Exogenous Melatonin Reduces Lignification and Retains Quality of Green Asparagus (Asparagus officinalis L.)
Abstract
:1. Introduction
2. Materials and Methods
2.1. Raw Material
2.2. Melatonin Treatment
2.3. Quality Determination
2.3.1. Weight Loss
2.3.2. Respiration and Ethylene Production Rate
2.3.3. Texture Analysis
2.3.4. Objective Color Measurement
2.3.5. Chlorophyll Content
2.3.6. Vitamin C Content
2.3.7. Lignin Content
2.3.8. Hydrogen Peroxide (H2O2) Content
2.3.9. Enzyme Activity Assays
2.4. Statistical Analysis
3. Results and Discussion
3.1. Effect of Melatonin Treatment on Weight Loss, Respiration, and Ethylene Production Rate
3.2. Effect of Melatonin Treatment on Texture
3.3. Effect of Melatonin Treatment on Color and Chlorophyll Content
3.4. Effect of Melatonin Treatment on Vitamin C Content
3.5. Effect of Melatonin Treatment on Lignin Content
3.6. Effect of Melatonin Treatment on H2O2 Content
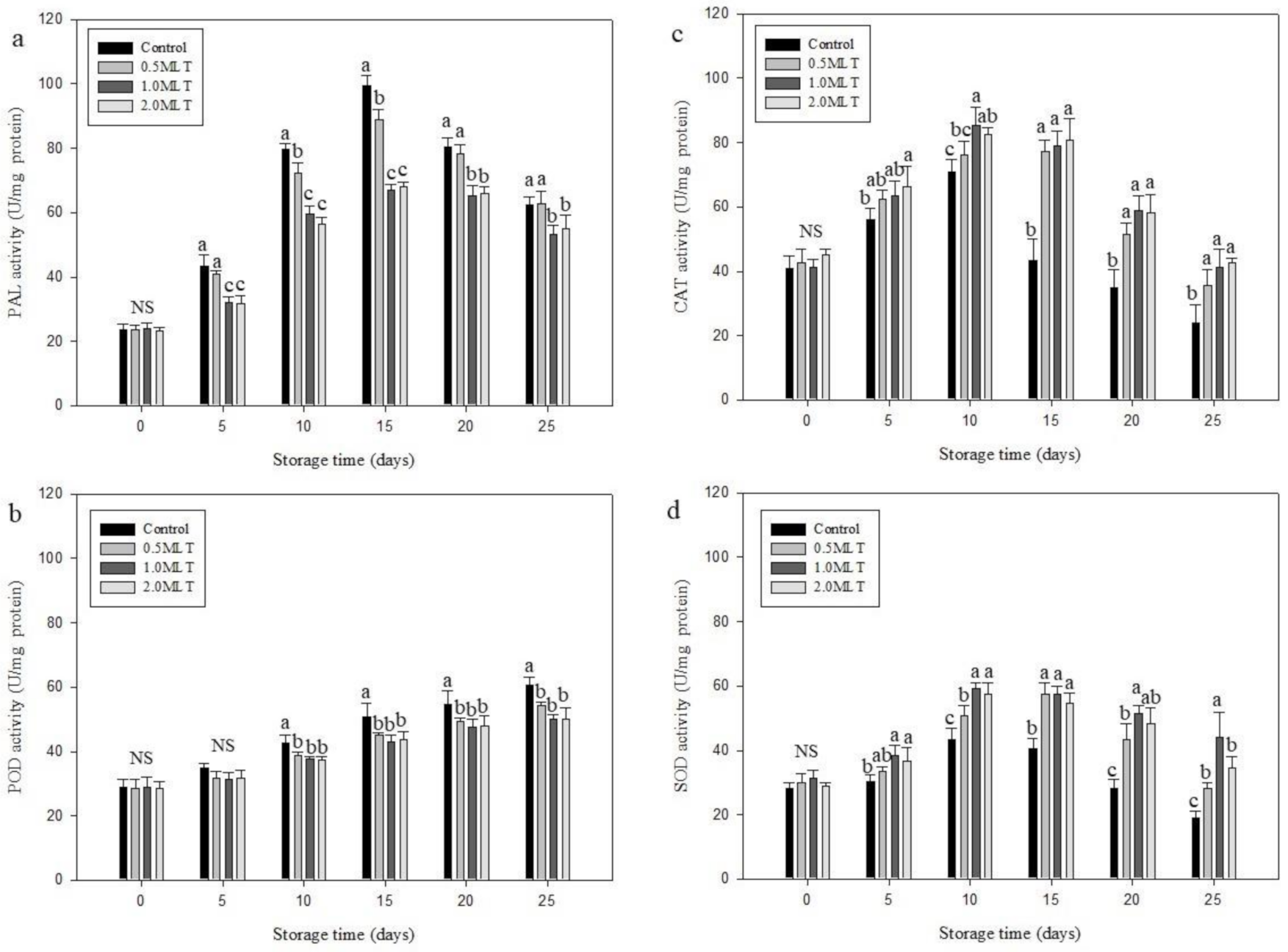
3.7. Effect of Melatonin Treatment on Enzymatic Activity
4. Conclusions
Author Contributions
Funding
Data Availability Statement
Conflicts of Interest
References
- Noperi-Mosqueda, L.C.; López-Moreno, F.J.; Navarro-León, E.; Sánchez, E.; Blasco, B.; A Moreno, D.; Soriano, T.; Ruiz, J.M. Effects of asparagus decline on nutrients and phenolic compounds, spear quality, and allelopathy. Sci. Hortic. 2019, 261, 109029. [Google Scholar] [CrossRef]
- Chen, H.; Lu, Z.; Wang, J.; Chen, T.; Gao, J.; Zheng, J.; Zhang, S.; Xi, J.; Huang, X.; Guo, A.; et al. Induction of new tetraploid genotypes and heat tolerance assessment in Asparagus officinalis L. Sci. Hortic. 2020, 264, 109168. [Google Scholar] [CrossRef]
- Tzoumaki, M.V.; Biliaderis, C.G.; Vasilakakis, M. Impact of edible coatings and packaging on quality of white asparagus (Asparagus officinalis, L.) during cold storage. Food Chem. 2009, 117, 55–63. [Google Scholar] [CrossRef]
- Wang, X.; Gu, S.; Chen, B.; Huang, J.; Xing, J. Effect of postharvest l-arginine or cholesterol treatment on the quality of green asparagus (Asparagus officinalis L.) spears during low temperature storage. Sci. Hortic. 2017, 225, 788–794. [Google Scholar] [CrossRef]
- Li, T.; Zhang, M. Effects of modified atmosphere package (MAP) with a silicon gum film window on the quality of stored green asparagus (Asparagus officinalis L) spears. LWT 2015, 60, 1046–1053. [Google Scholar] [CrossRef]
- Lwin, W.W.; Srilaong, V.; Boonyaritthongchai, P.; Wongs-Aree, C.; Pongprasert, N. Electrostatic atomised water particles reduces postharvest lignification and maintain asparagus quality. Sci. Hortic. 2020, 271, 109487. [Google Scholar] [CrossRef]
