Safety Evaluation and Probabilistic Health Risk Assessment of Cow Milk Produced in Northern Italy According to Dioxins and PCBs Contamination Levels
Abstract
1. Introduction
2. Materials and Methods
2.1. Milk Samples
2.2. Reagents and Standards
2.3. Analytical Method
2.4. Quality Control
2.5. Summary and Statistics
2.6. Exposure Assessment and Risk Characterisation
2.6.1. Screening via Deterministic Approach
2.6.2. Refinement via Probabilistic Methods (Monte Carlo Simulations)
3. Results and Discussion
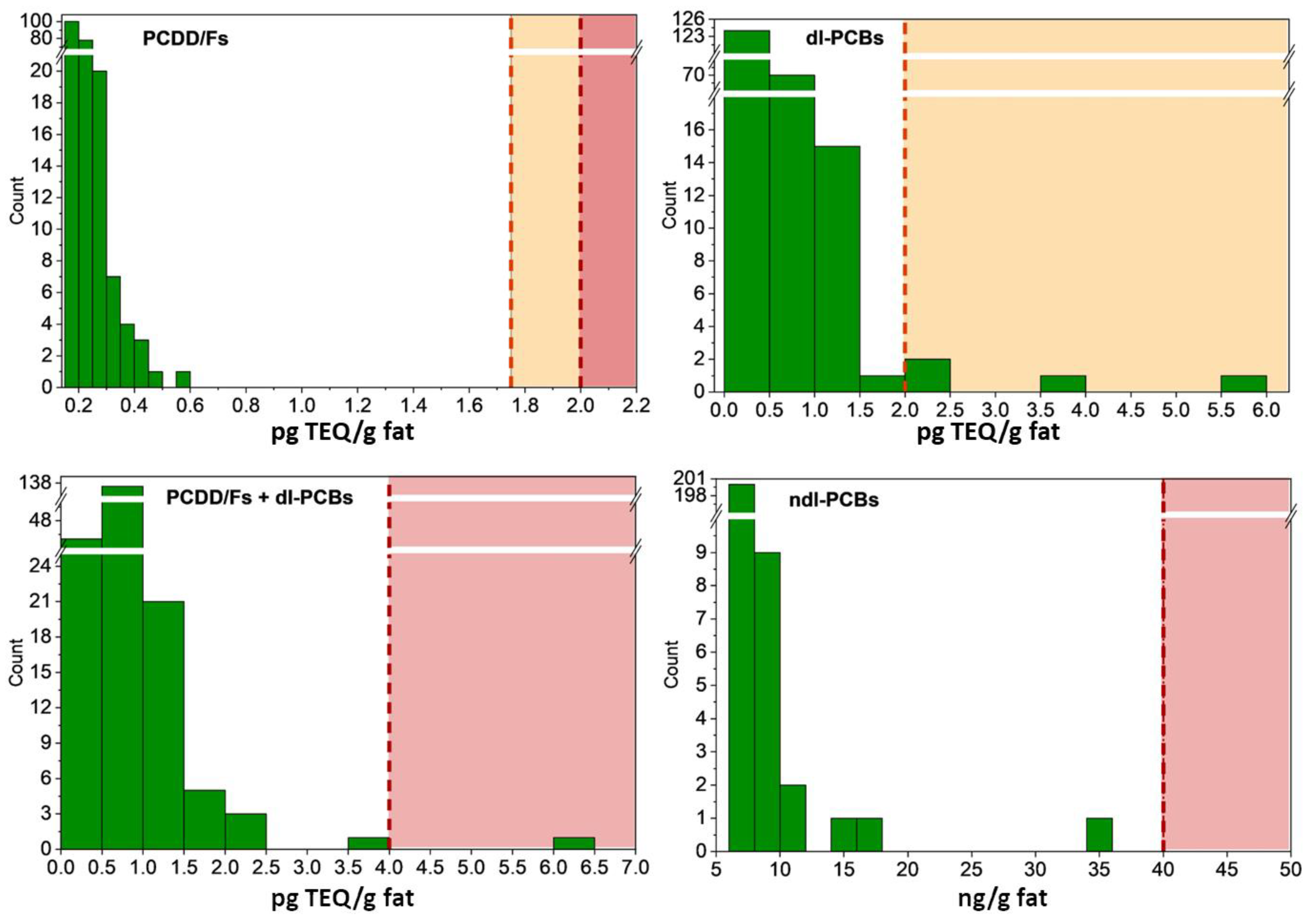
3.1. Spatial and Temporal Distribution of Dioxins and PCBs in Milk
Variation of Dioxins and PCB Congener Patterns
3.2. Dietary Exposure to Dioxins and PCBs through Milk Consumption
3.2.1. Screening-level Assessment via Deterministic Calculations
3.2.2. Refined Assessment via Probabilistic Modelling
4. Conclusions
Supplementary Materials
Author Contributions
Funding
Institutional Review Board Statement
Informed Consent Statement
Data Availability Statement
Acknowledgments
Conflicts of Interest
References
- IARC Polychlorinated biphenyls and polybrominated biphenyls. In IARC Monograph on the Evaluation of Carcinogenic Risks to Human; International Agency for Research on Cancer: Lyon, France, 2016; Volume 107, pp. 1–501.
