Yellow Mustard Protein a Immunoreactivity Reduction Through Seed Germination, Lactic Acid Fermentation, and Cooking
Abstract
1. Introduction
2. Materials and Methods
2.1. Mustard Samples
2.2. Seed Germination
2.3. Lactic Acid Fermentation
2.4. Sandwich ELISA
2.5. Fourier Transform Infrared Spectroscopy (FTIR)
2.6. Conventional Cooking of Treated Samples
2.7. Phenolic Compounds and Antioxidant Activity
2.7.1. Extraction of Phenolic Compounds
2.7.2. DPPH Antioxidant Scavenging Activity
2.7.3. Total Phenol Content
2.8. Statistical Analysis
3. Results
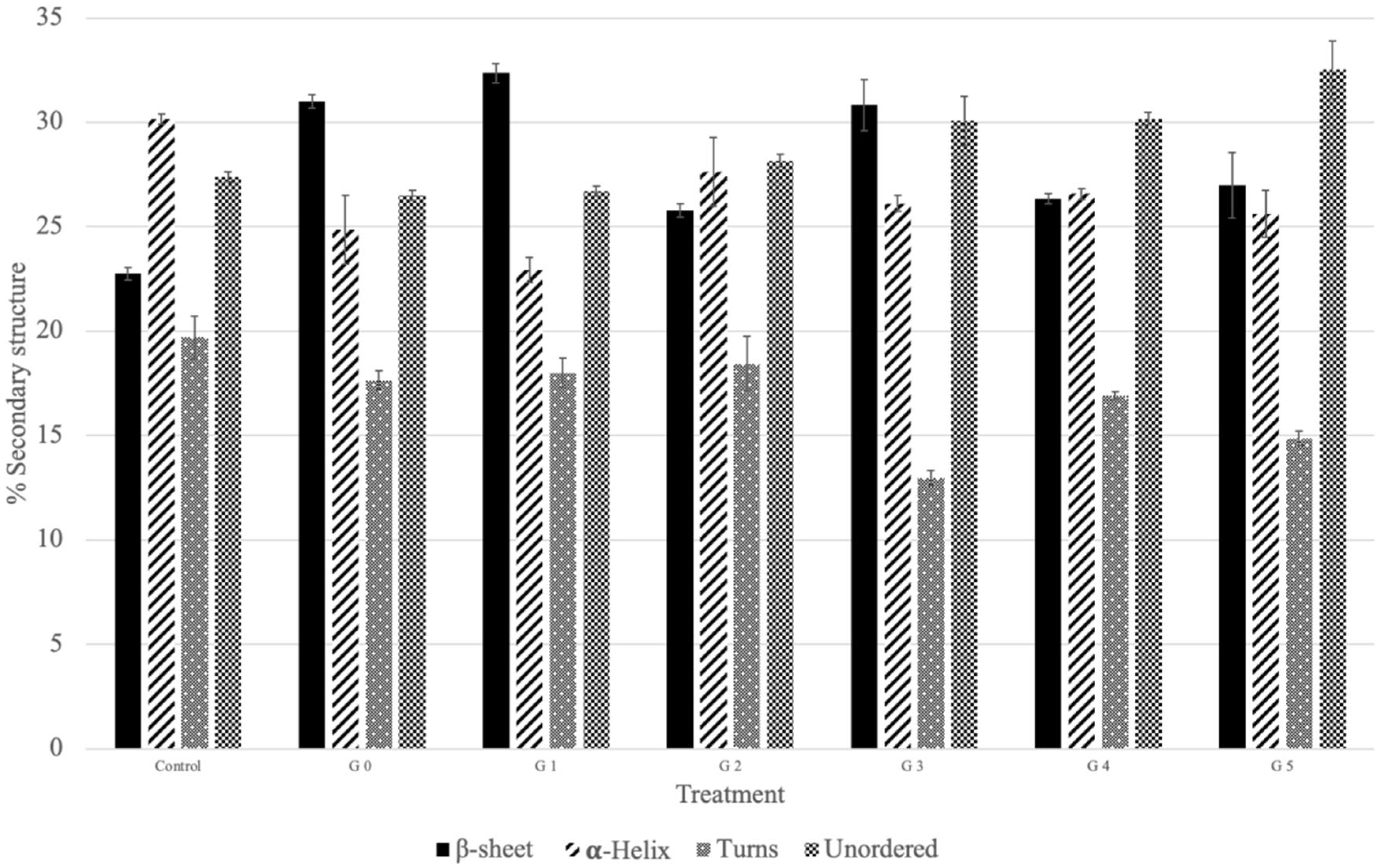
3.1. Germination Studies
3.1.1. Mustard Protein Immunoreactivity (IR) Reduction
3.1.2. Fourier-Transform Infrared Spectroscopy of Thermally Processed Samples
3.2. Fermentation Studies
3.2.1. Mustard Protein Immunoreactivity Reduction
