Comprehensive Evaluation of Raw Eating Quality in 81 Sweet Potato (Ipomoea batatas (L.) Lam) Varieties
Abstract
1. Introduction
2. Materials and Methods
2.1. Plant Materials and Experiment Design
2.2. Textural Properties
2.3. Cell Wall Components Content
2.4. Starch Content
2.5. Soluble Sugar Components
2.6. Moisture Content
2.7. Statistical Analysis
3. Results
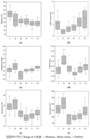
3.1. Texture Properties
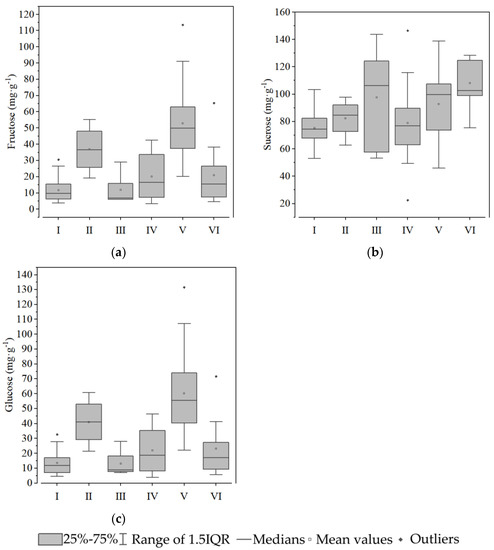
3.2. Soluble Sugar
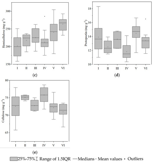
3.3. Cell Wall Components
3.4. Moisture and Starch Content
3.5. Correlation Analysis
3.6. Cluster Analysis
3.7. Principal Component Analysis (PCA)
3.8. Comprehensive Evaluation of Raw Eating Quality
4. Discussion
5. Conclusions
Supplementary Materials
Author Contributions
Funding
Data Availability Statement
Acknowledgments
Conflicts of Interest
References
- Mohanty, S.S.; Mohanty, P.K. Obesity as potential breast cancer risk factor for postmenopausal women. Genes Dis. 2021, 8, 117–123. [Google Scholar] [CrossRef]
- Koebnick, C.; Strassner, C.; Hoffmann, I.; Leitzmann, C. Consequences of a Long-Term Raw Food Diet on Body Weight and Menstruation: Results of a Questionnaire Survey. Ann. Nutr. Metab. 1999, 43, 69–79. [Google Scholar] [CrossRef] [PubMed]
- Garcia, A.L.; Koebnick, C.; Dagnelie, P.C.; Strassner, C.; Elmadfa, I.; Katz, N.; Leitzmann, C.; Hoffmann, I. Long-term strict raw food diet is associated with favourable plasma β-carotene and low plasma lycopene concentrations in Germans. Br. J. Nutr. 2008, 99, 1293–1300. [Google Scholar] [CrossRef] [PubMed]
- Koebnick, C.; Garcia, A.L.; Dagnelie, P.C.; Strassner, C.; Lindemans, J.; Katz, N.; Leitzmann, C.; Hoffmann, I. Long-Term Consumption of a Raw Food Diet Is Associated with Favorable Serum LDL Cholesterol and Triglycerides but Also with Elevated Plasma Homocysteine and Low Serum HDL Cholesterol in Humans. J. Nutr. 2005, 135, 2372–2378. [Google Scholar] [CrossRef] [PubMed]
- Yan, M.R.; Welch, R.; Rush, E.C.; Xiang, X.; Wang, X. A Sustainable Wholesome Foodstuff; Health Effects and Potential Dietotherapy Applications of Yacon. Nutrients 2019, 11, 2632. [Google Scholar] [CrossRef]
- Xu, D.; Liu, H.; Jin, C.-Y.; Cao, C.-M.; Li, W.-G.; Zeng, F.-K.; Zhao, Y.-C.; Liu, G. A new potato variety grown in China suitable for raw eating. Eur. Food Res. Technol. 2018, 244, 851–860. [Google Scholar] [CrossRef]
- Ahn, Y.; Lee, J.; Chung, M.; Kim, H.; Kim, J.; Jeong, B.; Bang, J.; Lee, S. A new sweet potato variety for raw eating and processing, “Happymi”. Korean J. Breed. 2006, 38, 283–284. [Google Scholar]
- Yang, J.; Moeinzadeh, M.H.; Kuhl, H.; Helmuth, J.; Xiao, P.; Haas, S.; Liu, G.; Zheng, J.; Sun, Z.; Fan, W.; et al. Haplotype-resolved sweet potato genome traces back its hexaploidization history. Nat. Plants 2017, 3, 696–703. [Google Scholar] [CrossRef]
- Laryea, D.; Koomson, D.; Oduro, I.; Carey, E. Evaluation of 10 genotypes of sweet potato for fries. Food Sci. Nutr. 2019, 7, 589–598. [Google Scholar] [CrossRef]
- Tsai, Y.-J.; Lin, L.-Y.; Yang, K.-M.; Chiang, Y.-C.; Chen, M.-H.; Chiang, P.-Y. Effects of Roasting Sweet Potato (Ipomoea batatas L. Lam.): Quality, Volatile Compound Composition, and Sensory Evaluation. Foods 2021, 10, 2602. [Google Scholar] [CrossRef]