- IARC Polychlorinated dibenzo-para-dioxins and polychlorinated dibenzofurans. In IARC Monograph on the Evaluation of Carcinogenic Risks to Human; International Agency for Research on Cancer: Lyon, France, 1997; Volume 69, pp. 1–639.
- EFSA Update of the monitoring of levels of dioxins and PCBs in food and feed. EFSA J. 2012, 10, 2832. [CrossRef]
- WHO. Preventing Disease through Healty Environments. Exposure to Dioxins and Dioxin-like Substances: A Major Public Health Concern; WHO: Geneva, Switzerland, 2019; Available online: https://www.who.int/publications/i/item/WHO-CED-PHE-EPE-19.4.4 (accessed on 11 February 2023).
- Van den Berg, M.; Birnbaum, L.S.; Denison, M.; De Vito, M.; Farland, W.; Feeley, M.; Fiedler, H.; Hakansson, H.; Hanberg, A.; Haws, L.; et al. The 2005 World Health Organization reevaluation of human and mammalian toxic equivalency factors for dioxins and dioxin-like compounds. Toxicol. Sci. 2006, 93, 223–241. [Google Scholar] [CrossRef] [PubMed]
- Milbrath, M.O.G.; Wenger, Y.; Chang, C.W.C.W.; Emond, C.; Garabrant, D.; Gillespie, B.W.; Jolliet, O. Apparent half-lives of dioxins, furans, and polychlorinated biphenyls as a function of age, body fat, smoking status, and breast-feeding. Environ. Health Perspect. 2009, 117, 417–425. [Google Scholar] [CrossRef] [PubMed]
- Esposito, M.; Cavallo, S.; Serpe, F.P.; D’Ambrosio, R.; Gallo, P.; Colarusso, G.; Pellicanò, R.; Baldi, L.; Guarino, A.; Serpe, L. Levels and congener profiles of polychlorinated dibenzo-p-dioxins, polychlorinated dibenzofurans and dioxin-like polychlorinated biphenyls in cow’s milk collected in Campania, Italy. Chemosphere 2009, 77, 1212–1216. [Google Scholar] [CrossRef]
- Adekunte, A.O.; Tiwari, B.K.; O’Donnell, C.P. Exposure assessment of dioxins and dioxin-like PCBs in pasteurised bovine milk using probabilistic modelling. Chemosphere 2010, 81, 509–516. [Google Scholar] [CrossRef] [PubMed]
- Malisch, R.; Kotz, A. Dioxins and PCBs in feed and food—Review from European perspective. Sci. Total Environ. 2014, 491, 2–10. [Google Scholar] [CrossRef]
- Rocha, D.A.M.; Torres, J.P.M.; Reichel, K.; Novotny, E.H.; Estrella, L.F.; Medeiros, R.O.; Netto, A.D.P. Determination of polychlorinated dibenzo-p-dioxins and dibenzofurans (PCDD/Fs) in Brazilian cow milk. Sci. Total Environ. 2016, 572, 177–184. [Google Scholar] [CrossRef]
- Weber, R.; Herold, C.; Hollert, H.; Kamphues, J.; Blepp, M.; Ballschmiter, K. Reviewing the relevance of dioxin and PCB sources for food from animal origin and the need for their inventory, control and management. Environ. Sci. Eur. 2018, 30, 1–42. [Google Scholar] [CrossRef]
- Schulz, A.J.; Wiesmüller, T.; Appuhn, H.; Stehr, D.; Severin, K.; Landmann, D.; Kamphues, J. Dioxin concentration in milk and tissues of cows and sheep related to feed and soil contamination. J. Anim. Physiol. Anim. Nutr. 2005, 89, 72–78. [Google Scholar] [CrossRef]
- Hoogenboom, R.L.A.P.; Van Eijkeren, J.C.H.; Zeilmaker, M.J.; Mengelers, M.J.B.; Herbes, R.; Immerzeel, J.; Traag, W.A. A novel source for dioxins present in recycled fat from gelatin production. Chemosphere 2007, 68, 814–823. [Google Scholar] [CrossRef]
- Hoogenboom, R.L.A.P. Animal feed contamination by dioxins, polychlorinated biphenyls (PCBs) and brominated flame retardant. In Animal Feed Contamination—Effects on Livestock and Food Safety; Fink-Gremmels, J., Ed.; Woodhead Publishing Series in Food Science, Technology and Nutrition; Woodhead Publishing Limited: Sawston, UK, 2012; pp. 131–183. [Google Scholar] [CrossRef]
- Hoogenboom, R.; Zeilmaker, M.; van Eijkeren, J.; Kan, K.; Mengelers, M.; Luykx, D.; Traag, W. Kaolinic clay derived PCDD/Fs in the feed chain from a sorting process for potatoes. Chemosphere 2010, 78, 99–105. [Google Scholar] [CrossRef] [PubMed]
- Eljarrat, E.; Caixach, J.; Rivera, J. Determination of PCDDs and PCDFs in different animal feed ingredients. Chemosphere 2002, 46, 1403–1407. [Google Scholar] [CrossRef] [PubMed]
- Adamse, P.; Van der Fels-Klerx, H.J. (Ine.; Schoss, S.; de Jong, J.; Hoogenboom, R.L.A.P. Concentrations of dioxins and dioxin-like PCBs in feed materials in the Netherlands, 2001–2011. Food Addit. Contam. Part A Chem. Anal. Control. Expo. Risk Assess. 2015, 32, 1301–1311. [Google Scholar] [CrossRef] [PubMed]