3.2.2. FTIR Results
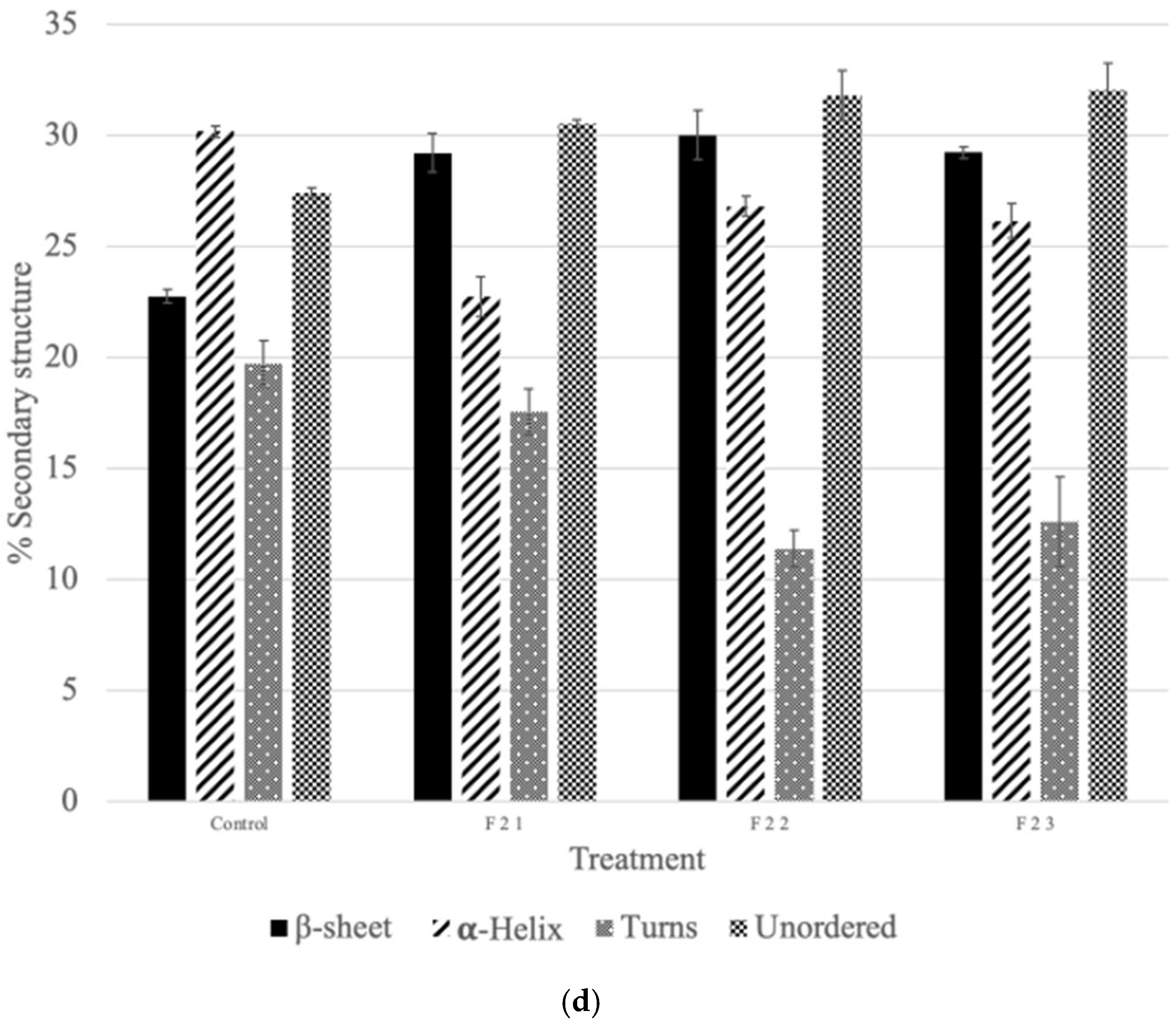
3.3. Combination of Germination and Fermentation Treatments
3.3.1. Mustard Protein Immunoreactivity Results
3.3.2. FTIR Results
3.4. Conventional Cooking
3.5. Antioxidant and Total Phenolic Content
4. Conclusions
Author Contributions
Funding
Institutional Review Board Statement
Informed Consent Statement
Data Availability Statement
Acknowledgments
Conflicts of Interest
References
- Lee, P.W.; Hefle, S.; Taylor, S. Sandwich enzyme-linked immunosorbent assay (ELISA) for detection of mustard in foods. J. Food Sci. 2008, 73, T62–T68. [Google Scholar] [CrossRef] [PubMed]
- Agriculture and Agri-Food Canada (AAFC), (2009a) Mustard Seed. Available online: http://www4.agr.gc.ca/AAFC-AAC/display-afficher.do?id=1175116081724&lang=eng (accessed on 30 January 2009).
