Active and Intelligent Packaging for Enhancing Modified Atmospheres and Monitoring Quality and Shelf Life of Packed Gilthead Seabream Fillets at Isothermal and Variable Temperature Conditions
Abstract
:1. Introduction
2. Materials and Methods
2.1. Kinetic Study of Quality Deterioration of Gilthead Seabream Fillets
2.1.1. Raw Material and Packaging
2.1.2. Kinetic Study of Microbial Growth
2.1.3. Freshness Assessment and Volatiles Production
2.1.4. Shelf-Life Estimation (tSL)
2.2. Kinetic Study of Time Temperature Integrators Response
2.2.1. Time Temperature Integrators
2.2.2. Kinetic Modeling of TTI Response
2.3. Selection of Appropriate TTI and Validation at Variable Temperature Conditions
2.4. Statistical Analysis
3. Results and Discussion
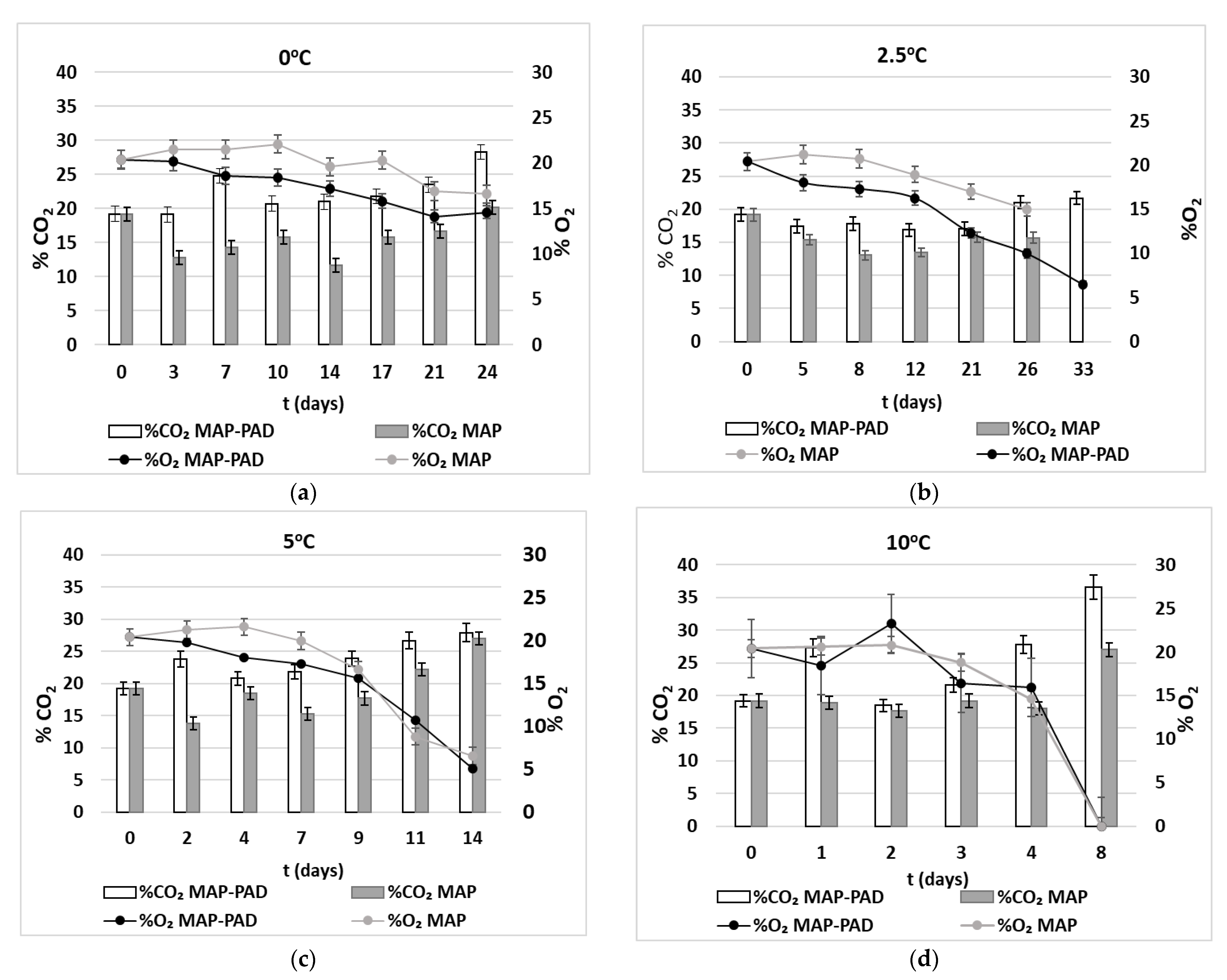
3.1. CO2 and O2 Concentration Changes in the the Package Headspace under Isothermal Storage Conditions
3.2. Bacterial Growth during Isothermal Storage Conditions—Shelf-Life Estimation
3.3. Freshness Assessment and Volatiles Production during Isothermal Storage Conditions
3.4. Kinetic Study of Time Temperature Integrators (TTI) Response at Isothermal Conditions
Selection of Appropriate TTI for the MAP and MAP-PAD Samples
3.5. Bacterial Growth during Non-Isothermal Storage Conditions
3.6. Freshness Assessment and Volatiles Production during Non-Isothermal Storage Conditions
3.7. Prediction of the for Total Viable Count (TVC), Pseudomonas spp., Enterobacteriaceae spp. and H2S-Producing Bacteria Growth on MAP-PAD and MAP Seabream Fillets
3.8. Validation of the Selected TTI at Non-Isothermal Storage Conditions
4. Conclusions
Author Contributions
Funding

Institutional Review Board Statement
Informed Consent Statement
Data Availability Statement
Acknowledgments
Conflicts of Interest
References
- Provincial, L.; Guillén, E.; Alonso, V.; Gil, M.; Roncalés, P.; Beltrán, J.A. Survival of Vibrio Parahaemolyticus and Aeromonas Hydrophila in Sea Bream (Sparus aurata) Fillets Packaged under Enriched CO2 Modified Atmospheres. Int. J. Food Microbiol. 2013, 166, 141–147. [Google Scholar] [CrossRef] [PubMed]
- Costa, J.C.C.P.; Bover-Cid, S.; Bolívar, A.; Zurera, G.; Pérez-Rodríguez, F. Modelling the Interaction of the Sakacin-Producing Lactobacillus Sakei CTC494 and Listeria Monocytogenes in Filleted Gilthead Sea Bream (Sparus aurata) under Modified Atmosphere Packaging at Isothermal and Non-Isothermal Conditions. Int. J. Food Microbiol. 2019, 297, 72–84. [Google Scholar] [CrossRef] [PubMed]
- Hansen, A.Å.; Moen, B.; Rødbotten, M.; Berget, I.; Pettersen, M.K. Effect of Vacuum or Modified Atmosphere Packaging (MAP) in Combination with a CO2 Emitter on Quality Parameters of Cod Loins (Gadus Morhua). Food Packag. Shelf Life 2016, 9, 29–37. [Google Scholar] [CrossRef]
- Bouletis, A.D.; Arvanitoyannis, I.S.; Hadjichristodoulou, C. Application of Modified Atmosphere Packaging on Aquacultured Fish and Fish Products: A Review. Crit. Rev. Food Sci. Nutr. 2017, 57, 2263–2285. [Google Scholar] [CrossRef]