- Li, C.; Suo, J.; Xuan, L.; Ding, M.; Zhang, H.; Song, L.; Ying, Y. Bamboo shoot-lignification delay by melatonin during low temperature storage. Postharvest Biol. Technol. 2019, 156, 110933. [Google Scholar] [CrossRef]
- Stoffyn, O.M.; Tsao, R.; Liu, R.; Wolyn, D.J. The effects of environment and storage on rutin concentration in two asparagus cultivars grown in southern Ontario. Can. J. Plant Sci. 2012, 92, 901–912. [Google Scholar] [CrossRef]
- Drinkwater, J.M.; Tsao, R.; Liu, R.; Wolyn, D.J. Genetic variation and heritability of rutin and glutathione concentrations in asparagus spears. Can. J. Plant Sci. 2014, 94, 1355–1362. [Google Scholar] [CrossRef]
- Papoulias, E.; Siomos, A.S.; Koukounaras, A.; Gerasopoulos, D.; Kazakis, E. Effects of Genetic, Pre- and Post-Harvest Factors on Phenolic Content and Antioxidant Capacity of White Asparagus Spears. Int. J. Mol. Sci. 2009, 10, 5370–5380. [Google Scholar] [CrossRef] [Green Version]
- Toscano, S.; Rizzo, V.; Licciardello, F.; Romano, D.; Muratore, G. Packaging Solutions to Extend the Shelf Life of Green Asparagus (Asparagus officinalis L.) ‘Vegalim’. Foods 2021, 10, 478. [Google Scholar] [CrossRef] [PubMed]
- Huyskens-Keil, S.; Herppich, W. High CO2 effects on postharvest biochemical and textural properties of white asparagus (Asparagus officinalis L.) spears. Postharvest Biol. Technol. 2013, 75, 45–53. [Google Scholar] [CrossRef]
- Qiu, M.; Wu, C.; Ren, G.; Liang, X.; Wang, X.; Huang, J. Effect of chitosan and its derivatives as antifungal and preservative agents on postharvest green asparagus. Food Chem. 2014, 155, 105–111. [Google Scholar] [CrossRef] [PubMed]
- Albanese, D.; Russo, L.; Cinquanta, L.; Brasiello, A.; Di Matteo, M. Physical and chemical changes in minimally processed green asparagus during cold-storage. Food Chem. 2007, 101, 274–280. [Google Scholar] [CrossRef]
- Siomos, A.; Sfakiotakis, E.M.; Dogras, C.C. Modified atmosphere packaging of white asparagus spears: Composition, color and textural quality responses to temperature and light. Sci. Hortic. 2000, 84, 1–13. [Google Scholar] [CrossRef]
- Gao, H.; Lu, Z.; Yang, Y.; Wang, D.; Yang, T.; Cao, M.; Cao, W. Melatonin treatment reduces chilling injury in peach fruit through its regulation of membrane fatty acid contents and phenolic metabolism. Food Chem. 2018, 245, 659–666. [Google Scholar] [CrossRef] [PubMed]
