High-Resistant Starch Based on Amylopectin Cluster via Extrusion: From the Perspective of Chain-Length Distribution and Structural Formation
Abstract
1. Introduction
2. Materials and Methods
2.1. Materials
2.2. Extrusion Sample Preparation
2.3. In Vitro Digestive Simulation
2.4. CLD Determination
2.4.1. Size-Exclusion Chromatography (SEC)
2.4.2. Fluorophore-Assisted Capillary Electrophoresis (FACE)
2.5. Long-Range Ordering Determination
2.5.1. X-ray Diffraction (XRD)
2.5.2. Small-Angle X-ray Scattering (SAXS)
2.6. Short-Range Ordering and Basic C Skeleton Determination
Fourier Transform Infrared Spectroscopy (FTIR)
2.7. 13C-Nuclear Magnetic Resonance (13C NMR)
2.8. Scanning Electron Microscope (SEM)
2.9. Differential Scanning Calorimetry (DSC)
2.10. Rapid Visco Analyzer (RVA)
2.11. Statistical Analysis
3. Results and Discussion
3.1. RS Content of Extruded Starch
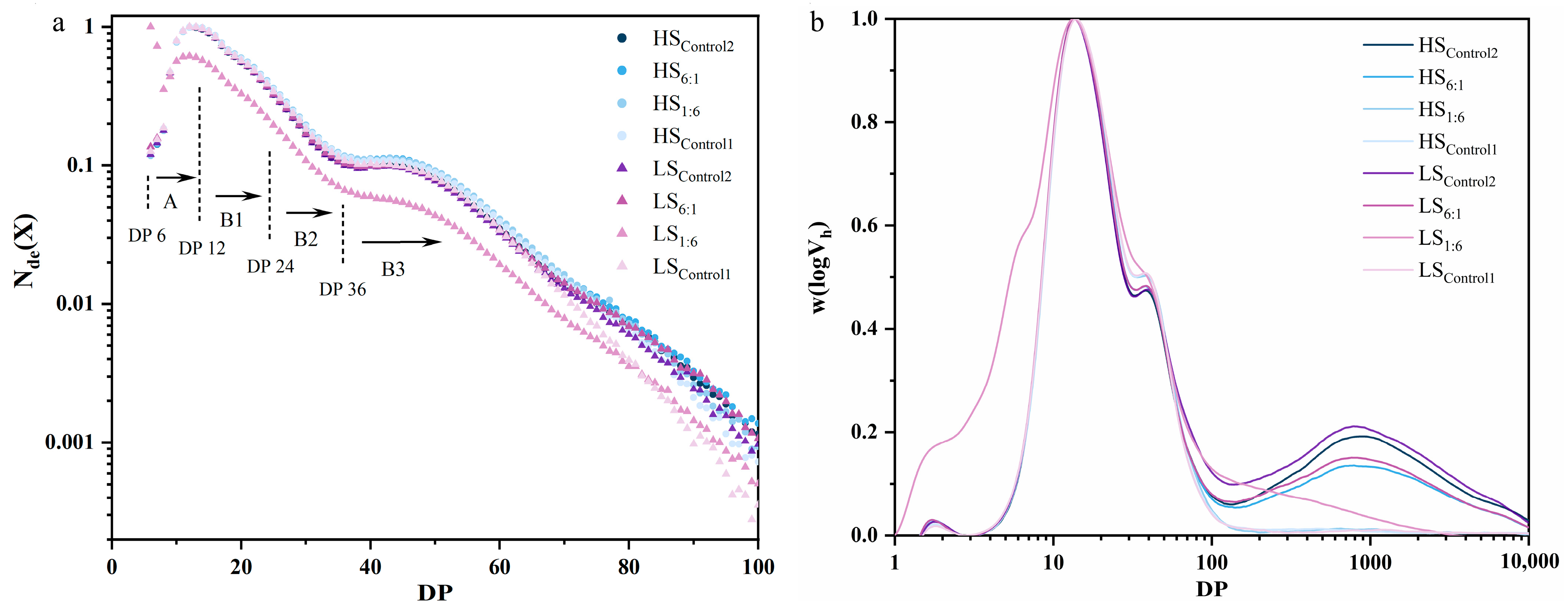
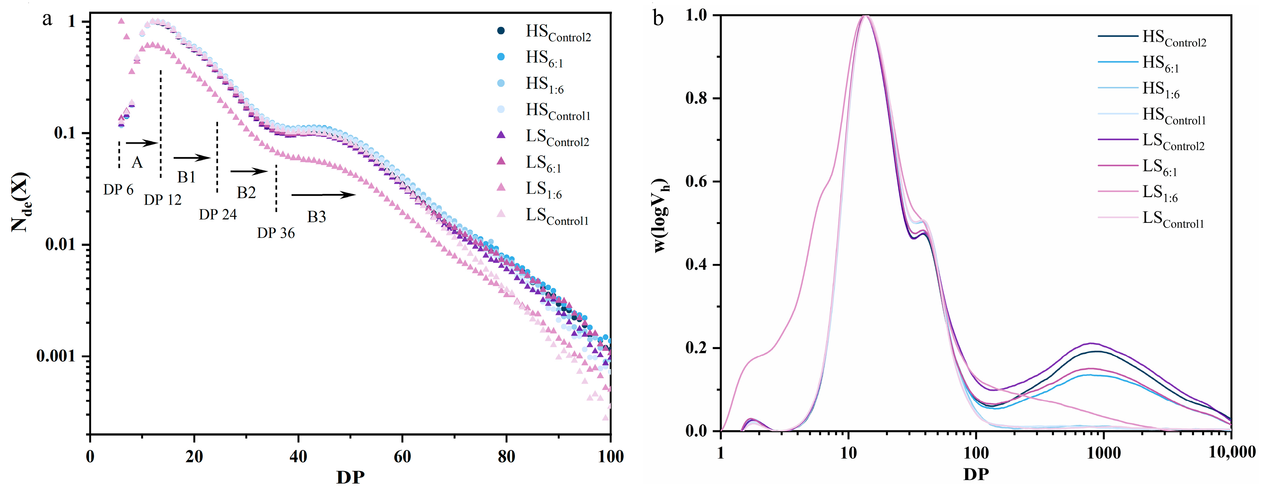
3.2. Structural Features of CLDs
3.3. Long-Range Ordering Structure
3.3.1. Crystal Structure
3.3.2. Long-Period/Lamellar Distance Structure
3.4. Short-Range Ordering Structure
3.5. Microscopic Morphology of Extruded Starch
3.6. Thermal Properties
3.7. Viscosity Characteristics
4. Conclusions
Author Contributions
Funding
Institutional Review Board Statement
Informed Consent Statement
Data Availability Statement
Conflicts of Interest
Appendix A
| Number | 2θ (°) | Crystal Form |
|---|---|---|
| LSControl1 | 15.14, 17.14, 17.86, 22.90 | A |
| LS1:6 | 15.20, 17.06, 17.90, 22.86 | A |
| LS6:1 | 13.00, 15.30, 17.10, 17.84, 19.74, 22.76 | C (Cb), V |
| LSControl2 | 12.94, 15.22, 17.06, 17.80, 19.74, 22.74 | C (Cb), V |
| HSControl1 | 14.98, 17.10, 17.94, 23.04 | A |
| HS1:6 | 15.04, 17.14, 17.88, 22.80 | A |
| HS6:1 | 12.98, 15.12, 17.14, 17.92, 19.84, 22.86 | C (Cb), V |
| HSControl2 | 13.00, 15.20, 17.08, 17.90, 19.82, 22.70 | C (Cb), V |
References
- Englyst, H.N.; Cummings, J.H. Digestion of the polysaccharides of some cereal foods in the human small intestine. Am. J. Clin. Nutr. 1985, 42, 778–787. [Google Scholar] [CrossRef] [PubMed]
- Li, H.; Zhang, L.; Li, J.; Wu, Q.; Qian, L.; He, J.S.; Ni, Y.Q.; Datchary, P.K.; Yuan, R.; Liu, S.B.; et al. Resistant starch intake facilitates weight loss in humans by reshaping the gut microbiota. Nat. Metab. 2024, 6, 578–597. [Google Scholar] [CrossRef] [PubMed]
- Ni, Y.; Qian, L.; Siliceo, S.L.; Long, X.; Nychas, E.; Liu, Y.; Ismaiah, M.J.; Leung, H.; Zhang, L.; Gao, Q.; et al. Resistant starch decreases intrahepatic triglycerides in patients with NAFLD via gut microbiome alterations. Cell Metab. 2023, 35, 1530–1547. [Google Scholar] [CrossRef] [PubMed]
