The Production of Intensified Qu and Its Microbial Communities and Aroma Variation during the Fermentation of Huangjiu (Chinese Rice Wine)
Abstract
1. Introduction
2. Materials and Methods
2.1. Preparation of Materials and Reagents
2.2. Production of Intensified Qu
2.3. Fermentation Process of Huangjiu
2.4. Determination of Physical and Chemical Indexes of Fermentation Broths
2.5. DNA Extraction, PCR Amplification, and Illumina MiSeq Sequencing
2.6. Determination of VACs in Fermentation Broths
2.7. Sensory Evaluation of Fermentation Broths
2.8. Statistical Analysis
3. Results and Discussion
3.1. Analysis of Physicochemical Indexes of Fermentation Broths
3.2. Sequencing the Broth Fermented with Intensified Qu
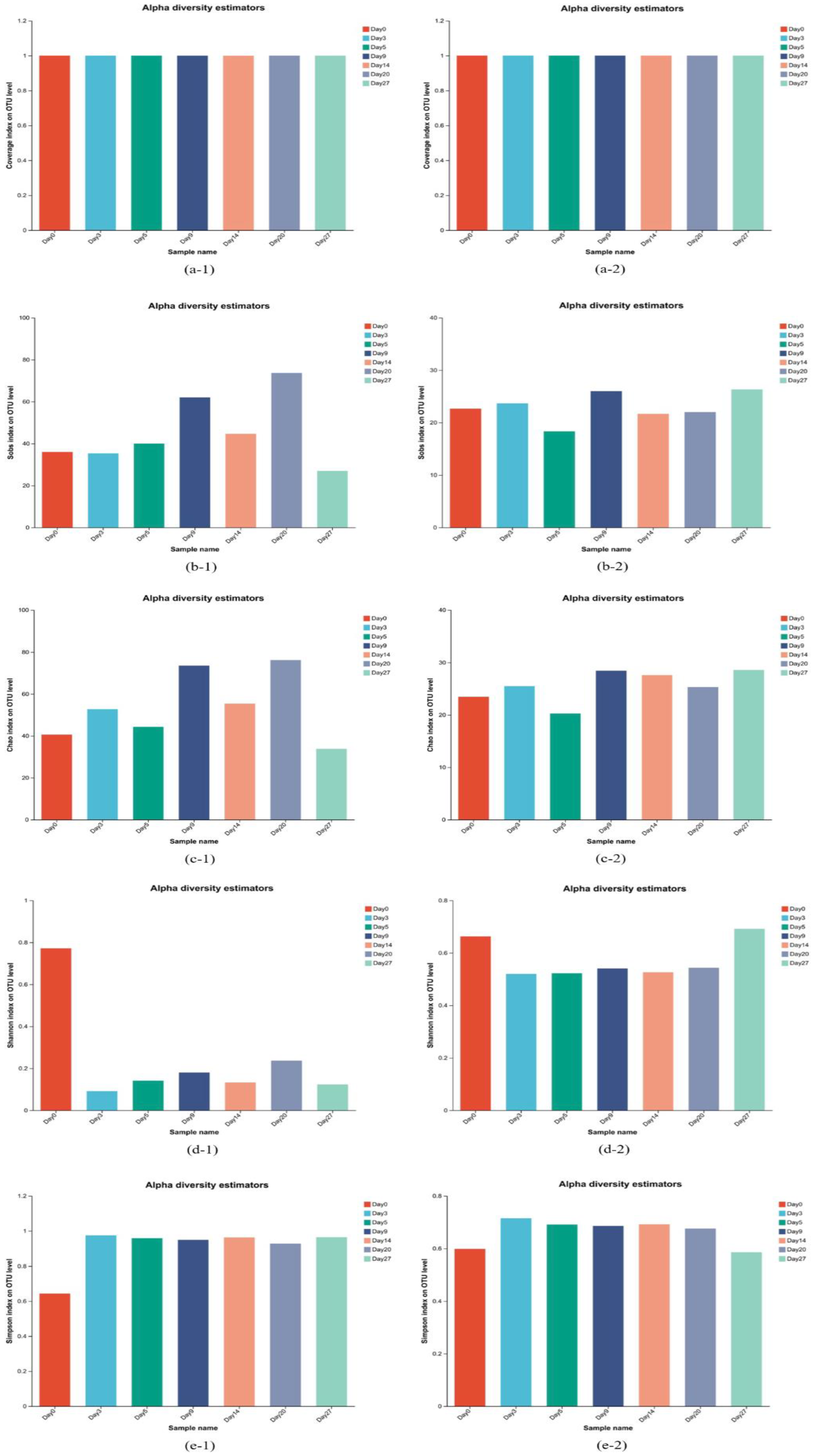
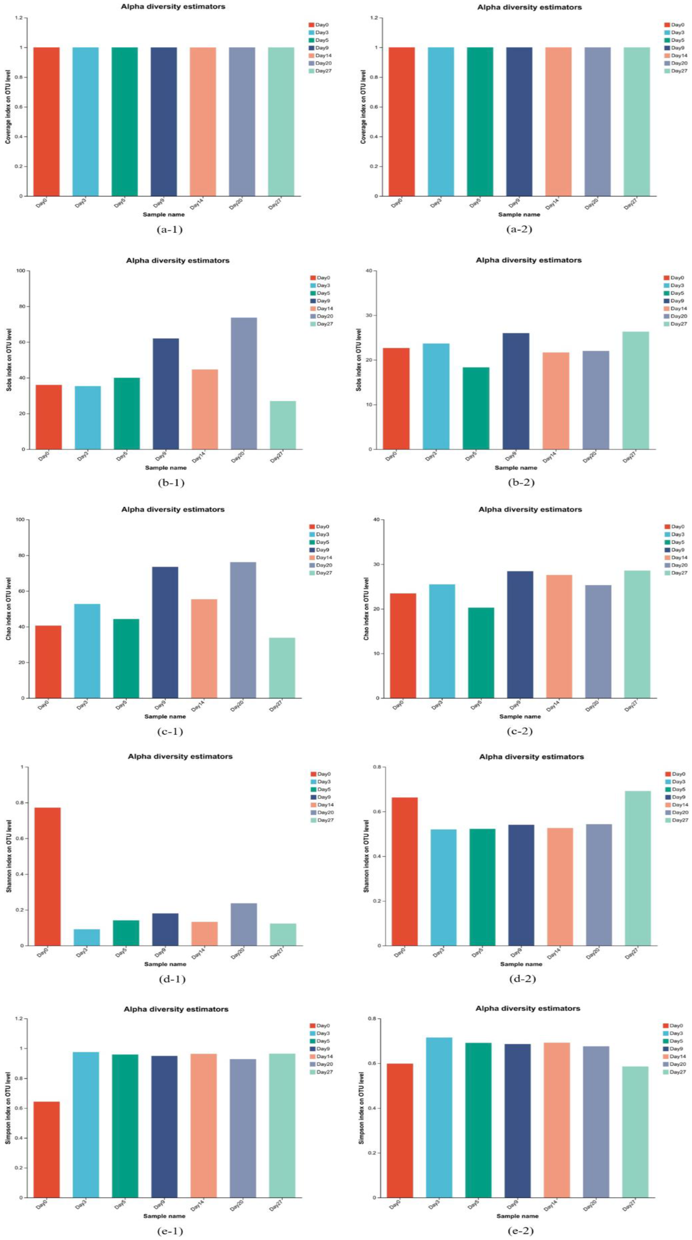
3.3. α-Diversity Analysis of Broth Fermented with Intensified Qu
3.4. Microbial Composition Analysis of Broth Fermented with Intensified Qu
3.5. Analysis of VACs in Huangjiu Fermentation Broths
| Number | Volatile Aroma Compound | Content (µg/L) | ||||||||||||
|---|---|---|---|---|---|---|---|---|---|---|---|---|---|---|
| Blank | FMQFB3d | FMQFB5d | FMQFB9d | FMQFB14d | FMQFB20d | FMQFB27d | IQFB3d | IQFB5d | IQFB9d | IQFB14d | IQFB20d | IQFB27d | ||
| 1 | Ethyl acetate | ND | ND | ND | ND | 259.24 ± 48.41 a | 1103.20 ± 71.56 c | 1898.62 ± 163.69 d | ND | 59.89 ± 6.69 a | 1077.59 ± 110.46 c | 757.87 ± 89.04 b | 531.69 ± 53.22 b | 1938.47 ± 309.84 d |
| 2 | Isoamyl acetate | ND | 13.15 ± 2.01 a | 19.56 ± 2.80 a | 110.60 ± 17.44 cde | 38.08 ± 3.05 b | 97.22 ± 8.61 c | 123.08 ± 17.24 e | 44.60 ± 5.50 b | 8.94 ± 0.65 a | 145.12 ± 0.19 f | 117.41 ± 8.50 de | 102.28 ± 8.76 cd | 241.07 ± 19.56 g |
| 3 | Isoamyl propanoate | ND | 0.23 ± 0.04 a | 0.25 ± 0.03 a | 0.65 ± 0.10 b | ND | ND | ND | ND | ND | ND | ND | ND | ND |
| 4 | Ethyl hexanoate | ND | 1.81 ± 0.33 a | 2.44 ± 0.25 a | 15.57 ± 0.62 a | ND | ND | ND | 44.45 ± 5.66 b | 10.56 ± 1.32 a | 63.39 ± 5.69 c | 37.28 ± 5.13 b | 39.57 ± 0.81 b | 112.70 ± 20.08 d |
| 5 | Ethyl heptanoate | ND | ND | ND | ND | ND | ND | ND | 5.50 ± 0.53 c | 1.12 ± 0.06 a | 7.86 ± 1.56 d | 2.95 ± 0.43 b | 2.91 ± 0.18 b | 14.59 ± 1.31 e |
| 6 | Ethyl lactate | ND | 5.04 ± 0.47 a | 13.73 ± 2.09 a | 14.51 ± 2.55 a | 9.27 ± 1.27 a | 123.58 ± 23.40 b | 128.99 ± 22.89 b | 2.49 ± 0.30 a | 1.42 ± 0.02 a | 4.79 ± 0.74 a | 6.18 ± 0.61 a | 4.46 ± 0.69 a | 13.99 ± 2.23 a |
| 7 | Hexyl formate | ND | 7.24 ± 0.83 | ND | ND | ND | ND | ND | ND | ND | ND | ND | ND | ND |
| 8 | Ethyl caprylate | ND | 4.28 ± 0.51 a | 5.58 ± 0.65 a | 36.85 ± 2.99 c | 29.82 ± 4.61 bc | 225.39 ± 0.55 g | 189.95 ± 30.79 f | 47.91 ± 8.88 c | 12.35 ± 0.23 ab | 99.01 ± 7.72 d | 29.99 ± 1.70 bc | 35.19 ± 2.83 c | 126.50 ± 14.07 e |
| 9 | Ethyl 3-hydroxybutyrate | ND | ND | ND | ND | ND | ND | ND | ND | ND | ND | ND | ND | 1.59 ± 0.25 |
| 10 | Ethyl nonanoate | ND | 6.51 ± 0.99 d | 1.02 ± 0.04 a | 5.47 ± 0.45 cd | 3.62 ± 0.21 bc | 24.12 ± 2.23 g | 9.33 ± 1.03 e | 4.33 ± 0.85 bc | ND | ND | 2.77 ± 0.41 ab | 3.28 ± 0.59 bc | 16.55 ± 2.44 f |
| 11 | Octyl formate | 1.46 ± 0.25 a | ND | ND | ND | 3.02 ± 0.55 a | ND | 15.40 ± 0.90 c | 11.99 ± 2.29 b | ND | ND | ND | ND | ND |
| 12 | Ethyl caprate | ND | 5.33 ± 0.39 a | 8.20 ± 0.67 ab | 42.03 ± 3.63 c | 50.00 ± 8.56 c | 5.75 ± 0.34 a | 257.89 ± 21.83 d | 12.47 ± 2.33 ab | 4.34 ± 0.08 a | 15.50 ± 0.97 ab | 6.19 ± 1.21 a | 6.05 ± 0.42 a | 19.55 ± 3.66 b |
| 13 | Ethyl (E)-4-decenoate | ND | ND | ND | ND | ND | ND | ND | 3.83 ± 0.49 b | 0.78 ± 0.03 a | 8.03 ± 1.54 c | 2.08 ± 0.12 a | 1.48 ± 0.18 a | ND |
| 14 | Diethyl succinate | ND | ND | ND | ND | 3.05 ± 0.47 a | 10.30 ± 0.35 c | 10.38 ± 1.52 c | ND | ND | ND | 4.82 ± 0.33 b | 3.41 ± 0.23 ab | 11.36 ± 1.52 c |
| 15 | Ethyl phenylacetate | ND | ND | 4.57 ± 0.52 de | 8.46 ± 1.02 f | 2.40 ± 0.20 bc | 12.34 ± 2.36 g | 9.36 ± 0.55 f | 1.44 ± 0.07 ab | 0.50 ± 0.03 a | 4.05 ± 0.62 de | 3.11 ± 0.22 cd | 2.19 ± 0.19 bc | 5.22 ± 0.69 e |
| 16 | Ethyl undecanoate | ND | ND | ND | ND | 1.61 ± 0.16 a | 8.28 ± 0.28 c | 5.01 ± 0.94 b | ND | ND | ND | ND | ND | ND |
| 17 | Methyl laurate | 0.14 ± 0.02 | ND | ND | ND | ND | ND | ND | ND | ND | ND | ND | ND | ND |
| 18 | Phenethyl acetate | 0.40 ± 0.05 a | 74.32 ± 8.30 d | 81.02 ± 12.07 d | 207.55 ± 18.58 g | 45.85 ± 8.17 c | 235.38 ± 5.98 h | 141.22 ± 20.28 f | 24.73 ± 4.56 b | 8.48 ± 0.07 ab | 71.92 ± 5.57 d | 73.60 ± 3.07 d | 47.15 ± 7.52 c | 105.27 ± 13.51 e |