- Wang, Y.; Kays, S.J. Contribution of Volatile Compounds to the Characteristic Aroma of Baked ‘Jewel’ Sweet potatoes. J. Am. Soc. Hortic. Sci. 2000, 125, 638–643. [Google Scholar] [CrossRef]
- Wei, S.Y.; Lu, G.Q.; Cao, H.P. Effects of cooking methods on starch and sugar composition of sweet potato storage roots. PLoS ONE 2017, 12, e0182604. [Google Scholar] [CrossRef] [PubMed]
- Li, C.; Kou, M.; Arisha, M.H.; Tang, W.; Ma, M.; Yan, H.; Wang, X.; Wang, X.; Zhang, Y.; Liu, Y.; et al. Transcriptomic and Metabolic Profiling of High-Temperature Treated Storage Roots Reveals the Mechanism of Saccharification in Sweet potato (Ipomoea batatas (L.) Lam.). Int. J. Mol. Sci 2021, 22, 6641. [Google Scholar] [CrossRef]
- Prada, M.; Saraiva, M.; Garrido, M.V.; Serio, A.; Teixeira, A.; Lopes, D.; Silva, D.A.; Rodrigues, D.L. Perceived Associations between Excessive Sugar Intake and Health Conditions. Nutrients 2022, 14, 640. [Google Scholar] [CrossRef] [PubMed]
- Tomlins, K.; Ndunguru, G.; Stambul, K.; Joshua, N.; Ngendello, T.; Rwiza, E.; Amour, R.; Ramadhani, B.; Kapande, A.; Westby, A. Sensory evaluation and consumer acceptability of pale-fleshed and orange-fleshed sweet potato by school children and mothers with preschool children. J. Sci. Food Agric. 2007, 87, 2436–2446. [Google Scholar] [CrossRef]
- Dasgan, H.Y.; Dere, S.; Akhoundnejad, Y.; Arpaci, B.B. Effects of High-Temperature Stress during Plant Cultivation on Tomato Fruit Nutrient Content. J. Food Qual. 2021, 2021, 7994417. [Google Scholar] [CrossRef]
- Kupe, M.; Ercisli, S.; Karatas, N.; Skrovankova, S.; Mlcek, J.; Ondrasova, M.; Snopek, L. Some Important Food Quality Traits of Autochthonous Grape Cultivars. J. Food Qual. 2021, 2021, 9918529. [Google Scholar] [CrossRef]
- Dai, Z.; Wu, H.; Baldazzi, V.; van Leeuwen, C.; Bertin, N.; Gautier, H.; Wu, B.; Duchêne, E.; Gomès, E.; Delrot, S.; et al. Inter-Species Comparative Analysis of Components of Soluble Sugar Concentration in Fleshy Fruits. Front. Plant Sci. 2016, 7, 649. [Google Scholar] [CrossRef]
- Bejaei, M.; Cliff, M.A.; Singh, A. Multiple Correspondence and Hierarchical Cluster Analyses for the Profiling of Fresh Apple Customers Using Data from Two Marketplaces. Foods 2020, 9, 873. [Google Scholar] [CrossRef]
- Singh, V.; Guizani, N.; Al, A.A.; Claerboudt, M.; Rahman, M.S. Instrumental texture profile analysis (TPA) of date fruits as a function of its physico-chemical properties. Ind. Crops Prod. 2013, 50, 866–873. [Google Scholar] [CrossRef]
- Dong, W.; Li, L.; Cao, R.; Xu, S.; Cheng, L.; Yu, M.; Lv, Z.; Lu, G. Changes in cell wall components and polysaccharide-degrading enzymes in relation to differences in texture during sweet potato storage root growth. J. Plant Physiol. 2020, 254, 153282. [Google Scholar] [CrossRef] [PubMed]
- Soest, P.J.V.; Wine, R.H. Use of detergents in the analysis of fibrous feeds IV. Determination of plant cell-wall constituents. J. Assoc. Off. Anal. Chem. 1967, 58, 50–55. [Google Scholar] [CrossRef]
- Cao, J.K.; Jiang, W.B.; Zhao, Y.M. Experiment Guidance of Postharvest Physiology and Biochemistry of Fruits and Vegetables, 1st ed.; China Light Industry Press: Beijing, China, 2007; pp. 86–89. [Google Scholar]
- AACCI Method 76–13.01. Total Starch Assay Procedure (Megazyme amyloglucosidase/alpha–Amylase Method). In AACC Approved Methods of Analysis, 11th ed.; Cereals & Grains Association: St. Paul, MN, USA, 2009.