- Amoako, D.B.; Awika, J.M. Resistant starch formation through intrahelical V-complexes between polymeric proanthocyanidins and amylose. Food Chem. 2019, 285, 326–333. [Google Scholar] [CrossRef]
- Englyst, H.N.; Kingman, S.M.; Cummings, J.H. Classification and measurement of nutritionally important starch fractions. Eur. J. Clin. Nutr. 1992, 46, S33–S50. [Google Scholar] [PubMed]
- Tang, J.; Zhou, J.; Zhou, X.; Li, D.; Wu, Z.; Tian, J.; Xu, E.; Liu, D. Rearranged supramolecular structure of resistant starch with polymorphic microcrystals prepared in high-solid enzymatic system. Food Hydrocoll. 2022, 124, 107215. [Google Scholar] [CrossRef]
- Coultate, T. Food: The Chemistry of Its Components; Royal Society of Chemistry: London, UK, 2023; ISBN 978-18-3916-814-7. [Google Scholar]
- Bertoft, E. On the building block and backbone concepts of amylopectin structure. Cereal Chem. 2013, 90, 294–311. [Google Scholar] [CrossRef]
- Hanashiro, I.; Abe, J.; Hizukuri, S. A periodic distribution of the chain length of amylopectin as revealed by high-performance anion-exchange chromatography. Carbohydr. Res. 1996, 283, 151–159. [Google Scholar] [CrossRef]
- Bertrand, R.; Holmes, W.; Orgeron, C.; McIntyre, C.; Hernandez, R.; Revellame, E.D. Rapid Estimation of Parameters for Gelatinization of Waxy Corn Starch. Foods 2019, 8, 556. [Google Scholar] [CrossRef]
- Zhang, G.; Ao, Z.; Hamaker, B.R. Nutritional Property of Endosperm Starches from Maize Mutants: A Parabolic Relationship between Slowly Digestible Starch and Amylopectin Fine Structure. J. Agric. Food Chem. 2008, 56, 4686–4694. [Google Scholar] [CrossRef]
- Ye, J.; Hu, X.; Luo, S.; Liu, W.; Chen, J.; Zeng, Z.; Liu, C. Properties of starch after extrusion: A review. Starch Stärke. 2018, 70, 1700110. [Google Scholar] [CrossRef]
- Wang, Y.; Chen, L.; Yang, T.; Ma, Y.; McClements, D.J.; Ren, F.; Tian, Y.; Jin, Z. A review of structural transformations and properties changes in starch during thermal processing of foods. Food Hydrocoll. 2021, 113, 106543. [Google Scholar] [CrossRef]
- Roman, L.; Gomez, M.; Hamaker, B.R.; Martinez, M.M. Shear scission through extrusion diminishes inter-molecular interactions of starch molecules during storage. J. Food Eng. 2018, 238, 134–140. [Google Scholar] [CrossRef]
- Gulzar, B.; Hussain, S.Z.; Naseer, B.; Naik, H.R. Enhancement of resistant starch content in modified rice flour using extrusion technology. Cereal Chem. 2021, 98, 634–641. [Google Scholar] [CrossRef]