| 19 | Ethyl laurate | ND | 6.12 ± 1.08 bcd | 5.30 ± 0.91 bc | 30.42 ± 0.71 e | 9.22 ± 1.20 d | 113.54 ± 5.14 g | 56.53 ± 3.39 f | 3.42 ± 0.34 ab | 1.10 ± 0.05 a | 3.79 ± 0.12 ab | 3.98 ± 0.11 ab | 3.70 ± 0.61 ab | 8.07 ± 1.3 cd |
| 20 | Phenethyl isobutyrate | ND | ND | ND | ND | 1.28 ± 0.22 a | 9.66 ± 0.89 b | 9.96 ± 0.99 b | ND | ND | ND | ND | ND | ND |
| 21 | Isopropyl myristate | 0.17 ± 0.03 a | 3.56 ± 0.53 f | 3.76 ± 0.74 f | 2.39 ± 0.41 cd | 1.96 ± 0.33 bc | 1.22 ± 0.22 b | 3.44 ± 0.14 ef | 1.83 ± 0.31 bc | 1.09 ± 0.12 b | 2.94 ± 0.47 def | 2.88 ± 0.38 def | 2.59 ± 0.47 cde | 6.86 ± 1.23 g |
| 22 | Ethyl tetradecanoate | 0.33 ± 0.04 a | 59.98 ± 9.95 d | 70.81 ± 9.01 e | 170.33 ± 16.04 h | 6.78 ± 1.29 ab | 124.78 ± 8.37 g | 109.95 ± 1.98 f | 16.95 ± 2.35 bc | 5.93 ± 0.41 ab | 5.45 ± 0.17 ab | 7.03 ± 1.30 ab | 7.39 ± 0.82 ab | 22.13 ± 2.48 c |
| 23 | Ethyl pentadecanoate | ND | 1.17 ± 0.18 a | 2.16 ± 0.17 a | 12.92 ± 2.43 c | 0.54 ± 0.06 a | 5.82 ± 1.78 b | 2.90 ± 0.25 a | ND | ND | ND | ND | ND | ND |
| 24 | Methyl hexadecanoate | 0.13 ± 0.03 a | 2.71 ± 0.28 g | 2.94 ± 0.40 gh | 3.11 ± 0.23 h | 0.26 ± 0.04 ab | ND | 1.02 ± 0.18 de | 1.90 ± 0.31 f | 0.52 ± 0.04 bc | 0.93 ± 0.06 de | 0.70 ± 0.11 cd | 0.42 ± 0.02 abc | 1.17 ± 0.15 e |
| 25 | Ethyl hexadecanoate | 2.26 ± 0.39 a | 124.49 ± 20.21 d | 163.50 ± 14.90 e | 304.92 ± 49.83 f | 22.84 ± 4.17 ab | 415.29 ± 42.15 g | 438.39 ± 9.62 g | 44.67 ± 4.48 b | 14.49 ± 0.94 ab | 16.80 ± 1.45 ab | 23.03 ± 2.51 ab | 24.29 ± 0.32 ab | 79.87 ± 6.03 c |
| 26 | Ethyl octadecanoate | 0.08 ± 0.01 a | 1.80 ± 0.27 b | 3.91 ± 0.37 c | 7.12 ± 1.35 d | 1.11 ± 0.06 ab | 14.32 ± 1.93 f | 11.00 ± 0.60 e | 0.50 ± 0.09 a | 0.15 ± 0.02 a | 0.47 ± 0.09 a | 0.40 ± 0.04 a | 0.37 ± 0.01 a | 1.08 ± 0.07 ab |
| 27 | Ethyl oleate | 0.28 ± 0.04 a | 11.68 ± 2.00 b | 19.27 ± 1.72 c | 32.25 ± 4.96 d | 4.34 ± 0.51 a | 55.00 ± 5.22 e | 60.08 ± 3.99 f | 8.64 ± 1.35 b | 2.87 ± 0.09 a | 2.07 ± 0.22 a | 2.90 ± 0.27 a | 3.55 ± 0.03 a | 10.38 ± 0.65 b |
| 28 | Ethyl linoleate | ND | 9.99 ± 1.08 c | 14.11 ± 0.73 d | 27.76 ± 2.34 e | 4.33 ± 0.57 ab | 71.46 ± 3.29 f | 75.55 ± 2.74 g | 10.40 ± 1.94 c | 4.46 ± 0.81 ab | 2.99 ± 0.35 a | 2.04 ± 0.25 a | 6.64 ± 0.02 b | 15.92 ± 2.21 d |
| 29 | 1-Propanol | ND | 14.40 ± 1.97 a | 23.14 ± 2.93 b | 33.22 ± 4.47 c | ND | ND | ND | ND | ND | ND | ND | ND | ND |
| 30 | Isobutanol | ND | 121.68 ± 19.03 b | 199.91 ± 27.18 c | 305.69 ± 25.41 d | 145.26 ± 25.88 bc | 694.84 ± 74.55 f | 1104.95 ± 36.40 h | 148.34 ± 16.10 bc | 48.54 ± 0.53 a | 414.38 ± 22.41 e | 385.89 ± 24.65 e | 210.95 ± 0.74 c | 807.99 ± 75.19 g |
| 31 | 1-Butanol | ND | ND | 3.78 ± 0.26 a | 6.13 ± 0.94 ab | 4.73 ± 0.49 ab | 25.03 ± 2.55 e | 34.32 ± 4.31 f | ND | ND | 8.20 ± 1.37 bc | 9.89 ± 1.28 c | 3.73 ± 0.47 a | 16.53 ± 2.84 d |
| 32 | Isoamylol | ND | 759.20 ± 72.89 ab | 1109.64 ± 163.39 b | 2107.23 ± 348.28 d | 870.47 ± 65.35 ab | 5255.80 ± 576.22 f | 5907.94 ± 853.37 g | 887.88 ± 141.12 ab | 240.26 ± 0.57 a | 1889.98 ± 181.48 cd | 2023.15 ± 294.59 d | 1312.34 ± 114.59 bc | 3890.74 ± 468.85 e |
| 33 | 1-Pentanol | ND | 0.95 ± 0.12 a | 1.54 ± 0.25 b | 1.42 ± 0.17 b | ND | ND | ND | ND | ND | ND | ND | ND | ND |
| 34 | 2-Heptanol | ND | 0.58 ± 0.04 b | 0.44 ± 0.05 a | 0.60 ± 0.04 b | ND | ND | ND | ND | ND | ND | ND | ND | ND |
| 35 | 1-Hexanol | 0.89 ± 0.14 a | ND | 9.13 ± 1.42 c | 9.12 ± 0.71 c | 5.59 ± 0.52 b | 15.82 ± 2.45 d | 24.26 ± 0.58 f | 15.78 ± 1.13 d | 4.18 ± 0.06 b | 19.29 ± 3.04 e | 17.32 ± 3.43 de | 11.48 ± 2.16 c | 23.23 ± 3.34 f |
| 36 | 1-Octen-3-ol | 4.83 ± 0.73 | ND | ND | ND | ND | ND | ND | ND | ND | ND | ND | ND | ND |
| 37 | 1-Heptanol | 0.56 ± 0.07 | ND | ND | ND | ND | ND | ND | ND | ND | ND | ND | ND | ND |
| 38 | 2-Ethylhexanol | 1.81 ± 0.31 a | 4.49 ± 0.53 b | 3.27 ± 0.54 ab | 12.52 ± 2.39 f | 2.53 ± 0.28 a | 8.99 ± 1.25 de | 8.43 ± 1.11 de | 6.46 ± 0.63 c | 2.95 ± 0.07 ab | 7.41 ± 0.46 cd | 8.16 ± 0.32 cde | 7.40 ± 1.01 cd | 9.79 ± 1.56 e |
| 39 | 2,3-Butanediol | 0.46 ± 0.07 a | 22.62 ± 3.99 ab | 48.61 ± 7.68 abc | 25.70 ± 4.22 ab | 82.99 ± 14.73 abc | 783.23 ± 55.80 e | 873.24 ± 146.08 f | 101.80 ± 11.81 bc | 22.32 ± 0.13 ab | 124.32 ± 17.38 c | 93.88 ± 6.88 bc | 75.00 ± 7.76 abc | 391.02 ± 31.91 d |
| 40 | 1-Octanol | ND | 10.83 ± 1.61 bc | 12.28 ± 2.42 c | 12.79 ± 2.01 c | ND | 16.64 ± 1.83 d | ND | ND | 4.43 ± 0.09 a | 13.32 ± 1.19 c | 11.49 ± 0.60 bc | 9.16 ± 1.11 b | 17.61 ± 2.43 d |
| 41 | 1,2-Propanediol | ND | ND | ND | ND | ND | 31.82 ± 2.63 d | 16.83 ± 2.64 c | 2.24 ± 0.38 a | 0.36 ± 0.07 a | 2.98 ± 0.37 a | 2.36 ± 0.43 a | 2.07 ± 0.08 a | 8.60 ± 0.97 b |