- Sun, Q.; Zhang, N.; Wang, J.; Cao, Y.; Li, X.; Zhang, H.; Zhang, L.; Tan, D.-X.; Guo, Y.-D. A label-free differential proteomics analysis reveals the effect of melatonin on promoting fruit ripening and anthocyanin accumulation upon postharvest in tomato. J. Pineal Res. 2016, 61, 138–153. [Google Scholar] [CrossRef]
- Liu, C.; Zheng, H.; Sheng, K.; Liu, W.; Zheng, L. Effects of melatonin treatment on the postharvest quality of strawberry fruit. Postharvest Biol. Technol. 2018, 139, 47–55. [Google Scholar] [CrossRef]
- Ma, Q.; Zhang, T.; Zhang, P.; Wang, Z.-Y. Melatonin attenuates postharvest physiological deterioration of cassava storage roots. J. Pineal Res. 2016, 60, 424–434. [Google Scholar] [CrossRef]
- Tan, X.-L.; Zhao, Y.-T.; Shan, W.; Kuang, J.-F.; Lu, W.-J.; Su, X.-G.; Tao, N.-G.; Lakshmanan, P.; Chen, J.-Y. Melatonin delays leaf senescence of postharvest Chinese flowering cabbage through ROS homeostasis. Food Res. Int. 2020, 138, 109790. [Google Scholar] [CrossRef]
- Kong, X.-M.; Ge, W.-Y.; Wei, B.-D.; Zhou, Q.; Zhou, X.; Zhao, Y.-B.; Ji, S.-J. Melatonin ameliorates chilling injury in green bell peppers during storage by regulating membrane lipid metabolism and antioxidant capacity. Postharvest Biol. Technol. 2020, 170, 111315. [Google Scholar] [CrossRef]
- Wu, C.; Cao, S.; Xie, K.; Chi, Z.; Wang, J.; Wang, H.; Wei, Y.; Shao, X.; Zhang, C.; Xu, F.; et al. Melatonin delays yellowing of broccoli during storage by regulating chlorophyll catabolism and maintaining chloroplast ultrastructure. Postharvest Biol. Technol. 2020, 172, 111378. [Google Scholar] [CrossRef]
- Castelló, M.L.; Fito, P.J.; Chiralt, A. Changes in respiration rate and physical properties of strawberries due to osmotic dehydration and storage. J. Food Eng. 2010, 97, 64–71. [Google Scholar] [CrossRef]
- AOAC. Official Methods of Analysis: Changes in Official Methods of Analysis Made at the Annual Meeting; AOAC: Washington, DC, USA, 1975. [Google Scholar]
- Fukushima, R.S.; Hatfield, R.D. Extraction and Isolation of Lignin for Utilization as a Standard to Determine Lignin Concentration Using the Acetyl Bromide Spectrophotometric Method. J. Agric. Food Chem. 2001, 49, 3133–3139. [Google Scholar] [CrossRef] [PubMed]
- Jana, S.; Choudhuri, M.A. Glycolate metabolism of three submersed aquatic angiosperms during ageing. Aquat. Bot. 1982, 12, 345–354. [Google Scholar] [CrossRef]
- Wang, Y.; Chen, J.-Y.; Jiang, Y.-M.; Lu, W.-J. Cloning and expression analysis of phenylalanine ammonia-lyase in relation to chilling tolerance in harvested banana fruit. Postharvest Biol. Technol. 2007, 44, 34–41. [Google Scholar] [CrossRef]
- Zhang, Z.; Pang, X.; Xuewu, D.; Ji, Z.; Jiang, Y. Role of peroxidase in anthocyanin degradation in litchi fruit pericarp. Food Chem. 2005, 90, 47–52. [Google Scholar] [CrossRef]
