Major and Trace Elements of Baobab Leaves in Different Habitats and Regions in Sudan: Implication for Human Dietary Needs and Overall Health
Abstract
1. Introduction
2. Materials and Methods
2.1. Sample Site and Collection
2.2. Baobab Leaves Sample Preparation
2.3. Mineral Analysis
2.4. Statistical Analysis
3. Results
3.1. Regional Differences
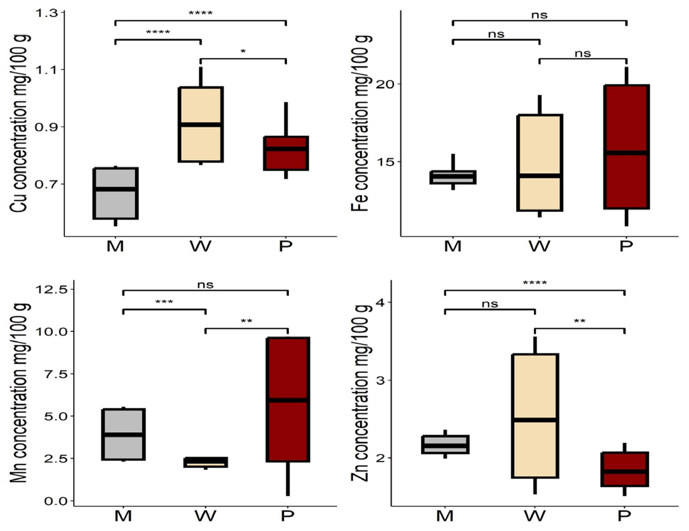
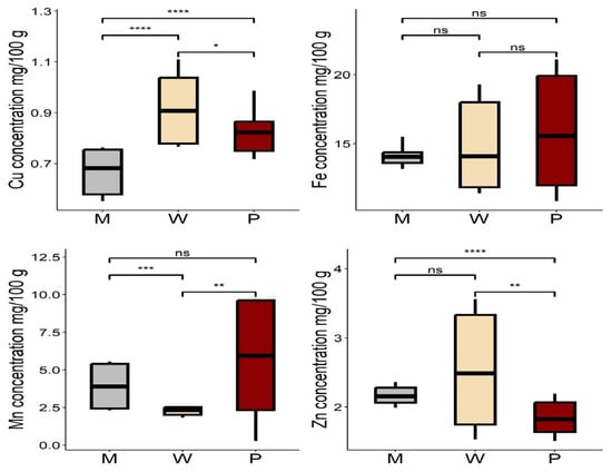
3.2. Differences between Various Habitats
3.3. Multivariate Analysis
4. Discussion
4.1. Elemental Level Variations
4.2. Implications of Human Dietary Needs and Overall Health
5. Limitations and Future Directions
6. Conclusions
Supplementary Materials
Author Contributions
Funding
Institutional Review Board Statement
Informed Consent Statement
Data Availability Statement
Acknowledgments
Conflicts of Interest
References
- Amiot, M.-J.; Latgé, C.; Plumey, L.; Raynal, S. Intake Estimation of Phytochemicals in a French Well-Balanced Diet. Nutrients 2021, 13, 3628. [Google Scholar] [CrossRef]
- Dobrowolska-Iwanek, J.; Zagrodzki, P.; Galanty, A.; Fołta, M.; Kryczyk-Kozioł, J.; Szlósarczyk, M.; Rubio, P.S.; de Carvalho, I.S.; Paśko, P. Determination of Essential Minerals and Trace Elements in Edible Sprouts from Different Botanical Families—Application of Chemometric Analysis. Foods 2022, 11, 371. [Google Scholar] [CrossRef] [PubMed]
- Chapple, I.L.C.; Brock, G.R.; Milward, M.R.; Ling, N.; Matthews, J.B. Compromised GCF total antioxidant capacity in periodontitis: Cause or effect? J. Clin. Periodontol. 2007, 34, 103–110. [Google Scholar] [CrossRef]
- Enwonwu, C.O.; Phillips, R.S.; Falkler, W.A., Jr. Nutrition and oral infectious diseases: State of the science. Compend. Contin. Educ. Dent. 2002, 23, 431–434. Available online: https://europepmc.org/article/med/12060962 (accessed on 1 May 2024).