| 42 | 1-Nonanol | ND | 5.32 ± 0.65 bc | 4.14 ± 0.69 ab | 9.18 ± 1.67 def | 3.01 ± 0.09 ab | 14.53 ± 0.16 h | 11.75 ± 1.66 g | 7.35 ± 0.84 cd | 2.61 ± 0.04 a | 10.64 ± 0.90 fg | 9.90 ± 0.51 efg | 7.58 ± 0.78 cde | 19.53 ± 3.73 i |
| 43 | Methionol | ND | 2.99 ± 0.55 abc | 4.47 ± 0.81 c | 4.42 ± 0.61 c | 1.75 ± 0.20 a | 14.52 ± 1.69 e | 16.03 ± 2.63 e | 4.18 ± 0.20 bc | 2.70 ± 0.32 abc | 4.06 ± 0.54 bc | 3.50 ± 0.17 abc | 2.40 ± 0.42 ab | 6.27 ± 0.86 d |
| 44 | 1-Decanol | ND | 4.33 ± 0.81 a | 37.68 ± 3.28 b | 6.68 ± 0.61 a | ND | ND | ND | ND | ND | ND | ND | ND | ND |
| 45 | Citronellol | ND | 2.25 ± 0.33 a | ND | 54.64 ± 8.56 c | 2.32 ± 0.03 a | 16.41 ± 2.02 b | 14.49 ± 1.66 b | ND | ND | ND | 4.85 ± 0.44 a | 3.21 ± 0.55 a | 7.29 ± 1.13 a |
| 46 | Nerol | ND | ND | ND | ND | ND | ND | ND | 0.77 ± 0.15 b | 0.28 ± 0.03 a | 1.62 ± 0.08 d | 1.33 ± 0.09 c | 0.85 ± 0.10 b | 1.90 ± 0.18 e |
| 47 | Benzyl alcohol | ND | ND | ND | ND | ND | 2.61 ± 0.03 | ND | ND | ND | ND | ND | ND | ND |
| 48 | Phenethyl alcohol | 4.52 ± 0.71 a | 1215.15 ± 237.26 c | 2034.77 ± 297.88 d | 3093.32 ± 152.50 e | 583.96 ± 47.78 b | 3272.66 ± 29.69 e | 3788.04 ± 453.37 f | 694.05 ± 108.53 b | 223.08 ± 2.72 a | 1307.90 ± 81.94 c | 1256.98 ± 33.68 c | 857.64 ± 128.43 b | 2123.31 ± 339.58 d |
| 49 | 1-Dodecanol | 0.07 ± 0.01 a | 8.11 ± 1.54 c | 9.59 ± 1.19 cd | 24.44 ± 2.43 h | 4.33 ± 0.30 b | 18.62 ± 0.58 g | 12.86 ± 1.11 ef | 4.39 ± 0.62 b | 3.21 ± 0.31 b | 11.76 ± 1.56 e | 11.08 ± 0.42 de | 8.58 ± 0.70 c | 13.76 ± 1.31 f |
| 50 | Cedrol | ND | ND | ND | ND | 0.77 ± 0.07 a | 2.79 ± 0.33 d | ND | ND | ND | ND | 2.02 ± 0.11 c | 1.49 ± 0.20 b | 1.92 ± 0.31 c |
| 51 | β-Eudesmol | ND | 1.31 ± 0.25 a | 1.62 ± 0.17 a | 2.81 ± 0.31 b | ND | ND | ND | ND | ND | ND | ND | ND | ND |
| 52 | 1-Tetradecanol | ND | 4.83 ± 0.93 b | 4.56 ± 0.51 b | 5.75 ± 0.41 c | 0.46 ± 0.05 a | 4.17 ± 0.96 b | ND | ND | ND | ND | ND | ND | ND |
| 53 | (2E,6E)-Farnesol | ND | 2.11 ± 0.32 bc | 2.45 ± 0.46 c | 4.15 ± 0.36 d | 0.55 ± 0.06 a | 13.98 ± 1.85 e | 2.88 ± 0.35 c | ND | 0.20 ± 0.03 a | 1.28 ± 0.07 ab | 0.82 ± 0.10 a | 0.51 ± 0.06 a | 1.08 ± 0.09 ab |
| 54 | 1-Hexadecanol | 0.94 ± 0.15 a | 4.87 ± 0.78 cd | 7.33 ± 0.91 e | 7.49 ± 0.95 e | 2.71 ± 0.45 b | 7.04 ± 1.26 e | 5.75 ± 0.99 d | 4.65 ± 0.63 cd | 1.45 ± 0.09 a | 5.64 ± 0.46 d | 3.64 ± 0.23 bc | 2.65 ± 0.45 b | 5.66 ± 0.75 d |
| 55 | 4-Hydroxyphenethyl alcohol | ND | ND | ND | 5.60 ± 0.98 d | 0.97 ± 0.14 ab | ND | ND | 0.53 ± 0.03 a | 0.17 ± 0.03 a | 1.59 ± 0.27 bc | 2.30 ± 0.34 c | 1.77 ± 0.26 bc | 6.61 ± 0.72 e |
| 56 | Acetic acid | ND | 22.03 ± 3.31 a | 51.20 ± 8.88 a | 68.46 ± 4.06 a | 71.21 ± 7.49 a | 707.39 ± 101.81 e | 435.98 ± 74.23 c | 257.57 ± 38.51 b | 54.72 ± 5.95 a | 230.66 ± 42.64 b | 254.78 ± 18.40 b | 173.73 ± 26.90 b | 598.69 ± 107.08 d |
| 57 | Isobutyric acid | ND | ND | 5.89 ± 0.80 a | 6.38 ± 1.16 a | 6.42 ± 0.82 a | 28.14 ± 2.33 e | 28.72 ± 2.50 e | 13.83 ± 2.46 bc | 4.40 ± 0.18 a | 19.77 ± 3.87 d | 17.71 ± 2.45 cd | 10.73 ± 1.28 b | 30.58 ± 4.28 e |
| 58 | Butyric acid | ND | 1.53 ± 0.26 a | 2.02 ± 0.32 a | ND | ND | ND | ND | ND | ND | ND | ND | ND | ND |
| 59 | 2-Methylbutyric acid | ND | 2.38 ± 0.45 a | 2.41 ± 0.34 a | 5.97 ± 0.81 b | 3.38 ± 0.57 ab | 15.37 ± 3.51 d | 11.45 ± 1.72 c | ND | ND | ND | ND | ND | ND |
| 60 | 2-Methylhexanoic acid | ND | ND | ND | ND | ND | ND | ND | 7.34 ± 0.52 b | 2.22 ± 0.07 a | 9.45 ± 1.18 c | 9.55 ± 1.36 c | 5.99 ± 0.64 b | 14.20 ± 1.14 d |
| 61 | Hexanoic acid | 0.30 ± 0.04 a | ND | 2.52 ± 0.14 b | 2.80 ± 0.34 bc | ND | ND | 4.48 ± 0.69 c | 12.18 ± 2.31 f | 2.86 ± 0.10 bc | 9.39 ± 1.59 e | 7.26 ± 0.54 d | 4.71 ± 0.70 c | 8.41 ± 1.41 de |
| 62 | Octanoic acid | 0.11 ± 0.02 a | 5.79 ± 0.87 cd | 7.80 ± 0.79 cde | 33.04 ± 4.73 h | 5.63 ± 0.97 c | 31.44 ± 1.61 h | 17.15 ± 2.18 g | 9.15 ± 1.38 ef | 2.11 ± 0.24 ab | 11.92 ± 1.54 f | 7.48 ± 0.58 cde | 4.91 ± 0.86 bc | 8.87 ± 0.84 de |
| 63 | Nonanoic acid | 0.14 ± 0.03 a | 5.02 ± 0.43 a | 7.22 ± 1.24 ab | 12.20 ± 1.65 b | 2.94 ± 0.20 a | 3.86 ± 0.71 a | 33.22 ± 4.73 d | 23.14 ± 2.88 c | 6.63 ± 1.16 ab | 39.78 ± 7.49 d | 25.28 ± 2.56 c | 20.73 ± 2.58 c | 62.83 ± 9.82 e |
| 64 | Decanoic acid | ND | ND | ND | 25.37 ± 1.26 g | 2.73 ± 0.22 ab | 20.42 ± 0.73 f | 9.55 ± 1.14 e | 4.48 ± 0.49 cd | 1.50 ± 0.14 a | 5.47 ± 0.78 d | 4.62 ± 0.10 cd | 3.69 ± 0.03 bc | 9.54 ± 1.69 e |
| 65 | Levulinic acid | ND | ND | ND | ND | ND | ND | ND | ND | 0.49 ± 0.03 a | 2.17 ± 0.09 c | 1.09 ± 0.17 b | 0.81 ± 0.04 ab | 2.67 ± 0.42 d |