- Torrieri, E.; Cavella, S.; Villani, F.; Masi, P. Influence of Modified Atmosphere Packaging on the Chilled Shelf Life of Gutted Farmed Bass (Dicentrarchus Labrax). J. Food Eng. 2006, 77, 1078–1086. [Google Scholar] [CrossRef]
- Goulas, A.E.; Kontominas, M.G. Combined Effect of Light Salting, Modified Atmosphere Packaging and Oregano Essential Oil on the Shelf-Life of Sea Bream (Sparus aurata): Biochemical and Sensory Attributes. Food Chem. 2007, 100, 287–296. [Google Scholar] [CrossRef]
- Hansen, A.Å.; Mørkøre, T.; Rudi, K.; Olsen, E.; Tie, T. Quality Changes during Refrigerated Storage of MA-Packaged Pre-Rigor Fillets of Farmed Atlantic Cod (Gadusmorhua L.) Using TraditionalMAP, CO2 Emitter, and Vacuum. J. Food Sci. 2007, 72, M423–M430. [Google Scholar] [CrossRef]
- Tsironi, T.; Ntzimani, A.; Gogou, E.; Tsevdou, M.; Semenoglou, I.; Dermesonlouoglou, E.; Taoukis, P. Modeling the Effect of Active Modified Atmosphere Packaging on the Microbial Stability and Shelf Life of Gutted Sea Bass. Appl. Sci. 2019, 9, 5019. [Google Scholar] [CrossRef] [Green Version]
- Hansen, A.Å.; Høy, M.; Pettersen, M.K. Prediction of Optimal CO2 Emitter Capacity Developed for Modified Atmosphere Packaging of Fresh Salmon Fillets (Salmo Salar L.). Packag. Technol. Sci. 2009, 22, 199–208. [Google Scholar] [CrossRef]
- Taoukis, P.; Gogou, E.; Tsironi, T.; Giannoglou, M.; Dermesonlouoglou, E.; Katsaros, G.J. Food Cold Chain Management and Optimization. In Emerging and Traditional Technologies for Safe, Healthy and Quality Food; Nedović, V., Raspor, P., Lević, J., Tumbas Šaponjac, V., Barbosa-Cánovas, G.V., Eds.; Springer Science+Business Media: New York, NY, USA, 2016; pp. 285–309. ISBN 978-3-319-24038-1. [Google Scholar]
- Mohan, C.; Ravishankar, C.N. Active and Intelligent Packaging Systems-Application in Seafood. World J. Aquac. Res. Dev. 2019, 1, 1003. [Google Scholar]
- Tsironi, T.; Gogou, E.; Velliou, E.; Taoukis, P.S. Application and Validation of the TTI Based Chill Chain Management System SMAS (Safety Monitoring and Assurance System) on Shelf Life Optimization of Vacuum Packed Chilled Tuna. Int. J. Food Microbiol. 2008, 128, 108–115. [Google Scholar] [CrossRef]
- Taoukis, P.S.; Labuza, T.P. Time-Temperature Indicators (TTIs). In Novel Food Packaging Techniques; Elsevier: Amsterdam, The Netherlands, 2003; pp. 103–126. [Google Scholar]
- Tsironi, T.; Stamatiou, A.; Giannoglou, M.; Velliou, E.; Taoukis, P.S. Predictive Modelling and Selection of Time Temperature Integrators for Monitoring the Shelf Life of Modified Atmosphere Packed Gilthead Seabream Fillets. LWT-Food Sci. Technol. 2011, 44, 1156–1163. [Google Scholar] [CrossRef]
- Giannoglou, M.; Touli, A.; Platakou, E.; Tsironi, T.; Taoukis, P.S. Predictive Modeling and Selection of TTI Smart Labels for Monitoring the Quality and Shelf-Life of Frozen Seafood. Innov. Food Sci. Emerg. Technol. 2014, 26, 294–301. [Google Scholar] [CrossRef]
