Potential of the Oxidized Form of the Oleuropein Aglycon to Monitor the Oil Quality Evolution of Commercial Extra-Virgin Olive Oils
Abstract
1. Introduction
2. Materials and Methods
2.1. Solvents and Reagents
2.2. VOO Samples
2.3. Simulation of the VOO Real-Time Shelf-Life
2.4. VOO Analytical Evaluations
2.4.1. Regulatory Quality and Freshness Indices
2.4.2. Oxidative Stability Index (OSI) Time
2.4.3. α-Tocopherol
2.4.4. Polyphenols
2.4.5. Oxidized (Acidic) Form of the Oleuropein Aglycon (3,4-DHPEA-OX)
2.4.6. Volatile Compounds
2.5. Statistical Analysis
3. Results and Discussion
3.1. Evaluation of EVOO Quality at Time T0
3.2. Evolution of VOOs’ Overall Quality during 12 Months of Light Exposure
3.3. Evolution of Extinction Indexes K270 and ΔK during 12 Months of Light Exposure
3.4. Evolution of (E, E)-2,4-Decadienal and (E)-2-Decenal during 12 Months of Light Exposure
3.5. Evolution of Polyphenols during 12 Months of Light Exposure
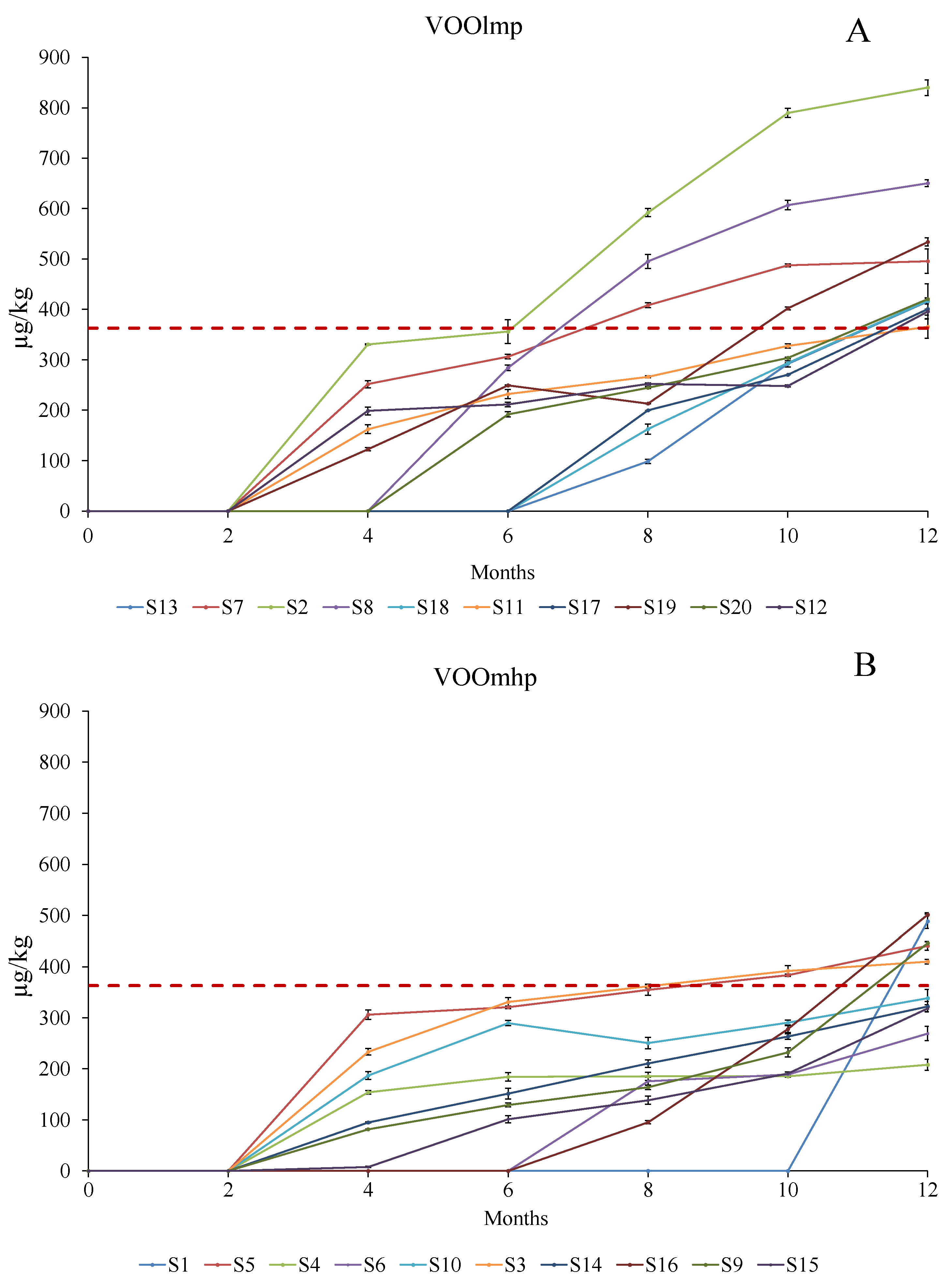
3.6. Evolution of the Oxidized and Non-Oxidized Form of the Oleuropein Aglycon during 12 Months of Light Exposure
4. Conclusions
Supplementary Materials
Author Contributions
Funding
Data Availability Statement
Conflicts of Interest
References
- Institute of Food Science and Technology. Shelf Life of Foods: Guidelines for Its Determination and Prediction; Institute of Food Science and Technology: London, UK, 1993. [Google Scholar]
- Choe, E.; Min, D.B. Mechanisms and Factors for Edible Oil Oxidation. Compr. Rev. Food Sci. Food Saf. 2006, 5, 169–186. [Google Scholar] [CrossRef]
- Choe, E.; Min, D.B. Chemistry and reactions of reactive oxygen species in foods. J. Food Sci. 2005, 70, 142–159. [Google Scholar] [CrossRef]
- Luna, G.; Morales, M.T.; Aparicio, R. Changes induced by UV radiation during virgin olive oil storage. J. Agric. Food Chem. 2006, 54, 4790–4794. [Google Scholar] [CrossRef]
- Bendini, A.; Cerretani, L.; Salvador, M.D.; Fregapane, G.; Lercker, G. Stability of the sensory quality of virgin olive oil during storage: An overview. Ital. J. Food Sci. 2009, 21, 389–406. [Google Scholar]
- Caponio, F.; Bilancia, M.T.; Pasqualone, A.; Sikorska, E.; Gomes, T. Influence of the exposure to light on extra-virgin olive oil quality during storage. Eur. Food Res. Technol. 2005, 221, 92–98. [Google Scholar] [CrossRef]
- Esposto, S.; Taticchi, A.; Urbani, S.; Selvaggini, R.; Veneziani, G.; Di Maio, I.; Sordini, B.; Servili, M. Effect of light exposure on the quality of extra virgin olive oils according to their chemical composition. Food Chem. 2017, 229, 726–733. [Google Scholar] [CrossRef] [PubMed]