- Zeng, X.; Chen, L.; Zheng, B. Extrusion and chlorogenic acid treatment increase the ordered structure and resistant starch levels in rice starch with amelioration of gut lipid metabolism in obese rats. Food Funct. 2024, 15, 5224–5237. [Google Scholar] [CrossRef]
- Englyst, K.; Goux, A.; Meynier, A.; Quigley, M.; Englyst, H.; Brack, O.; Vinoy, S. Inter-laboratory validation of the starch digestibility method for determination of rapidly digestible and slowly digestible starch. Food Chem. 2018, 245, 1183–1189. [Google Scholar] [CrossRef]
- Norton, J.E.; Wallis, G.A.; Spyropoulos, F.; Lillford, P.J.; Norton, I.T. Designing Food Structures for Nutrition and Health Benefits. Annu. Rev. Food Sci. Technol. 2014, 5, 177–195. [Google Scholar] [CrossRef]
- Wu, A.C.; Gilbert, R.G. Molecular Weight Distributions of Starch Branches Reveal Genetic Constraints on Biosynthesis. Biomacromolecules 2010, 11, 3539–3547. [Google Scholar] [CrossRef] [PubMed]
- Vilaplana, F.; Hasjim, J.; Gilbert, R.G. Amylose content in starches: Toward optimal definition and validating experimental methods. Carbohydr. Polym. 2012, 88, 103–111. [Google Scholar] [CrossRef]
- Wu, A.C.; Li, E.; Gilbert, R.G. Exploring extraction/dissolution procedures for analysis of starch chain-length distributions. Carbohydr. Polym. 2014, 114, 36–42. [Google Scholar] [CrossRef]
- Zhang, L.; Li, X.; Janaswamy, S.; Chen, L.; Chi, C. Further insights into the evolution of starch assembly during retrogradation using SAXS. Int. J. Biol. Macromol. 2020, 154, 521–527. [Google Scholar] [CrossRef]
- Zeng, S.; Wu, X.; Lin, S.; Zeng, H.; Lu, X.; Zhang, Y.; Zheng, B. Structural characteristics and physicochemical properties of lotus seed resistant starch prepared by different methods. Food Chem. 2015, 186, 213–222. [Google Scholar] [CrossRef] [PubMed]
- Zheng, Y.; Ou, Y.; Zhang, Y.; Zheng, B.; Zeng, S.; Zeng, H. Effects of pullulanase pretreatment on the structural properties and digestibility of lotus seed starch-glycerin monostearin complexes. Carbohydr. Polym. 2020, 240, 116324. [Google Scholar] [CrossRef]
- Zhang, Y.; Zeng, H.; Wang, Y.; Zeng, S.; Zheng, B. Structural characteristics and crystalline properties of lotus seed resistant starch and its prebiotic effects. Food Chem. 2014, 155, 311–318. [Google Scholar] [CrossRef] [PubMed]
- Waigh, T.A.; Gidley, M.J.; Komanshek, B.U.; Donald, A.M. The phase transformations in starch during gelatinisation: A liquid crystalline approach. Carbohydr. Res. 2000, 328, 165–176. [Google Scholar] [CrossRef]
- Li, H.; Li, J.; Guo, L. Rheological and pasting characteristics of wheat starch modified with sequential triple enzymes. Carbohydr. Polym. 2020, 230, 115667. [Google Scholar] [CrossRef] [PubMed]
