Relationships between Intensity and Liking for Chemosensory Stimuli in Food Models: A Large-Scale Consumer Segmentation
Abstract
1. Introduction
2. Materials and Methods
2.1. Participants
2.2. Products
2.2.1. Food Models
2.2.2. Aqueous Solutions
2.3. Evaluation Procedure
2.3.1. Liking of Food Products
2.3.2. Intensity Ratings
2.3.3. Food Preference Questionnaire
2.4. Data Analyses
2.4.1. Estimation of the Concentration Level Effect
2.4.2. Cluster Identification
2.4.3. Cluster Effect Estimation
3. Results
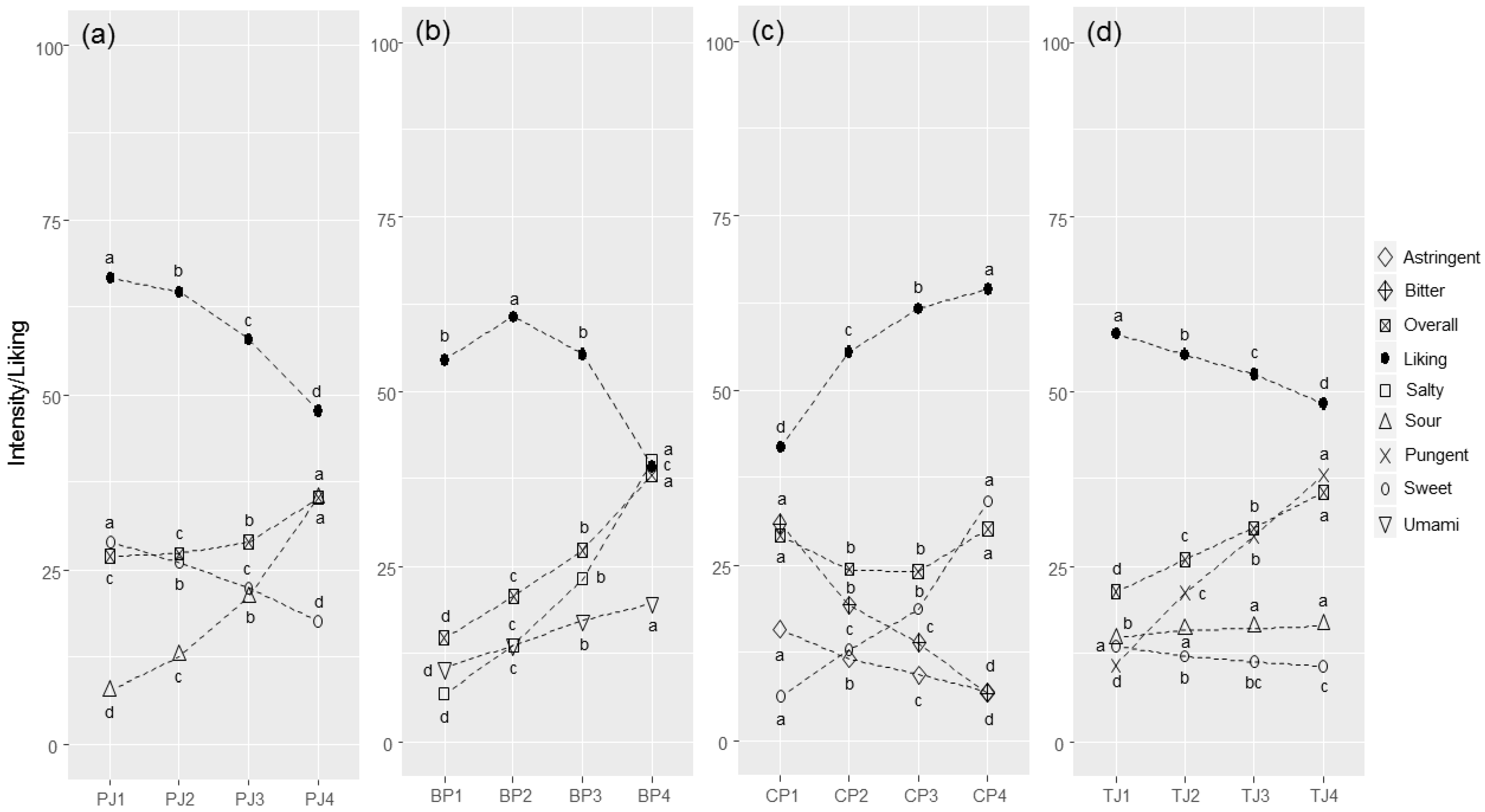
3.1. Perceived Intensity and Liking: Responses from the Whole Panel
3.1.1. Perceived Intensity of Food Models
3.1.2. Liking of Food Products
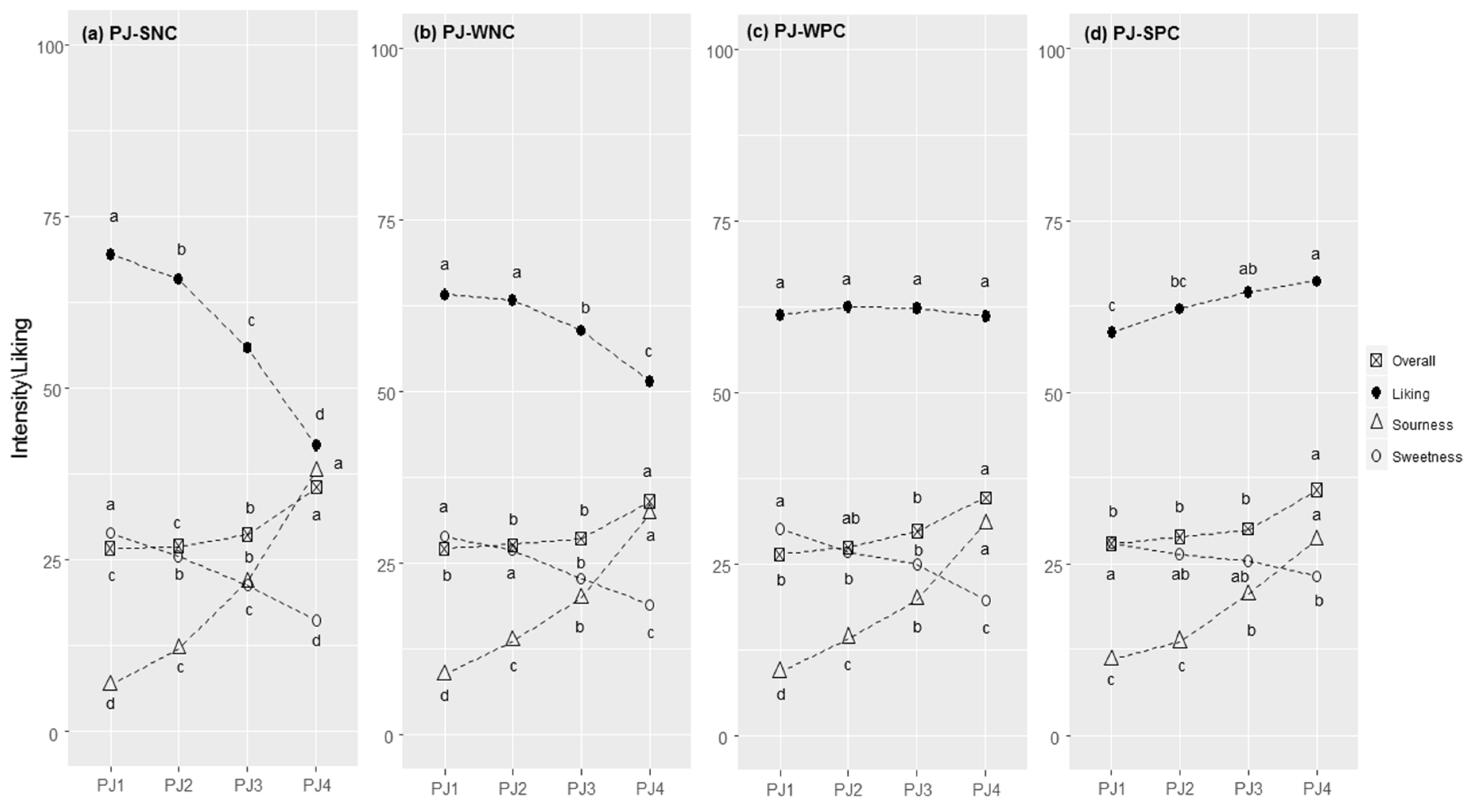
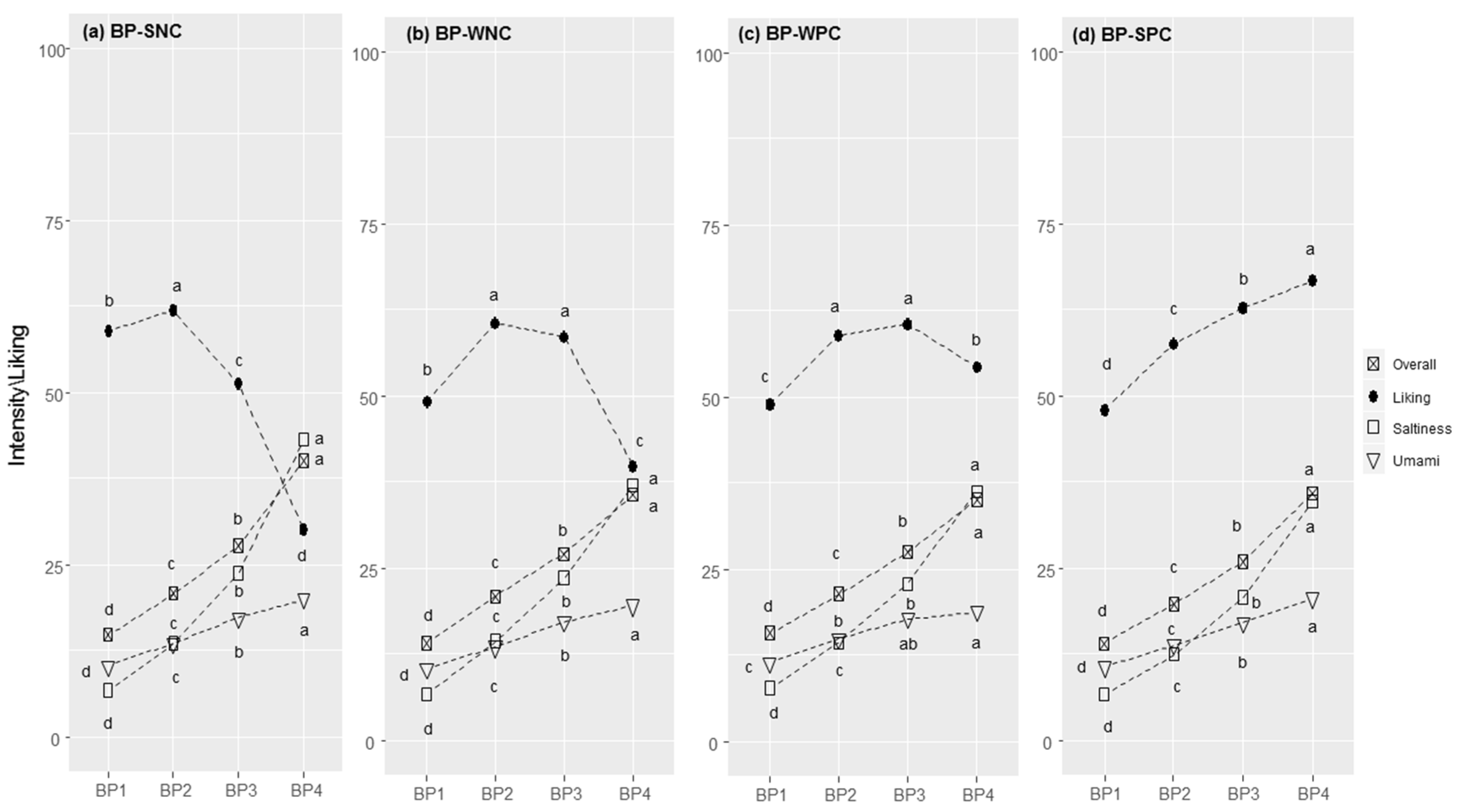
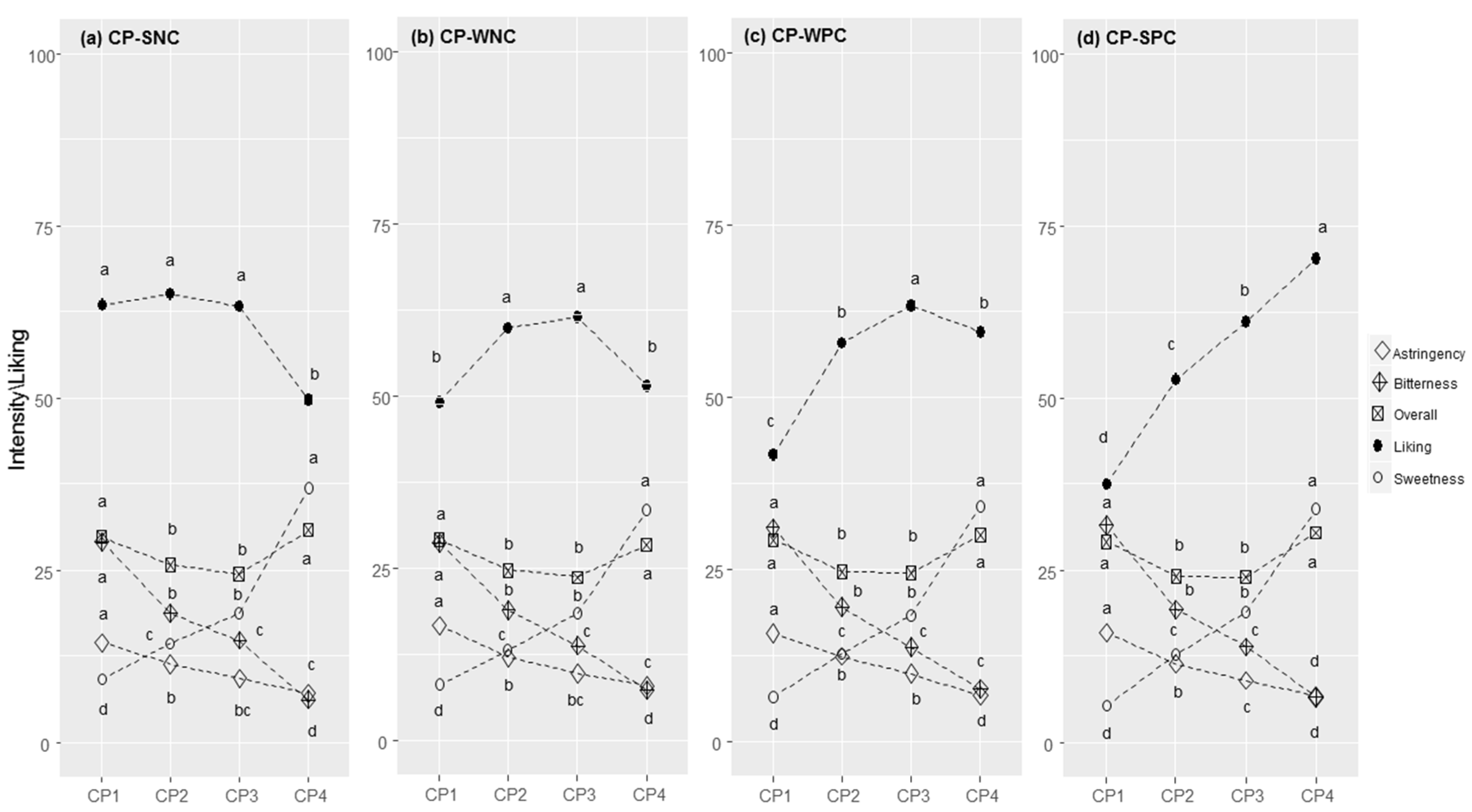
3.2. Perceived Intensity and Liking: Responses by Consumer Clusters