- Esposto, S.; Taticchi, A.; Servili, M.; Urbani, S.; Sordini, B.; Veneziani, G.; Daidone, L.; Selvaggini, R. Overall quality evolution of extra virgin olive oil exposed to light for 10 months in different containers. Food Chem. 2021, 351, 129297. [Google Scholar] [CrossRef]
- Servili, M.; Esposto, S.; Taticchi, A.; Urbani, S.; Di Maio, I.; Veneziani, G.; Selvaggini, R. New approaches to virgin olive oil quality, technology, and by-products valorization. Eur. J. Lipid Sci. Technol. 2015, 117, 1882–1892. [Google Scholar] [CrossRef]
- Fregapane, G.; Salvador, M.D. Oxidative stability and the role of minor and functional components of olive oil. In Olives and Olive Oil as Functional Foods: Bioactivity, Chemistry, and Processing; Kiritsakis, P., Shahidi, F., Eds.; Wiley: Hoboken, NJ, USA, 2017; pp. 249–265. [Google Scholar]
- Castillo-Luna, A.; Criado-Navarro, I.; Ledesma-Escobar, C.; López-Bascón, M.; Priego-Capote, F. The decrease in the health benefits of extra virgin olive oil during storage is conditioned by the initial phenolic profile. Food Chem. 2020, 336, 127730. [Google Scholar] [CrossRef]
- Mendéz, A.; Falqué, E. Effect of storage time and container type on the quality of extra virgin olive oil. Food Control 2007, 18, 521–529. [Google Scholar] [CrossRef]
- Pristouri, G.; Badeka, A.; Kontominas, M.G. Effect of packaging material headspace, oxygen and light transmission, temperature and storage time on quality characteristics of extra virgin olive oil. Food Control 2010, 21, 412–418. [Google Scholar] [CrossRef]
- Caipo, L.; Sandoval, A.; Sepúlveda, B.; Fuentes, E.; Valenzuela, R.; Metherel, A.H.; Romero, N. Effect of storage conditions on the quality of Arbequina extra virgin olive oil and the impact on the composition of flavor-related compounds (phenols and volatiles). Foods 2021, 10, 2161. [Google Scholar] [CrossRef]
- Esposito Salsano, J.; Digiacomo, M.; Cuffaro, D.; Bertini, S.; Macchia, M. Content variations in oleocanthalic acid and other phenolic compounds in extra-virgin olive oil during storage. Foods 2022, 11, 1354. [Google Scholar] [CrossRef]
- Khan, N.A. Infrared studies on initiation of the autoxidation of some fatty acid esters with and without light-sensitized chlorophyll, ultraviolet light and lipoxidase. Biochim. Biophys. Acta 1955, 16, 159–160. [Google Scholar] [CrossRef]