- Li, W.; Zhang, M.; Wang, S. Effect of three-stage hypobaric storage on membrane lipid peroxidation and activities of defense enzyme in green asparagus. LWT 2008, 41, 2175–2181. [Google Scholar] [CrossRef]
- Tang, H.; Hu, Y.-Y.; Yu, W.-W.; Song, L.-L.; Wu, J.-S. Growth, photosynthetic and physiological responses of Torreya grandis seedlings to varied light environments. Trees 2015, 29, 1011–1022. [Google Scholar] [CrossRef]
- An, J.; Zhang, M.; Lu, Q. Changes in some quality indexes in fresh-cut green asparagus pretreated with aqueous ozone and subsequent modified atmosphere packaging. J. Food Eng. 2007, 78, 340–344. [Google Scholar] [CrossRef]
- Saltveit, M.E. Respiratory Metabolism. In Postharvest Physiology and Biochemistry of Fruits and Vegetables; Elsevier: Amsterdam, The Netherlands, 2019; pp. 73–91. [Google Scholar]
- Tan, X.-L.; Fan, Z.-Q.; Zeng, Z.-X.; Shan, W.; Kuang, J.-F.; Lu, W.-J.; Su, X.-G.; Tao, N.-G.; Lakshmanan, P.; Chen, J.-Y.; et al. Exogenous melatonin maintains leaf quality of postharvest Chinese flowering cabbage by modulating respiratory metabolism and energy status. Postharvest Biol. Technol. 2021, 177, 111524. [Google Scholar] [CrossRef]
- Peretó, J. Embden-Meyerhof-Parnas Pathway. In Encyclopedia of Astrobiology; Springer: Berlin/Heidelberg, Germany, 2011; p. 485. [Google Scholar]
- Onik, J.C.; Wai, S.C.; Li, A.; Lin, Q.; Sun, Q.; Wang, Z.; Duan, Y. Melatonin treatment reduces ethylene production and maintains fruit quality in apple during postharvest storage. Food Chem. 2020, 337, 127753. [Google Scholar] [CrossRef] [PubMed]
- Miranda, S.; Vilches, P.; Suazo, M.; Pavez, L.; García, K.; Méndez, M.A.; González, M.; Meisel, L.A.; Defilippi, B.G.; del Pozo, T. Melatonin triggers metabolic and gene expression changes leading to improved quality traits of two sweet cherry cultivars during cold storage. Food Chem. 2020, 319, 126360. [Google Scholar] [CrossRef]
- Li, L.; Kitazawa, H.; Zhang, X.; Zhang, L.; Sun, Y.; Wang, X.; Liu, Z.; Guo, Y.; Yu, S. Melatonin retards senescence via regulation of the electron leakage of postharvest white mushroom (Agaricus bisporus). Food Chem. 2020, 340, 127833. [Google Scholar] [CrossRef]
- Xu, T.; Chen, Y.; Kang, H. Melatonin Is a Potential Target for Improving Post-Harvest Preservation of Fruits and Vegetables. Front. Plant Sci. 2019, 10, 1388. [Google Scholar] [CrossRef] [Green Version]