- European Commission. EU Register on Nutrition and Health Claims. Parma. November 2016. Available online: https://ec.europa.eu/food/food-feed-portal/backend/claims/files/euregister.pdf (accessed on 27 March 2024).
- Shand, C. Plant Nutrition for Food Security. A Guide for Integrated Nutrient Management; Roy, R.N., Finck, A., Blair, G.J., Tandon, H.L.S., Eds.; Food and Agriculture Organization of the United Nations: Rome, Italy, 2006; p. 348. ISBN 92-5-105490-8. [Google Scholar]
- Kaboré, D.; Sawadogo-Lingani, H.; Diawara, B.; Compaoré, C.S.; Dicko, M.H.; Jakobsen, M. A review of baobab (Adansonia digitata) products: Effect of processing techniques, medicinal properties and uses. Afr. J. Food Sci. 2011, 5, 833–844. [Google Scholar] [CrossRef]
- El Amin, H.M. Trees and Shrubs of the Sudan; Ithaca Press Exeter: Reading, UK, 1990. [Google Scholar]
- Wiehle, M.; Prinz, K.; Kehlenbeck, K.; Goenster, S.; Mohamed, S.A.; Finkeldey, R.; Buerkert, A.; Gebauer, J. The African baobab (Adansonia digitata, Malvaceae): Genetic resources in neglected populations of the Nuba Mountains, Sudan. Am. J. Bot. 2014, 101, 1498–1507. [Google Scholar] [CrossRef] [PubMed]
- Rabi’u, M. An assessment of multi-purpose use of Adansonia digitata (baobab tree) for sustainable development in the semi urban fringes of Dutsinma Katsina State Nigeria. Acad. Res. Int. 2013, 4, 486. [Google Scholar] [CrossRef]
- Wickens, G.E. The Baobab: Africa’s Upside-Down Tree. Kew Bull. 1982, 37, 173–209. [Google Scholar] [CrossRef]
- Sidibe, M.; Williams, J.T. Baobab, Adansonia digitata L. Crops for the Future; Hughes, A., Haq, N., Smith, R.W., Eds.; International Center for Underutilized Crop, University Southampton: Southampton, UK, 2002; Volume 4, p. 50. [Google Scholar]
- Habte, T.Y.; Krawinkel, M. Metaphysical Analysis of the Nutritional and Therapeutic Value of Baobab (Adansonia digitata L.). J. Nutr. Health Sci. 2017, 5, 303–310. [Google Scholar] [CrossRef]
- Sidibé, M.; Scheuring, J.F.; Koné, M.; Schierle, J.; Frigg, M.; Hofman, P. A (and C) for Africa: The baobab tree as a source of vitamins. 1998. Available online: https://agris.fao.org/search/en/providers/122507/records/64775e0305d624aee89a8af0 (accessed on 27 March 2024).
- Gebauer, J.; Assem, A.; Busch, E.; Hardtmann, S.; Möckel, D.; Krebs, F.; Ziegler, T.; Wichern, F.; Wiehle, M.; Kehlenbeck, K. Der Baobab (Adansonia digitata L.): Wildobst aus Afrika für Deutschland und Europa?! Erwerbs-Obstbau 2014, 56, 9–24. [Google Scholar] [CrossRef]
- European Parliament and of the Council. Authorising the placing on the market of Baobab dried fruit pulp as a novel food ingredient under Regulation (EC) No 258/97 of the European Parliament and of the Council (notified under document number C(2008) 3046). Off. J. Eur. Union. 2008. Available online: https://eur-lex.europa.eu/legal-content/EN/TXT/PDF/?uri=CELEX:32008D0575 (accessed on 27 March 2024).