3.2.1. Cluster Characterization
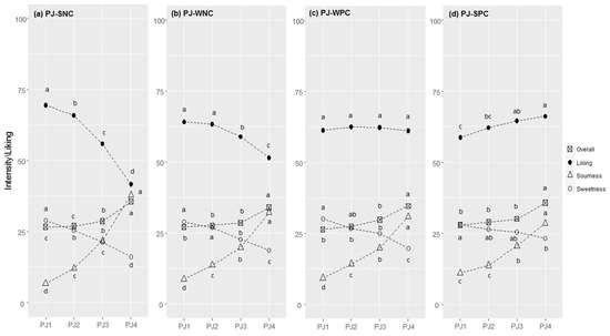
3.2.2. Pear Juice
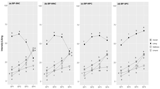
3.2.3. Bean Purée
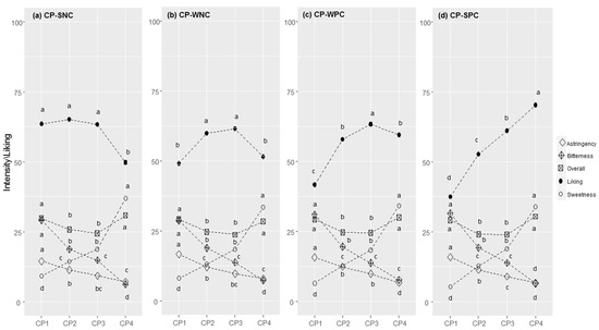
3.2.4. Chocolate Pudding
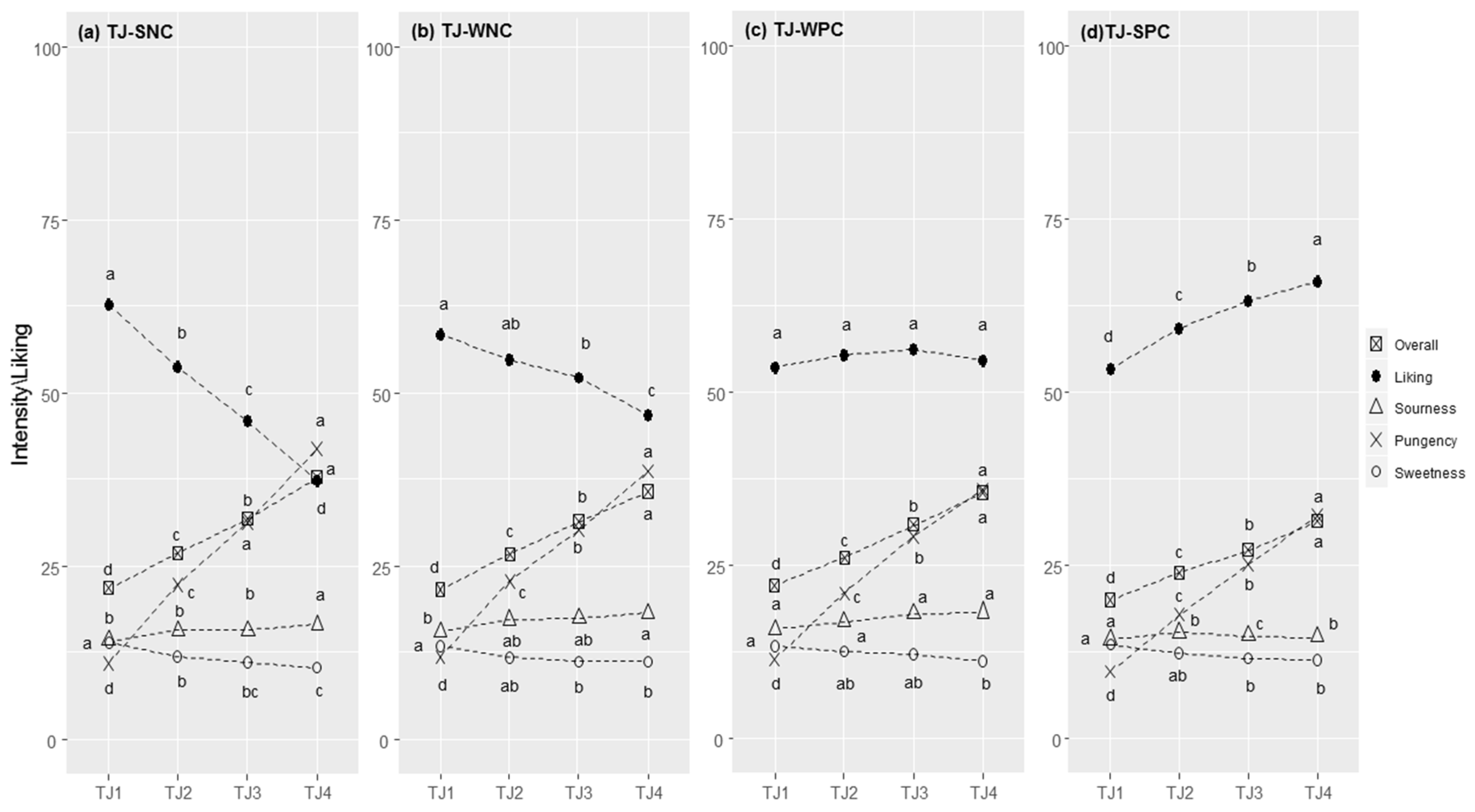
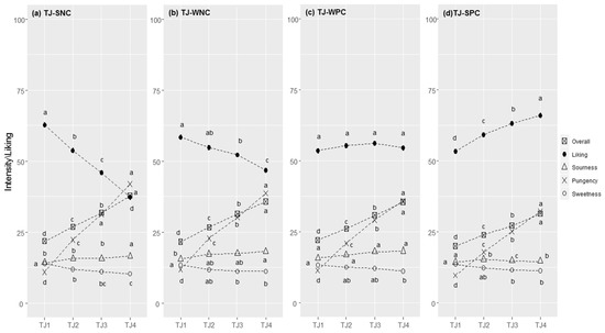
3.2.5. Tomato Juice
4. Discussion
4.1. Perceived Intensity and Liking Relationship across the Whole Panel
4.2. Stated liking, Actual Liking, and Perceived Intensity in Different Clusters
4.3. Identification of Taste Liker Phenotypes
4.4. Strengths, Weaknesses and Future Perspectives
4.5. Conclusions
Supplementary Materials
Author Contributions
Funding
Institutional Review Board Statement
Informed Consent Statement
Data Availability Statement
Acknowledgments
Conflicts of Interest
References
- Köster, E.P. Diversity in the Determinants of Food Choice: A Psychological Perspective. Food Qual. Prefer. 2009, 20, 70–82. [Google Scholar] [CrossRef]
- Monteleone, E.; Spinelli, S.; Dinnella, C.; Endrizzi, I.; Laureati, M.; Pagliarini, E.; Sinesio, F.; Gasperi, F.; Torri, L.; Aprea, E.; et al. Exploring Influences on Food Choice in a Large Population Sample: The Italian Taste Project. Food Qual. Prefer. 2017, 59, 123–140. [Google Scholar] [CrossRef]
- Swinburn, B.A.; Sacks, G.; Hall, K.D.; McPherson, K.; Finegood, D.T.; Moodie, M.L.; Gortmaker, S.L. The Global Obesity Pandemic: Shaped by Global Drivers and Local Environments. Lancet 2011, 378, 804–814. [Google Scholar] [CrossRef]
- World Health Organisation Europe. European Food and Nutrition Action Plan 2015–2020; World Health Organisation Europe: Copenhagen, Denmark, 15 September 2014; p. 24. Available online: https://www.euro.who.int/__data/assets/pdf_file/0008/253727/64wd14e_FoodNutAP_140426.pdf (accessed on 14 February 2021).