- Li, B.; Zhang, Y.; Xu, F.; Khan, M.R.; Zhang, Y.; Huang, C.; Zhu, K.; Tan, L.; Chu, Z.; Liu, A. Supramolecular structure of Artocarpus heterophyllus Lam seed starch prepared by improved extrusion cooking technology and its relationship with in vitro digestibility. Food Chem. 2021, 336, 127716. [Google Scholar] [CrossRef]
- Mutungi, C.; Rost, F.; Onyango, C.; Jaros, D.; Rohm, H. Crystallinity, Thermal and Morphological Characteristics of Resistant Starch Type III Produced by Hydrothermal Treatment of Debranched Cassava Starch. Starch Stärke. 2009, 61, 634–645. [Google Scholar] [CrossRef]
- BeMiller, J.N.; Whistler, R.L. Starch: Chemistry and Technology; Academic Press: New York, NY, USA, 2009; ISBN 978-01-2746-275-2. [Google Scholar]
- Li, S.; Ward, R.; Gao, Q. Effect of heat-moisture treatment on the formation and physicochemical properties of resistant starch from mung bean (Phaseolus radiatus) starch. Food Hydrocoll. 2011, 25, 1702–1709. [Google Scholar] [CrossRef]
- Niu, W.; Pu, H.; Liu, G.; Fang, C.; Yang, Q.; Chen, Z.; Huang, J. Effect of repeated heat-moisture treatments on the structural characteristics of nanocrystals from waxy maize starch. Int. J. Biol. Macromol. 2020, 158, 732–739. [Google Scholar] [CrossRef] [PubMed]
- Ali, S.; Singh, B.; Sharma, S. Impact of Feed Moisture on Microstructure, Crystallinity, Pasting, Physico-Functional Properties and In Vitro Digestibility of Twin-Screw Extruded Corn and Potato Starches. Plant Foods Hum. Nutr. 2019, 74, 474–480. [Google Scholar] [CrossRef] [PubMed]
- Zhang, B.; Zhou, W.; Qiao, D.; Zhang, P.; Zhao, S.; Zhang, L.; Xie, F. Changes in Nanoscale Chain Assembly in Sweet Potato Starch Lamellae by Downregulation of Biosynthesis Enzymes. J. Agric. Food Chem. 2019, 67, 6302–6312. [Google Scholar] [CrossRef] [PubMed]
- Zhang, B.; Xie, F.; Shamshina, J.L.; Rogers, R.D.; McNally, T.; Halley, P.J.; Truss, R.W.; Chen, L.; Zhao, S. Dissolution of starch with aqueous ionic liquid under ambient conditions. ACS Sustain. Chem. Eng. 2017, 5, 3737–3741. [Google Scholar] [CrossRef]
- Ma, Z.; Yin, X.; Chang, D.; Hu, X.; Boye, J.I. Long- and short-range structural characteristics of pea starch modified by autoclaving, α-amylolysis, and pullulanase debranching. Int. J. Biol. Macromol. 2018, 120, 650–656. [Google Scholar] [CrossRef] [PubMed]
- Jivan, M.J.; Yarmand, M.; Madadlou, A. Preparation of cold water-soluble potato starch and its characterization. J. Food Sci. Technol. 2013, 51, 601–605. [Google Scholar] [CrossRef] [PubMed]