| 66 | Benzoic acid | ND | 0.78 ± 0.11 a | 1.66 ± 0.25 b | ND | ND | ND | ND | ND | ND | ND | ND | ND | ND |
| 67 | Lauric acid | ND | 3.21 ± 0.32 c | 4.93 ± 0.48 d | 5.42 ± 0.54 d | 0.42 ± 0.06 a | ND | ND | ND | 0.54 ± 0.05 a | 1.36 ± 0.09 b | 1.30 ± 0.09 b | 0.90 ± 0.04 ab | 2.88 ± 0.55 c |
| 68 | Myristic acid | ND | 5.37 ± 0.68 a | 6.91 ± 0.89 a | 13.22 ± 1.84 b | ND | ND | ND | ND | ND | ND | ND | ND | ND |
| 69 | Palmitic acid | 0.28 ± 0.06 a | 9.27 ± 1.16 b | 14.44 ± 2.18 c | 26.67 ± 4.37 d | 0.51 ± 0.07 a | ND | ND | 0.86 ± 0.11 a | 0.18 ± 0.03 a | 0.98 ± 0.12 a | 0.92 ± 0.04 a | 0.49 ± 0.06 a | 2.38 ± 0.44 a |
| 70 | Palmitoleic acid | ND | ND | ND | 2.72 ± 0.39 | ND | ND | ND | ND | ND | ND | ND | ND | ND |
| 71 | Stearic acid | ND | 0.39 ± 0.03 a | 2.79 ± 0.08 b | 3.84 ± 0.50 c | ND | ND | ND | ND | ND | ND | ND | ND | ND |
| 72 | Oleic acid | ND | ND | 0.68 ± 0.12 a | 1.09 ± 0.20 b | ND | ND | ND | ND | ND | ND | ND | ND | ND |
| 73 | Linoleic acid | ND | ND | 0.19 ± 0.01 | ND | ND | ND | ND | ND | ND | ND | ND | ND | ND |
| 74 | Acetaldehyde | ND | ND | ND | ND | ND | ND | ND | 83.98 ± 15.82 d | 10.77 ± 0.33 a | 129.47 ± 9.44 e | 48.66 ± 6.80 c | 25.43 ± 2.69 b | 56.04 ± 2.82 c |
| 75 | Hexanal | 50.60 ± 6.13 b | ND | ND | ND | ND | ND | ND | 5.67 ± 0.67 a | ND | ND | ND | ND | ND |
| 76 | Heptanal | 2.95 ± 0.42 | ND | ND | ND | ND | ND | ND | ND | ND | ND | ND | ND | ND |
| 77 | Octanal | 4.07 ± 0.30 | ND | ND | ND | ND | ND | ND | ND | ND | ND | ND | ND | ND |
| 78 | trans-2-Heptenal | 1.87 ± 0.29 | ND | ND | ND | ND | ND | ND | ND | ND | ND | ND | ND | ND |
| 79 | Nonanal | 8.16 ± 0.46 c | 10.58 ± 1.57 de | 8.35 ± 0.98 cd | 16.05 ± 2.56 f | 1.75 ± 0.16 a | 6.26 ± 0.95 bc | 8.51 ± 0.91 cd | 5.06 ± 1.00 b | 11.23 ± 1.94 e | 7.74 ± 1.04 c | 8.37 ± 0.77 cd | 6.83 ± 0.41 bc | 11.16 ± 1.25 e |
| 80 | Decanal | 1.90 ± 0.28 bc | 1.21 ± 0.22 a | ND | ND | ND | 2.17 ± 0.28 c | 1.44 ± 0.20 ab | ND | ND | ND | ND | ND | 3.41 ± 0.55 d |
| 81 | Benzaldehyde | 1.88 ± 0.22 a | 31.09 ± 4.33 d | 10.06 ± 1.42 ab | 93.42 ± 15.48 g | 11.20 ± 1.31 ab | 39.62 ± 3.69 e | 17.46 ± 2.25 bc | 7.50 ± 0.45 a | 2.47 ± 0.04 a | 61.11 ± 3.46 f | 23.14 ± 4.16 cd | 8.59 ± 0.86 ab | 10.86 ± 1.58 ab |
| 82 | (2E)-2-Nonenal | 1.10 ± 0.12 | ND | ND | ND | ND | ND | ND | ND | ND | ND | ND | ND | ND |
| 83 | (2E)-2-Decenal | 0.86 ± 0.12 | ND | ND | ND | ND | ND | ND | ND | ND | ND | ND | ND | ND |
| 84 | trans-2-Undecenal | 0.34 ± 0.02 a | 0.64 ± 0.04 ab | 0.50 ± 0.05 a | 1.24 ± 0.19 d | ND | ND | ND | ND | ND | ND | 1.16 ± 0.09 cd | 0.92 ± 0.01 bc | 2.10 ± 0.40 e |
| 85 | Dodecanal | 0.47 ± 0.04 a | ND | ND | ND | 0.63 ± 0.05 ab | ND | 2.50 ± 0.42 d | 0.81 ± 0.08 ab | 2.13 ± 0.35 cd | 1.96 ± 0.19 c | 1.82 ± 0.28 c | 1.03 ± 0.09 b | 1.79 ± 0.27 c |
| 86 | 4-Hydroxybenzaldehyde | ND | ND | ND | 1.49 ± 0.24 | ND | ND | ND | ND | ND | ND | ND | ND | ND |
| 87 | 2-Heptanone | ND | ND | ND | 0.30 ± 0.04 | ND | ND | ND | ND | ND | ND | ND | ND | ND |
| 88 | 2-Octanone | 0.98 ± 0.17 | ND | ND | ND | ND | ND | ND | ND | ND | ND | ND | ND | ND |
| 89 | Acetoin | ND | 82.56 ± 4.91 c | 143.66 ± 18.15 e | 114.18 ± 15.66 d | 31.74 ± 2.74 b | 103.51 ± 19.01 d | 32.54 ± 1.07 b | 38.08 ± 6.55 b | 4.44 ± 0.19 a | 46.09 ± 7.96 b | 8.76 ± 0.83 a | 2.44 ± 0.06 a | 3.99 ± 0.76 a |
| 90 | 2,3-Octanedione | 1.18 ± 0.10 | ND | ND | ND | ND | ND | ND | ND | ND | ND | ND | ND | ND |
| 91 | 6-Methylhept-5-en-2-one | 0.45 ± 0.03 a | ND | ND | 1.90 ± 0.18 b | ND | ND | ND | ND | ND | ND | ND | ND | ND |
| 92 | 2-Nonanone | ND | ND | ND | 1.71 ± 0.09 | ND | ND | ND | ND | ND | ND | ND | ND | ND |
| 93 | 3-Nonen-2-one | 0.43 ± 0.06 | ND | ND | ND | ND | ND | ND | ND | ND | ND | ND | ND | ND |
| 94 | 2-Undecanone | 0.42 ± 0.08 | ND | ND | ND | ND | ND | ND | ND | ND | ND | ND | ND | ND |
| 95 | Acetophenone | ND | 3.83 ± 0.76 d | 6.50 ± 0.92 e | ND | ND | ND | 5.90 ± 0.79 e | 2.04 ± 0.11 bc | 0.56 ± 0.02 a | 1.98 ± 0.21 bc | 1.89 ± 0.22 bc | 1.20 ± 0.08 ab | 2.79 ± 0.29 c |
| 96 | 4-Hydroxy-2-butanone | ND | ND | ND | ND | ND | ND | ND | ND | 0.47 ± 0.04 a | 2.37 ± 0.18 d | 1.82 ± 0.14 c | 1.23 ± 0.16 b | 2.85 ± 0.41 e |
| 97 | Neryl acetone | 1.16 ± 0.16 abc | 3.23 ± 0.56 d | 1.96 ± 0.12 c | 8.90 ± 1.17 e | ND | ND | ND | 0.53 ± 0.08 ab | 0.37 ± 0.04 a | 1.69 ± 0.29 c | 1.81 ± 0.06 c | 1.24 ± 0.16 bc | 3.04 ± 0.58 d |