- Hayes, J.E. Influence of Sensation and Liking on Eating and Drinking. In Handbook of Eating and Drinking; Meiselman, H.L., Ed.; Springer International Publishing: Cham, Switzerland, 2020; pp. 131–155. ISBN 978-3-030-14503-3. [Google Scholar]
- Pfaffmann, C. The Pleasures of Sensation. Psychol. Rev. 1960, 67, 253–268. [Google Scholar] [CrossRef] [PubMed]
- Pangborn, R.M. Individual Variation in Affective Responses to Taste Stimuli. Psychon. Sci. 1970, 21, 125–126. [Google Scholar] [CrossRef]
- Moskowitz, H.R. Sensory Intensity versus Hedonic Functions: Classical Psychophysical Approches. J. Food Qual. 1982, 5, 109–137. [Google Scholar] [CrossRef]
- Coombs, C.H.; Avrunin, G.S. Single-Peaked Functions and the Theory of Preference. Psychol. Rev. 1977, 84, 216–230. [Google Scholar] [CrossRef]
- Pfaffmann, C. Wundt’s Schema of Sensory Affect in the Light of Research on Gustatory Preferences. Psychol. Res. 1980, 42, 165–174. [Google Scholar] [CrossRef] [PubMed]
- Cowart, B.J. Development of Taste Perception in Humans: Sensitivity and Preference Throughout the Life Span. Psychol. Bull. 1981, 90, 43–73. [Google Scholar] [CrossRef] [PubMed]
- Prescott, J. Comparisons of Taste Perceptions and Preferences of Japanese and Australian Consumers: Overview and Implications for Cross-Cultural Sensory Research. Food Qual. Prefer. 1998, 9, 393–402. [Google Scholar] [CrossRef]
- Moskowitz, H.R. Relative Importance of Perceptual Factors to Consumer Acceptance: Linear vs Quadratic Analysis. J. Food Sci. 1981, 46, 244–248. [Google Scholar] [CrossRef]
- Moskowitz, H.R.; Krieger, B. The Contribution of Sensory Liking to Overall Liking: An Analysis of Six Food Categories. Food Qual. Prefer. 1995, 6, 83–90. [Google Scholar] [CrossRef]
- Hayes, J.E.; Sullivan, B.S.; Duffy, V.B. Explaining Variability in Sodium Intake through Oral Sensory Phenotype, Salt Sensation and Liking. Physiol. Behav. 2010, 100, 369–380. [Google Scholar] [CrossRef] [PubMed]
- Kim, J.-Y.; Prescott, J.; Kim, K.-O. Patterns of Sweet Liking in Sucrose Solutions and Beverages. Food Qual. Prefer. 2014, 36, 96–103. [Google Scholar] [CrossRef]
- Garneau, N.L.; Nuessle, T.M.; Mendelsberg, B.J.; Shepard, S.; Tucker, R.M. Sweet Liker Status in Children and Adults: Consequences for Beverage Intake in Adults. Food Qual. Prefer. 2018, 65, 175–180. [Google Scholar] [CrossRef]
- Iatridi, V.; Hayes, J.E.; Yeomans, M.R. Reconsidering the Classification of Sweet Taste Liker Phenotypes: A Methodological Review. Food Qual. Prefer. 2019, 72, 56–76. [Google Scholar] [CrossRef]
- Iatridi, V.; Hayes, J.; Yeomans, M. Quantifying Sweet Taste Liker Phenotypes: Time for Some Consistency in the Classification Criteria. Nutrients 2019, 11, 129. [Google Scholar] [CrossRef] [PubMed]
- Spinelli, S.; Prescott, J.; Pierguidi, L.; Dinnella, C.; Arena, E.; Braghieri, A.; Di Monaco, R.; Gallina Toschi, T.; Endrizzi, I.; Proserpio, C.; et al. Phenol-Rich Food Acceptability: The Influence of Variations in Sweetness Optima and Sensory-Liking Patterns. Nutrients 2021, 13, 866. [Google Scholar] [CrossRef]
- Hayes, J.E. Measuring Sensory Perception in Relation to Consumer Behavior. In Rapid Sensory Profiling Techniques; Elsevier: Amsterdam, The Netherlands, 2015; pp. 53–69. ISBN 978-1-78242-248-8. [Google Scholar]
- Moskowitz, H.R.; Kluter, R.A.; Westerling, J.; Jacobs, H.L. Sugar Sweetness and Pleasantness: Evidence for Different Psychological Laws. Science 1974, 184, 583–585. [Google Scholar] [CrossRef] [PubMed]
- Hayes, J.E.; Duffy, V.B. Oral Sensory Phenotype Identifies Level of Sugar and Fat Required for Maximal Liking. Physiol. Behav. 2008, 95, 77–87. [Google Scholar] [CrossRef] [PubMed]
- Li, B.; Hayes, J.E.; Ziegler, G.R. Interpreting Consumer Preferences: Physicohedonic and Psychohedonic Models Yield Different Information in a Coffee-Flavored Dairy Beverage. Food Qual. Prefer. 2014, 36, 27–32. [Google Scholar] [CrossRef] [PubMed]
- Bartoshuk, L.M. Comparing Sensory Experiences Across Individuals: Recent Psychophysical Advances Illuminate Genetic Variation in Taste Perception. Chem. Senses 2000, 25, 447–460. [Google Scholar] [CrossRef] [PubMed]
- Duffy, V.B.; Davidson, A.C.; Kidd, J.R.; Kidd, K.K.; Speed, W.C.; Pakstis, A.J.; Reed, D.R.; Snyder, D.J.; Bartoshuk, L.M. Bitter Receptor Gene (TAS2R38), 6-n-Propylthiouracil (PROP) Bitterness and Alcohol Intake. Alcohol. Clin. Exp. Res. 2004, 28, 1629–1637. [Google Scholar] [CrossRef]
- Dinnella, C.; Monteleone, E.; Piochi, M.; Spinelli, S.; Prescott, J.; Pierguidi, L.; Gasperi, F.; Laureati, M.; Pagliarini, E.; Predieri, S.; et al. Individual Variation in PROP Status, Fungiform Papillae Density, and Responsiveness to Taste Stimuli in a Large Population Sample. Chem. Senses 2018, 43, 14. [Google Scholar] [CrossRef] [PubMed]
- Nolden, A.A.; McGeary, J.E.; Hayes, J.E. Predominant Qualities Evoked by Quinine, Sucrose, and Capsaicin Associate With PROP Bitterness, but Not TAS2R38 Genotype. Chem. Senses 2020, 45, 383–390. [Google Scholar] [CrossRef] [PubMed]
- Piochi, M.; Dinnella, C.; Spinelli, S.; Monteleone, E.; Torri, L. Individual Differences in Responsiveness to Oral Sensations and Odours with Chemesthetic Activity: Relationships between Sensory Modalities and Impact on the Hedonic Response. Food Qual. Prefer. 2021, 88, 104112. [Google Scholar] [CrossRef]
- Bartoshuk, L.M. Sensory Factors in Eating Behavior. Bull. Psychon. Soc. 1991, 29, 250–255. [Google Scholar] [CrossRef][Green Version]