- Lopez-Silva, M.; Bello-Perez, L.A.; Agama-Acevedo, E.; Alvarez-Ramirez, J. Effect of amylose content in morphological, functional and emulsification properties of OSA modified corn starch. Food Hydrocoll. 2019, 97, 105212. [Google Scholar] [CrossRef]
- Dong, H.; Zhang, Q.; Gao, J.; Chen, L.; Vasanthan, T. Preparation and characterization of nanoparticles from cereal and pulse starches by ultrasonic-assisted dissolution and rapid nanoprecipitation. Food Hydrocoll. 2022, 122, 107081. [Google Scholar] [CrossRef]
- Bie, P.; Pu, H.; Zhang, B.; Su, J.; Chen, L.; Li, X. Structural characteristics and rheological properties of plasma-treated starch. Innov. Food Sci. Emerg. Technol. 2016, 34, 196–204. [Google Scholar] [CrossRef]
- Guo, P.; Yu, J.L.; Wang, S.J.; Wang, S.; Copeland, L. Effects of particle size and water content during cooking on the physicochemical properties and in vitro starch digestibility of milled durum wheat grains. Food Hydrocoll. 2018, 77, 445–453. [Google Scholar] [CrossRef]
- Donovan, J.W. Phase transitions of the starch—Water system. Fed. Proc. 1978, 37, 263–275. [Google Scholar] [CrossRef]
- Evans, I.D.; Haisman, D.R. The Effect of Solutes on the Gelatinization Temperature Range of Potato Starch. Starch Stärke. 2006, 34, 224–231. [Google Scholar] [CrossRef]
- Hagenimana, A.; Pu, P.; Ding, X. Study on thermal and rheological properties of native rice starches and their corresponding mixtures. Food Res. Int. 2005, 38, 257–266. [Google Scholar] [CrossRef]
- Lee, S.; Lee, J.H.; Chung, H.J. Impact of diverse cultivars on molecular and crystalline structures of rice starch for food processing. Carbohydr. Polym. 2017, 169, 33–40. [Google Scholar] [CrossRef] [PubMed]
- Trung, P.T.B.; Ngoc, L.B.B.; Hoa, P.N.; Tien, N.N.T.; Hung, P.V. Impact of heat-moisture and annealing treatments on physicochemical properties and digestibility of starches from different colored sweet potato varieties. Int. J. Biol. Macromol. 2017, 105, 1071–1078. [Google Scholar] [CrossRef] [PubMed]
- Kaur, A.; Singh, N.; Ezekiel, R.; Guraya, H.S. Physicochemical, thermal and pasting properties of starches separated from different potato cultivars grown at different locations. Food Chem. 2007, 101, 643–651. [Google Scholar] [CrossRef]
- Kaur, G.; Sharma, S.; Singh, B.; Dar, B.N. Comparative Study on Functional, Rheological, Thermal, and Morphological Properties of Native and Modified Cereal Flours. Int. J. Food Prop. 2016, 19, 1949–1961. [Google Scholar] [CrossRef]
- Li, W.; Li, C.; Gu, Z.; Qiu, Y.; Cheng, L.; Hong, Y.; Li, Z. Relationship between structure and retrogradation properties of corn starch treated with 1,4-α-glucan branching enzyme. Food Hydrocoll. 2016, 52, 868–875. [Google Scholar] [CrossRef]