- World Health Organization. Mustard: A Priority Food Allergen in Canada—A Systematic Review; Health Canada: Ottawa, Canada, 2010. [Google Scholar]
- Caballero, T.; San-Martín, M.S.; Padial, M.A.; Contreras, J.; Cabañas, R.; Barranco, P.; López-Serrano, M.C. Clinical characteristics of patients with mustard hypersensitivity. Ann. Allergy Asthma Immunol. 2002, 89, 166–171. [Google Scholar] [CrossRef] [PubMed]
- Menendez-Arias, L.; Moneo, I.; Dominguez, J.; Rodriguez, R. Primary structure of the major allergen of yellow mustard (Sinapis alba L.) seed, Sin a I. Eur. J. Biochem. 1988, 177, 159–166. [Google Scholar] [CrossRef] [PubMed]
- Palomares, O.; Vereda, A.; Cuesta-Herranz, J.; Villalba, M.; Rodríguez, R. Cloning, sequencing, and recombinant production of Sin a 2, an allergenic 11S globulin from yellow mustard seeds. J. Allergy Clin. Immunol. 2007, 119, 1189–1196. [Google Scholar] [CrossRef]
- Sirvent, S.; Palomares, O.; Vereda, A.; Villalba, M.; Cuesta-Herranz, J.; Rodríguez, R. nsLTP and profilin are allergens in mustard seeds: Cloning, sequencing and recombinant production of Sin a 3 and Sin a 4. Clin. Exp. Allergy 2009, 39, 1929–1936. [Google Scholar] [CrossRef]
- Khuda, S.E.; Jackson, L.S.; Fu, T.-J.; Williams, K.M. Effects of processing on the recovery of food allergens from a model dark chocolate matrix. Food Chem. 2015, 168, 580–587. [Google Scholar] [CrossRef]
- Verhoeckx, K.C.; Vissers, Y.M.; Baumert, J.L.; Faludi, R.; Feys, M.; Flanagan, S.; Herouet-Guicheney, C.; Holzhauser, T.; Shimojo, R.; van der Bolt, N.; et al. Food processing and allergenicity. Food Chem. Toxicol. 2015, 80, 223–240. [Google Scholar] [CrossRef]
- Sathe, S.K.; Teuber, S.S.; Roux, K.H. Effects of food processing on the stability of food allergens. Biotechnol. Adv. 2005, 23, 423–429. [Google Scholar] [CrossRef]
- Sathe, S.K.; Liu, C.; Zaffran, V.D. Food allergy. Annu. Rev. Food Sci. Technol. 2016, 7, 191–220. [Google Scholar] [CrossRef]
- Jawanda, S.K.; Kafrani, R.S.; Ramaswamy, H. Tracking mustard slurry allergen reactivity through stove top cooking and enhanced thermal treatments using sandwich ELISA. Food Bioprocess Technol. 2022, 15, 806–820. [Google Scholar] [CrossRef]
- Kang, I.-H.; Srivastava, P.; Ozias-Akins, P.; Gallo, M. Temporal and spatial expression of the major allergens in developing and germinating peanut seed. Plant Physiol. 2007, 144, 836–845. [Google Scholar] [CrossRef] [PubMed]
- Wu, Y.M.; Guan, R.X.; Liu, Z.X.; Li, R.Z.; Chang, R.Z.; Qiu, L.J. Synthesis and degradation of the major allergens in developing and germinating soybean seed. J. Integr. Plant Biol. 2012, 54, 4–14. [Google Scholar] [CrossRef] [PubMed]
- Daussant, J.; Ory, R.L.; Layton, L.L. Characterization of proteins and allergens in germinating castor seeds by immunochemical techniques. J. Agric. Food Chem. 1976, 24, 103–107. [Google Scholar] [CrossRef] [PubMed]
- Wang, G.; Lei, Z.; Zhong, Q.; Wu, W.; Zhang, H.; Min, T.; Wu, H.; Lai, F. Enrichment of caffeic acid in peanut sprouts and evaluation of its in vitro effectiveness against oxidative stress-induced erythrocyte hemolysis. Food Chem. 2017, 217, 332–341. [Google Scholar] [CrossRef]