- Hu, W.; Yang, H.; Tie, W.; Yan, Y.; Ding, Z.; Liu, Y.; Wu, C.; Wang, J.; Reiter, R.J.; Tan, D.-X.; et al. Natural Variation in Banana Varieties Highlights the Role of Melatonin in Postharvest Ripening and Quality. J. Agric. Food Chem. 2017, 65, 9987–9994. [Google Scholar] [CrossRef]
- Pandey, S.; A Ranade, S.; Nagar, P.K.; Kumar, N. Role of polyamines and ethylene as modulators of plant senescence. J. Biosci. 2000, 25, 291–299. [Google Scholar] [CrossRef] [PubMed]
- Ella, L.; Zion, A.; Nehemia, A.; Amnon, L. Effect of the ethylene action inhibitor 1-methylcyclopropene on parsley leaf senescence and ethylene biosynthesis. Postharvest Biol. Technol. 2003, 30, 67–74. [Google Scholar] [CrossRef]
- Hörtensteiner, S. Chlorophyll degradation during senescence. Annu. Rev. Plant Biol. 2006, 57, 55–77. [Google Scholar] [CrossRef]
- An, J.; Zhang, M.; Lu, Q.; Zhang, Z. Effect of a prestorage treatment with 6-benzylaminopurine and modified atmosphere packaging storage on the respiration and quality of green asparagus spears. J. Food Eng. 2006, 77, 951–957. [Google Scholar] [CrossRef]
- Miao, H.; Zeng, W.; Zhao, M.; Wang, J.; Wang, Q. Effect of melatonin treatment on visual quality and health-promoting properties of broccoli florets under room temperature. Food Chem. 2020, 319, 126498. [Google Scholar] [CrossRef]
- Wang, J.; Fan, L. Effect of ultrasound treatment on microbial inhibition and quality maintenance of green asparagus during cold storage. Ultrason. Sonochemistry 2019, 58, 104631. [Google Scholar] [CrossRef] [PubMed]
- Shekari, A.; Hassani, R.N.; Aghdam, M.S.; Rezaee, M.; Jannatizadeh, A. The effects of melatonin treatment on cap browning and biochemical attributes of Agaricus bisporus during low temperature storage. Food Chem. 2021, 348, 129074. [Google Scholar] [CrossRef] [PubMed]
- Liu, Z.-Y.; Jiang, W.-B. Lignin Deposition and Effect of Postharvest Treatment on Lignification of Green Asparagus (Asparagus officinalis L.). Plant Growth Regul. 2006, 48, 187–193. [Google Scholar] [CrossRef]
- Halpin, C. Investigating and Manipulating Lignin Biosynthesis in the Postgenomic Era. In Advances in Botanical Research; Elsevier: Cham, Switzerland, 2004; pp. 63–106. [Google Scholar] [CrossRef]
- Toscano, S.; Ferrante, A.; Leonardi, C.; Romano, D. PAL activities in asparagus spears during storage after ammonium sulfate treatments. Postharvest Biol. Technol. 2018, 140, 34–41. [Google Scholar] [CrossRef]
- Wang, S.-Y.; Shi, X.-C.; Wang, R.; Wang, H.-L.; Liu, F.; Laborda, P. Melatonin in fruit production and postharvest preservation: A review. Food Chem. 2020, 320, 126642. [Google Scholar] [CrossRef]