| Number | DP < 6 | DP 6–12 | DP 13–24 | DP 25–36 | DP 37–100 | AC (%) | DB (%) |
|---|---|---|---|---|---|---|---|
| LSControl1 | 14.21 | 1.42 | 41.59 | 26.24 | 16.55 | 2.74 | 6.32 |
| LS1:6 | 17.92 | 11.69 | 39.88 | 18.38 | 12.05 | 7.96 | 11.06 |
| LS6:1 | 25.43 | 1.88 | 39.34 | 19.41 | 13.83 | 23.13 | 5.20 |
| LSControl2 | 20.04 | 2.18 | 44.51 | 19.44 | 13.75 | 29.75 | 4.47 |
| HSControl1 | 19.87 | 2.21 | 44.38 | 19.20 | 14.30 | 3.00 | 6.32 |
| HS1:6 | 19.94 | 1.48 | 37.56 | 24.34 | 16.56 | 2.77 | 6.38 |
| HS6:1 | 25.57 | 1.84 | 37.53 | 20.35 | 14.60 | 21.56 | 5.26 |
| HSControl2 | 22.91 | 2.00 | 42.65 | 18.77 | 13.60 | 27.24 | 4.90 |
| Number | RC (%) | Dm | q (Å−1) | θ (°) | dBragg (nm) | dLorentz (nm) |
|---|---|---|---|---|---|---|
| LSControl1 | 51.61 | 2.04 | 0.066 | 0.026 | 9.59 | 16.97 |
| LS1:6 | 46.26 | 2.37 | 0.070 | 0.020 | 9.01 | 22.07 |
| LS6:1 | 60.58 | 2.05 | - | 0.022 | - | 20.06 |
| LSControl2 | 61.49 | 2.07 | - | 0.022 | - | 20.06 |
| HSControl1 | 50.69 | 2.03 | 0.070 | 0.027 | 9.01 | 16.35 |
| HS1:6 | 54.97 | 2.02 | 0.071 | 0.025 | 8.83 | 17.65 |
| HS6:1 | 46.40 | 2.05 | - | 0.023 | - | 19.19 |
| HSControl2 | 58.50 | 2.08 | - | 0.021 | - | 21.01 |
| Number | DO | DD | C1 (%) | C4 (%) | C6 (%) |
|---|---|---|---|---|---|
| LSControl1 | 0.9367 | 0.9733 | 18.24 | 5.85 | 18.61 |
| LS1:6 | 0.9381 | 0.9221 | 15.75 | 5.70 | 19.04 |
| LS6:1 | 0.8945 | 0.9012 | 16.54 | 5.85 | 16.70 |
| LSControl2 | 0.9399 | 0.9557 | 22.11 | 6.75 | 17.41 |
| HSControl1 | 0.9449 | 0.9571 | 15.87 | 6.42 | 20.10 |
| HS1:6 | 0.9224 | 0.9149 | 14.83 | 5.45 | 18.45 |
| HS6:1 | 0.9084 | 0.8587 | 16.28 | 7.82 | 20.15 |
| HSControl2 | 0.9541 | 0.9623 | 16.53 | 5.72 | 17.14 |
| Number | To (°C) | Tp1 (°C) | Tp2 (°C) | Tc (°C) | ΔH1 (J/g) | ΔH2 (J/g) |
|---|---|---|---|---|---|---|
| LSControl1 | 46.90 ± 2.39 ab | 52.02 ± 3.48 b | 78.73 ± 0.23 | 83.60 ± 0.20 b | 2.93 ± 1.94 a | 1.22 ± 0.43 |
| LS1:6 | 50.24 ± 1.57 a | 57.16 ± 0.82 a | - | 64.01 ± 3.08 c | 0.42 ± 0.30 b | - |
| LS6:1 | 46.89 ± 1.86 ab | 51.68 ± 1.41 b | - | 58.55 ± 1.80 c | 0.84 ± 0.55 ab | - |
| LSControl2 | 47.30 ± 1.68 b | 52.84 ± 0.58 b | 100.29 ± 0.60 | 104.33 ± 0.02 a | 2.68 ± 1.70 a | 0.92 ± 0.45 |
| HSControl1 | 45.71 ± 1.99 b | 53.44 ± 0.27 b | 77.52 ± 0.23 | 82.96 ± 1.39 b | 2.65 ± 1.16 a | 0.76 ± 0.51 |
| HS1:6 | 48.64 ± 0.90 ab | 54.38 ± 0.69 b | 78.09 ± 0.26 | 85.24 ± 1.51 b | 1.68 ± 0.28 ab | 1.14 ± 0.56 |
| HS6:1 | 47.47 ± 1.17 ab | 54.17 ± 0.61 b | - | 61.31 ± 2.48 cd | 1.19 ± 0.59 ab | - |
| HSControl2 | 46.40 ± 1.38 ab | 52.92 ± 0.49 b | - | 59.53 ± 2.14 d | 1.18 ± 0.52 ab | - |