- Parlapani, F.F.; Haroutounian, S.A.; Nychas, G.J.E.; Boziaris, I.S. Microbiological Spoilage and Volatiles Production of Gutted European Sea Bass Stored under Air and Commercial Modified Atmosphere Package at 2 °C. Food Microbiol. 2015, 50, 44–53. [Google Scholar] [CrossRef] [PubMed]
- Mireles Dewitt, C.A.; Oliveira, A.C.M. Modified Atmosphere Systems and Shelf Life Extension of Fish and Fishery Products. Foods 2016, 5, 48. [Google Scholar] [CrossRef] [PubMed] [Green Version]
- Tsironi, T.; Giannoglou, M.; Platakou, E.; Taoukis, P. Evaluation of Time Temperature Integrators for Shelf-Life Monitoring of Frozen Seafood under Real Cold Chain Conditions. Food Packag. Shelf Life 2016, 10, 46–53. [Google Scholar] [CrossRef]
- Baranyi, J.; Roberts, T.A. Mathematics of Predictive Food Microbiology. Int. J. Food Microbiol. 1995, 26, 199–218. [Google Scholar] [CrossRef] [Green Version]
- Grigorakis, K.; Alexis, M.; Gialamas, I.; Nikolopoulou, D. Sensory, Microbiological, and Chemical Spoilage of Cultured Common Sea Bass (Dicentrarchus Labrax) Stored in Ice: A Seasonal Differentiation. Eur. Food Res. Technol. 2004, 219, 584–587. [Google Scholar] [CrossRef]
- Dalgaard, P.; Mejlholm, O.; Christiansen, T.J.; Huss, H.H. Importance of Photobacterium Phosphoreum in Relation to Spoilage of Modified Atmosphere-Packed Fish Products. Lett. Appl. Microbiol. 1997, 24, 373–378. [Google Scholar] [CrossRef]
- Macé, S.; Cornet, J.; Chevalier, F.; Cardinal, M.; Pilet, M.F.; Dousset, X.; Joffraud, J.J. Characterisation of the Spoilage Microbiota in Raw Salmon (Salmo Salar) Steaks Stored under Vacuum or Modified Atmosphere Packaging Combining Conventional Methods and PCR-TTGE. Food Microbiol. 2012, 30, 164–172. [Google Scholar] [CrossRef] [Green Version]
- Tsironi, T.N.; Ntzimani, A.G.; Taoukis, P.S. Modified Atmosphere Packaging and the Shelf Life of Meat; Elsevier: Amsterdam, The Netherlands, 2019; ISBN 978-0-08-100596-5. [Google Scholar]
- Taoukis, P.S.; Tsironi, T.N.; Developments, C.; Trends, F. Time–Temperature Integrators (TTI); Elsevier: Amsterdam, The Netherlands, 2018; pp. 1–13. Available online: https://doi.org/10.1016/B978-0-08-100596-5.21872-6 (accessed on 20 June 2022)ISBN ISBN 9780081005965. [CrossRef]
- Tsironi, T.; Ronnow, P.; Giannoglou, M.; Taoukis, P. Developing Suitable Smart TTI Labels to Match Specific Monitoring Requirements: The Case of Vibrio Spp. Growth during Transportation of Oysters. Food Control 2017, 73, 51–56. [Google Scholar] [CrossRef]
- Ntzimani, A.; Angelakopoulos, R.; Stavropoulou, N.; Semenoglou, I.; Dermesonlouoglou, E.; Tsironi, T.; Moutou, K.; Taoukis, P. Seasonal Pattern of the Effect of Slurry Ice during Catching and Transportation on Quality and Shelf Life of Gilthead Sea Bream. J. Mar. Sci. Eng. 2022, 10, 443. [Google Scholar] [CrossRef]
- Tsironi, T.; Salapa, I.; Taoukis, P. Shelf Life Modelling of Osmotically Treated Chilled Gilthead Seabream Fillets. Innov. Food Sci. Emerg. Technol. 2009, 10, 23–31. [Google Scholar] [CrossRef]