- Li, Y.-C.; Qian, H.; Sun, X.-L.; Cui, Y.; Wang, H.-Y.; Du, C.; Xia, X.-H. The effects of germination on chemical composition of peanut seed. Food Sci. Technol. Res. 2014, 20, 883–889. [Google Scholar] [CrossRef][Green Version]
- Assou, J.; Zhang, D.B.; Roth, K.D.R.; Steinke, S.; Hust, M.; Reinard, T.; Winkelmann, T.; Boch, J. Removing the major allergen Bra j I from brown mustard (Brassica juncea) by CRISPR/Cas9. Plant J. 2022, 109, 649–663. [Google Scholar] [CrossRef]
- Frias, J.; Song, Y.S.; Martínez-Villaluenga, C.; De Mejia, E.G.; Vidal-Valverde, C. Immunoreactivity and amino acid content of fermented soybean products. J. Agric. Food Chem. 2008, 56, 99–105. [Google Scholar] [CrossRef]
- Chen, L.; Song, P.; Jia, F.; Wang, J.S. Reducing the allergenicity from food by microbial fermentation. Adv. Mater. Res. 2012, 524, 2302–2305. [Google Scholar] [CrossRef]
- Song, Y.-S.; Frías, J.; Martinez-Villaluenga, C.; Vidal-Valdeverde, C.; de Mejia, E.G. Immunoreactivity reduction of soybean meal by fermentation, effect on amino acid composition and antigenicity of commercial soy products. Food Chem. 2008, 108, 571–581. [Google Scholar] [CrossRef]
- Bu, G.; Luo, Y.; Zhang, Y.; Chen, F. Effects of fermentation by lactic acid bacteria on the antigenicity of bovine whey proteins. J. Sci. Food Agric. 2010, 90, 2015–2020. [Google Scholar] [CrossRef]
- Shekib, L.A. Nutritional improvement of lentils, chick pea, rice and wheat by natural fermentation. Plant Foods Hum. Nutr. 1994, 46, 201–205. [Google Scholar] [CrossRef] [PubMed]
- van Hengel, A.J. Food allergen detection methods and the challenge to protect food-allergic consumers. Anal. Bioanal. Chem. 2007, 389, 111–118. [Google Scholar] [CrossRef] [PubMed]
- Dong, X.; Wang, J.; Raghavan, V. Critical reviews and recent advances of novel non-thermal processing techniques on the modification of food allergens. Crit. Rev. Food Sci. Nutr. 2021, 61, 196–210. [Google Scholar] [CrossRef] [PubMed]
- Shim, Y.-Y.; Wanasundara, J.P. Quantitative detection of allergenic protein Sin a 1 from yellow mustard (Sinapis alba L.) seeds using enzyme-linked immunosorbent assay. J. Agric. Food Chem. 2008, 56, 1184–1192. [Google Scholar] [CrossRef]
- Carbonaro, M.; Maselli, P.; Nucara, A. Relationship between digestibility and secondary structure of raw and thermally treated legume proteins: A Fourier transform infrared (FT-IR) spectroscopic study. Amino Acids 2012, 43, 911–921. [Google Scholar] [CrossRef]
- Michalcová, E.; Potocká, E.; Chmelová, D.; Ondrejovič, M. Study of wheat protein degradation during germination. J. Microbiol. Biotechnol. Food Sci. 2021, 2021, 1437–1449. [Google Scholar]
- Chen, Y.S.; Yanagida, F.; Hsu, J.S. Isolation and characterization of lactic acid bacteria from suan-tsai (fermented mustard), a traditional fermented food in Taiwan. J. Appl. Microbiol. 2006, 101, 125–130. [Google Scholar] [CrossRef]