- Ighodaro, O.; Akinloye, O. First line defence antioxidants-superoxide dismutase (SOD), catalase (CAT) and glutathione peroxidase (GPX): Their fundamental role in the entire antioxidant defence grid. Alex. J. Med. 2018, 54, 287–293. [Google Scholar] [CrossRef] [Green Version]
- Ding, F.; Liu, B.; Zhang, S. Exogenous melatonin ameliorates cold-induced damage in tomato plants. Sci. Hortic. 2017, 219, 264–271. [Google Scholar] [CrossRef]
- Jannatizadeh, A. Exogenous melatonin applying confers chilling tolerance in pomegranate fruit during cold storage. Sci. Hortic. 2018, 246, 544–549. [Google Scholar] [CrossRef]



| Part of Asparagus | Treatment | Storage Time (Days) | |||||
|---|---|---|---|---|---|---|---|
| 0 | 5 | 10 | 15 | 20 | 25 | ||
| Apical | Control | 31.21 ± 3.03 a,A | 30.80 ± 3.84 a,A | 33.07 ± 3.07 a,A | 30.24 ± 2.47 a,A | 34.61 ± 6.39 a,A | 33.51 ± 7.28 a,A |
| 0.5 MLT | 31.56 ± 2.43 a,A | 32.28 ± 2.31 a,A | 30.17 ± 4.48 a,A | 31.73 ± 3.39 a,A | 33.27 ± 5.02 a,A | 33.43 ± 4.31 a,A | |
| 1.0 MLT | 31.39 ± 2.95 a,A | 30.22 ± 4.12 a,A | 32.52 ± 3.49 a,A | 30.06 ± 4.21 a,A | 34.42 ± 6.23 a,A | 33.92 ± 3.65 a,A | |
| 2.0 MLT | 30.32 ± 3.13 a,A | 33.41 ± 2.00 a,A | 32.09 ± 4.17 a,A | 31.49 ± 3.95 a,A | 33.95 ± 4.50 a,A | 34.52 ± 3.84 a,A | |
| Middle | Control | 31.90 ± 3.13 a,A | 29.32 ± 3.67 a,A | 34.17 ± 3.37 a,A | 33.42 ± 3.16 a,A | 33.52 ± 4.67 a,A | 29.55 ± 2.30 a,A |
| 0.5 MLT | 32.40 ± 2.71 a,A | 29.08 ± 4.59 a,A | 30.08 ± 4.65 a,A | 30.56 ± 4.11 a,A | 31.41 ± 6.13 a,A | 29.81 ± 2.05 a,A | |
| 1.0 MLT | 32.50 ± 3.81 a,A | 30.02 ± 4.44 a,A | 30.33 ± 4.70 a,A | 31.44 ± 4.58 a,A | 31.30 ± 3.96 a,A | 30.31 ± 4.71 a,A | |
| 2.0 MLT | 31.20 ± 3.06 a,A | 31.55 ± 6.83 a,A | 31.38 ± 3.21 a,A | 32.55 ± 6.29 a,A | 32.41 ± 4.48 a,A | 29.65 ± 4.29 a,A | |
| Basal | Control | 35.46 ± 4.13 a,A | 41.36 ± 5.35 c,B | 46.82 ± 5.96 c,C | 48.66 ± 6.40 b,D | 50.06 ± 2.16 c,E | 52.20 ± 4.22 c,F |
| 0.5 MLT | 36.37 ± 2.03 a,A | 38.35 ± 4.14 bc,A | 40.54 ± 4.34 b,B | 43.76 ± 8.89 ab,C | 45.38 ± 4.05 b,D | 46.50 ± 5.28 b,D | |
| 1.0 MLT | 35.49 ± 3.45 a,A | 34.88 ± 5.33 ab,A | 35.74 ± 6.09 a,A | 37.73 ± 3.72 a,B | 39.37 ± 3.66 a,C | 40.19 ± 7.55 a,C | |
| 2.0 MLT | 35.16 ± 4.81 a,A | 34.16 ± 4.96 a,A | 35.36 ± 4.19 a,A | 38.40 ± 5.15 a,B | 39.56 ± 4.48 a,C | 40.71 ± 4.37 a,C | |
| Color Parameter | Treatment | Storage Time (Days) | |||||
|---|---|---|---|---|---|---|---|
| 0 | 5 | 10 | 15 | 20 | 25 | ||
| L* | Control | 57.30 ± 1.60 a,A | 54.56 ± 3.32 a,B | 53.42 ± 1.52 a,B | 52.94 ± 2.09 a,B | 49.28 ± 2.20 a,C | 48.05 ± 2.65 a,C |
| 0.5 MLT | 57.35 ± 1.87 a,AB | 58.89 ± 2.15 b,A | 57.31 ± 1.67 b,AB | 55.59 ± 1.10 a,B | 52.99 ± 1.34 b,C | 51.95 ± 2.64 b,C | |