- Pajurek, M.; Warenik-Bany, M.; Mikolajczyk, S. Dioxin transfer simulation from feed to animal tissues and risk assessment. Chemosphere 2023, 313, 137379. [Google Scholar] [CrossRef]
- Amutova, F.; Delannoy, M.; Baubekova, A.; Konuspayeva, G.; Jurjanz, S. Transfer of persistent organic pollutants in food of animal origin—Meta-analysis of published data. Chemosphere 2021, 262, 128351. [Google Scholar] [CrossRef]
- Lorenzi, V.; Angelone, B.; Ferretti, E.; Galli, A.; Tonoli, M.; Donati, M.; Fusi, F.; Zanardi, G.; Ghidini, S.; Bertocchi, L. PCDD/Fs, DL-PCBs, and NDL-PCBs in Dairy Cows: Carryover in Milk from a Controlled Feeding Study. J. Agric. Food Chem. 2020, 68, 2201–2213. [Google Scholar] [CrossRef]
- Kim, M.; Kim, D.G.; Bong, Y.H.; Jang, J.H.; Son, S.W. Concentrations of PCDD/Fs, dioxin-like PCBs, PBDEs, and hexachlorobenzene in fat samples from cattle of different ages and gender in Korea. Food Chem. 2013, 138, 1786–1791. [Google Scholar] [CrossRef]
- Girolami, F.; Spalenza, V.; Benedetto, A.; Manzini, L.; Badino, P.; Abete, M.C.; Nebbia, C. Comparative liver accumulation of dioxin-like compounds in sheep and cattle: Possible role of AhR-mediated xenobiotic metabolizing enzymes. Sci. Total Environ. 2016, 571, 1222–1229. [Google Scholar] [CrossRef]
- Benedetto, A.; Brizio, P.; Guaraldo, P.; Stella, C.; Cappa, C.; Baioni, E.; Spalenza, V.; Nebbia, C.; Abete, M.C. Dioxins, DL-PCB and NDL-PCB accumulation profiles in livers from sheep and cattle reared in North-western Italy. Chemosphere 2016, 152, 92–98. [Google Scholar] [CrossRef]
- Krause, T.; Moenning, J.-L.; Lamp, J.; Maul, R.; Schenkel, H.; Fürst, P.; Pieper, R.; Numata, J. Transfer of polychlorinated dibenzo- p -dioxins and dibenzofurans (PCDD/Fs) and polychlorinated biphenyls (PCBs) from oral exposure into cow’s milk—Part I: State of knowledge and uncertainties. Nutr. Res. Rev. 2022, 4, 1–23. [Google Scholar] [CrossRef]
- Lake, I.R.; Foxall, C.D.; Fernandes, A.; Lewis, M.; Rose, M.; White, O.; Dowding, A. Seasonal variations in the levels of PCDD/Fs, PCBs and PBDEs in cows’ milk. Chemosphere 2013, 90, 72–79. [Google Scholar] [CrossRef] [PubMed]
- Giannico, O.V.; Fraganelli, G.R.; Baldacci, S.; Desiante, F.; Pellegrino, A.; Basile, F.C.; Franco, E.; Diletti, G.; Conversano, M. Dioxins and PCBs contamination in milk and dairy products from Province of Taranto (Puglia Region, Southern Italy): A six years spatio-temporal monitoring study. Ann. Ist. Super. Sanità 2021, 57, 233–238. [Google Scholar] [CrossRef] [PubMed]
- O’Donovan, J.V.; O’Farrell, K.J.; O’Mahony, P.; Buckley, J.F. Temporal trends in dioxin, furan and polychlorinated biphenyl concentrations in bovine milk from farms adjacent to industrial and chemical installations over a 15 year period. Vet. J. 2011, 190, e117–e121. [Google Scholar] [CrossRef] [PubMed]
- Italian National Institute of Statistics 2022 Yearly Survey on Milk and Dairy Products. Available online: http://dati.istat.it/Index.aspx?QueryId=25270&lang=en (accessed on 11 February 2023).
- Italian National Zootechnical Registry Consistency of Cattle and Buffalo Farms. Available online: https://www.vetinfo.it/j6_statistiche/#/report-pbi/1 (accessed on 11 February 2023).
- Hoogenboom, R.L.A.P.; Traag, W.; Fernandes, A.; Rose, M. European developments following incidents with dioxins and PCBs in the food and feed chain. Food Control 2015, 50, 670–683. [Google Scholar] [CrossRef]
- EFSA Risk for animal and human health related to the presence of dioxins and dioxin-like PCBs in feed and food. EFSA J. 2018, 16, e05333. [CrossRef]
- European Commission Commission Regulation (EU) 2022/2002 of 21 October 2022 amending Regulation (EC) No 1881/2006 as regards maximum levels of dioxins and dioxin-like PCBs in certain foodstuffs. Off. J. Eur. Union 2022, L 274/64. Available online: http://data.europa.eu/eli/reg/2022/2002/oj (accessed on 30 March 2023).
- Council of the European Union Council Directive 96/23/EC of 29 April 1996 on measures to monitor certain substances and residues thereof in live animals and animal products and repealing Directives 85/358/EEC and 86/469/EEC and Decisions 89/187/EEC and91/664/EEC. Off. J. Eur. Communities 1996, L 125/10. Available online: http://data.europa.eu/eli/dir/1996/23/oj (accessed on 30 March 2023).