| 98 | 2-Pentadecanone | 0.69 ± 0.10 bc | 2.51 ± 0.16 g | ND | ND | ND | 1.76 ± 0.13 f | 1.38 ± 0.14 e | 1.02 ± 0.12 d | 0.34 ± 0.04 a | 0.79 ± 0.05 c | 0.52 ± 0.03 ab | 0.42 ± 0.08 a | 1.04 ± 0.18 d |
| 99 | Phytone | 0.22 ± 0.03 a | 2.39 ± 0.42 d | 2.52 ± 0.43 d | ND | ND | 1.86 ± 0.11 c | ND | 0.87 ± 0.13 b | 0.38 ± 0.07 a | 1.06 ± 0.13 b | 0.83 ± 0.07 b | 0.79 ± 0.13 b | 1.82 ± 0.29 c |
| 100 | 2-Butylfuran | 0.92 ± 0.14 | ND | ND | ND | ND | ND | ND | ND | ND | ND | ND | ND | ND |
| 101 | 2-Pentylfuran | 13.14 ± 2.29 | ND | ND | ND | ND | ND | ND | ND | ND | ND | ND | ND | ND |
| 102 | γ-Butyrolactone | ND | ND | 1.68 ± 0.26 a | 7.71 ± 0.93 c | 3.25 ± 0.59 ab | 12.81 ± 1.84 d | 19.03 ± 2.96 e | 2.75 ± 0.43 a | 1.35 ± 0.06 a | 4.99 ± 0.18 b | 5.27 ± 0.29 b | 2.04 ± 0.33 a | 14.51 ± 1.82 d |
| 103 | γ-Nonanolactone | 0.28 ± 0.03 a | ND | 3.47 ± 0.69 bc | 5.18 ± 0.31 c | 2.70 ± 0.49 b | 4.51 ± 0.42 c | 4.37 ± 0.65 bc | 11.89 ± 1.83 ef | 3.64 ± 0.09 bc | 13.22 ± 0.83 f | 11.35 ± 0.94 e | 7.58 ± 1.37 d | 16.07 ± 2.00 g |
| 104 | (Z)-dihydro-5-(2-octenyl)furan-2(3H)-one | 0.05 ± 0.01 a | 1.80 ± 0.27 b | ND | ND | ND | ND | ND | ND | ND | ND | ND | ND | ND |
| 105 | 2-Acetylpyrazine | ND | 1.27 ± 0.24 a | 1.38 ± 0.22 a | ND | ND | ND | ND | ND | ND | ND | ND | ND | ND |
| 106 | Indole | 0.73 ± 0.03 d | 0.21 ± 0.03 b | 0.89 ± 0.13 e | ND | ND | ND | ND | 0.37 ± 0.03 c | 0.06 ± 0.01 a | 0.91 ± 0.08 e | 0.29 ± 0.05 bc | 0.08 ± 0.01 a | ND |
| 107 | 4-Methyl-5-vinylthiazole | ND | ND | 0.96 ± 0.18 | ND | ND | ND | ND | ND | ND | ND | ND | ND | ND |
| 108 | Phenol | 0.26 ± 0.04 a | 1.33 ± 0.25 b | ND | 1.85 ± 0.20 cd | 1.83 ± 0.35 cd | 2.59 ± 0.22 e | 2.25 ± 0.40 de | 1.73 ± 0.33 bc | 0.68 ± 0.07 a | 2.59 ± 0.29 e | 2.21 ± 0.15 de | 1.63 ± 0.23 bc | 3.81 ± 0.32 f |
| 109 | 4-Ethyl guaiacol | ND | ND | ND | ND | 0.24 ± 0.04 a | ND | ND | 8.15 ± 0.99 e | 2.33 ± 0.09 b | 8.08 ± 0.71 e | 6.26 ± 0.45 d | 4.03 ± 0.55 c | 8.74 ± 1.19 e |
| 110 | 4-Ethylphenol | ND | ND | ND | ND | ND | ND | ND | 3.16 ± 0.54 c | 0.84 ± 0.08 a | 2.98 ± 0.08 c | 2.14 ± 0.19 b | 1.28 ± 0.13 a | 3.29 ± 0.32 c |
| 111 | 2-Methoxy-4-vinylphenol | 0.42 ± 0.07 a | 4.08 ± 0.19 c | 6.63 ± 0.64 e | 6.92 ± 0.80 e | 1.62 ± 0.31 b | 5.40 ± 0.55 d | 3.52 ± 0.66 c | 4.10 ± 0.32 c | 1.43 ± 0.10 b | 5.09 ± 0.37 d | 3.75 ± 0.63 c | 2.17 ± 0.23 b | 6.39 ± 0.77 e |
| 112 | 1,1-Diethoxyethane | 1.89 ± 0.15 a | 173.82 ± 31.66 b | 308.48 ± 50.17 c | 476.42 ± 51.44 d | ND | ND | ND | 506.02 ± 91.70 d | ND | ND | ND | ND | ND |
| 113 | (S)-(-)-Limonene | ND | 0.68 ± 0.10 a | 0.83 ± 0.11 a | 1.20 ± 0.07 b | ND | ND | ND | 1.36 ± 0.19 b | ND | ND | ND | ND | ND |
| 114 | Calamenene | 0.16 ± 0.02 | ND | ND | ND | ND | ND | ND | ND | ND | ND | ND | ND | ND |
| 115 | Glycerol | ND | ND | ND | ND | ND | ND | ND | 15.82 ± 1.36 a | ND | ND | ND | ND | 48.51 ± 4.21 b |
| Total | 117.74 ± 15.11 a | 2899.00 ± 444.00 bc | 4549.01 ± 651.07 de | 7711.46 ± 794.92 g | 2359.22 ± 256.97 b | 13,843.26 ± 1078.26 i | 16,019.27 ± 1909.61 j | 3199.93 ± 496.19 bc | 814.87 ± 28.26 a | 5980.14 ± 536.39 f | 5395.81 ± 526.45 ef | 3643.04 ± 378.49 cd | 11,048.44 ± 1486.71 h | |

3.6. Sensory Evaluation of Fermentation Broths
3.7. Association between Microorganisms and Flavor Compounds
3.8. Analysis of Functional Microbial Metabolic Pathways
4. Conclusions
Author Contributions
Funding
Institutional Review Board Statement
Informed Consent Statement
Data Availability Statement
Conflicts of Interest
References
- Yang, Y.J.; Hu, W.Y.; Xia, Y.J.; Mu, Z.Y.; Tao, L.R.; Song, X.; Zhang, H.; Ni, B.; Ai, L.Z. Flavor Formation in Chinese Rice Wine (Huangjiu): Impacts of the Flavor-Active Microorganisms, Raw Materials, and Fermentation Technology. Front. Microbiol. 2020, 11, 14. [Google Scholar] [CrossRef]
- Zhu, Y.B.; Zhang, J.H.; Shi, Z.P.; Mao, Z.G. Optimization of operating conditions in rice heat blast process for Chinese rice wine production by combinational utilization of neural network and genetic algorithms. J. Inst. Brew. 2004, 110, 117–123. [Google Scholar] [CrossRef]
- Luo, T.; Fan, W.; Yan, X. Characterization of Volatile and Semi-Volatile Compounds in Chinese Rice Wines by Headspace Solid Phase Microextraction Followed by Gas Chromatography Mass Spectrometry. J. Inst. Brew. 2012, 114, 172–179. [Google Scholar] [CrossRef]
- Wang, J.L.; Zhang, Y.; YU, Q. Research progress of flavoring components in Yellow Rice Wine. Liquor Mak. Sci. Technol. 2011, 206, 96–98+103. [Google Scholar]
- Jiao, A.Q.; Xu, X.M.; Jin, Z.Y. Research progress on the brewing techniques of new-type rice wine. Food Chem. 2017, 215, 508–515. [Google Scholar] [CrossRef] [PubMed]