- Parlapani, F.F.; Mallouchos, A.; Haroutounian, S.A.; Boziaris, I.S. Microbiological Spoilage and Investigation of Volatile Profile during Storage of Sea Bream Fillets under Various Conditions. Int. J. Food Microbiol. 2014, 189, 153–163. [Google Scholar] [CrossRef]
- Parlapani, F.F.; Verdos, G.I.; Haroutounian, S.A.; Boziaris, I.S. The Dynamics of Pseudomonas and Volatilome during the Spoilage of Gutted Sea Bream Stored at 2 °C. Food Control 2015, 55, 257–265. [Google Scholar] [CrossRef]
- Parlapani, F.F.; Mallouchos, A.; Haroutounian, S.A.; Boziaris, I.S. Volatile Organic Compounds of Microbial and Non-Microbial Origin Produced on Model Fish Substrate Un-Inoculated and Inoculated with Gilt-Head Sea Bream Spoilage Bacteria. LWT-Food Sci. Technol. 2017, 78, 54–62. [Google Scholar] [CrossRef]
- Yildirim, S.; Röcker, B.; Pettersen, M.K.; Nilsen-Nygaard, J.; Ayhan, Z.; Rutkaite, R.; Radusin, T.; Suminska, P.; Marcos, B.; Coma, V. Active Packaging Applications for Food. Compr. Rev. Food Sci. Food Saf. 2018, 17, 165–199. [Google Scholar] [CrossRef] [Green Version]
- Ahmed, I.; Lin, H.; Zou, L.; Brody, A.L.; Li, Z.; Qazi, I.M.; Pavase, T.R.; Lv, L. A Comprehensive Review on the Application of Active Packaging Technologies to Muscle Foods. Food Control 2017, 82, 163–178. [Google Scholar] [CrossRef]
- Taoukis, P.S. Modelling the Use of Time-Temperature Indicators in Distribution and Stock Rotation. In Food Process Modelling; Tijskens, L., Hertog, M., Nicolai, B.M., Eds.; Woodhead Publishing Limited: Cambridge, UK, 2001; pp. 402–431. [Google Scholar]
- Bjerkeng, B.; Sivertsvik, M.; Rosnes, J.T.; Bergslien, H. Reducing Package Deformation and Increasing Filling Degree in Packages of God Fiilets in CO2-Enriched Atmospheres by Adding Sodium Carbonate and Citric. In Foods and Packaging Materials-Chemical Interactions; Ackermann, P., Jagerstad, M., Ohlsson, T., Eds.; The Royal Society of Chemistry: Cambridge, UK, 1995; pp. 222–227. [Google Scholar]
- Hansen, A.A.; Mørkøre, T.; Rudi, K.; Rødbotten, M.; Bjerke, F.; Eie, T. Quality Changes of Prerigor Filleted Atlantic Salmon (Salmo Salar L.) Packaged in Modified Atmosphere Using CO2 Emitter, Traditional MAP, and Vacuum. J. Food Sci. 2009, 74, M242–M249. [Google Scholar] [CrossRef]
- Masniyom, P. Deterioration and Shelf-Life Extension of Fish and Fishery Products by Modified Atmosphere Packaging. Songklanakarin J. Sci. Technol. 2011, 33, 181–192. [Google Scholar]
- Alasalvar, C.; Taylor, K.D.A.; Öksüz, A.; Garthwaite, T.; Alexis, M.N.; Grigorakis, K. Freshness Assessment of Cultured Sea Bream (Sparus aurata) by Chemical, Physical and Sensory Methods. Food Chem. 2001, 72, 33–40. [Google Scholar] [CrossRef]
- Giannoglou, M.; Evangelopoulou, A.M.; Perikleous, N.; Baclori, C.; Tsironi, T.; Taoukis, P. Time Temperature Integrators for Monitoring the Shelf Life of Ready-to-Eat Chilled Smoked Fish Products. Food Packag. Shelf Life 2019, 22, 100403. [Google Scholar] [CrossRef]