| 1.0 MLT | 57.82 ± 1.60 a,A | 58.19 ± 3.38 b,A | 58.87 ± 2.25 b,A | 57.46 ± 2.18 c,A | 54.81 ± 2.62 bc,B | 53.60 ± 1.67 b,B | |
| 2.0 MLT | 57.52 ± 1.24 a,AB | 58.99 ± 3.31 b,A | 58.78 ± 2.36 b,A | 57.02 ± 1.96 bc,AB | 55.27 ± 2.93 c,BC | 53.23 ± 2.36 b,C | |
| a* | Control | −6.93 ± 0.59 a,A | −6.11 ± 1.36 a,B | −5.77 ± 0.93 a,BC | −5.68 ± 0.42 a,BC | −5.35 ± 0.70 a,BC | −5.31 ± 0.94 a,C |
| 0.5 MLT | −6.99 ± 0.57 a,A | −6.58 ± 0.83 a,AB | −6.57 ± 0.58 b,AB | −6.20 ± 0.81 b,BC | −5.84 ± 1.12 ab,BC | −5.58 ± 0.80 b,C | |
| 1.0 MLT | −6.98 ± 0.52 a,A | −6.75 ± 0.40 a,AB | −6.72 ± 0.94 b,AB | −6.49 ± 0.80 b,ABC | −6.18 ± 0.52 b,BC | −5.99 ± 0.30 b,C | |
| 2.0 MLT | −6.93 ± 0.40 a,A | −6.93 ± 0.40 a,A | −6.60 ± 1.06 b,AB | −6.31 ± 0.31 b,BC | −5.95 ± 0.29 ab,CD | −5.54 ± 0.47 b,D | |
| b* | Control | 32.09 ± 1.45 a,A | 33.98 ± 3.06 a,AB | 34.17 ± 1.42 a,AB | 35.74 ± 2.90 b,BC | 36.45 ± 2.42 b,C | 37.67 ± 2.31 b,C |
| 0.5 MLT | 32.19 ± 1.38 a,A | 32.67 ± 2.95 a,AB | 33.94 ± 2.18 a,AB | 34.21 ± 1.47 ab,BC | 34.63 ± 1.11 a,C | 35.26 ± 2.24 a,C | |
| 1.0 MLT | 31.62 ± 1.24 a,A | 32.08 ± 1.59 a,A | 33.38 ± 1.85 a,AB | 33.65 ± 2.03 a,AB | 33.84 ± 1.77 a,B | 34.84 ± 2.12 a,B | |
| 2.0 MLT | 32.14 ± 1.44 a,A | 33.27 ± 2.12 a,AB | 33.55 ± 2.54 a,AB | 34.12 ± 1.94 ab,AB | 34.27 ± 1.99 a,AB | 34.98 ± 3.33 a,B | |
| Treatment | Storage Time (Days) | |||||
|---|---|---|---|---|---|---|
| 0 | 5 | 10 | 15 | 20 | 25 | |
| Control | 25.75 ± 0.63 a,A | 20.81 ± 0.94 a,B | 19.77 ± 1.05 a,BC | 18.30 ± 0.96 a,CD | 17.50 ± 0.49 a,D | 15.07 ± 0.39 a,E |
| 0.5 MLT | 25.13 ± 0.46 a,A | 23.55 ± 1.26 b,B | 22.53 ± 0.92 b,BC | 21.77 ± 0.51 b,CD | 20.53 ± 0.68 b,D | 19.06 ± 0.53 b,E |
| 1.0 MLT | 25.90 ± 0.49 a,A | 24.38 ± 0.26 b,B | 23.20 ± 0.40 b,C | 22.79 ± 0.76 b,C | 22.12 ± 0.67 c,CD | 21.16 ± 0.73 d,E |
| 2.0 MLT | 25.41 ± 0.92 a,A | 24.20 ± 0.43 b,B | 23.10 ± 0.46 b,BC | 22.24 ± 0.54 b,C | 20.48 ± 0.96 b,D | 20.13 ± 0.44 c,D |
| Treatment | Storage Time (Days) | |||||
|---|---|---|---|---|---|---|
| 0 | 5 | 10 | 15 | 20 | 25 | |
| Control | 30.20 ± 1.18 a,A | 29.23 ± 1.75 a,A | 25.26 ± 2.12 a,B | 18.38 ± 1.10 a,C | 16.04 ± 1.10 a,C | 12.88 ± 1.53 a,D |
| 0.5 MLT | 29.87 ± 1.19 a,A | 29.30 ± 2.86 a,AB | 26.64 ± 0.63 a,B | 21.22 ± 2.02 ab,C | 18.49 ± 1.56 b,CD | 16.90 ± 0.80 b,D |
| 1.0 MLT | 30.43 ± 1.33 a,A | 31.33 ± 2.60 a,A | 26.78 ± 0.70 a,B | 22.33 ± 2.02 b,C | 20.54 ± 0.80 b,C | 17.55 ± 1.32 b,D |
| 2.0 MLT | 29.92 ± 0.52 a,A | 30.57 ± 1.97 a,A | 26.50 ± 1.19 a,B | 22.58 ± 0.95 b,C | 20.57 ± 0.66 b,C | 17.74 ± 2.20 b,D |