- Xie, G.F.; Zheng, H.J.; Qiu, Z.L.; Lin, Z.C.; Peng, Q.; Bealu, G.D.; Elsheery, N.I.; Lu, Y.; Shen, C.; Fu, J.W.; et al. Study on relationship between bacterial diversity and quality of Huangjiu (Chinese Rice Wine) fermentation. Food Sci. Nutr. 2021, 9, 3885–3892. [Google Scholar] [CrossRef] [PubMed]
- Zhang, K.Z.; Li, Q.; Wu, W.C.; Yang, J.G.; Zou, W. Wheat Qu and Its Production Technology, Microbiota, Flavor, and Metabolites. J. Food Sci. 2019, 84, 2373–2386. [Google Scholar] [CrossRef] [PubMed]
- Hou, Z.H.; Ning, H.R.; Nie, S.; Zhang, X.; Zhang, Y.; Cui, S.H. Research progress in wine starter in the world. Spec. Wild Econ. Anim. Plant Res. 2013, 35, 72–76. [Google Scholar]
- Xie, G.F.; Li, W.J.; Lu, J.; Cao, Y.; Fang, H.; Zou, H.J.; Hu, Z.M. Isolation and identification of representative fungi from Shaoxing rice wine wheat Qu using a polyphasic approach of culture-based and molecular-based methods. J. Inst. Brew. 2007, 113, 272–279. [Google Scholar] [CrossRef]
- Ran, Y.Z.; Zhang, Y.; Cai, G.H.; Mao, Y.G.; Yuan, J.C.; Yu, J.S. A new method to study the effects of wheat starter on the flavor of yellow rice wine. Liquor-Mak. Sci. Technol. 2009, 8, 91–93. [Google Scholar]
- Guo, W.; Zhou, J.B.; Fang, S.L.; Yu, C.W.; Chen, M.B. Application & Research progress in intensified Daqu. Liquor-Mak. Sci. Technol. 2015, 255, 98–101. [Google Scholar]
- Wei, H.L.; Zhou, J.H.; Liu, F.C.; Guan, J.; Deng, Q.J.; Chen, M.B.; Fang, S.L. Screening of Rhizopus from glutinous rice wine starter and research on fortified Qu. China Brew. 2017, 36, 41–44. [Google Scholar]
- Cui, D.Q.; Luo, X.Y.; Ban, S.D.; Huang, W.; Zhang, Y.H.; Zhao, H.J.; Wang, X.D. Preparation of fortified Daqu and its application in Moutai-flavor Baijiu. Food Ferment. Ind. 2022, 48, 78–84. [Google Scholar]
- Chen, S.; Xu, Y.; Qian, M.C. Comparison of the aromatic profile of traditional and modern types of Huang Jiu (Chinese rice wine) by aroma extract dilution analysis and chemical analysis. Flavour Fragr. J. 2018, 33, 263–271. [Google Scholar] [CrossRef]
- Ye, Y.T.; Wang, L.X.; Zhan, P.; Tian, H.L.; Liu, J.S. Characterization of the aroma compounds of Millet Huangjiu at different fermentation stages. Food Chem. 2022, 366, 130691. [Google Scholar] [CrossRef] [PubMed]
- Tempere, S.; Marchal, A.; Barbe, J.C.; Bely, M.; Masneuf-Pomarede, I.; Marullo, P.; Albertin, W. The complexity of wine: Clarifying the role of microorganisms. Appl. Microbiol. Biotechnol. 2018, 102, 3995–4007. [Google Scholar] [CrossRef]
- Yan, Y.; Sun, L.P.; Xing, X.; Wu, H.J.; Lu, X.; Zhang, W.; Xu, J.L.; Ren, Q. Microbial succession and exploration of higher alcohols-producing core bacteria in northern Huangjiu fermentation. AMB Express 2022, 12, 79. [Google Scholar] [CrossRef]
- Ren, Q.; Sun, L.P.; Sun, Z.B.; Liu, Q.S.; Lu, X.; Li, Z.P.; Xu, J.L. Bacterial succession and the dynamics of flavor compounds in the Huangjiu fermented from corn. Arch. Microbiol. 2020, 202, 299–308. [Google Scholar] [CrossRef]
- Ren, Q.; Sun, L.P.; Wu, H.J.; Wang, Y.S.; Wang, Z.W.; Zheng, F.P.; Lu, X.; Xu, J.L. The changes of microbial community and flavor compound in the fermentation process of Chinese rice wine using Fagopyrum tataricum grain as feedstock. Sci. Rep. 2019, 9, 3365. [Google Scholar] [CrossRef]
- Huang, Z.R.; Guo, W.L.; Zhou, W.B.; Li, L.; Xu, J.X.; Hong, J.L.; Liu, H.P.; Zeng, F.; Bai, W.D.; Liu, B.; et al. Microbial communities and volatile metabolites in different traditional fermentation starters used for Hong Qu glutinous rice wine. Food Res. Int. 2019, 121, 593–603. [Google Scholar] [CrossRef]
- Wang, J.; Yu, Y.G.; Gao, X.L.; Jiang, X.Y.; Huang, M.Q.; Ye, H.; Wu, J.H.; Zhang, J.L.; Sun, X.T.; Wu, Q. Succession patterns of aroma components during brewing process of broomcorn millet (Panicum miliaceum L.) Huangjiu. Food Res. Int. 2022, 154, 110982. [Google Scholar] [CrossRef] [PubMed]
- Yang, Y.J.; Ai, L.Z.; Mu, Z.Y.; Liu, H.D.; Yan, X.; Ni, L.; Zhang, H.; Xia, Y.J. Flavor compounds with high odor activity values (OAV > 1) dominate the aroma of aged Chinese rice wine (Huangjiu) by molecular association. Food Chem. 2022, 383, 132370. [Google Scholar] [CrossRef] [PubMed]
- Liu, H.J.; Wang, J.; Wang, Z.C.; Huang, M.Q.; Liu, Y.G.; Wu, J.H.; Zhang, J.L. Characterization of volatile compounds in Fangxian Huangjiu by two-dimensional gas chromatography-mass spectrometry. Food Ferment. Ind. 2022, 48, 249–255. [Google Scholar]
