] [CrossRef]
- Dong, S.; Yang, X.; Zhao, L.; Zhang, F.; Hou, Z.; Xue, P. Antibacterial activity and mechanism of action saponins from Chenopodium quinoa Willd. husks against foodborne pathogenic bacteria. Ind. Crops Prod. 2020, 149, 112350. [Google Scholar] [CrossRef]
- Moghimi, R.; Aliahmadi, A.; McClements, D.J.; Rafati, H. Investigations of the effectiveness of nanoemulsions from sage oil as antibacterial agents on some food borne pathogens. LWT—Food Sci. Technol. 2016, 71, 69–76. [Google Scholar] [CrossRef]
- Zhao, L.; Yin, L.; Lei, Z.; Bu, Y.; Zhang, C.; Yang, Y.; Kong, Y. Evaluation of Quality Changes of Leisure Dried Tofu During Storage Based on Electronic Nose. Nanosci. Nanotechnol. Lett. 2017, 9, 705–711. [Google Scholar] [CrossRef]
- Xu, L.; Zhu, M.-J.; Liu, X.-M.; Cheng, J.-R. Inhibitory effect of mulberry (Morus alba) polyphenol on the lipid and protein oxidation of dried minced pork slices during heat processing and storage. LWT—Food Sci. Technol. 2018, 91, 222–228. [Google Scholar] [CrossRef]
- Rubel, S.A.; Yu, Z.N.; Murshed, H.M.; Islam, S.A.; Sultana, D.; Rahman, S.M.E.; Wang, J. Addition of olive (Olea europaea) leaf extract as a source of natural antioxidant in mutton meatball stored at refrigeration temperature. J. Food Sci. Technol. 2021, 58, 4002–4010. [Google Scholar] [CrossRef]
- Sun, Y.; Zhang, M.; Bhandari, B.; Yang, C.-H. Ultrasound treatment of frozen crayfish with chitosan Nano-composite water-retaining agent: Influence on cryopreservation and storage qualities. Food Res. Int. 2019, 126, 108670. [Google Scholar] [CrossRef]
- Blasi, F.; Rocchetti, G.; Montesano, D.; Lucini, L.; Chiodelli, G.; Ghisoni, S.; Baccolo, G.; Simonetti, M.S.; Cossignani, L. Changes in extra-virgin olive oil added with Lycium barbarum L. carotenoids during frying: Chemical analyses and metabolomic approach. Food Res. Int. 2018, 105, 507–516. [Google Scholar] [CrossRef]











| Thickness (μm) | Mechanical Performances | Color Parameters | ||||
|---|---|---|---|---|---|---|
| Tensile Strength (MPa) | Elongation at Break (%) | L* | a* | b* | ||
| PVA | 38.75 ± 1.25 a | 56.86 ± 1.10 b | 51.79 ± 6.95 a | 96.77 ± 0.09 b | 0.06 ± 0.01 b | 1.38 ± 0.06 b |
| CDs/PVA | 40.83 ± 1.44 a | 79.31 ± 6.77 a | 42.74 ± 4.67 b | 75.94 ± 0.21 a | 4.44 ± 0.30 a | 44.92 ± 0.58 a |
Disclaimer/Publisher’s Note: The statements, opinions and data contained in all publications are solely those of the individual author(s) and contributor(s) and not of MDPI and/or the editor(s). MDPI and/or the editor(s) disclaim responsibility for any injury to people or property resulting from any ideas, methods, instructions or products referred to in the content. |
© 2024 by the authors. Licensee MDPI, Basel, Switzerland. This article is an open access article distributed under the terms and conditions of the Creative Commons Attribution (CC BY) license (https://creativecommons.org/licenses/by/4.0/).
Share and Cite
Zhao, L.; Jiang, H.; Han, Z.; Gu, W.; Meng, X. Effects of Carbon Dots/PVA Film Combined with Radio Frequency Treatment on Storage Quality of Fried Meatballs. Foods 2024, 13, 3653. https://doi.org/10.3390/foods13223653
Zhao L, Jiang H, Han Z, Gu W, Meng X. Effects of Carbon Dots/PVA Film Combined with Radio Frequency Treatment on Storage Quality of Fried Meatballs. Foods. 2024; 13(22):3653. https://doi.org/10.3390/foods13223653
Chicago/Turabian StyleZhao, Linlin, Huinan Jiang, Zhengxuan Han, Wenqin Gu, and Xiangren Meng. 2024. "Effects of Carbon Dots/PVA Film Combined with Radio Frequency Treatment on Storage Quality of Fried Meatballs" Foods 13, no. 22: 3653. https://doi.org/10.3390/foods13223653
APA StyleZhao, L., Jiang, H., Han, Z., Gu, W., & Meng, X. (2024). Effects of Carbon Dots/PVA Film Combined with Radio Frequency Treatment on Storage Quality of Fried Meatballs. Foods, 13(22), 3653. https://doi.org/10.3390/foods13223653