- Chadare, F.J.; Linnemann, A.R.; Hounhouigan, J.D.; Nout, M.J.R.; Van Boekel, M.A.J.S. Baobab Food Products: A Review on their Composition and Nutritional Value. Crit. Rev. Food Sci. Nutr. 2008, 49, 254–274. [Google Scholar] [CrossRef] [PubMed]
- Eyog Matig, O.; Gandé Gaoué, O.; Dossou, B. Programme de ressources génétiques forestières en Afrique au sud du Sahara: Réseau “Espéces Ligneuses Alimentaires”. In Proceedings of the Compte Rendu de la Première Reunion du Réseau, Ouagadougou, Burkina Faso, 11–13 Décembre 2000. [Google Scholar]
- Kovács, B.; Gyôri, Z.; Prokisch, J.; Loch, J.; Dániel, P. A study of plant sample preparation and inductively coupled plasma emission spectrometry parameters. Commun. Soil Sci. Plant Anal. 1996, 27, 5–8. [Google Scholar] [CrossRef]
- Adam, I.A.A.; Adam, Y.O.; Olumeh, D.E.; Mithöfer, D. Livelihood strategies, baobab income and income inequality: Evidence from Kordofan and Blue Nile, Sudan. For. Policy Econ. 2024, 158, 103116. [Google Scholar] [CrossRef]
- Ogbaga, C.C.; Nuruddeen, F.A.; Alonge, O.O.; Nwagbara, O.F. Phytochemical, elemental and proximate analyses of stored, sun-dried and shade-dried baobab (Adansonia digitata) leaves. In Proceedings of the 2017 13th International Conference on Electronics, Computer and Computation (ICECCO), Abuja, Nigeria, 28–29 November 2017; pp. 1–5. [Google Scholar]
- Uhuo, E.; Egba, S.; Nwuke, P.; Obike, C.; Kelechi, G. Antioxidative properties of Adansonia digitata L. (baobab) leaf extract exert protective effect on doxorubicin-induced cardiac toxicity in Wistar rats. Clin. Nutr. Open Sci. 2022, 45, 3–16. [Google Scholar] [CrossRef]
- Hyacinthe, T.; Charles, P.; Adama, K.; Diarra, C.; Dicko, M.H.; Svejgaard, J.J.; Diawara, B. Variability of vitamins B1, B2 and minerals content in baobab (Adansonia digitata) leaves in East and West Africa. Food Sci. Nutr. 2015, 3, 17–24. [Google Scholar] [CrossRef] [PubMed]
- Habte, T.Y.; Suleiman, I.; Adam, H.E.; Krawinkel, M.B. The Potential of Baobab (Adansonia digitata L) Leaves From North-And West Kordofan In Sudan As Mineral Complement Of Common Diets. Nutr. Food Process. 2019, 2, 1–11. [Google Scholar] [CrossRef] [PubMed]
- Assogbadjo, A.E.; Chadare, F.J.; Kakaï, R.G.; Fandohan, B.; Baidu-Forson, J.J. Variation in biochemical composition of baobab (Adansonia digitata) pulp, leaves and seeds in relation to soil types and tree provenances. Agric. Ecosyst. Environ. 2012, 157, 94–99. [Google Scholar] [CrossRef]
- Baidoo, I.K.; Fletcher, J.J.; Mensah, P.K.; Quagraine, R.E.; Opata, N.S. Determination of mineral element composition of Ayoyo, Baobab and Dandelion vegetable green leaves in Ghana using instrumental neutron activation analysis. J. Food Meas. Charact. 2014, 8, 389–397. [Google Scholar] [CrossRef]
- Alzahrani, H.R.; Kumakli, H.; Ampiah, E.; Mehari, T.; Thornton, A.J.; Babyak, C.M.; Fakayode, S.O. Determination of macro, essential trace elements, toxic heavy metal concentrations, crude oil extracts and ash composition from Saudi Arabian fruits and vegetables having medicinal values. Arab. J. Chem. 2017, 10, 906–913. [Google Scholar] [CrossRef]
- Agostoni, C.; Bresson, J.L.; Fairweather-Tait, S.; Flynn, A.; Golly, I.; Korhonen, H.; Martin, A.; EFSA Panel on Dietetic Products, Nutrition, and Allergies (NDA). Scientific Opinion on establishing Food-Based Dietary Guidelines. EFSA J. 2010, 8, 1460–1502. [Google Scholar]