- Commission of the European Communities Commission Decision 97/747/EC of 27 October 1997 fixing the levels and frequencies of sampling provided for by Council Directive 96/23/EC for the monitoring of certain substances and residues thereof in certain animal products. Off. J. Eur. Communities 1997, L 303/12. Available online: https://eur-lex.europa.eu/eli/dec/1997/747/oj (accessed on 30 March 2023).
- European Commission Regulation (EU) 2017/625 on official controls and other official activities performed to ensure the application of food and feed law, rules on animal health and welfare, plant health and plant protection products. Off. J. Eur. Union 2017, L 95/1. Available online: http://data.europa.eu/eli/reg/2017/625/oj (accessed on 30 March 2023).
- European Commission Commission Regulation (EU) 2017/644 of 5 April 2017 laying down methods of sampling and analysis for the control of levels of dioxins, dioxin-like PCBs and non-dioxin-like PCBs in certain foodstuffs and repealing Regulation (EU) No 589/2014. Off. J. Eur. Union 2017, L 92/9. Available online: http://data.europa.eu/eli/reg/2017/644/oj (accessed on 30 March 2023).
- Lorenzi, V.; Ghidini, S.; Angelone, B.; Ferretti, E.; Menotta, S.; Fedrizzi, G.; Varisco, G.; Foschini, S.; Diegoli, G.; Bertocchi, L. Three years of monitoring of PCDD/F, DL-PCB and NDL-PCB residues in bovine milk from Lombardy and Emilia Romagna regions (Italy): Contamination levels and human exposure assessment. Food Control 2016, 68, 45–54. [Google Scholar] [CrossRef]
- United States Environmental Protection Agency Office of Water Engineering and Analysis Division US EPA. Method 1613/B Tetra-through octa-chlorinated dioxins and furans by isotope dilution HRGC/HRMS: Method 1613 Revision B October 1994; U.S. Environmental Protection Agency Office of Water Engineering and Analysis Division: Washington, DC, USA, 1994; pp. 1–89. Available online: https://nepis.epa.gov/Exe/ZyPDF.cgi/20002GR6.PDF?Dockey=20002GR6.PDF (accessed on 11 February 2023).
- United States Environmental Protection Agency Office of Water Engineering and Analysis Division US EPA. Method 1668/C Chlorinated Biphenyl Congeners in Water, Soil, Sediment, Biosolids, and Tissue by HRGC/HRMS: Method 1668 Revision C April 2010; U.S. Environmental Protection Agency Office of Water Engineering and Analysis Division: Washington, DC, USA, 2010; pp. 1–118. Available online: https://www.epa.gov/sites/default/files/2015-09/documents/method_1668c_2010.pdf (accessed on 11 February 2023).
- Turrini, A.; Sette, S.; Le Donne, C.; Piccinelli, R.; D’Addezio, L.; Mistura, L.; Ferrari, M.; Catasta, G.; Martone, D. Italian national dietary survey on children population from three months up to nine years old—IV SCAI CHILD. EFSA Support. Publ. 2021, 18, 7087E. [Google Scholar] [CrossRef]
- Turrini, A.; Le Donne, C.; Piccinelli, R.; D’Addezio, L.; Mistura, L.; Sette, S.; Martone, D.; Comendador Azcarraga, F.J.; Ferrari, M.; Catasta, G. Italian national dietary survey on adult population from 10 up to 74 years old—IV SCAI ADULT. EFSA Support. Publ. 2022, 19, 7559E. [Google Scholar] [CrossRef]
- EFSA The EFSA Comprehensive Food Consumption Database. Available online: https://www.efsa.europa.eu/en/data-report/food-consumption-data (accessed on 12 February 2023).
- EFSA Guidance on the use of probabilistic methodology for modelling dietary exposure to pesticide residues. EFSA J. 2012, 10, 2839. [CrossRef]
- Chang, W.H.; Chen, H.L.; Lee, C.C. Dietary exposure assessment to perchlorate in the Taiwanese population: A risk assessment based on the probabilistic approach. Environ. Pollut. 2020, 267, 115486. [Google Scholar] [CrossRef]
- Shin, E.S.; Park, M.K.; Kim, G.; Barghi, M.; Choi, S.D.; Yang, J.; Chang, Y.S. Dietary exposure and potential human health risk of dioxins in South Korea: Application of deterministic and probabilistic methods. Chemosphere 2022, 291, 133018. [Google Scholar] [CrossRef]
- Italian Institute for Environmental Protection and Research Contaminated Sites of National Interest (SIN). Available online: https://www.isprambiente.gov.it/en/activities/soil-and-territory/copy_of_contaminated-sites/contaminated-sites-of-national-interest-sin?set_language=en (accessed on 21 April 2023).