- Anniva, C.; Grigoriadou, D.; Psomiadou, E.; Tsimidou, M.Z. Pheophytin α degradation products as useful indices in the quality control of virgin olive oil. J. Am. Oil Chem. Soc. 2006, 83, 371–375. [Google Scholar] [CrossRef]
- Aparicio-Ruiz, R.; Roca, M.; Gandul Rojas, B. Mathematical Model to Predict the Formation of Pyropheophytin a in Virgin Olive Oil during Storage. J. Agric. Food Chem. 2012, 60, 7040–7049. [Google Scholar] [CrossRef] [PubMed]
- Guillaume, C.; Gertz, C.; Ravetti, L. Pyropheophytin a and 1,2-diacyl-glycerols over time under different storage conditions in natural olive oils. J. Am. Oil Chem. Soc. 2014, 91, 697–709. [Google Scholar] [CrossRef]
- Guillaume, C.; Ravetti, L. Shelf-Life Prediction of Extra Virgin Olive Oils Using an Empirical Model Based on Standard Quality Tests. J. Chem. 2016, 2016, 6393962. [Google Scholar] [CrossRef]
- Caponio, F.; Paradiso, V.M.; Bilancia, M.T.; Summo, C. Diacylglycerol isomers in extra virgin olive oil: Effect of different storage conditions. Food Chem. 2013, 140, 772–776. [Google Scholar] [CrossRef] [PubMed]
- Ayyad, Z.; Valli, E.; Bendini, A.; Adrover-Obrador, S.; Femenia, A.; Toschi Gallina, T. extra virgin olive oil stored in different conditions: Focus on diglycerides. Ital. J. Food Sci. 2015, 27, 166–172. [Google Scholar]
- Salvo, A.; Rotondo, A.; La Torre, G.L.; Cicero, N.; Dugo, G. Determination of 1,2/1,3-diglycerides in Sicilian extra-virgin olive oils by 1H-NMR over a one-year storage period. Nat. Prod. Res. 2017, 31, 822–828. [Google Scholar] [CrossRef]
- Despina, K.; Kefi, G.; Kotsiou, K.; Tasioula-Margari, M. Evaluation of phenolic compounds degradation in virgin olive oil during storage and heating. J. Food Nutr. Res. 2009, 48, 31–41. [Google Scholar]
- Di Maio, I.; Esposto, S.; Taticchi, A.; Selvaggini, R.; Veneziani, G.; Urbani, S.; Servili, M. HPLC-ESI-MS investigation of tyrosol and hydroxytyrosol oxidation products in virgin olive oil. Food Chem. 2011, 125, 21–28. [Google Scholar] [CrossRef]
- Di Maio, I.; Esposto, S.; Taticchi, A.; Selvaggini, R.; Veneziani, G.; Urbani, S.; Servili, M. Characterization of 3,4-DHPEA-EDA oxidation products in virgin olive oil by high performance liquid chromatography coupled with mass spectrometry. Food Chem. 2013, 138, 1381–1391. [Google Scholar] [CrossRef] [PubMed]
- Esposto, S.; Taticchi, A.; Di Maio, I.; Urbani, S.; Veneziani, G.; Selvaggini, R.; Sordini, B.; Servili, M. Effect of an olive phenolic extract on the quality of vegetable oils during frying. Food Chem. 2015, 176, 184–192. [Google Scholar] [CrossRef] [PubMed]