- Grigorakis, K.; Kogiannou, D.; Genevieve, C.; Pérez Sánchez, J.; Agnes, A.; Zsuzsanna, J.S. Impact of Diets Containing Plant Raw Materials as Fish Meal and Fish Oil Replacement on Rainbow Trout (Oncorhynchus Mykiss), Gilthead Sea Bream (Sparus aurata), and Common Carp (Cyprinus Carpio) Freshness. J. Food Qual. 2018, 2018. [Google Scholar] [CrossRef] [Green Version]
- Baranyi, J.; Robinson, T.P.; Kaloti, A.; Mackey, B.M. Predicting Growth of Brochothrix Thermosphacta at Changing Temperature. Int. J. Food Microbiol. 1995, 27, 61–75. [Google Scholar] [CrossRef]
- Li, K.; Torres, J.A. Microbial Growth Estimation in Liquid Media Exposed to Temperature Fluctuations. J. Food Sci. 1993, 58, 644–648. [Google Scholar] [CrossRef]
- Zwietering, M.H.; De Wit, J.C.; Cuppers, H.G.A.M.; Van’t Riet, K. Modeling of Bacterial Growth with Shifts in Temperature. Appl. Environ. Microbiol. 1994, 60, 204–213. [Google Scholar] [CrossRef] [Green Version]
- Taoukis, P.S.; Koutsoumanis, K.; Nychas, G.J.E. Use of Time-Temperature Integrators and Predictive Modelling for Shelf Life Control of Chilled Fish under Dynamic Storage Conditions. Int. J. Food Microbiol. 1999, 53, 21–31. [Google Scholar] [CrossRef] [Green Version]
- Koutsoumanis, K. Predictive Modeling of the Shelf Life of Fish under Nonisothermal Conditions. Appl. Environ. Microbiol. 2001, 67, 1821–1829. [Google Scholar] [CrossRef] [PubMed] [Green Version]










| Total Aerobic Viable Count (log CFU g−1) | Pseudomonas spp. (log CFU g−1) | Enterobacteriaceae spp. (log CFU g−1) | H2S-producing Bacteria (log CFU g−1) | ||||||
|---|---|---|---|---|---|---|---|---|---|
| Storage Temperature | Storage Time | MAP-PAD | MAP | MAP-PAD | MAP | MAP-PAD | MAP | MAP-PAD | MAP |
| 0 °C | 0 days | 5.41 ± 0.05 | 5.41 ± 0.05 | 5.19 ± 0.20 | 5.19 ± 0.20 | 4.05 ± 0.15 | 4.05 ± 0.15 | 4.23 ± 0.17 | 4.23 ± 0.17 |
| 14 days | 6.74 ± 0.10 | 7.07 ± 0.13 | 5.84 ± 0.15 | 6.48 ± 0.11 | 4.45 ± 0.34 | 5.04 ± 0.33 | 6.63 ± 0.07 | 7.18 ± 0.04 | |
| 24 days | 8.06 ± 0.24 | 8.14 ± 0.02 | 6.88 ± 0.10 | 7.04 ± 0.02 | 6.40 ± 0.20 | 7.11 ± 0.31 | 7.89 ± 0.09 | 8.15 ± 0.15 | |
| 2.5 °C | 0 days | 4.54 ± 0.15 | 4.54 ± 0.15 | 4.55 ± 0.25 | 4.55 ± 0.25 | 2.88 ± 0.04 | 2.88 ± 0.04 | 3.49 ± 0.10 | 3.49 ± 0.10 |
| 12 days | 6.48 ± 0.14 | 6.98 ± 0.14 | 5.11 ± 0.10 | 5.76 ± 0.16 | 4.30 ± 0.05 | 4.67 ± 0.09 | 5.97 ± 0.09 | 5.99 ± 0.03 | |
| 25 days * | 8.23 ± 0.03 | 8.13 ± 0.04 | 5.61 ± 0.10 | 6.35 ± 0.15 | 4.74 ± 0.14 | 4.89 ± 0.03 | 7.04 ± 0.02 | 7.01 ± 0.05 | |
| 5 °C | 0 days | 5.37 ± 0.05 | 5.37 ± 0.05 | 5.19 ± 0.20 | 5.19 ± 0.20 | 4.05 ± 0.15 | 4.05 ± 0.15 | 4.23 ± 0.17 | 4.23 ± 0.17 |
| 7 days | 6.77 ± 0.13 | 6.81 ± 0.09 | 6.16 ± 0.18 | 6.74 ± 0.04 | 4.71 ± 0.27 | 5.95 ± 0.05 | 5.82 ± 0.16 | 6.96 ± 0.16 | |
| 14 days | 8.38 ± 0.09 | 8.45 ± 0.15 | 6.71 ± 0.03 | 6.77 ± 0.07 | 7.21 ± 0.03 | 7.00 ± 0.05 | 7.68 ± 0.04 | 7.95 ± 0.15 | |
| 10 °C | 0 days | 5.35 ± 0.11 | 5.35 ± 0.11 | 5.19 ± 0.20 | 5.19 ± 0.20 | 4.05 ± 0.15 | 4.05 ± 0.15 | 4.23 ± 0.17 | 4.23 ± 0.17 |
| 3 days | 7.32 ± 0.05 | 7.43 ± 0.03 | 6.30 ± 0.02 | 6.77 ± 0.03 | 5.50 ± 0.05 | 7.02 ± 0.05 | 7.16 ± 0.02 | 7.37 ± 0.03 | |