- Pizarro-Aránguiz, N.; Galbán-Malagón, C.J.; Ruiz-Rudolph, P.; Araya-Jordan, C.; Maddaleno, A.; San Martin, B. Chemosphere Occurrence, variability and human exposure to Polychlorinated Dibenzo-p-dioxins (PCDDs ), Polychlorinated Dibenzofurans (PCDFs) and Dioxin-Like Polychlorinated Biphenyls (DL-PCBs) in dairy products from Chile during the 2011–2013 survey. Chemosphere 2015, 126, 78–87. [Google Scholar] [CrossRef]
- Wang, I.C.; Wu, Y.L.; Lin, L.F.; Chang-Chien, G.P. Human dietary exposure to polychlorinated dibenzo-p-dioxins and polychlorinated dibenzofurans in Taiwan. J. Hazard. Mater. 2009, 164, 621–626. [Google Scholar] [CrossRef]
- Chang, J.W.; Liao, P.C.; Lee, C.C. Dietary intake of PCDD/Fs and dioxin-like PCBs from fresh foods around Taiwan. J. Food Drug Anal. 2012, 20, 12. [Google Scholar] [CrossRef]
- Leong, Y.H.; Chiang, P.N.; Jaafar, H.J.; Gan, C.Y.; Majid, M.I.A. Contamination of food samples from Malaysia with polychlorinated dibenzo-p-dioxins and dibenzofurans and estimation of human intake. Food Addit. Contam. Part A 2014, 31, 711–718. [Google Scholar] [CrossRef]
- Zhang, L.; Yin, S.; Wang, X.; Li, J.; Zhao, Y.; Li, X.; Shen, H.; Wu, Y. Assessment of dietary intake of polychlorinated dibenzo-p-dioxins and dibenzofurans and dioxin-like polychlorinated biphenyls from the Chinese Total Diet Study in 2011. Chemosphere 2015, 137, 178–184. [Google Scholar] [CrossRef] [PubMed]
- Marin, S.; Villalba, P.; Diaz-Ferrero, J.; Font, G.; Yusà, V. Congener profile, occurrence and estimated dietary intake of dioxins and dioxin-like PCBs in foods marketed in the Region of Valencia (Spain). Chemosphere 2011, 82, 1253–1261. [Google Scholar] [CrossRef] [PubMed]
- Fattore, E.; Fanelli, R.; Turrini, A.; Di Domenico, A. Current dietary exposure to polychlorodibenzo-p-dioxins, polychlorodibenzofurans, and dioxin-like polychlorobiphenyls in Italy. Mol. Nutr. Food Res. 2006, 50, 915–921. [Google Scholar] [CrossRef] [PubMed]
- Esposito, M.; Serpe, F.P.; Neugebauer, F.; Cavallo, S.; Gallo, P.; Colarusso, G.; Baldi, L.; Iovane, G.; Serpe, L. Contamination levels and congener distribution of PCDDs, PCDFs and dioxin-like PCBs in buffalo’s milk from Caserta province (Italy). Chemosphere 2010, 79, 341–348. [Google Scholar] [CrossRef] [PubMed]
- Hoogenboom, R.L.A.P.; Malisch, R.; van Leeuwen, S.P.J.; Vanderperren, H.; Hove, H.; Fernandes, A.; Schächtele, A.; Rose, M. Congener patterns of polychlorinated dibenzo-p-dioxins, dibenzofurans and biphenyls as a useful aid to source identification during a contamination incident in the food chain. Sci. Total Environ. 2020, 746, 141098. [Google Scholar] [CrossRef] [PubMed]
- Barone, G.; Storelli, A.; Busco, A.; Mallamaci, R.; Storelli, M.M. Polychlorinated dioxins, furans (PCDD/Fs) and dioxin-like polychlorinated biphenyls (dl-PCBs) in food from Italy: Estimates of dietaryintake and assessment. J. Food Sci. 2021, 86, 4741–4753. [Google Scholar] [CrossRef] [PubMed]
- Bertocchi, L.; Ghidini, S.; Fedrizzi, G.; Lorenzi, V. Case-study and risk management of dioxins and PCBs bovine milk contaminations in a high industrialized area in Northern Italy. Environ. Sci. Pollut. Res. 2015, 22, 9775–9785. [Google Scholar] [CrossRef]
- Konuspayeva, G.; Faye, B.; De Pauw, E.; Focant, J.F. Levels and trends of PCDD/Fs and PCBs in camel milk (Camelus bactrianus and Camelus dromedarius) from Kazakhstan. Chemosphere 2011, 85, 351–360. [Google Scholar] [CrossRef]
- Chirollo, C.; Ceruso, M.; Pepe, T.; Vassallo, A.; Marrone, R.; Severino, L.; Anastasio, A. Levels and congeners distribution of dioxins, furans and dioxin-like PCBs in buffaloes adipose tissues sampled in vivo and milk. CYTA J. Food 2018, 16, 1109–1114. [Google Scholar] [CrossRef]
- Ahmadkhaniha, R.; Nodehi, R.N.; Rastkari, N.; Aghamirloo, H.M. Polychlorinated biphenyls (PCBs) residues in commercial pasteurized cows’ milk in Tehran, Iran. J. Environ. Health Sci. Eng. 2017, 15, 1–6. [Google Scholar] [CrossRef]
- Turrio-Baldassarri, L.; Alivernini, S.; Carasi, S.; Casella, M.; Fuselli, S.; Iacovella, N.; Iamiceli, A.L.; La Rocca, C.; Scarcella, C.; Battistelli, C.L. PCB, PCDD and PCDF contamination of food of animal origin as the effect of soil pollution and the cause of human exposure in Brescia. Chemosphere 2009, 76, 278–285. [Google Scholar] [CrossRef] [PubMed]
- Pajurek, M.; Warenik-Bany, M.; Mikolajczyk, S. Feed as a source of dioxins and PCBs. Chemosphere 2022, 308, 136243. [Google Scholar] [CrossRef] [PubMed]
- European Environment Agency Industrial Reporting Database. Available online: https://www.eea.europa.eu/data-and-maps/data/industrial-reporting-under-the-industrial-6 (accessed on 24 February 2023).