- Di Serio, M.G.; Giansante, L.; Di Loreto, G.; Di Giacinto, L. Shelf life of extra-virgin olive oils: First efforts toward a prediction model. J. Food Process. Preserv. 2018, 42, e13663. [Google Scholar] [CrossRef]
- Tsolakou, A.; Diamantakos, P.; Kalaboki, I.; Mena-Bravo, A.; Priego-Capote, F.; Abdallah, I.M.; Kaddoumi, A.; Melliou, E.; Magiatis, P. Oleocanthalic acid, a chemical marker of olive oil aging and exposure to a high storage temperature with potential neuroprotective activity. J. Agric. Food Chem. 2018, 66, 7337–7346. [Google Scholar] [CrossRef] [PubMed]
- Abbattista, R.; Losito, I.; Castellaneta, A.; De Ceglie, C.; Calvano, C.D.; Cataldi, T.R.I. Insight into the Storage-Related Oxidative/Hydrolytic Degradation of Olive Oil Secoiridoids by Liquid Chromatography and High-Resolution Fourier Transform Mass Spectrometry. J. Agric. Food Chem. 2020, 68, 12310–12325. [Google Scholar] [CrossRef]
- Antoniadi, L.; Apostolis, A.; Panagiotis, S.; Eirini, M.B.; Papoutsaki, Z.; Halabalaki, M.; Skaltsounis, L.A. Oxidized forms of olive oil secoiridoids: Semisynthesis identification and correlation with quality parameters. Planta Med. 2022, 88, 805–813. [Google Scholar] [CrossRef]
- Baldioli, M.; Servili, M.; Perretti, G.; Montedoro, G.F. Antioxidant activity of tocopherols and phenolic compounds of virgin olive oil. J. Am. Oil Chem. Soc. 1996, 73, 1589–1593. [Google Scholar] [CrossRef]
- Selvaggini, R.; Servili, M.; Urbani, S.; Esposto, S.; Taticchi, A.; Montedoro, G.F. Evaluation of Phenolic Compounds in Virgin Olive Oil by Direct Injection in High-Performance Liquid Chromatography with Fluorometric Detection. J. Agric. Food Chem. 2006, 54, 2832–2838. [Google Scholar] [CrossRef] [PubMed]
- Commission Delegated Regulation (EU) 2022/2104 of 29 July 2022 Supplementing Regulation (EU) No. 1308/2013 of the European Parliament and of the Council as Regards the Marketing Standards for Olive Oil and Which Repeals Regulation (EEC) No. 2568/91 of the Commission and the Implementing Regulation (EU) n. 29/2012 of the Commission; Official Journal of the European Union: Brussels, Belgium, 2022.
- ISO 29822:2009; Vegetable Fats and Oils—Isomeric Diacylglycerols—Determination of Relative Amounts of 1,2- and 1,3-diacylglycerols. ISO: Geneva, Switzerland, 2009. Available online: https://www.iso.org (accessed on 2 August 2023).