- Looy, H.; Weingarten, H.P. Facial Expressions and Genetic Sensitivity to 6-n-Propylthiouracil Predict Hedonic Response to Sweet. Physiol. Behav. 1992, 52, 75–82. [Google Scholar] [CrossRef]
- Peterson, J.M.; Bartoshuk, L.M.; Duffy, V.B. Intensity and Preference for Sweetness Is Influenced by Genetic Taste Variation. J. Am. Diet. Assoc. 1999, 99, A28. [Google Scholar] [CrossRef]
- Hayes, J.E.; Duffy, V.B. Revisiting Sugar-Fat Mixtures: Sweetness and Creaminess Vary with Phenotypic Markers of Oral Sensation. Chem. Senses 2007, 32, 225–236. [Google Scholar] [CrossRef] [PubMed]
- Drewnowski, A. Nontasters, Tasters, and Supertasters of 6-n-Propylthiouracil (PROP) and Hedonic Response to Sweet. Physiol. Behav. 1997, 62, 649–655. [Google Scholar] [CrossRef]
- Yang, Q.; Kraft, M.; Shen, Y.; MacFie, H.; Ford, R. Sweet Liking Status and PROP Taster Status Impact Emotional Response to Sweetened Beverage. Food Qual. Prefer. 2019, 75, 133–144. [Google Scholar] [CrossRef]
- Yeomans, M.R.; Tepper, B.J.; Rietzschel, J.; Prescott, J. Human Hedonic Responses to Sweetness: Role of Taste Genetics and Anatomy. Physiol. Behav. 2007, 91, 264–273. [Google Scholar] [CrossRef] [PubMed]
- Shepherd, R.; Farleigh, C.A.; Land, D.G. Preference and Sensitivity to Salt Taste as Determinants of Salt-Intake. Appetite 1984, 5, 187–197. [Google Scholar] [CrossRef]
- Leshem, M. Biobehavior of the Human Love of Salt. Neurosci. Biobehav. Rev. 2009, 33, 1–17. [Google Scholar] [CrossRef] [PubMed]
- De Graaf, C.; Zandstra, E.H. Sweetness Intensity and Pleasantness in Children, Adolescents, and Adults. Physiol. Behav. 1999, 67, 513–520. [Google Scholar] [CrossRef]
- Issanchou, S.; Nicklaus, S. Measuring Consumers’ Perceptions of Sweet Taste. In Optimising Sweet Taste in Foods; Woodhead Publishing: Cambridge, UK, 2006; pp. 97–131. ISBN 978-1-84569-008-3. [Google Scholar]
- Tuorila, H.; Keskitalo-Vuokko, K.; Perola, M.; Spector, T.; Kaprio, J. Affective Responses to Sweet Products and Sweet Solution in British and Finnish Adults. Food Qual. Prefer. 2017, 62, 128–136. [Google Scholar] [CrossRef]
- Chauhan, J.; Hawrysh, Z.J. Suprathreshold Sour Taste Intensity and Pleasantness Perception with Age. Physiol. Behav. 1988, 43, 601–607. [Google Scholar] [CrossRef]
- Drewnowski, A.; Henderson, S.A.; Driscoll, A.; Rolls, B.J. Salt Taste Perceptions and Preferences Are Unrelated to Sodium Consumption in Healthy Older Adults. J. Am. Diet. Assoc. 1996, 96, 471–474. [Google Scholar] [CrossRef]
- Mojet, J. Taste Perception with Age: Generic or Specific Losses in Supra-Threshold Intensities of Five Taste Qualities? Chem. Senses 2003, 28, 397–413. [Google Scholar] [CrossRef] [PubMed]
- Mojet, J.; Christ-Hazelhof, E.; Heidema, J. Taste Perception with Age: Pleasantness and Its Relationships with Threshold Sensitivity and Supra-Threshold Intensity of Five Taste Qualities. Food Qual. Prefer. 2005, 16, 413–423. [Google Scholar] [CrossRef]
- Zandstra, E.H.; de Graaf, C. Sensory Perception and Pleasantness of Orange Beverages from Childhood to Old Age. Food Qual. Prefer. 1998, 9, 5–12. [Google Scholar] [CrossRef]
- Holt, S.H.A.; Cobiac, L.; Beaumont-Smith, N.E.; Easton, K.; Best, D.J. Dietary Habits and the Perception and Liking of Sweetness among Australian and Malaysian Students: A Cross-Cultural Study. Food Qual. Prefer. 2000, 11, 299–312. [Google Scholar] [CrossRef]
- Törnwall, O.; Silventoinen, K.; Hiekkalinna, T.; Perola, M.; Tuorila, H.; Kaprio, J. Identifying Flavor Preference Subgroups. Genetic Basis and Related Eating Behavior Traits. Appetite 2014, 75, 1–10. [Google Scholar] [CrossRef] [PubMed]
- Laureati, M.; Spinelli, S.; Monteleone, E.; Dinnella, C.; Prescott, J.; Cattaneo, C.; Proserpio, C.; De Toffoli, A.; Gasperi, F.; Endrizzi, I.; et al. Associations between Food Neophobia and Responsiveness to “Warning” Chemosensory Sensations in Food Products in a Large Population Sample. Food Qual. Prefer. 2018, 68, 113–124. [Google Scholar] [CrossRef]
- Pagliarini, E.; Proserpio, C.; Spinelli, S.; Lavelli, V.; Laureati, M.; Arena, E.; Di Monaco, R.; Menghi, L.; Gallina Toschi, T.; Braghieri, A.; et al. The Role of Sour and Bitter Perception in Liking, Familiarity and Choice for Phenol-Rich Plant-Based Foods. Food Qual. Prefer. 2021, 93, 104250. [Google Scholar] [CrossRef]
- Bartoshuk, L.M.; Duffy, V.B.; Green, B.G.; Hoffman, H.J.; Ko, C.-W.; Lucchina, L.A.; Marks, L.E.; Snyder, D.J.; Weiffenbach, J.M. Valid Across-Group Comparisons with Labeled Scales: The GLMS versus Magnitude Matching. Physiol. Behav. 2004, 82, 109–114. [Google Scholar] [CrossRef] [PubMed]
- Prescott, J.; Soo, J.; Campbell, H.; Roberts, C. Responses of PROP Taster Groups to Variations in Sensory Qualities within Foods and Beverages. Physiol. Behav. 2004, 82, 459–469. [Google Scholar] [CrossRef] [PubMed]
- Schutz, H.G.; Cardello, A.V. A Labeled Affective Magnitude (LAM) Scale for Assessing Food Liking/Disliking. J. Sens. Stud. 2001, 16, 117–159. [Google Scholar] [CrossRef]
- Cardello, A.V.; Schutz, H.G. Research Note Numerical Scale-Point Locations for Constructing the LAM (Labeled Affective Magnitude) Scale. J. Sens. Stud. 2004, 19, 341–346. [Google Scholar] [CrossRef]
- Masi, C.; Dinnella, C.; Monteleone, E.; Prescott, J. The Impact of Individual Variations in Taste Sensitivity on Coffee Perceptions and Preferences. Physiol. Behav. 2015, 138, 219–226. [Google Scholar] [CrossRef] [PubMed]