- Ghidini, S.; Varrà, M.O.; Bertocchi, L.; Fusi, F.; Angelone, B.; Ferretti, E.; Foschini, S.; Giacometti, B.; Fedrizzi, G.; Menotta, S.; et al. The influence of different production systems on dioxin and PCB levels in chicken eggs from Emilia-Romagna and Lombardy regions (Italy) over 2017–2019 and consequent dietary exposure assessment. Food Addit. Contam. Part A Chem. Anal. Control. Expo. Risk Assess. 2022, 39, 130–148. [Google Scholar] [CrossRef] [PubMed]
- Rauscher-Gabernig, E.; Mischek, D.; Moche, W.; Prean, M. Dietary intake of dioxins, furans and dioxin-like PCBs in Austria. Food Addit. Contam. Part A Chem. Anal. Control. Expo. Risk Assess. 2013, 30, 1770–1779. [Google Scholar] [CrossRef]
- Sirot, V.; Tard, A.; Venisseau, A.; Brosseaud, A.; Marchand, P.; Le Bizec, B.; Leblanc, J.C. Dietary exposure to polychlorinated dibenzo-p-dioxins, polychlorinated dibenzofurans and polychlorinated biphenyls of the French population: Results of the second French Total Diet Study. Chemosphere 2012, 88, 492–500. [Google Scholar] [CrossRef]
- Diletti, G.; Scortichini, G.; Abete, M.C.; Binato, G.; Candeloro, L.; Ceci, R.; Chessa, G.; Conte, A.; Di Sandro, A.; Esposito, M.; et al. Intake estimates of dioxins and dioxin-like polychlorobiphenyls in the Italian general population from the 2013-2016 results of official monitoring plans in food. Sci. Total Environ. 2018, 627, 11–19. [Google Scholar] [CrossRef]
- Hulin, M.; Sirot, V.; Vasseur, P.; Mahe, A.; Leblanc, J.C.; Jean, J.; Marchand, P.; Venisseau, A.; Le Bizec, B.; Rivière, G. Health risk assessment to dioxins, furans and PCBs in young children: The first French evaluation. Food Chem. Toxicol. 2020, 139, 111292. [Google Scholar] [CrossRef]







| ∑PCDD/Fs | ∑dl-PCBs | ∑PCDD/Fs + dl-PCBs | ∑ndl-PCBs | |||||||||
|---|---|---|---|---|---|---|---|---|---|---|---|---|
| Mean | SD | Median | Mean | SD | Median | Mean | SD | Median | Mean | SD | Median | |
| Region | ||||||||||||
| Lombardy | 2.07 [0.23] | 0.5 [0.06] | 1.92 [0.21] | 764 [0.66] | 1238 [0.61] | 546 [0.53] | 766 [0.88] | 1238 [0.63] | 547 [0.75] | 6.71 | 2.65 | 6.00 |
| Emilia-Romagna | 1.77 [0.19] | 0.39 [0.04] | 1.63 [0.18] | 740 [0.41] | 534.54 [0.28] | 597.94 [0.34] | 741.76 [0.60] | 534.55 [0.30] | 599.71 [0.52] | 6.25 | 1.07 | 6.00 |
| Year | ||||||||||||
| 2018 | 1.9 [0.22] | 0.39 [0.06] | 1.78 [0.20] | 1015 [0.59] | 1258 [0.47] | 706 [0.46] | 1017 [0.81] | 1258 [0.50] | 707 [0.69] | 6.66 | 1.70 | 6.00 |
| 2019 | 1.94 [0.21] | 0.47 [0.05] | 1.82 [0.20] | 1079 [0.63] | 995 [0.74] | 837 [0.49] | 1081 [0.82] | 995 [0.77] | 838 [0.70] | 6.79 | 3.60 | 6.00 |
| 2020 | 2.07 [0.23] | 0.48 [0.07] | 1.95 [0.20] | 883 [0.56] | 489 [0.39] | 700 [0.44] | 885 [0.79] | 490 [0.42] | 703 [0.69] | 6.28 | 0.82 | 6.00 |
| 2021 | 2.04 [0.20] | 0.44 [0.03] | 1.96 [0.19] | 783 [0.43] | 437 [0.25] | 628 [0.35] | 785 [0.63] | 437 [0.27] | 630 [0.55] | 6.12 | 0.32 | 6.00 |
| Sampling Years | 2012–2014 | 2018–2021 | Variation (%) | |||
|---|---|---|---|---|---|---|
| Region | Lombardy | Emilia-Romagna | Lombardy | Emilia-Romagna | Lombardy | Emilia-Romagna |
| ∑PCDD/Fs | 3.21 [0.35] | 3.31 [0.34] | 2.07 [0.23] | 1.77 [0.19] | −36 [−34] | −47 [−44] |
| ∑DL-PCBs | 2513 [1.14] | 1591 [0.65] | 764 [0.66] | 740 [0.41] | −70 [−42] | −53 [−37] |
| ∑PCDD/Fs + dl-PCBs | 2517 [1.49] | 1595 [0.98] | 766 [0.88] | 742 [0.60] | −70 [−41] | −53 [−39] |