- Achouri, A.; Boye, J.I. Thermal processing, salt and high pressure treatment effects on molecular structure and antigenicity of sesame protein isolate. Food Res. Int. 2013, 53, 240–251. [Google Scholar] [CrossRef]
- Marathe, S.A.; Rajalakshmi, V.; Jamdar, S.N.; Sharma, A. Comparative study on antioxidant activity of different varieties of commonly consumed legumes in India. Food Chem. Toxicol. 2011, 49, 2005–2012. [Google Scholar] [CrossRef]
- Peters, K.; Delong, H.; Hossain, K. Anthocyanin, total polyphenols and antioxidant activity of common bean. Am. J. Food Technol. 2011, 6, 385–394. [Google Scholar]
- Madaan, R.; Bansal, G.; Kumar, S.; Sharma, A. Estimation of total phenols and flavonoids in extracts of Actaea spicata roots and antioxidant activity studies. Indian J. Pharm. Sci. 2011, 73, 666. [Google Scholar] [CrossRef] [PubMed]
- Abbott, M.; Hayward, S.; Ross, W.; Godefroy, S.B.; Ulberth, F.; Van Hengel, A.J.; Roberts, J.; Akiyama, H.; Popping, B.; Yeung, J.M.; et al. Validation procedures for quantitative food allergen ELISA methods: Community guidance and best practices. J. AOAC Int. 2010, 93, 442–450. [Google Scholar] [CrossRef] [PubMed]
- Rao, H.; Chen, C.; Tian, Y.; Li, Y.; Gao, Y.; Tao, S.; Xue, W. Germination results in reduced allergenicity of peanut by degradation of allergens and resveratrol enrichment. Innov. Food Sci. Emerg. Technol. 2018, 50, 188–195. [Google Scholar] [CrossRef]
- Huson, M.G.; Strounina, E.V.; Kealley, C.S.; Rout, M.K.; Church, J.S.; Appelqvist, I.A.; Gilbert, E.P. Effects of thermal denaturation on the solid-state structure and molecular mobility of glycinin. Biomacromolecules 2011, 12, 2092–2102. [Google Scholar] [CrossRef]
- Ahmed, J.; Mulla, M.Z.; Arfat, Y.A. Particle size, rheological and structural properties of whole wheat flour doughs as treated by high pressure. Int. J. Food Prop. 2017, 20, 1829–1842. [Google Scholar] [CrossRef]
- Wang, Y.; Yang, R.; Ding, L.; Xie, X.; Liu, H. FTIR and Proteome Analysis of Sunflower Seedling (Helianthus annuus L.) under Lead Stress. In IOP Conference Series: Earth and Environmental Science; IOP Publishing: Bristol, UK, 2018. [Google Scholar]
- Long, G.; Ji, Y.; Pan, H.; Sun, Z.; Li, Y.; Qin, G. Characterization of thermal denaturation structure and morphology of soy glycinin by FTIR and SEM. Int. J. Food Prop. 2015, 18, 763–774. [Google Scholar] [CrossRef]
- Martínez-Velasco, A.; Lobato-Calleros, C.; Hernández-Rodríguez, B.E.; Román-Guerrero, A.; Alvarez-Ramirez, J.; Vernon-Carter, E.J. High intensity ultrasound treatment of faba bean (Vicia faba L.) protein: Effect on surface properties, foaming ability and structural changes. Ultrason. Sonochem. 2018, 44, 97–105. [Google Scholar] [CrossRef]
- Dong, X.; Wang, J.; Raghavan, V. Effects of high-intensity ultrasound processing on the physiochemical and allergenic properties of shrimp. Innov. Food Sci. Emerg. Technol. 2020, 65, 102441. [Google Scholar] [CrossRef]
- Sofi, S.A.; Singh, J.; Muzaffar, K.; Mir, S.A.; Dar, B. Effect of germination time on physico-chemical, functional, pasting, rheology and electrophoretic characteristics of chickpea flour. J. Food Meas. Charact. 2020, 14, 2380–2392. [Google Scholar] [CrossRef]