- Grabowski, J.A.; Truong, V.D.; Daubert, C.R. Nutritional and rheological characterization of spray dried sweet potato powder. LWT Food Sci. Technol. 2008, 41, 206–216. [Google Scholar] [CrossRef]
- AACCI Method 44-19.01. Air-Oven Method, Drying at 135° Procedure. In AACC Approved Methods of Analysis, 11th ed.; Cereals & Grains Association: St. Paul, MN, USA, 2009.
- Yoon, H.; No, J.; Kim, W.; Shin, M. Textural character of sweet potato root of Korean cultivars in relation to chemical constituents and their properties. Food Sci. Biotechnol. 2018, 27, 1627–1637. [Google Scholar] [CrossRef] [PubMed]
- Cui, R.; Zhu, F. Physicochemical and functional properties of sweet potato flour. J. Sci. Food Agric. 2019, 99, 4624–4634. [Google Scholar] [CrossRef] [PubMed]
- Suzanne, E.B.; Henk, A.S. Interactions between pectin and cellulose in primary plant cell walls. Carbohydr. Polym. 2018, 192, 263–272. [Google Scholar]
- Liu, Q.; Luo, L.; Zheng, L. Lignins: Biosynthesis and Biological Functions in Plants. Int. J. Mol. Sci. 2018, 19, 335. [Google Scholar] [CrossRef]
- Scheller, H.V.; Ulvskov, P. Hemicelluloses. Annu. Rev. Plant Biol. 2010, 61, 263–289. [Google Scholar] [CrossRef]
- Bai, F.-W.; Yang, S.; Ho, N.W.Y. 3.05—Fuel Ethanol Production from Lignocellulosic Biomass. In Comprehensive Biotechnology, 3rd ed.; Moo-Young, M., Ed.; Pergamon: Oxford, UK, 2019; pp. 49–65. [Google Scholar]
- Chanal, D.; Yousfi Steiner, N.; Petrone, R.; Chamagne, D.; Péra, M.-C. Online Diagnosis of PEM Fuel Cell by Fuzzy C-Means Clustering. In Encyclopedia of Energy Storage; Cabeza, L.F., Ed.; Elsevier: Oxford, UK, 2022; pp. 359–393. [Google Scholar]
- Zeng, F.K.; Liu, H.; Liu, G. Physicochemical properties of starch extracted from Colocasia esculenta (L.) Schott (Bun-long taro) grown in Hunan, China. Starch-Stärke 2014, 66, 142–148. [Google Scholar] [CrossRef]
- Brookfield, P.L.; Nicoll, S.; Gunson, F.A.; Harker, F.R.; Wohlers, M. Sensory evaluation by small postharvest teams and the relationship with instrumental measurements of apple texture. Postharvest Biol. Technol. 2011, 59, 179–186. [Google Scholar] [CrossRef]
- Matthew, T.M.; Fannie, Z.; Yukiko, K.N.; Stanley, T.O. Comparison between hydroponically and conventionally and organically grown lettuces for taste, odor, visual quality and texture: A pilot study. Food Nutr. Sci. 2011, 2, 4534. [Google Scholar]
- Goldenberg, L.; Yaniv, Y.; Kaplunov, T.; Doron-Faigenboim, A.; Carmi, N.; Porat, R. Diversity in Sensory Quality and Determining Factors Influencing Mandarin Flavor Liking. J. Food Sci. 2015, 80, S418–S425. [Google Scholar] [CrossRef]
- Kitahara, K.; Nakamura, Y.; Otani, M.; Hamada, T.; Nakayachi, O.; Takahata, Y. Carbohydrate components in sweet potato storage roots: Their diversities and genetic improvement. Breed. Sci. 2017, 67, 62–72. [Google Scholar] [CrossRef] [PubMed]