- Yan, Y.; Chen, H.Y.; Sun, L.P.; Zhang, W.; Lu, X.; Li, Z.P.; Xu, J.L.; Ren, Q. The changes of microbial diversity and flavor compounds during the fermentation of millet Huangjiu, a traditional Chinese beverage. PLoS ONE 2022, 17, e0262353. [Google Scholar] [CrossRef]
- Zhang, W.D.; Ren, Q.; Wang, Z.C.; Liu, H.J.; Huang, M.Q.; Wu, J.H.; Sun, B.G. Analysis of the Microbial Community Structure and Volatile Metabolites of JIUYAO in Fangxian, China. Fermentation 2022, 8, 754. [Google Scholar] [CrossRef]
- Yu, H.Y.; Li, Q.W.; Guo, W.; Chen, C.; Ai, L.Z.; Tian, H.X. Dynamic analysis of volatile metabolites and microbial community and their correlations during the fermentation process of traditional Huangjiu (Chinese rice wine) produced around Winter Solstice. Food Chem. X 2023, 18, 100620. [Google Scholar] [CrossRef]
- Lee, E.; Nam, K.T.; Lee, K.W.; Lee, S.R. Pediococcus spp.-fermented chicken meat for dogs. J. Anim. Sci. Technol. 2020, 62, 84–93. [Google Scholar] [CrossRef]
- Rathee, K.; Dhull, V.; Dhull, R.; Singh, S. Biosensors based on electrochemical lactate detection: A comprehensive review. Biochem. Biophys. Rep. 2016, 5, 35–54. [Google Scholar] [CrossRef]
- Xiang, F.S.; Liu, X.T.; Dai, C.Y.; Zhang, Z.D.; Zhuang, G. Analysis of microbial diversity of rice wine in Xuanen area based on MiSeq high-throughput sequencing technology. Sci. Technol. Food Ind. 2020, 41, 128–132. [Google Scholar]
- Yang, Y.J.; Xia, Y.J.; Hu, W.Y.; Tao, L.R.; Liu, H.D.; Xie, C.L.; Bai, W.D.; Ai, L.Z. Soaking induced discrepancies in oenological properties, flavor profiles, microbial community and sensory characteristic of Huangjiu (Chinese rice wine). LWT Food Sci. Technol. 2021, 139, 110575. [Google Scholar] [CrossRef]
- Romano, P.; Fiore, C.; Paraggio, M.; Caruso, M.; Capece, A. Function of yeast species and strains in wine flavour. Int. J. Food Microbiol. 2003, 86, 169. [Google Scholar] [CrossRef]
- Chen, C.; Liu, Y.; Tian, H.X.; Ai, L.Z.; Yu, H.Y. Metagenomic analysis reveals the impact of JIUYAO microbial diversity on fermentation and the volatile profile of Shaoxing-jiu. Food Microbiol. 2020, 86, 103326. [Google Scholar] [CrossRef]
- Yuan, H.S.; Liu, G.L.; Bai, W.D.; Liang, J.L. Research progress on the application of ester-producing yeast in fermented food. China Brew. 2023, 42, 15–20. [Google Scholar]
- Fan, G.S.; Teng, C.; Xu, D.; Fu, Z.L.; Minhazul Karim, A.H.M.; Wu, Q.H.; Liu, P.X.; Yang, R.; Li, X.T. Enhanced production of ethyl acetate using co-culture of Wickerhamomyces anomalus and Saccharomyces cerevisiae. J. Biosci. Bioeng. 2019, 128, 564–570. [Google Scholar] [CrossRef]
- Kim, H.R.; Kim, J.H.; Bai, D.H.; Ahn, B. Feasibility of Brewing Makgeolli Using Pichia anomala Y197-13, a Non-Saccharomyces cerevisiae. J. Microbiol. Biotechnol. 2012, 22, 1749–1757. [Google Scholar] [PubMed]
- Liao, P.F.; Wang, S.; Wang, Z.; Chen, L.; Lu, W.; Sun, J.Y.; Li, H.H.; Zhao, D.R.; Wang, B.W.; Sun, B.G. Analysis of Aroma Components of Five Steamed Grains for Production of Nongxiangxing Baijiu by Simultaneous Distillation and Extraction combined with Gas Chromatography-Mass Spectrometry. Food Sci. 2023, 44, 235–243. [Google Scholar]
- Zhang, H.X.; Wang, L.; Wang, H.Y.; Yang, F.; Chen, L.Q.; Hao, F.; Lv, X.B.; Du, H.; Xu, Y. Effects of initial temperature on microbial community succession rate and volatile flavors during Baijiu fermentation process. Food Res. Int. 2021, 141, 109887. [Google Scholar] [CrossRef] [PubMed]
- Hazelwood, L.A.; Daran, J.M.; van Maris, A.J.A.; Pronk, J.T.; Dickinson, J.R. The ehrlich pathway for fusel alcohol production: A century of research on Saccharomyces cerevisiae metabolism. Appl. Environ. Microbiol. 2008, 74, 2259–2266. [Google Scholar] [CrossRef]
- Zhou, Z.L.; Ji, Z.W.; Liu, S.P.; Han, X.; Zheng, F.P.; Mao, J. Characterization of the volatile compounds of huangjiu using comprehensive two-dimensional gas chromatography coupled to time of flight mass spectrometry (GC × GC-TOFMS). J. Food Process Preserv. 2019, 43, 10. [Google Scholar] [CrossRef]
- Erten, H.; Tanguler, H.; Cakiroz, H. The effect of pitching rate on fermentation and flavour compounds in high gravity brewing. J. Inst. Brew. 2007, 113, 75–79. [Google Scholar] [CrossRef]
- Xu, Y.Q.; Wu, M.Q.; Zhao, D.; Zheng, J.; Dai, M.Q.; Li, X.T.; Li, W.W.; Zhang, C.N.; Sun, B.G. Simulated Fermentation of Strong-Flavor Baijiu through Functional Microbial Combination to Realize the Stable Synthesis of Important Flavor Chemicals. Foods 2023, 12, 644. [Google Scholar] [CrossRef]