- Peryam, D.R.; Pilgrim, F.J. Hedonic Scale Method of Measuring Food Preferences. Food Technol. 1957, 11, 9–14. [Google Scholar]
- Evans, J.D. Straightforward Statistics for the Behavioral Sciences; Thomson Brooks/Cole Publishing Co.: Belmont, CA, USA, 1996; p. xxii, 600. ISBN 0-534-23100-4. [Google Scholar]
- Edgington, E.S. Randomized Single-Subject Experiments and Statistical Tests. J. Couns. Psychol. 1987, 34, 437–442. [Google Scholar] [CrossRef]
- Good, P. Permutation Tests: A Practical Guide to Resampling Methods for Testing Hypotheses; Springer Science & Business Media: Berlin/Heidelberg, Germany, 2000; ISBN 978-1-4757-3235-1. [Google Scholar]
- Hooton, J.W.L. Randomization Tests: Statistics for Experimenters. Comput. Methods Programs Biomed. 1991, 35, 43–51. [Google Scholar] [CrossRef]
- Torri, L.; Salini, S. An Itinerant Sensory Approach to Investigate Consumers’ Perception and Acceptability at a Food Exhibition. Food Res. Int. 2016, 90, 91–99. [Google Scholar] [CrossRef] [PubMed]
- Samant, S.S.; Chapko, M.J.; Seo, H.-S. Predicting Consumer Liking and Preference Based on Emotional Responses and Sensory Perception: A Study with Basic Taste Solutions. Food Res. Int. 2017, 100, 325–334. [Google Scholar] [CrossRef] [PubMed]
- Chamoun, E.; Liu, A.A.S.; Duizer, L.M.; Darlington, G.; Duncan, A.M.; Haines, J.; Ma, D.W.L. Taste Sensitivity and Taste Preference Measures Are Correlated in Healthy Young Adults. Chem. Senses 2019, 44, 129–134. [Google Scholar] [CrossRef]
- Roininen, K.; Lähteenmäki, L.; Tuorilla, H. Effect of Umami Taste on Pleasantness of Low-Salt Soups during Repeated Testing. Physiol. Behav. 1996, 60, 953–958. [Google Scholar] [CrossRef]
- Yeomans, M.R.; Prescott, J.; Gould, N.J. Acquired Hedonic and Sensory Characteristics of Odours: Influence of Sweet Liker and Propylthiouracil Taster Status. Q. J. Exp. Psychol. 2009, 62, 1648–1664. [Google Scholar] [CrossRef] [PubMed]
- Enns, M.P.; Van Itallie, T.B.; Grinker, J.A. Contributions of Age, Sex and Degree of Fatness on Preferences and Magnitude Estimations for Sucrose in Humans. Physiol. Behav. 1979, 22, 999–1003. [Google Scholar] [CrossRef]
- Tepper, B.J. Nutritional Implications of Genetic Taste Variation: The Role of PROP Sensitivity and Other Taste Phenotypes. Annu. Rev. Nutr. 2008, 28, 367–388. [Google Scholar] [CrossRef] [PubMed]
- Prescott, J.; Swain-Campbell, N. Responses to Repeated Oral Irritation by Capsaicin, Cinnamaldehyde and Ethanol in PROP Tasters and Non-Tasters. Chem. Senses 2000, 25, 239–246. [Google Scholar] [CrossRef] [PubMed]
- Tuorila, H.; Pangborn, R.M. Prediction of Reported Consumption of Selected Fat-Containing Foods. Appetite 1988, 11, 81–95. [Google Scholar] [CrossRef]
- Duffy, V.B.; Peterson, J.M.; Dinehart, M.E.; Bartoshuk, L.M. Genetic and Environmental Variation in Taste: Associations with Sweet Intensity, Preference, and Intake. Top. Clin. Nutr. 2003, 18, 209–220. [Google Scholar] [CrossRef]
- Mennella, J.A.; Finkbeiner, S.; Reed, D.R. The Proof Is in the Pudding: Children Prefer Lower Fat but Higher Sugar than Do Mothers. Int. J. Obes. 2012, 36, 1285–1291. [Google Scholar] [CrossRef] [PubMed]
- Junge, J.Y.; Bertelsen, A.S.; Mielby, L.A.; Zeng, Y.; Sun, Y.-X.; Byrne, D.V.; Kidmose, U. Taste Interactions between Sweetness of Sucrose and Sourness of Citric and Tartaric Acid among Chinese and Danish Consumers. Foods 2020, 9, 1425. [Google Scholar] [CrossRef]
- Moskowitz, H.; Kumaraiah, V.; Sharma, K.; Jacobs, H.; Sharma, S. Cross-Cultural Differences in Simple Taste Preferences. Science 1975, 190, 1217–1218. [Google Scholar] [CrossRef]
- Liem, D.G.; Bogers, R.P.; Dagnelie, P.C.; de Graaf, C. Fruit Consumption of Boys (8–11 Years) Is Related to Preferences for Sour Taste. Appetite 2006, 46, 93–96. [Google Scholar] [CrossRef] [PubMed]
- Villela, P.T.M.; de-Oliveira, E.B.; Villela, P.T.M.; Bonardi, J.M.T.; Bertani, R.F.; Moriguti, J.C.; Ferriolli, E.; Lima, N.K.C. Salt Preference Is Linked to Hypertension and Not to Aging. Arq. Bras. Cardiol. 2019, 113, 392–399. [Google Scholar] [CrossRef] [PubMed]
- Spinelli, S.; De Toffoli, A.; Dinnella, C.; Laureati, M.; Pagliarini, E.; Bendini, A.; Braghieri, A.; Gallina Toschi, T.; Sinesio, F.; Torri, L.; et al. Personality Traits and Gender Influence Liking and Choice of Food Pungency. Food Qual. Prefer. 2018, 66, 113–126. [Google Scholar] [CrossRef]
- Ponzo, V.; Pellegrini, M.; Costelli, P.; Vázquez-Araújo, L.; Gayoso, L.; D’Eusebio, C.; Ghigo, E.; Bo, S. Strategies for Reducing Salt and Sugar Intakes in Individuals at Increased Cardiometabolic Risk. Nutrients 2021, 13, 279. [Google Scholar] [CrossRef] [PubMed]
- Puputti, S.; Hoppu, U.; Sandell, M. Taste Sensitivity Is Associated with Food Consumption Behavior but Not with Recalled Pleasantness. Foods 2019, 8, 444. [Google Scholar] [CrossRef] [PubMed]
- Bartoshuk, L.M.; Fast, K.; Snyder, D.J. Differences in Our Sensory Worlds: Invalid Comparisons With Labeled Scales. Curr. Dir. Psychol. Sci. 2005, 14, 122–125. [Google Scholar] [CrossRef]
- Potischman, N.; Carroll, R.J.; Iturria, S.J.; Mittl, B.; Curtin, J.; Thompson, F.E.; Brinton, L.A. Comparison of the 60- and 100-Item NCI-Block Questionnaires with Validation Data. Nutr. Cancer 1999, 34, 70–75. [Google Scholar] [CrossRef] [PubMed]





| Product | Ingredient (Brand) | Tastant Concentrations (g/kg) | TS | Other Sensations | |||
|---|---|---|---|---|---|---|---|