| ∑6 ndl-PCBs | 10.59 | 7.73 | 6.71 | 6.25 | −37 | −19 |
| Population Group | Type of Milk | Weekly Consumption | EWI |
|---|---|---|---|
| (g/kg bw/week) | (pg TEQ/kg bw week) | ||
| Infants | Semi-skimmed | 178.5 [555.87] | 2.51 [7.80] |
| Whole | 234.15 [557.89] | 6.39 [15.23] | |
| Toddlers | Semi-skimmed | 120.68 [272.86] | 1.69 [3.83] |
| Whole | 128.1 [299.32] | 3.50 [8.17] | |
| Children | Skimmed | 53.76 [141.19] | 0.06 [0.09] |
| Semi-skimmed | 58.08 [135.1] | 0.83 [1.90] | |
| Whole | 59.08 [156.1] | 1.61 [4.26] | |
| Adolescents | Skimmed | 20.65 [58.66] | 0.05 [0.14] |
| Semi-skimmed | 22.75 [47.39] | 0.32 [0.67] | |
| Whole | 17.08 [45.71] | 0.47 [1.25] | |
| Adults | Skimmed | 11.13 [25.41] | 0.03 [0.06] |
| Semi-skimmed | 14.42 [29.33] | 0.20 [0.41] | |
| Whole | 8.12 [23.45] | 0.22 [0.64] | |
| Elderly | Skimmed | 10.50 [25.41] | 0.02 [0.06] |
| Semi-skimmed | 16.87 [30.66] | 0.24 [0.43] | |
| Whole | 9.24 [27.23] | 0.25 [0.74] |
| Population Group | Simulation Scenario | Milk Type | Percentiles | ||||||||
|---|---|---|---|---|---|---|---|---|---|---|---|
| 10th | 20th | 30th | 40th | 50th | 60th | 70th | 80th | 90th | |||
| Infants | LB | Semi-skimmed | 0.17 | 0.3 | 0.45 | 0.64 | 0.88 | 1.22 | 1.73 | 2.58 | 4.48 |
| Whole | 0.68 | 1.1 | 1.56 | 2.1 | 2.78 | 3.65 | 4.92 | 6.97 | 11.25 | ||
| MB | Semi-skimmed | 0.22 | 0.38 | 0.57 | 0.79 | 1.07 | 1.46 | 2.03 | 2.97 | 5.08 | |
| Whole | 0.9 | 1.42 | 1.97 | 2.59 | 3.38 | 4.38 | 5.76 | 7.98 | 12.63 | ||
| UB | Semi-skimmed | 0.28 | 0.46 | 0.67 | 0.92 | 1.24 | 1.68 | 2.31 | 3.35 | 5.66 | |
| Whole | 1.17 | 1.77 | 2.4 | 3.11 | 3.96 | 5.05 | 6.52 | 8.88 | 13.71 | ||
| Toddlers | LB | Semi-skimmed | 0.35 | 0.52 | 0.69 | 0.88 | 1.11 | 1.39 | 1.78 | 2.39 | 3.61 |
| Whole | 0.74 | 1.08 | 1.44 | 1.84 | 2.33 | 2.89 | 3.68 | 4.92 | 7.39 | ||
| MB | Semi-skimmed | 0.28 | 0.42 | 0.58 | 0.75 | 0.96 | 1.22 | 1.59 | 2.16 | 3.31 | |
| Whole | 0.58 | 0.88 | 1.21 | 1.56 | 1.99 | 2.53 | 3.28 | 4.44 | 6.75 | ||
| UB | Semi-skimmed | 0.36 | 0.53 | 0.72 | 0.88 | 1.11 | 1.39 | 1.78 | 2.38 | 3.59 | |
| Whole | 0.76 | 1.11 | 1.46 | 1.86 | 2.32 | 2.9 | 3.69 | 4.92 | 7.3 | ||
| Children | LB | Semi-skimmed | 0.09 | 0.15 | 0.21 | 0.27 | 0.36 | 0.47 | 0.63 | 0.88 | 1.42 |
| Whole | 0.27 | 0.41 | 0.57 | 0.74 | 0.96 | 1.24 | 1.63 | 2.26 | 3.55 | ||
| MB | Semi-skimmed | 0.12 | 0.19 | 0.26 | 0.35 | 0.45 | 0.58 | 0.75 | 1.03 | 1.61 | |
| Whole | 0.21 | 0.34 | 0.47 | 0.63 | 0.82 | 1.08 | 1.44 | 2.01 | 3.24 | ||
| UB | Semi-skimmed | 0.27 | 0.42 | 0.57 | 0.75 | 0.97 | 1.24 | 1.64 | 2.25 | 3.51 | |
| Whole | 0.28 | 0.46 | 0.67 | 0.92 | 1.24 | 1.68 | 2.31 | 3.35 | 5.66 | ||
| Population Group | Simulation Scenario | Milk Type | Percentiles | ||||||||
|---|---|---|---|---|---|---|---|---|---|---|---|
| 10th | 20th | 30th | 40th | 50th | 60th | 70th | 80th | 90th | |||
| Infants | LB | Semi-skimmed | 8.54 | 15.05 | 22.62 | 31.81 | 44.11 | 60.91 | 86.47 | 128.79 | 224.04 |
| Whole | 33.83 | 54.98 | 77.88 | 104.98 | 138.96 | 182.39 | 246.23 | 348.6 | 562.56 | ||
| MB | Semi-skimmed | 11.23 | 19.16 | 28.36 | 39.42 | 53.68 | 73.14 | 101.52 | 148.56 | 254.19 | |
| Whole | 45.15 | 71.16 | 98.31 | 129.71 | 169 | 218.78 | 287.98 | 398.29 | 631.44 | ||
| UB | Semi-skimmed | 13.75 | 23.15 | 33.57 | 46.24 | 61.97 | 83.81 | 115.72 | 167.39 | 283.14 | |