| 8 days | 8.75 ± 0.11 | 8.91 ± 0.10 | 6.88 ± 0.02 | 7.52 ± 0.04 | 7.54 ± 0.12 | 7.61 ± 0.05 | 7.71 ± 0.29 | 8.22 ± 0.12 | |
| Storage Temperature | 0 °C | 2.5 °C | 5 °C | 10 °C |
|---|---|---|---|---|
| Total aerobic viable count (TVC) | ||||
| MAP-PAD | ||||
| Growth rate, k (d−1) | 0.224 ± 0.027 a | 0.294 ± 0.020 ab | 0.51 ± 0.14 b | 1.07 ± 0.23 c |
| Lag phase, λ (d) | 8.44 ± 0.97 x | 2.88 ± 0.37 y | 3.65 ± 0.58 y | 1.16 ± 0.45 y |
| Nmax | 8.09 ± 0.10 | 8.48 ± 0.47 | 8.48 ± 0.23 | 8.73 ± 0.26 |
| R2 fit | 0.992 | 0.982 | 0.960 | 0.963 |
| MAP | ||||
| Growth rate, k (d−1) | 0.186 ± 0.031 a | 0.298 ± 0.052 ab | 0.838 ± 0.19 b | 1.26 ± 0.187 c |
| Lag phase, λ (d) | 6.36 ± 1.52 x | 1.52 ± 0.78 y | 3.88 ± 0.56 y | 1.55 ± 0.25 y |
| Nmax | 8.14 ± 0.29 | 7.92 ± 1.39 | 8.61 ± 0.15 | 8.71 ± 0.14 |
| R2 fit | 0.953 | 0.903 | 0.982 | 0.989 |
| Pseudomonas spp. | ||||
| MAP-PAD | ||||
| Growth rate, k (d−1) | 0.130 ± 0.016 a | 0.257 ± 0.0247 b | 0.427 ± 0.037 c | 0.629 ± 0.035 d |
| Lag phase, λ (d) | 8.76 ± 0.13 a | 5.11 ± 0.99 a | 4.63 ± 0.18 a | 1.09 ± 0.03 b |
| Nmax | 6.83 ± 0.18 | 5.71 ± 0.06 | 6.62 ± 0.05 | 6.86 ± 0.16 |
| R2 fit | 0.957 | 0.771 | 0.985 | 0.947 |
| MAP | ||||
| Growth rate, k (d−1) | 0.143 ± 0.032 a | 0.215 ± 0.1232 b | 0.416 ± 0.088 c | 0.645 ± 0.221 d |
| Lag phase, λ (d) | 6.43 ± 1.84 a | 5.20 ± 0.34 a | 5.94 ± 0.35 a | 0.87 ± 0.03 b |
| Nmax | 7.04 ± 0.36 | 6.35 ± 0.50 | 6.85 ± 0.17 | 7.50 ± 0.27 |
| R2 fit | 0.914 | 0.843 | 0.929 | 0.916 |
| Enterobacteriaceae spp. | ||||
| MAP-PAD | ||||
| Growth rate, k (d−1) | 0.251 ± 0.073 a | 0.421 ± 0.007 a | 0.543 ± 0.377 b | 0.894 ± 0.034 c |
| Lag phase, λ (d) | 12.68 ± 2.68 a | 7.12 ± 0.80 b | 5.82 ± 0.76 b | 1.34 ± 0.08 |
| Nmax | 6.78 ± 0.19 | 4.74 ± 0.34 | 7.23 ± 0.05 | 7.53 ± 0.04 |
| R2 fit | 0.866 | 0.999 | 0.982 | 0.999 |
| MAP | ||||
| Growth rate, k (d−1) | 0.324 ± 0.072 a | 0.433 ± 0.033 a | 0.672 ± 0.086 b | 1.050 ± 0.090 c |
| Lag phase, λ (d) | 11.58 ± 1.68 a | 4.76 ± 0.74 b | 4.06 ± 0.9 b | - |
| Nmax | 6.95 ± 0.21 | 4.75 ± 0.04 | 6.81 ± 0.11 | 7.60 ± 0.87 |
| R2 fit | 0.933 | 0.980 | 0.984 | 0.812 |
| H2S-producing bacteria | ||||
| MAP-PAD | ||||
| Growth rate, k (d−1) | 0.183 ± 0.041 a | 0.219 ± 0.029 a | 0.339 ± 0.130 a | 1.050 ± 0.130 b |
| Lag phase, λ (d) | 1.33 ± 0.04 | - | - | - |
| Nmax | 7.95 ± 1.42 | 6.94 ± 0.32 | 7.53 ± 0.55 | 7.78 ± 0.22 |
| R2 fit | 0.888 | 0.967 | 0.798 | 0.969 |
| MAP | ||||
| Growth rate, k (d−1) | 0.209 ± 0.032 a | 0.295 ± 0.043 a | 0.695 ± 0.169 a | 1.150 ± 0.160 b |
| Lag phase, λ (d) | - | - | - | - |
| Nmax | 8.42 ± 0.76 | 6.69 ± 0.50 | 7.43 ± 0.41 | 8.13 ± 0.23 |
| R2 fit | 0.922 | 0.931 | 0.908 | 0.964 |
| TVC | Pseudomonas spp. | Enterobacteriaceae spp. | H2S-Producing Bacteria | |||||
|---|---|---|---|---|---|---|---|---|
| Ea (kJ mol−1) | R2 | Ea (kJ mol−1) | R2 | Ea (kJ mol−1) | R2 | Ea (kJ mol−1) | R2 | |
| MAP-PAD | 113.1 | 0.887 | 93.7 | 0.918 | 81.4 | 0.969 | 116.2 | 0.961 |
| MAP | 133.9 | 0.883 | 100.5 | 0.952 | 90.3 | 0.982 | 120.4 | 0.943 |
| Temperature | Shelf-Life tSL (Days) | |