- Wang, J.; Yuan, C.J.; Gao, X.L.; Kang, Y.L.; Huang, M.Q.; Wu, J.H.; Liu, Y.P.; Zhang, J.L.; Li, H.H.; Zhang, Y.Y. Characterization of key aroma compounds in Huangjiu from northern China by sensory-directed flavor analysis. Food Res. Int. 2020, 134, 109238. [Google Scholar] [CrossRef] [PubMed]
- Li, J.S. Sources of color components, aroma components and taste components in yellow rice wine. Liquor-Mak. Sci. Technol. 2001, 3, 48–50. [Google Scholar]
- Zhang, W.D. Analysis of Microbial Diversity and Characteristics of Fangxian JIUYAO and Preparation of Intensified JIUYAO. Master’s Thesis, Beijing Technology and Business University, Beijing, China, 2022. [Google Scholar]
- Li, Y.Y.; Hu, X.X.; Huang, Y.G. Analysis of the diversity of fungal flora in Maotai-flavor liquor brewing environment in Maotai Town. Food Sci. China 2021, 42, 164–170. [Google Scholar]
- Sonia, K.G.; Chadha, B.S.; Saini, H.S. Sorghum straw for xylanase hyper-production by Thermomyces lanuginosus (D2W3) under solid-state fermentation. Bioresour. Technol. 2005, 96, 1561–1569. [Google Scholar] [CrossRef] [PubMed]
- Lv, X.C.; Huang, Z.Q.; Zhang, W.; Rao, P.F.; Ni, L. Identification and characterization of filamentous fungi isolated from fermentation starters for Hong Qu glutinous rice wine brewing. J. Gen. Appl. Microbiol. 2012, 58, 33–42. [Google Scholar] [CrossRef]
- Wang, J.; Wang, D.Q.; Huang, M.Q.; Sun, B.G.; Ren, F.Z.; Wu, J.H.; Meng, N.; Zhang, J.L. Identiffcation of nonvolatile chemical constituents in Chinese Huangjiu using widely targeted metabolomics. Food Res Int. 2023, 172, 113226. [Google Scholar] [CrossRef]








| Time | Total Acid (g/L) | Total Sugar (g/L) | pH | Alcohol Content (%vol) | ||||
|---|---|---|---|---|---|---|---|---|
| FMQFB | IQFB | FMQFB | IQFB | FMQFB | IQFB | FMQFB | IQFB | |
| 3 d | 3.01 ± 0.03 | 2.18 ± 0.05 *** | 266.00 ± 4.83 | 282.58 ± 5.25 * | 3.70 ± 0.01 | 3.94 ± 0.01 *** | 3.76 ± 0.06 | 3.46 ± 0.36 |
| 5 d | 3.07 ± 0.08 | 2.72 ± 0.09 ** | 290.46 ± 11.28 | 295.15 ± 4.47 | 3.84 ± 0.01 | 3.92 ± 0.01 *** | 5.89 ± 0.10 | 9.28 ± 0.35 *** |
| 9 d | 3.25 ± 0.07 | 2.46 ± 0.06 *** | 152.85 ± 5.91 | 114.79 ± 1.03 *** | 3.62 ± 0.01 | 3.83 ± 0.01 *** | 7.41 ± 0.15 | 8.93 ± 0.19 *** |
| 14 d | 3.31 ± 0.11 | 2.70 ± 0.07 ** | 112.03 ± 0.62 | 83.81 ± 0.52 *** | 3.76 ± 0.01 | 3.92 ± 0.05 ** | 11.62 ± 0.12 | 10.22 ± 0.71 * |
| 20 d | 3.47 ± 0.03 | 2.43 ± 0.03 *** | 81.55 ± 1.05 | 56.93 ± 0.36 *** | 3.76 ± 0.01 | 3.92 ± 0.01 *** | 13.92 ± 0.36 | 12.28 ± 0.18 ** |
| 27 d | 3.57 ± 0.02 | 2.86 ± 0.05 *** | 67.51 ± 1.11 | 40.60 ± 0.65 *** | 3.82 ± 0.01 | 3.98 ± 0.01 *** | 14.79 ± 0.13 | 14.73 ± 0.44 |
Disclaimer/Publisher’s Note: The statements, opinions and data contained in all publications are solely those of the individual author(s) and contributor(s) and not of MDPI and/or the editor(s). MDPI and/or the editor(s) disclaim responsibility for any injury to people or property resulting from any ideas, methods, instructions or products referred to in the content. |
© 2023 by the authors. Licensee MDPI, Basel, Switzerland. This article is an open access article distributed under the terms and conditions of the Creative Commons Attribution (CC BY) license (https://creativecommons.org/licenses/by/4.0/).
Share and Cite
Zheng, S.; Zhang, W.; Ren, Q.; Wu, J.; Zhang, J.; Wang, B.; Meng, N.; Li, J.; Huang, M. The Production of Intensified Qu and Its Microbial Communities and Aroma Variation during the Fermentation of Huangjiu (Chinese Rice Wine). Foods 2023, 12, 2674. https://doi.org/10.3390/foods12142674
Zheng S, Zhang W, Ren Q, Wu J, Zhang J, Wang B, Meng N, Li J, Huang M. The Production of Intensified Qu and Its Microbial Communities and Aroma Variation during the Fermentation of Huangjiu (Chinese Rice Wine). Foods. 2023; 12(14):2674. https://doi.org/10.3390/foods12142674
Chicago/Turabian StyleZheng, Siman, Wendi Zhang, Qing Ren, Jihong Wu, Jinglin Zhang, Bowen Wang, Nan Meng, Jinchen Li, and Mingquan Huang. 2023. "The Production of Intensified Qu and Its Microbial Communities and Aroma Variation during the Fermentation of Huangjiu (Chinese Rice Wine)" Foods 12, no. 14: 2674. https://doi.org/10.3390/foods12142674
APA StyleZheng, S., Zhang, W., Ren, Q., Wu, J., Zhang, J., Wang, B., Meng, N., Li, J., & Huang, M. (2023). The Production of Intensified Qu and Its Microbial Communities and Aroma Variation during the Fermentation of Huangjiu (Chinese Rice Wine). Foods, 12(14), 2674. https://doi.org/10.3390/foods12142674