- EFSA Panel on Dietetic Products, Nutrition and Allergies (NDA); Turck, D.; Bresson, J.-L.; Burlingame, B.; Dean, T.; Fairweather-Tait, S.; Heinonen, M.; Hirsch-Ernst, K.I.; Mangelsdorf, I.; McArdle, H.; et al. Dietary reference values for potassium. EFSA J. 2016, 14, e04592. [Google Scholar]
- Malavolti, M.; Naska, A.; Fairweather-Tait, S.J.; Malagoli, C.; Vescovi, L.; Marchesi, C.; Vinceti, M.; Filippini, T. Sodium and Potassium Content of Foods Consumed in an Italian Population and the Impact of Adherence to a Mediterranean Diet on Their Intake. Nutrients 2021, 13, 2681. [Google Scholar] [CrossRef] [PubMed]
- Whelton, P.K.; Huang, Y.; Van Horn, L.; Tinker, L.F.; Neuhouser, M.L.; Carbone, L.; Mossavar-Rahmani, Y.; Thomas, F.; Prentice, R.L.; Stamler, J.; et al. Sodium and Potassium Intake in US Adults. Circulation 2018, 137, 247–249. [Google Scholar] [CrossRef]
- Babaali, E.; Rahmdel, S.; Berizi, E.; Akhlaghi, M.; Götz, F.; Mazloomi, S.M. Dietary Intakes of Zinc, Copper, Magnesium, Calcium, Phosphorus, and Sodium by the General Adult Population Aged 20–50 Years in Shiraz, Iran: A Total Diet Study Approach. Nutrients 2020, 12, 3370. [Google Scholar] [CrossRef] [PubMed]
- Bost, M.; Houdart, S.; Oberli, M.; Kalonji, E.; Huneau, J.-F.; Margaritis, I. Dietary copper and human health: Current evidence and unresolved issues. J. Trace Elements Med. Biol. 2016, 35, 107–115. [Google Scholar] [CrossRef] [PubMed]
- Alejandro, S.; Höller, S.; Meier, B.; Peiter, E. Manganese in Plants: From Acquisition to Subcellular Allocation. Front. Plant Sci. 2020, 11, 517877. [Google Scholar] [CrossRef]
- Li, L.; Yang, X. The Essential Element Manganese, Oxidative Stress, and Metabolic Diseases: Links and Interactions. Oxidative Med. Cell. Longev. 2018, 2018, 7580707. [Google Scholar] [CrossRef]
- EFSA (European Food Safety Authority). Dietary Reference Values for Nutrients: Summary Report; EFSA Supporting Publication, 2017; Volume e15121. Available online: https://doi.org/10.2903/sp.efsa.2017.e15121 (accessed on 1 May 2024). [CrossRef]
- National Academies of Sciences, Engineering, and Medicine. Dietary Reference Intakes for Sodium and Potassium; Stallings, V.A., Harrison, M., Oria, M., Eds.; National Academies Press: Washington, DC, USA, 2019. [Google Scholar]








| ANOVA (Prob > F) | |||
|---|---|---|---|
| Region | Zone | Region*Zone | |
| Ca | <0.0001 | <0.0001 | 0.2869 |
| K | <0.0001 | <0.0001 | <0.0001 |
| Mg | <0.0001 | <0.0001 | <0.0001 |
| Na | <0.0001 | 0.0002 | <0.0001 |
| Cu | 0.7806 | <0.0001 | <0.0001 |
| Fe | <0.0001 | <0.0001 | <0.0001 |
| Mn | <0.0001 | <0.0001 | <0.0001 |
| Zn | <0.0001 | <0.0001 | <0.0001 |
| Elements | Well-Being and Positive Interactions |
|---|---|
| Calcium | Needed for keeping bones and teeth healthy as well as regular muscle function, precise nerve signal transmission, supporting the operation of digestive enzymes, and cell division. |
| Potassium | Sustains the health of the neurological operation system, helps to maintain the regular activity of muscles, and reduces blood pressure. |
| Magnesium | Maintains necessary energy metabolism, enables the nervous system and muscles to operate effectively, promotes regular protein synthesis, aids in preserving electrolyte balance, and improves normal psychological function. |
| Sodium | Required for muscle function. |
| Iron | Contributes to the appropriate generation of hemoglobin and red blood cells, facilitates easier transportation of oxygen throughout the body, and supports the health of the immune system. |