|---|---|---|
| MAP-PAD | MAP | |
| 0 °C | 17 | 16 |
| 2.5 °C | 13 | 11 |
| 5 °C | 8 | 6 |
| 10 °C | 3 | 3 |
| ΤΤΙ | Temperature (°C) | 0 | 2.5 | 5 | 10 | 15 |
|---|---|---|---|---|---|---|
| M-5U | k1 (d−1) | 50.4 | 37.2 | 29.2 | 10.2 | 6.90 |
| s. error (k1) | 1.91 | 1.24 | 0.43 | 0.32 | 0.02 | |
| k2 (d−1) | 7.83 | 4.07 | 3.20 | 1.48 | 1.24 | |
| s. error (k2) | 1.60 | 0.94 | 0.31 | 0.26 | 0.02 | |
| M-10U | k1 (d−1) | 31.3 | 23.1 | 14.0 | 6.85 | 3.97 |
| s. error (k1) | 0.36 | 0.10 | 0.37 | 0.02 | 0.04 | |
| k2 (d−1) | 6.18 | 2.37 | 3.65 | 0.57 | 0.59 | |
| s. error (k2) | 0.44 | 0.09 | 0.35 | 0.02 | 0.04 | |
| M-15U | k1 (d−1) | 22.3 | 18.1 | 12.3 | 5.57 | 3.11 |
| s. error (k1) | 0.36 | 0.18 | 0.25 | 0.10 | 0.02 | |
| k2 (d−1) | 4.79 | 2.76 | 2.25 | 1.06 | 0.48 | |
| s. error (k2) | 0.26 | 0.16 | 0.24 | 0.08 | 0.01 | |
| M-20U | k1 (d−1) | 19.2 | 14.9 | 11.9 | 3.69 | 2.47 |
| s. error (k1) | 0.36 | 0.18 | 0.25 | 0.10 | 0.02 | |
| k2 (d−1) | 4.95 | 2.02 | 1.68 | 0.64 | 0.50 | |
| s. error (k2) | 0.26 | 0.16 | 0.24 | 0.08 | 0.01 | |
| M-25U | k1 (d−1) | 15.5 | 12.5 | 8.03 | 2.96 | 1.63 |
| s. error (k1) | 0.34 | 0.49 | 0.13 | 0.03 | 0.02 | |
| k2 (d−1) | 2.99 | 2.57 | 1.49 | 0.60 | 0.21 | |
| s. error (k2) | 0.28 | 0.33 | 0.12 | 0.03 | 0.02 | |
| M-50U | k1 (d−1) | 8.11 | 5.47 | 3.77 | 1.79 | 0.93 |
| s. error (k1) | 0.07 | 0.17 | 0.03 | 0.03 | 0.01 | |
| k2 (d−1) | 1.39 | 1.24 | 0.47 | 0.34 | 0.16 | |
| s. error (k2) | 0.08 | 0.10 | 0.02 | 0.02 | 0.01 | |
| M-75U | k1 (d−1) | 6.03 | 3.99 | 2.73 | 0.97 | 0.68 |
| s. error (k1) | 0.03 | 0.04 | 0.02 | 0.02 | 0.01 | |
| k2 (d−1) | 0.86 | 0.65 | 0.27 | 0.17 | 0.15 | |
| s. error (k2) | 0.03 | 0.03 | 0.02 | 0.01 | 0.01 | |
| M-100U | k1 (d−1) | 4.26 | 3.12 | 2.06 | 0.97 | 0.46 |
| s. error (k1) | 0.03 | 0.07 | 0.02 | 0.02 | 0.01 | |
| k2 (d−1) | 0.58 | 0.53 | 0.31 | 0.09 | 0.08 | |
| s. error (k2) | 0.03 | 0.07 | 0.01 | 0.01 | 0.01 |
| ΤΤΙ | Temperature (°C) | 0 | 2.5 | 5 | 10 | 15 |
|---|---|---|---|---|---|---|
| LP-100U | k1 (d−1) | 33.1 | 14.0 | 7.90 | 3.15 | 1.15 |
| s. error (k1) | 0.33 | 0.42 | 0.13 | 0.06 | 0.02 | |
| k2 (d−1) | 10.9 | 4.26 | 1.84 | 0.79 | 0.27 | |
| s. error (k2) | 0.25 | 0.31 | 0.12 | 0.06 | 0.02 | |
| LP-150U | k1 (d−1) | 21.4 | 12.1 | 8.77 | 1.81 | 0.77 |
| s. error (k1) | 0.80 | 0.16 | 0.15 | 0.04 | 0.03 | |
| k2 (d−1) | 8.60 | 2.09 | 2.52 | 0.57 | 0.18 | |
| s. error (k2) | 0.79 | 0.14 | 0.13 | 0.03 | 0.03 | |
| LP-300U | k1 (d−1) | 11.3 | 3.49 | 1.38 | 0.85 | 0.30 |
| s. error (k1) | 0.40 | 0.14 | 0.04 | 0.02 | 0.03 | |
| k2 (d−1) | 3.49 | 0.86 | 0.38 | 0.23 | 0.06 | |
| s. error (k2) | 0.36 | 0.14 | 0.04 | 0.01 | 0.03 | |
| LP-500U | k1 (d−1) | 9.87 | 4.03 | 1.75 | 0.49 | 0.20 |
| s. error (k1) | 0.10 | 0.06 | 0.03 | 0.01 | 0.01 | |
| k2 (d−1) | 2.25 | 1.01 | 0.41 | 0.14 | 0.05 | |
| s. error (k2) | 0.09 | 0.06 | 0.02 | 0.01 | 0.01 |
| Parameter | M-Type | LP-Type |
|---|---|---|
| Ea (kJ/mol) | 97.1 | 148.0 |
| k1ref(c=1U) (d−1) | 128.6 | 1822.4 |