| Treatment | Storage Time (Days) | |||||
|---|---|---|---|---|---|---|
| 0 | 5 | 10 | 15 | 20 | 25 | |
| Control | 31.33 ± 3.21 a,A | 40.91 ± 3.31 b,B | 50.85 ± 1.44 c,C | 58.58 ± 1.08 c,D | 69.35 ± 1.08 c,E | 74.92 ± 2.97 c,F |
| 0.5 MLT | 30.71 ± 2.16 a,A | 36.17 ± 3.15 ab,B | 42.97 ± 3.06 b,C | 51.94 ± 2.11 b,D | 59.20 ± 1.44 b,E | 67.57 ± 2.97 b,F |
| 1.0 MLT | 31.23 ± 3.88 a,A | 34.07 ± 1.26 a,A | 38.69 ± 0.74 a,B | 42.51 ± 1.15 a,BC | 45.46 ± 2.54 a,C | 59.52 ± 1.68 a,D |
| 2.0 MLT | 30.86 ± 4.90 a,A | 34.20 ± 2.05 a,AB | 38.33 ± 1.65 a,BC | 42.33 ± 1.23 a,CD | 45.54 ± 3.45 a,D | 59.59 ± 3.47 a,E |
| Treatment | Storage Time (Days) | |||||
|---|---|---|---|---|---|---|
| 0 | 5 | 10 | 15 | 20 | 25 | |
| Control | 9.03 ± 1.65 a,A | 13.33 ± 0.67 b,B | 15.33 ± 1.00 c,C | 16.63 ± 1.30 c,C | 19.33 ± 0.68 c,D | 22.43 ± 0.59 c,D |
| 0.5 MLT | 8.13 ± 0.67 a,A | 9.90 ± 0.19 a,AB | 11.60 ± 0.67 b,BC | 12.70 ± 1.67 b,C | 15.28 ± 0.95 b,D | 17.33 ± 0.80 b,D |
| 1.0 MLT | 8.23 ± 1.06 a,A | 8.93 ± 0.81 a,AB | 9.57 ± 0.7 ab,ABC | 10.07 ± 0.99 a,BC | 11.07 ± 0.59 a,C | 14.20 ± 0.70 a,C |
| 2.0 MLT | 8.73 ± 0.67 a,A | 8.48 ± 1.20 a,A | 9.00 ± 0.70 a,A | 10.47 ± 0.31 a,AB | 12.17 ± 1.88 a,B | 14.57 ± 0.55 a,B |
Publisher’s Note: MDPI stays neutral with regard to jurisdictional claims in published maps and institutional affiliations. |
© 2021 by the authors. Licensee MDPI, Basel, Switzerland. This article is an open access article distributed under the terms and conditions of the Creative Commons Attribution (CC BY) license (https://creativecommons.org/licenses/by/4.0/).
Share and Cite
Boonsiriwit, A.; Lee, M.; Kim, M.; Itkor, P.; Lee, Y.S. Exogenous Melatonin Reduces Lignification and Retains Quality of Green Asparagus (Asparagus officinalis L.). Foods 2021, 10, 2111. https://doi.org/10.3390/foods10092111
Boonsiriwit A, Lee M, Kim M, Itkor P, Lee YS. Exogenous Melatonin Reduces Lignification and Retains Quality of Green Asparagus (Asparagus officinalis L.). Foods. 2021; 10(9):2111. https://doi.org/10.3390/foods10092111
Chicago/Turabian StyleBoonsiriwit, Athip, Myungho Lee, Minhwi Kim, Pontree Itkor, and Youn Suk Lee. 2021. "Exogenous Melatonin Reduces Lignification and Retains Quality of Green Asparagus (Asparagus officinalis L.)" Foods 10, no. 9: 2111. https://doi.org/10.3390/foods10092111
APA StyleBoonsiriwit, A., Lee, M., Kim, M., Itkor, P., & Lee, Y. S. (2021). Exogenous Melatonin Reduces Lignification and Retains Quality of Green Asparagus (Asparagus officinalis L.). Foods, 10(9), 2111. https://doi.org/10.3390/foods10092111