- Raffo, M.D.; Ponce, N.M.A.; Sozzi, G.O.; Stortz, C.A.; Vicente, A.R. Changes on the cell wall composition of tree-ripened Bartlett pears (Pyrus communis L.). Postharvest Biol. Technol. 2012, 73, 72–79. [Google Scholar] [CrossRef]
- Shukla, S.K. Under-utilized subtropical fruits for enhancing profitability and nutritional security of smallholders. Curr. Adv. Agric. Sci. 2017, 9, 215–223. [Google Scholar] [CrossRef]
- Cătălina, D.A.N.; Corina, Ș.E.; Adriana, F.S.; Mădălina, M.; Paula, M.; Radu, E.S. Consumer Perception Concerning Apple Fruit Quality, Depending on Cultivars and Hedonic Scale of Evaluation—A Case Study. Not. Sci. Biol. 2015, 7, 140–149. [Google Scholar]
- Harker, F.R.; Gunson, F.A.; Jaeger, S.R. The case for fruit quality: An interpretive review of consumer attitudes, and preferences for apples. Postharvest Biol. Technol. 2003, 28, 333–347. [Google Scholar] [CrossRef]







| Parameters | Definition | Unit |
|---|---|---|
| Hardness | Maximum strength peak for the first extrusion cycle | N |
| Adhesiveness | The area of the curve in the negative direction of the coordinate axis between two extrusion cycles | mJ |
| Springiness | The ratio of the positive peak area of the second extrusion cycle to the positive peak area of the first extrusion cycle | mm |
| Cohesiveness | The ratio of the height of the second compression to that of the first compression | Ratio |
| Gumminess | Hardness × Cohesiveness | N |
| Chewiness | Hardness × Cohesiveness × Springiness | mJ |
| Parameters | Range | Min | Max | Mean | S.D. | C.V. | Variety |
|---|---|---|---|---|---|---|---|
| Hardness (N) | 69.44 | 72.82 | 142.26 | 105.86 | 14.16 | 13.38% | ** |
| Adhesiveness (mJ) | 11.36 | 0.91 | 12.27 | 5.08 | 2.80 | 55.09% | ** |
| Cohesiveness | 0.12 | 0.17 | 0.29 | 0.21 | 0.02 | 10.02% | ** |
| Springiness (mm) | 3.86 | 3.92 | 7.78 | 5.11 | 0.50 | 9.76% | ** |
| Gumminess (N) | 13.88 | 15.80 | 29.68 | 21.82 | 3.16 | 14.48% | ** |
| Chewiness (mJ) | 98.93 | 73.96 | 172.89 | 111.95 | 19.85 | 17.73% | ** |
| Fructose (mg⋅g−1) | 110.08 | 3.42 | 113.50 | 24.64 | 21.54 | 87.43% | ** |
| Sucrose (mg⋅g−1) | 123.91 | 22.50 | 146.41 | 86.42 | 24.16 | 27.96% | ** |
| Glucose (mg⋅g−1) | 127.66 | 3.81 | 131.48 | 27.81 | 24.46 | 87.95% | ** |
| Lignin (mg⋅g−1) | 3.15 | 0.38 | 3.53 | 2.36 | 0.68 | 28.74% | ** |
| Soluble pectin (mg⋅g−1) | 1.71 | 0.84 | 2.56 | 1.47 | 0.37 | 25.00% | ** |
| Hemicellulose (mg⋅g−1) | 145.97 | 158.43 | 304.40 | 223.63 | 33.77 | 15.10% | ** |
| Protopectin (mg⋅g−1) | 7.93 | 10.38 | 18.31 | 13.40 | 1.77 | 13.20% | ** |
| Cellulose (mg⋅g−1) | 12.92 | 65.77 | 78.68 | 73.11 | 2.92 | 3.99% | ** |
| Moisture content (%) | 26.20 | 60.11 | 86.31 | 70.82 | 5.14 | 7.26% | ** |
| Starch content (%) | 45.33 | 41.23 | 86.56 | 70.82 | 8.40 | 11.86% | ** |
| Indicators | PC1 | PC2 | PC3 | PC4 | PC5 |
|---|---|---|---|---|---|
| Hardness (N) | −0.316 | 0.271 | −0.108 | 0.093 | 0.131 |