| PJ | Citric acid solution (Sigma-Aldrich, Italy) | 5 | 20 | 40 | 80 | Sourness | Sweetness |
| Pear juice (Santal, Parmalat S.p.A., Italy) | Overall flavour | ||||||
| Sucrose (Zucchero, Eridania S.p.A, Italy) | |||||||
| Water | |||||||
| BP | Sodium chloride solution (Sigma-Aldrich, Italy) | 2.0 | 6.1 | 10.7 | 18.8 | Saltiness | Umami |
| Purée powder mix (Pfanni, Unilever, Italy) | Overall flavour | ||||||
| Cannellini beans (Cannellini al vapore, Bonduelle Italy, S.p.A., Italy) | |||||||
| Water | |||||||
| CP | Sucrose (Zucchero, Eridania S.p.A, Italy) | 38 | 83 | 119 | 233 | Sweetness | Bitterness |
| Chocolate pudding mix (Budino da zuccherare, Cameo S.p.A., Italy) | Astringency | ||||||
| Cocoa powder (Cacao Amaro Perugina, Nestlé, Italy) | Overall flavour | ||||||
| Water | |||||||
| TJ | Capsaicin solution (Sigma-Aldrich, Italy) | 3 × 10−4 | 6.8 × 10−4 | 10.1 × 10−4 | 15.8 × 10−4 | Pungency | Sourness |
| Peeled tomatoes (Pomodori pelati, Mutti S.p.A., Italy) | Sweetness | ||||||
| Sodium chloride (Sigma-Aldrich, Italy) | Overall flavour | ||||||
| Water | |||||||
| Product | Cluster | p-Value | ||||
|---|---|---|---|---|---|---|
| SNC | WNC | WPC | SPC | NA * | ||
| PJ | ||||||
| N(%) 2240 | 1427(63.7) | 391(17.4) | 203(9.1) | 219(9.8) | 18 | |
| Gender (Female %) | 57.9 | 59.3 | 59.1 | 58.4 | 0.963 | |
| Age (years) | 37.4 | 38.4 | 38.6 | 38.5 | 0.267 | |
| Sourness in water | 34.2 | 33.9 | 33.0 | 30.9 | 0.142 | |
| BP | ||||||
| N(%) 2251 | 1249(62.3) | 488(21.6) | 244(11.9) | 270(10.8) | 7 | |
| Gender (Female %) | 60.5 b | 60.7 b | 50.8 a | 51.9 a | 0.003 | |
| Age (years) | 38.3 | 37.7 | 36.5 | 36.5 | 0.074 | |
| Saltiness in water | 38.5 b | 36.1 a | 36.4 ab | 35.8 a | 0.041 | |
| CP | ||||||
| N(%) 2246 | 212(9.4) | 223(9.9) | 412(18.3) | 1399(62.3) | 12 | |
| Gender (Female %) | 63.2 b | 63.2 b | 65.0 b | 55.2 a | <0.001 | |
| Age (years) | 39.6 | 38.6 | 37.6 | 37.4 | 0.080 | |
| Sweetness in water | 43.5 b | 40.1 a | 40.6 a | 39.1 a | 0.017 | |
| TJ | ||||||
| N(%) 2233 | 980(43.8) | 382(17.1) | 383(17.1) | 488(21.8) | 25 | |
| Gender (Female %) | 62.7 c | 61.5 bc | 55.9 ab | 50.0 a | <0.001 | |
| Age (years) | 37.4 | 39.3 | 37.0 | 37.7 | 0.056 | |
| Pungency in water | 49.5 a | 48.0 a | 44.6 b | 40.5 c | <0.001 | |
| Food Category | Food Ingredient or Recipe | PJ | BP | CP | TJ | ||||||||||||||||
|---|---|---|---|---|---|---|---|---|---|---|---|---|---|---|---|---|---|---|---|---|---|
| SNC | WNC | WPC | SPC | p | SNC | WNC | WPC | SPC | p | SNC | WNC | WPC | SPC | p | SNC | WNC | WPC | SPC | p | ||
| Fruit and Veg | Beans | 7.2 | 7.1 | 7.3 | 7.2 | 0.583 | 7.2 | 7.2 | 7.2 | 7 | 0.587 | 7.3 | 7.4 | 7.2 | 7.1 | 0.165 | 7.2 | 7.1 | 7.2 | 7.2 | 0.757 |
| Coconut | 6.8 | 6.8 | 6.9 | 6.6 | 0.363 | 6.7 | 6.7 | 7 | 6.8 | 0.157 | 6.9 | 6.9 | 6.6 | 6.8 | 0.078 | 6.8 | 6.6 | 6.7 | 6.8 | 0.519 | |
| Goji | 5.7 | 5.8 | 6 | 5.5 | 0.280 | 5.8 | 5.7 | 5.4 | 5.8 | 0.448 | 5.9 | 5.5 | 5.8 | 5.7 | 0.331 | 5.6 | 5.7 | 5.9 | 5.8 | 0.148 | |
| Green apples | 6.5 a | 6.5 a | 6.9 b | 6.8 b | 0.004 | 6.6 | 6.4 | 6.6 | 6.6 | 0.301 | 6.6 | 6.6 | 6.7 | 6.6 | 0.725 | 6.6 | 6.6 | 6.6 | 6.6 | 0.926 | |
| Legume soup | 7.4 | 7.3 | 7.6 | 7.5 | 0.350 | 7.5 | 7.5 | 7.3 | 7.4 | 0.423 | 7.8 c | 7.7 bc | 7.5 b | 7.3 a | <0.001 | 7.4 | 7.4 | 7.5 | 7.4 | 0.551 | |
| Lychees | 5.9 b | 5.7 ab | 6 b | 5.3 a | 0.035 | 5.9 | 5.7 | 5.7 | 5.7 | 0.532 | 6.1 | 5.8 | 5.9 | 5.7 | 0.280 | 5.7 ab | 5.6 a | 6 bc | 6.1 c | 0.015 | |
| Mango | 6.1 a | 6.1 a | 6.4 b | 5.8 a | 0.036 | 6.1 | 6 | 6.1 | 5.9 | 0.545 | 6.3 | 6.2 | 6 | 6 | 0.224 | 6,0 | 6,0 | 6,0 | 6.2 | 0.592 | |
| Pear | 7.2 b | 7 a | 7.1 ab | 6.9 a | 0.005 | 7.2 b | 7.1 ab | 7.1 b | 6.9 a | 0.045 | 7.1 | 7.1 | 7 | 7.2 | 0.107 | 7.2 bc | 7.3 c | 7 ab | 7 a | 0.030 | |
| Tangerine | 7.6 | 7.6 | 7.8 | 7.5 | 0.221 | 7.6 | 7.6 | 7.4 | 7.6 | 0.361 | 7.6 | 7.7 | 7.6 | 7.6 | 0.855 | 7.6 | 7.6 | 7.6 | 7.5 | 0.703 | |
| Tomatoes | 7.8 | 7.7 | 8 | 7.8 | 0.092 | 7.8 | 7.7 | 7.8 | 7.8 | 0.374 | 7.8 | 7.8 | 7.7 | 7.8 | 0.925 | 7.9 | 7.7 | 7.8 | 7.7 | 0.098 | |
| Yellow apples | 7.1 | 6.9 | 7 | 6.8 | 0.051 | 7 | 7.1 | 7 | 6.9 | 0.652 | 7 | 7 | 7 | 7 | 0.946 | 7.1 c | 7.1 bc | 6.9 ab | 6.9 a | 0.011 | |
| Cereals | Garlic, olive oil and hot pepper spaghetti | 7 a | 7 ab | 7.3 c | 7.3 bc | 0.049 | 7 | 6.9 | 7.2 | 7.2 | 0.151 | 7 | 7.3 | 6.8 | 7 | 0.052 | 6.5 a | 7.1 b | 7.5 c | 7.6 c | <0.001 |
| Paprika crisps | 5.7 | 5.6 | 5.8 | 5.8 | 0.610 | 5.6 | 5.7 | 5.9 | 5.8 | 0.346 | 5.5 a | 5.5 a | 5.5 a | 5.8 b | 0.025 | 5.6 | 5.6 | 5.8 | 5.9 | 0.138 | |
| Spicy salami mini pizzas | 5.7 | 5.8 | 5.8 | 6.1 | 0.252 | 5.7 a | 5.6 a | 6 b | 6.2 b | 0.004 | 5.6 ab | 6 c | 5.5 a | 5.8 bc | 0.028 | 5.3 a | 5.8 b | 6.1 b | 6.5 c | <0.001 | |
| Spicy tomato mini pizzas | 5.9 a | 6.1 ab | 6.1 ab | 6.3 b | 0.048 | 6 a | 5.8 a | 6.3 b | 6.4 b | 0.001 | 6.1 | 6.1 | 5.8 | 6.1 | 0.138 | 5.5 a | 6 b | 6.4 c | 6.8 d | <0.001 | |
| Spicy tomato spaghetti | 6.4 a | 6.5 ab | 6.7 ab | 6.8 b | 0.023 | 6.5 b | 6.2 a | 6.6 b | 6.7 b | 0.046 | 6.6 | 6.8 | 6.3 | 6.4 | 0.083 | 5.8 a | 6.6 b | 6.9 c | 7.3 d | <0.001 | |
| Tomato bruschetta | 7.8 | 7.8 | 8.1 | 7.9 | 0.073 | 7.8 | 7.8 | 7.7 | 7.9 | 0.354 | 7.7 | 7.8 | 7.8 | 7.8 | 0.349 | 7.9 | 7.8 | 7.9 | 7.7 | 0.244 | |
| Tomato spaghetti | 7.6 | 7.6 | 7.7 | 7.5 | 0.481 | 7.6 | 7.5 | 7.7 | 7.6 | 0.368 | 7.3 a | 7.6 b | 7.7 b | 7.6 b | 0.034 | 7.7 | 7.6 | 7.6 | 7.5 | 0.383 | |