- Kumar, S.R.; Sadiq, M.B.; Anal, A.K. Comparative study of physicochemical and functional properties of soaked, germinated and pressure cooked Faba bean. J. Food Sci. Technol. 2021, 59, 257–267. [Google Scholar] [CrossRef]
- Kaur, H.; Gill, B.S. Changes in physicochemical, nutritional characteristics and ATR–FTIR molecular interactions of cereal grains during germination. J. Food Sci. Technol. 2021, 58, 2313–2324. [Google Scholar] [CrossRef] [PubMed]
- Kleber, N.; Weyrich, U.; Hinrichs, J. Screening for lactic acid bacteria with potential to reduce antigenic response of β-lactoglobulin in bovine skim milk and sweet whey. Innov. Food Sci. Emerg. Technol. 2006, 7, 233–238. [Google Scholar] [CrossRef]
- Sadh, P.K.; Chawla, P.; Bhandari, L.; Duhan, J.S. Bio-enrichment of functional properties of peanut oil cakes by solid state fermentation using Aspergillus oryzae. J. Food Meas. Charact. 2018, 12, 622–633. [Google Scholar] [CrossRef]
- Shi, C.; He, J.; Yu, J.; Yu, B.; Mao, X.; Zheng, P.; Huang, Z.; Chen, D. Physicochemical properties analysis and secretome of Aspergillus niger in fermented rapeseed meal. PLoS ONE 2016, 11, e0153230. [Google Scholar] [CrossRef]
- Ye, J.-H.; Huang, L.-Y.; Terefe, N.S.; Augustin, M.A. Fermentation-based biotransformation of glucosinolates, phenolics and sugars in retorted broccoli puree by lactic acid bacteria. Food Chem. 2019, 286, 616–623. [Google Scholar] [CrossRef]
- Luan, C.; Zhang, M.; Devahastin, S.; Liu, Y. Effect of two-step fermentation with lactic acid bacteria and Saccharomyces cerevisiae on key chemical properties, molecular structure and flavor characteristics of horseradish sauce. LWT 2021, 147, 111637. [Google Scholar] [CrossRef]
- Maleki, S.J.; Sathe, S.K. The effects of processing methods on allergenic properties of food proteins. Food Allergy 2006, 309–322. [Google Scholar]
- Borș, M.D.; Semeniuc, C.A.; Socaci, S.; Vlaic, R.; Moldovan, O.P.; Pop, A.V.; Tofană, M. The influence of variety and processing on the total phenolic content and antioxidant activity of mustard. Rom. Biotechnol. Lett. 2017, 22, 12514. [Google Scholar]







| Type of Treatment | Temperature (°C) | Time Day(s) | Mustard Protein Concentration (ppm) | Logarithmic Reduction in IR [log(10)] |
|---|---|---|---|---|
| Control | - | - | 246 × 103 ± 1.42 a | 0.00 |
| Germination (G) | 35–40 | 0 | 232 × 103 ± 1.81 b | 0.03 |
| 1 | 38.7 × 103 ± 0.54 c | 0.80 | ||
| 2 | 36.3 × 103 ± 1.31 cde | 0.83 | ||
| 3 | 36.1 × 103 ± 0.25 cde | 0.83 | ||
| 4 | 34.1 × 103 ± 0.46 cef | 0.86 | ||
| 5 | 31.3 × 103 ± 0.33 ef | 0.90 | ||
| Fermentation (F) | 35 | 1 | 36.4 × 103 ± 0.37 cde | 0.83 |
| 2 | 35.4 × 103 ± 0.55 de | 0.84 | ||
| 3 | 33.9 × 103 ± 0.32 ef | 0.86 | ||
| 25 | 1 | 37.5 × 103 ± 0.25 cd | 0.82 | |
| 2 | 36.7 × 103 ± 0.27 cde | 0.83 | ||
| 3 | 35.1 × 103 ± 0.22 de | 0.85 | ||
| G and F | G (35–40), F (35) | G-5, F-3 | 24.4 × 103 ± 0.21 g | 1.01 |
| Type of Treatment | Temperature (°C) | Time (min) | Mustard Protein Concentration (ppm) | Reduction in IR [log(10)] |