| Number | PV (cP) | TV (cP) | FV (cP) | BD (cP) | SB (cP) | Ptime (min) |
|---|---|---|---|---|---|---|
| LSControl1 | 481 ± 4 d | 369 ± 5 d | 495 ± 3 e | 112 ± 2 a | 126 ± 2 c | 8.11 ± 0.03 f |
| LS1:6 | 23 ± 1 h | 15 ± 1 g | 21 ± 1 g | 8 ± 0 ef | 6 ± 0 f | 6.62 ± 0.03 g |
| LS6:1 | 650 ± 4 b | 649 ± 4 b | 900 ± 7 a | 2 ± 1 h | 252 ± 4 a | 12.80 ± 0.20 a |
| LSControl2 | 595 ± 5 c | 559 ± 4 c | 621 ± 4 c | 36 ± 2 c | 62 ± 1 e | 11.22 ± 0.11 c |
| HSControl1 | 199 ± 1 f | 188 ± 1 e | 251 ± 2 f | 11 ± 1 e | 63 ± 1 e | 10.62 ± 0.08 d |
| HS1:6 | 174 ± 1 g | 171 ± 1 f | 237 ± 1 f | 3 ± 0 fg | 66 ± 1 e | 11.84 ± 0.41 b |
| HS6:1 | 433 ± 2 e | 382 ± 4 d | 513 ± 3 d | 52 ± 3 b | 131 ± 2 b | 9.36 ± 0.28 e |
| HSControl2 | 736 ± 18 a | 713 ± 16 a | 786 ± 19 b | 23 ± 6 d | 73 ± 3 d | 11.96 ± 0.08 b |
Disclaimer/Publisher’s Note: The statements, opinions and data contained in all publications are solely those of the individual author(s) and contributor(s) and not of MDPI and/or the editor(s). MDPI and/or the editor(s) disclaim responsibility for any injury to people or property resulting from any ideas, methods, instructions or products referred to in the content. |
© 2024 by the authors. Licensee MDPI, Basel, Switzerland. This article is an open access article distributed under the terms and conditions of the Creative Commons Attribution (CC BY) license (https://creativecommons.org/licenses/by/4.0/).
Share and Cite
Ma, W.; Tang, J.; Cheng, H.; Tian, J.; Wu, Z.; Zhou, J.; Xu, E.; Chen, J. High-Resistant Starch Based on Amylopectin Cluster via Extrusion: From the Perspective of Chain-Length Distribution and Structural Formation. Foods 2024, 13, 2532. https://doi.org/10.3390/foods13162532
Ma W, Tang J, Cheng H, Tian J, Wu Z, Zhou J, Xu E, Chen J. High-Resistant Starch Based on Amylopectin Cluster via Extrusion: From the Perspective of Chain-Length Distribution and Structural Formation. Foods. 2024; 13(16):2532. https://doi.org/10.3390/foods13162532
Chicago/Turabian StyleMa, Wen, Junyu Tang, Huan Cheng, Jinhu Tian, Zhengzong Wu, Jianwei Zhou, Enbo Xu, and Jianchu Chen. 2024. "High-Resistant Starch Based on Amylopectin Cluster via Extrusion: From the Perspective of Chain-Length Distribution and Structural Formation" Foods 13, no. 16: 2532. https://doi.org/10.3390/foods13162532
APA StyleMa, W., Tang, J., Cheng, H., Tian, J., Wu, Z., Zhou, J., Xu, E., & Chen, J. (2024). High-Resistant Starch Based on Amylopectin Cluster via Extrusion: From the Perspective of Chain-Length Distribution and Structural Formation. Foods, 13(16), 2532. https://doi.org/10.3390/foods13162532