| Dairy | Spicy provolone cheese | 6.2 a | 6.4 a | 6.8 b | 6.4 a | 0.008 | 6.3 | 6.2 | 6.4 | 6.6 | 0.098 | 6.6 b | 6.7 b | 6.1 a | 6.3 a | 0.007 | 5.9 a | 6.4 b | 6.6 b | 6.9 c | <0.001 |
| Sweet provolone cheese | 6.8 b | 6.7 ab | 7.2 c | 6.4 a | <0.001 | 6.7 | 6.8 | 6.7 | 6.8 | 0.602 | 6.7 | 6.9 | 6.6 | 6.8 | 0.213 | 6.7 | 6.7 | 6.8 | 6.8 | 0.800 | |
| Vanilla yogurt | 6 | 5.9 | 5.8 | 5.8 | 0.244 | 5.9 | 6 | 6.1 | 5.9 | 0.829 | 5.8 | 5.7 | 5.9 | 6 | 0.234 | 6 | 5.8 | 6.1 | 5.9 | 0.174 | |
| Whole white yogurt | 6.2 | 6.4 | 6.5 | 6.3 | 0.078 | 6.3 | 6.1 | 6.2 | 6.1 | 0.092 | 6.7 c | 6.5 bc | 6.3 ab | 6.1 a | 0.001 | 6.2 | 6.2 | 6.4 | 6.2 | 0.338 | |
| Cured meat | Salami | 7.2 | 7.2 | 7.4 | 7 | 0.157 | 7.2 | 7.1 | 7.3 | 7.4 | 0.060 | 7.1 | 7.2 | 7.1 | 7.3 | 0.131 | 7.2 | 7.1 | 7.2 | 7.3 | 0.311 |
| Spicy salami | 6 | 6 | 6.3 | 6.3 | 0.219 | 6 ab | 5.8 a | 6.3 bc | 6.4 c | 0.008 | 6.1 | 6.4 | 5.9 | 6 | 0.095 | 5.5 a | 6.1 ab | 6.3 b | 6.9 c | <0.001 | |
| Hot drinks | Sweetened coffee | 6.1 b | 5.8 a | 5.9 ab | 5.6 a | 0.046 | 5.8 a | 6.1 b | 6.3 b | 6.3 b | 0.005 | 5.2 a | 5.7 b | 5.8 b | 6.2 c | <0.001 | 6.1 b | 6.1 b | 5.8 a | 5.7 a | 0.015 |
| Sweetened hot tea | 6.3 c | 5.9 ab | 6.2 bc | 5.8 a | 0.009 | 6 a | 6.2 ab | 6.4 b | 6.4 b | 0.043 | 5.6 a | 5.9 a | 5.8 a | 6.4 b | <0.001 | 6.2 | 6.2 | 6 | 6 | 0.189 | |
| Unsweetened coffee | 4.7 a | 4.8 ab | 5.3 c | 5.2 bc | 0.007 | 4.8 | 4.9 | 4.8 | 4.6 | 0.649 | 6.1 c | 5.4 b | 5.2 b | 4.4 a | <0.001 | 4.5 a | 4.8 a | 5.1 b | 5.2 b | <0.001 | |
| Unsweetened hot tea | 5.1 a | 5.3 ab | 5.6 b | 5.5 b | 0.037 | 5.4 b | 5.1 a | 5.1 ab | 5 a | 0.049 | 6.1 c | 5.6 b | 5.6 b | 5 a | <0.001 | 5.2 | 5.2 | 5.3 | 5.4 | 0.539 | |
| Condiments | Ginger | 5.8 | 5.8 | 6.1 | 5.9 | 0.212 | 5.9 | 5.6 | 5.8 | 5.7 | 0.337 | 6.3 b | 6.1 b | 5.8 a | 5.7 a | <0.001 | 5.6 a | 5.8 a | 5.8 a | 6.1 b | 0.007 |
| Horseradish | 4.6 a | 4.8 a | 5.6 b | 4.7 a | 0.004 | 4.8 | 4.8 | 4.6 | 4.6 | 0.829 | 5.2 b | 5 b | 4.8 ab | 4.6 a | 0.019 | 4.5 a | 4.5 a | 5 b | 5.3 b | <0.001 | |
| Hot pepper | 6 a | 6.2 ab | 6.5 b | 6.5 b | 0.005 | 6.1 | 6 | 6.3 | 6.3 | 0.143 | 6.3 ab | 6.6 b | 6.1 a | 6.1 a | 0.036 | 5.3 a | 6.3 b | 6.7 c | 7.3 d | <0.001 | |
| Mustard | 4.8 | 4.8 | 5.2 | 4.9 | 0.247 | 5 | 4.6 | 4.8 | 4.8 | 0.136 | 5.4 b | 5.2 b | 5.1 b | 4.7 a | <0.001 | 4.6 a | 4.9 ab | 5 bc | 5.3 c | <0.001 | |
| Soy sauce | 5.5 | 5.6 | 5.7 | 5.5 | 0.803 | 5.6 | 5.5 | 5.6 | 5.7 | 0.783 | 5.9 | 5.7 | 5.7 | 5.5 | 0.070 | 5.5 | 5.5 | 5.6 | 5.8 | 0.167 | |
| Vinegar | 5.7 a | 5.8 a | 6.2 b | 5.8 a | 0.022 | 5.8 | 5.5 | 5.9 | 5.9 | 0.059 | 5.8 | 6.1 | 5.7 | 5.8 | 0.121 | 5.8 | 5.6 | 5.8 | 5.9 | 0.194 | |
| Sweets | Black locust honey | 6.7 a | 6.5 a | 7 b | 6.4 a | 0.013 | 6.7 | 6.7 | 6.7 | 6.6 | 0.939 | 6.7 | 6.4 | 6.6 | 6.7 | 0.386 | 6.6 | 6.7 | 6.5 | 6.7 | 0.650 |
| Chestnut honey | 6.2 | 6.2 | 6.5 | 6 | 0.189 | 6.2 | 6.3 | 6.4 | 6.1 | 0.489 | 6.6 | 6.2 | 6.1 | 6.2 | 0.073 | 6.2 | 6.3 | 6.2 | 6.3 | 0.682 | |
| Chocolate ice cream | 6.9 | 6.8 | 7 | 6.7 | 0.298 | 6.9 | 6.9 | 6.7 | 6.8 | 0.544 | 7.2 | 6.9 | 6.9 | 6.9 | 0.183 | 6.9 | 6.8 | 6.8 | 7 | 0.392 | |
| Dark chocolate | 7.2 | 7.1 | 7.6 | 7.4 | 0.051 | 7.2 | 7.2 | 7.2 | 7.1 | 0.882 | 8.2 c | 7.6 b | 7.4 b | 7 a | <0.001 | 7.1 | 7.3 | 7.2 | 7.4 | 0.214 | |
| Dark chocolate pudding | 6.3 | 6.4 | 6.4 | 6.2 | 0.832 | 6.3 | 6.4 | 6.3 | 6.2 | 0.826 | 7.2 c | 6.5 b | 6.4 b | 6.1 a | <0.001 | 6.3 | 6.4 | 6.3 | 6.3 | 0.890 | |
| Milk chocolate | 6.9 | 6.7 | 7 | 6.6 | 0.136 | 6.8 | 6.9 | 7 | 6.9 | 0.479 | 6.2 a | 6.4 ab | 6.6 b | 7.1 c | <0.001 | 6.9 | 6.7 | 6.7 | 6.7 | 0.126 | |
Publisher’s Note: MDPI stays neutral with regard to jurisdictional claims in published maps and institutional affiliations. |
© 2021 by the authors. Licensee MDPI, Basel, Switzerland. This article is an open access article distributed under the terms and conditions of the Creative Commons Attribution (CC BY) license (https://creativecommons.org/licenses/by/4.0/).
Share and Cite
Endrizzi, I.; Cliceri, D.; Menghi, L.; Aprea, E.; Charles, M.; Monteleone, E.; Dinnella, C.; Spinelli, S.; Pagliarini, E.; Laureati, M.; et al. Relationships between Intensity and Liking for Chemosensory Stimuli in Food Models: A Large-Scale Consumer Segmentation. Foods 2022, 11, 5. https://doi.org/10.3390/foods11010005
Endrizzi I, Cliceri D, Menghi L, Aprea E, Charles M, Monteleone E, Dinnella C, Spinelli S, Pagliarini E, Laureati M, et al. Relationships between Intensity and Liking for Chemosensory Stimuli in Food Models: A Large-Scale Consumer Segmentation. Foods. 2022; 11(1):5. https://doi.org/10.3390/foods11010005
Chicago/Turabian StyleEndrizzi, Isabella, Danny Cliceri, Leonardo Menghi, Eugenio Aprea, Mathilde Charles, Erminio Monteleone, Caterina Dinnella, Sara Spinelli, Ella Pagliarini, Monica Laureati, and et al. 2022. "Relationships between Intensity and Liking for Chemosensory Stimuli in Food Models: A Large-Scale Consumer Segmentation" Foods 11, no. 1: 5. https://doi.org/10.3390/foods11010005
APA StyleEndrizzi, I., Cliceri, D., Menghi, L., Aprea, E., Charles, M., Monteleone, E., Dinnella, C., Spinelli, S., Pagliarini, E., Laureati, M., Torri, L., Bendini, A., Toschi, T. G., Sinesio, F., Predieri, S., & Gasperi, F. (2022). Relationships between Intensity and Liking for Chemosensory Stimuli in Food Models: A Large-Scale Consumer Segmentation. Foods, 11(1), 5. https://doi.org/10.3390/foods11010005