| Adhesiveness (mJ) | 0.193 | 0.136 | 0.319 | −0.034 | −0.206 |
| Cohesiveness | 0.186 | 0.280 | 0.290 | 0.205 | 0.362 |
| Springiness (mm) | 0.107 | 0.235 | 0.283 | 0.035 | −0.686 |
| Gumminess (N) | −0.167 | 0.443 | 0.097 | 0.208 | 0.373 |
| Chewiness (mJ) | −0.074 | 0.493 | 0.247 | 0.196 | −0.087 |
| Fructose (mg·g−1) | 0.349 | −0.055 | −0.055 | 0.383 | −0.013 |
| Sucrose (mg·g−1) | 0.172 | −0.084 | 0.208 | −0.309 | 0.305 |
| Glucose(mg·g−1) | 0.352 | −0.044 | −0.072 | 0.373 | −0.014 |
| Lignin (mg·g−1) | −0.166 | −0.042 | 0.442 | −0.324 | −0.090 |
| Soluble pectin (mg·g−1) | 0.240 | 0.263 | −0.078 | −0.447 | 0.066 |
| Hemicellulose (mg·g−1) | 0.307 | 0.034 | 0.220 | −0.280 | 0.249 |
| Protopectin (mg·g−1) | 0.149 | 0.310 | −0.470 | −0.135 | −0.076 |
| Cellulose (mg·g−1) | −0.167 | −0.353 | 0.351 | 0.277 | 0.103 |
| Moisture content (%) | 0.365 | −0.168 | 0.075 | 0.073 | 0.087 |
| Starch content (%) | -0.382 | -0.043 | 0.028 | -0.029 | 0.025 |
| Eigenvalue | 5.391 | 3.060 | 1.907 | 1.811 | 1.006 |
| Percentage of variance (%) | 33.692 | 19.125 | 11.920 | 11.317 | 6.288 |
| Cumulative (%) | 33.692 | 52.817 | 64.737 | 76.055 | 82.342 |
| Weight coefficient | 0.409 | 0.232 | 0.145 | 0.138 | 0.076 |
Disclaimer/Publisher’s Note: The statements, opinions and data contained in all publications are solely those of the individual author(s) and contributor(s) and not of MDPI and/or the editor(s). MDPI and/or the editor(s) disclaim responsibility for any injury to people or property resulting from any ideas, methods, instructions or products referred to in the content. |
© 2023 by the authors. Licensee MDPI, Basel, Switzerland. This article is an open access article distributed under the terms and conditions of the Creative Commons Attribution (CC BY) license (https://creativecommons.org/licenses/by/4.0/).
Share and Cite
Xu, X.; Wu, S.; Chen, K.; Zhang, H.; Zhou, S.; Lv, Z.; Chen, Y.; Cui, P.; Cui, Z.; Lu, G. Comprehensive Evaluation of Raw Eating Quality in 81 Sweet Potato (Ipomoea batatas (L.) Lam) Varieties. Foods 2023, 12, 261. https://doi.org/10.3390/foods12020261
Xu X, Wu S, Chen K, Zhang H, Zhou S, Lv Z, Chen Y, Cui P, Cui Z, Lu G. Comprehensive Evaluation of Raw Eating Quality in 81 Sweet Potato (Ipomoea batatas (L.) Lam) Varieties. Foods. 2023; 12(2):261. https://doi.org/10.3390/foods12020261
Chicago/Turabian StyleXu, Ximing, Shiyu Wu, Kuangji Chen, Heyao Zhang, Shuke Zhou, Zunfu Lv, Yuantao Chen, Peng Cui, Zhongqiu Cui, and Guoquan Lu. 2023. "Comprehensive Evaluation of Raw Eating Quality in 81 Sweet Potato (Ipomoea batatas (L.) Lam) Varieties" Foods 12, no. 2: 261. https://doi.org/10.3390/foods12020261
APA StyleXu, X., Wu, S., Chen, K., Zhang, H., Zhou, S., Lv, Z., Chen, Y., Cui, P., Cui, Z., & Lu, G. (2023). Comprehensive Evaluation of Raw Eating Quality in 81 Sweet Potato (Ipomoea batatas (L.) Lam) Varieties. Foods, 12(2), 261. https://doi.org/10.3390/foods12020261