- AOCS Official Method Cd 12b-92. Oil stability index. In Official Methods and Recommended Practices of the American Oil Chemists’ Society, 5th ed.; Firestone, D., Ed.; AOCS Press: Champaign, IL, USA, 1999. [Google Scholar]
- Psomiadou, E.; Tsimidou, M. Simultaneous HPLC determination of tocopherols, carotenoids, and chlorophylls for monitoring their effect on virgin olive oil oxidation. J. Agric. Food Chem. 1998, 46, 5132–5138. [Google Scholar] [CrossRef]
- Taticchi, A.; Esposto, S.; Veneziani, G.; Minnocci, A.; Urbani, S.; Selvaggini, R.; Daidone, L.; Sebastiani, L.; Sordini, B.; Servili, M. High vacuum-assisted extraction affects virgin olive oil quality: Impact on phenolic and volatile compounds. Food Chem. 2021, 342, 128369. [Google Scholar] [CrossRef] [PubMed]
- Gutiérrez, F.; Fernandez, J.L. Determinant parameters and components in the storage of virgin olive oil. Prediction of storage time beyond which the oil is no longer of extra quality. J. Agric. Food Chem. 2002, 50, 571–577. [Google Scholar] [CrossRef]
- Fregapane, G.; Gomez-Rico, A.; Inarejos, A.M.; Salvador, M.D. Relevance of minor components stability in commercial olive oil quality during the market period. Eur. J. Lipid Sci. Technol. 2013, 115, 541–548. [Google Scholar] [CrossRef]
- Barbieri, S.; Ruiz, R.A.; Bubola, K.B.; Bucar-Miklavcic, M.; Lacoste, F.; Tibet, U.; Winkelmann, O.; Bendini, A.; Garcia-Gonzalez, D.L.; Gallina Toschi, T. Performance testing of new artificial olfactory reference materials in virgin olive oil sensory assessment. Int. J. Gastron. Food Sci. 2021, 25, 100402. [Google Scholar] [CrossRef]
- Angerosa, F. Influence of volatile compounds on virgin olive oil quality evaluated by analytical approaches and sensory panels. Eur. J. Lipid Sci. Technol. 2002, 104, 639–660. [Google Scholar] [CrossRef]
- Aparicio-Ruiz, R.; Barbieri, S.; Gallina Toschi, T.; García-Gonzalez, D.L. Formulations of rancid and winey-vinegary artificial olfactory reference materials (AORMs) for virgin olive oil sensory evaluation. Foods 2020, 9, 1870. [Google Scholar] [CrossRef]
- Diamantakos, P.; Ioannidis, K.; Papanikolaou, C.; Tsolakou, A.; Rigakou, A.; Melliou, E.; Magiatis, P. A new definition of the term “High-Phenolic Olive Oil” based on Large Scale Statistical Data of Greek olive oils analysed by qNMR. Molecules 2021, 26, 1115. [Google Scholar] [CrossRef]










Disclaimer/Publisher’s Note: The statements, opinions and data contained in all publications are solely those of the individual author(s) and contributor(s) and not of MDPI and/or the editor(s). MDPI and/or the editor(s) disclaim responsibility for any injury to people or property resulting from any ideas, methods, instructions or products referred to in the content. |
© 2023 by the authors. Licensee MDPI, Basel, Switzerland. This article is an open access article distributed under the terms and conditions of the Creative Commons Attribution (CC BY) license (https://creativecommons.org/licenses/by/4.0/).
Share and Cite
Esposto, S.; Urbani, S.; Selvaggini, R.; Taticchi, A.; Gallina Toschi, T.; Daidone, L.; Bendini, A.; Veneziani, G.; Sordini, B.; Servili, M. Potential of the Oxidized Form of the Oleuropein Aglycon to Monitor the Oil Quality Evolution of Commercial Extra-Virgin Olive Oils. Foods 2023, 12, 2959. https://doi.org/10.3390/foods12152959
Esposto S, Urbani S, Selvaggini R, Taticchi A, Gallina Toschi T, Daidone L, Bendini A, Veneziani G, Sordini B, Servili M. Potential of the Oxidized Form of the Oleuropein Aglycon to Monitor the Oil Quality Evolution of Commercial Extra-Virgin Olive Oils. Foods. 2023; 12(15):2959. https://doi.org/10.3390/foods12152959
Chicago/Turabian StyleEsposto, Sonia, Stefania Urbani, Roberto Selvaggini, Agnese Taticchi, Tullia Gallina Toschi, Luigi Daidone, Alessandra Bendini, Gianluca Veneziani, Beatrice Sordini, and Maurizio Servili. 2023. "Potential of the Oxidized Form of the Oleuropein Aglycon to Monitor the Oil Quality Evolution of Commercial Extra-Virgin Olive Oils" Foods 12, no. 15: 2959. https://doi.org/10.3390/foods12152959
APA StyleEsposto, S., Urbani, S., Selvaggini, R., Taticchi, A., Gallina Toschi, T., Daidone, L., Bendini, A., Veneziani, G., Sordini, B., & Servili, M. (2023). Potential of the Oxidized Form of the Oleuropein Aglycon to Monitor the Oil Quality Evolution of Commercial Extra-Virgin Olive Oils. Foods, 12(15), 2959. https://doi.org/10.3390/foods12152959