| k2ref(c=1U) (d−1) | 25.7 | 298.1 |
| A | 0.861 | 1.10 |
| Β | 0.861 | 0.970 |
| R2 | 0.970 | 0.967 |
| MAP-PAD | MAP | |
|---|---|---|
| TVC | ||
| Growth rate, k (d−1) | 0.348 ± 0.015 | 0.551 ± 0.073 |
| Lag phase, λ (in d) | 3.76 ± 0.96 | 3.18 ± 0.57 |
| Nmax | 8.52 ± 0.14 | 8.45 ± 0.44 |
| R2 fit | 0.918 | 0.987 |
| Pseudomonas spp. | ||
| Growth rate, k (d−1) | 0.355 ± 0.041 | 0.367 ± 0.049 |
| Lag phase, λ (in d) | - | - |
| Nmax | 6.18 ± 0.30 | 6.36 ± 0.16 |
| R2 fit | 0.801 | 0.931 |
| Enterobacteriaceae spp. | ||
| Growth rate, k (d−1) | 0.493 ± 0.0282 | 0.510 ± 0.025 |
| Lag phase, λ (in d) | 2.85 ± 0.05 | 3.85 ± 0.45 |
| Nmax | 5.35 ± 0.47 | 6.11 ± 0.25 |
| R2 fit | 0.798 | 0.951 |
| H2S-producing bacteria | ||
| Growth rate, k (d−1) | 0.276 ± 0.043 | 0.467 ± 0.047 |
| Lag phase, λ (in d) | - | - |
| Nmax | 7.12 ± 0.23 | 7.81 ± 0.20 |
| R2 fit | 0.950 | 0.978 |
| kpredicted (d−1) | Total Viable Count | Pseudomonas spp. | Enterobacteriaceae spp. | H2S-Producing Bacteria |
|---|---|---|---|---|
| MAP-PAD | 0.398 ± 0.024 RE% = 14% | 0.244 ± 0.012 RE% = 31% | 0.401 ± 0.015 RE% = 18% | 0.351 ± 0.025 RE% = 27% |
| MAP | 0.524 ± 0.046 RE% = 5% | 0.321 ± 0.009 RE% = 12% | 0.486 ± 0.023 RE% = 5% | 0.447 ± 0.0017 RE% = 2% |
Publisher’s Note: MDPI stays neutral with regard to jurisdictional claims in published maps and institutional affiliations. |
© 2022 by the authors. Licensee MDPI, Basel, Switzerland. This article is an open access article distributed under the terms and conditions of the Creative Commons Attribution (CC BY) license (https://creativecommons.org/licenses/by/4.0/).
Share and Cite
Katsouli, M.; Semenoglou, I.; Kotsiri, M.; Gogou, E.; Tsironi, T.; Taoukis, P. Active and Intelligent Packaging for Enhancing Modified Atmospheres and Monitoring Quality and Shelf Life of Packed Gilthead Seabream Fillets at Isothermal and Variable Temperature Conditions. Foods 2022, 11, 2245. https://doi.org/10.3390/foods11152245
Katsouli M, Semenoglou I, Kotsiri M, Gogou E, Tsironi T, Taoukis P. Active and Intelligent Packaging for Enhancing Modified Atmospheres and Monitoring Quality and Shelf Life of Packed Gilthead Seabream Fillets at Isothermal and Variable Temperature Conditions. Foods. 2022; 11(15):2245. https://doi.org/10.3390/foods11152245
Chicago/Turabian StyleKatsouli, Maria, Ioanna Semenoglou, Mado Kotsiri, Eleni Gogou, Theofania Tsironi, and Petros Taoukis. 2022. "Active and Intelligent Packaging for Enhancing Modified Atmospheres and Monitoring Quality and Shelf Life of Packed Gilthead Seabream Fillets at Isothermal and Variable Temperature Conditions" Foods 11, no. 15: 2245. https://doi.org/10.3390/foods11152245
APA StyleKatsouli, M., Semenoglou, I., Kotsiri, M., Gogou, E., Tsironi, T., & Taoukis, P. (2022). Active and Intelligent Packaging for Enhancing Modified Atmospheres and Monitoring Quality and Shelf Life of Packed Gilthead Seabream Fillets at Isothermal and Variable Temperature Conditions. Foods, 11(15), 2245. https://doi.org/10.3390/foods11152245