| Manganese | Supports healthy connective tissue development, protects cells from oxidative stress, and maintains regular energy-producing metabolism. |
| Zinc | Assists in supporting healthy immune system execution, maintaining suitable testosterone levels in the blood, and promoting excellent fertility and reproduction. |
| Copper | In cases of insufficient micronutrient levels, copper supplementation can reduce fatigue and exhaustion when combined with B vitamins, iron, magnesium, and vitamin C. |
| Age Group | Ca | K | Mg | Na | Na (2019) |
|---|---|---|---|---|---|
| 7–11 months | 280 | 80 | 200 | 110 | |
| 1–3 years | 390 | 1516–2005 | Boys and girls: 170 | 1100 | 800 |
| 4–10 years | 680 | 1668–2750 | Boys and girls: 230 | 1300 | 1000 |
| 11–17 years | 960 | 2093–3712 | Boys: 300 | 1700 | 1200 |
| 18–24 years | 860 | 2463–3991 | Male: 350 | 2000 | 1500 |
| 25 years and above | 750 | 2463–3991 | Female: 300 | 2000 | 1500 |
| Adult (Male) | - | 2463–3991 | - | 2000 | 1500 |
| Adult (Female) | - | 2463–3991 | - | 2000 | 1500 |
| Pregnant | - | 2463–3991 | - | 2000 | 1500 |
| Age Group | Gender | Copper | Iron | Manganese | Zinc |
|---|---|---|---|---|---|
| 18 and older | Male | 1.6 | - | - | 9.4 to 16.3 |
| 18 and older | Female | 1.3 | - | - | 7.5 to 12.7 |
| 7–11 months | Infants | 0.4 | 8 | 0.02–0.5 | 2.4 |
| 1 to 3 years | Children | 0.7 | 5 | 0.5 | 2.4–11.8 |
| 3 to <10 years | Children | 1.0 | 5 | 0.8 | 2.4–11.8 |
| 10 to <18 years | Boys | 1.3 | 8 | 1.3 | 7.5 to 12.7 |
| 10 to <18 years | Girls | 1.1 | 7 | 1.9 | 7.5 to 12.7 |
Disclaimer/Publisher’s Note: The statements, opinions and data contained in all publications are solely those of the individual author(s) and contributor(s) and not of MDPI and/or the editor(s). MDPI and/or the editor(s) disclaim responsibility for any injury to people or property resulting from any ideas, methods, instructions or products referred to in the content. |
© 2024 by the authors. Licensee MDPI, Basel, Switzerland. This article is an open access article distributed under the terms and conditions of the Creative Commons Attribution (CC BY) license (https://creativecommons.org/licenses/by/4.0/).
Share and Cite
Ahmed, A.E.M.; Mozzon, M.; Omer, A.; Shaikh, A.M.; Kovács, B. Major and Trace Elements of Baobab Leaves in Different Habitats and Regions in Sudan: Implication for Human Dietary Needs and Overall Health. Foods 2024, 13, 1938. https://doi.org/10.3390/foods13121938
Ahmed AEM, Mozzon M, Omer A, Shaikh AM, Kovács B. Major and Trace Elements of Baobab Leaves in Different Habitats and Regions in Sudan: Implication for Human Dietary Needs and Overall Health. Foods. 2024; 13(12):1938. https://doi.org/10.3390/foods13121938
Chicago/Turabian StyleAhmed, Abdelhakam Esmaeil Mohamed, Massimo Mozzon, Ali Omer, Ayaz Mukarram Shaikh, and Béla Kovács. 2024. "Major and Trace Elements of Baobab Leaves in Different Habitats and Regions in Sudan: Implication for Human Dietary Needs and Overall Health" Foods 13, no. 12: 1938. https://doi.org/10.3390/foods13121938
APA StyleAhmed, A. E. M., Mozzon, M., Omer, A., Shaikh, A. M., & Kovács, B. (2024). Major and Trace Elements of Baobab Leaves in Different Habitats and Regions in Sudan: Implication for Human Dietary Needs and Overall Health. Foods, 13(12), 1938. https://doi.org/10.3390/foods13121938