|---|---|---|---|---|
| Control | - | - | 26.6 ± 0.59 a | 0.00 |
| Control | 100 | 30 | 15.6 ± 0.2 b | 0.23 |
| 100 | 60 | 8.5 ± 0.6 c | 0.50 | |
| Germination (day 4) | 100 | 30 | 2.20 ± 0.0 d | 1.08 |
| 100 | 60 | 1.93 ± 0.27 d | 1.14 | |
| Germination (day 5) | 100 | 30 | 1.53 ± 0.18 ef | 1.24 |
| 100 | 60 | 1.07 ± 0.11 fg | 1.40 | |
| Fermentation (35 °C) (day 2) | 100 | 30 | 1.77 ± 0.06 de | 1.18 |
| 100 | 60 | 1.23 ± 0.04 efg | 1.33 | |
| Fermentation (35 °C) (day 3) | 100 | 30 | 1.57 ± 0.22 ef | 1.23 |
| 100 | 60 | 1.12 ± 0.34 fg | 1.37 | |
| Germination (day 5) and Fermentation (35 °C) (day 3) | 100 | 30 | 0.89 ± 0.05 gh | 1.48 |
| 100 | 60 | 0.48 ± 0.12 h | 1.74 |
| Type of Treatment | Temp (°C) | Time Day(s) | % Radical Scavenging Activity | Total Phenolic Content (mg GAE/g Sample) |
|---|---|---|---|---|
| Control | - | - | 24.20 ± 0.24 a | 3.49 ± 0.01 a |
| Germination (G) | 35–40 | 0 | 28.59 ± 0.22 bc | 3.85 ± 0.02 b |
| 1 | 29.16 ± 0.11 bcd | 5.85 ± 0.07 f | ||
| 2 | 30.46 ± 0.08 def | 6.72 ± 0.05 g | ||
| 3 | 31.48 ± 0.06 ef | 7.09 ± 0.02 h | ||
| 4 | 31.89 ± 0.26 fg | 7.76 ± 0.03 i | ||
| 5 | 32.05 ± 0.09 fg | 7.92 ± 0.02 i | ||
| Fermentation (F) | 35 | 1 | 28.62 ± 0.13 bc | 5.50 ± 0.01 e |
| 2 | 29.89 ± 0.13 cde | 6.98 ± 0.04 h | ||
| 3 | 30.69 ± 0.09 def | 7.04 ± 0.15 h | ||
| 25 | 1 | 24.69 ± 0.03 a | 4.57 ± 0.10 c | |
| 2 | 25.68 ± 0.04 a | 5.08 ± 0.02 d | ||
| 3 | 28.07 ± 1.96 b | 5.49 ± 0.06 e | ||
| G and F | G (35–40), F (35) | G-5, F-3 | 33.15 ± 0.06 g | 8.16 ± 0.02 j |
Disclaimer/Publisher’s Note: The statements, opinions and data contained in all publications are solely those of the individual author(s) and contributor(s) and not of MDPI and/or the editor(s). MDPI and/or the editor(s) disclaim responsibility for any injury to people or property resulting from any ideas, methods, instructions or products referred to in the content. |
© 2024 by the authors. Licensee MDPI, Basel, Switzerland. This article is an open access article distributed under the terms and conditions of the Creative Commons Attribution (CC BY) license (https://creativecommons.org/licenses/by/4.0/).
Share and Cite
Jawanda, S.K.; Ramaswamy, H.S. Yellow Mustard Protein a Immunoreactivity Reduction Through Seed Germination, Lactic Acid Fermentation, and Cooking. Foods 2024, 13, 3498. https://doi.org/10.3390/foods13213498
Jawanda SK, Ramaswamy HS. Yellow Mustard Protein a Immunoreactivity Reduction Through Seed Germination, Lactic Acid Fermentation, and Cooking. Foods. 2024; 13(21):3498. https://doi.org/10.3390/foods13213498
Chicago/Turabian StyleJawanda, Simran Kaur, and Hosahalli S. Ramaswamy. 2024. "Yellow Mustard Protein a Immunoreactivity Reduction Through Seed Germination, Lactic Acid Fermentation, and Cooking" Foods 13, no. 21: 3498. https://doi.org/10.3390/foods13213498
APA StyleJawanda, S. K., & Ramaswamy, H. S. (2024). Yellow Mustard Protein a Immunoreactivity Reduction Through Seed Germination, Lactic Acid Fermentation, and Cooking. Foods, 13(21), 3498. https://doi.org/10.3390/foods13213498