| Whole | 58.71 | 88.56 | 119.85 | 155.49 | 197.89 | 252.29 | 326.13 | 443.77 | 685.62 | ||
| Toddlers | LB | Semi-skimmed | 17.71 | 25.96 | 34.43 | 43.93 | 55.26 | 69.42 | 89.06 | 119.5 | 180.31 |
| Whole | 37.09 | 54.25 | 72.02 | 91.85 | 115 | 144.59 | 184.04 | 245.99 | 369.72 | ||
| MB | Semi-skimmed | 13.95 | 21.21 | 28.86 | 37.46 | 47.89 | 61.18 | 79.51 | 108.23 | 165.22 | |
| Whole | 28.94 | 44.24 | 59.91 | 77.97 | 99.42 | 126.37 | 164.16 | 221.88 | 337.53 | ||
| UB | Semi-skimmed | 17.92 | 26.36 | 34.81 | 44.2 | 55.46 | 69.71 | 89.12 | 119.23 | 179.64 | |
| Whole | 38.09 | 55.67 | 73.03 | 92.82 | 116.04 | 144.94 | 184.53 | 244.97 | 364.84 | ||
| Children | LB | Semi-skimmed | 4.61 | 7.36 | 10.28 | 13.74 | 18.03 | 23.62 | 31.59 | 44.14 | 70.96 |
| Whole | 13.42 | 20.63 | 28.25 | 37.16 | 47.99 | 61.91 | 81.47 | 112.98 | 177.36 | ||
| MB | Semi-skimmed | 6.08 | 9.59 | 13.14 | 17.26 | 22.28 | 28.79 | 37.57 | 51.74 | 80.64 | |
| Whole | 10.59 | 16.91 | 23.73 | 31.49 | 41.16 | 53.99 | 71.85 | 100.38 | 160.07 | ||
| UB | Semi-skimmed | 7.96 | 11.89 | 15.91 | 20.44 | 25.88 | 32.86 | 42.40 | 57.38 | 87.00 | |
| Whole | 13.73 | 21.09 | 28.8 | 37.65 | 48.53 | 62.57 | 82.11 | 112.62 | 176.55 | ||
Disclaimer/Publisher’s Note: The statements, opinions and data contained in all publications are solely those of the individual author(s) and contributor(s) and not of MDPI and/or the editor(s). MDPI and/or the editor(s) disclaim responsibility for any injury to people or property resulting from any ideas, methods, instructions or products referred to in the content. |
© 2023 by the authors. Licensee MDPI, Basel, Switzerland. This article is an open access article distributed under the terms and conditions of the Creative Commons Attribution (CC BY) license (https://creativecommons.org/licenses/by/4.0/).
Share and Cite
Varrà, M.O.; Lorenzi, V.; Zanardi, E.; Menotta, S.; Fedrizzi, G.; Angelone, B.; Gasparini, M.; Fusi, F.; Foschini, S.; Padovani, A.; et al. Safety Evaluation and Probabilistic Health Risk Assessment of Cow Milk Produced in Northern Italy According to Dioxins and PCBs Contamination Levels. Foods 2023, 12, 1869. https://doi.org/10.3390/foods12091869
Varrà MO, Lorenzi V, Zanardi E, Menotta S, Fedrizzi G, Angelone B, Gasparini M, Fusi F, Foschini S, Padovani A, et al. Safety Evaluation and Probabilistic Health Risk Assessment of Cow Milk Produced in Northern Italy According to Dioxins and PCBs Contamination Levels. Foods. 2023; 12(9):1869. https://doi.org/10.3390/foods12091869
Chicago/Turabian StyleVarrà, Maria Olga, Valentina Lorenzi, Emanuela Zanardi, Simonetta Menotta, Giorgio Fedrizzi, Barbara Angelone, Mara Gasparini, Francesca Fusi, Stefano Foschini, Anna Padovani, and et al. 2023. "Safety Evaluation and Probabilistic Health Risk Assessment of Cow Milk Produced in Northern Italy According to Dioxins and PCBs Contamination Levels" Foods 12, no. 9: 1869. https://doi.org/10.3390/foods12091869
APA StyleVarrà, M. O., Lorenzi, V., Zanardi, E., Menotta, S., Fedrizzi, G., Angelone, B., Gasparini, M., Fusi, F., Foschini, S., Padovani, A., & Ghidini, S. (2023). Safety Evaluation and Probabilistic Health Risk Assessment of Cow Milk Produced in Northern Italy According to Dioxins and PCBs Contamination Levels. Foods, 12(9), 1869. https://doi.org/10.3390/foods12091869

