Impact of Tetrapeptide-FSEY on Oxidative and Physical Stability of Hazelnut Oil-In-Water Emulsion
Abstract
1. Introduction

2. Materials and Methods
2.1. Materials
2.2. Preparation of Stripped Hazelnut Oil
2.3. Emulsion Preparation and Storage Conditions
2.4. Chemical Indices: Oxidation Level
2.4.1. Determination of the LOOH Value
2.4.2. Determination of the CD Value
- [oil], the concentration of oil, kg/L;
- L, optical path of colorimetric ware, 1 cm;
- ε, molar absorptivity of conjugated dienes, 27,000 M−1cm−1.
2.4.3. Determination of the p-Anisidine Values
- Q, defined value of anisidine, 0.01 g/mL;
- V, volume of the sample, mL;
- 1.2, correction factor of 1 mL anisidine–acetic acid solution;
- M, weight of the oil, g;
- A1, absorbance of the samples;
- A2, absorbance of isooctane + p-anisidine solution.
2.4.4. Determination of the LOO•
2.5. Physical Indices
2.5.1. Particle Size and Charge Measurements
2.5.2. Microstructural Analysis
2.5.3. Color Measurement
2.5.4. Turbiscan Stability Index
2.6. Antioxidant Capacity of FSEY at High Temperatures
2.7. Antioxidant Capacity of FSEY against Other Radicals
2.8. Distribution of FSEY in an Emulsion
2.9. Prediction of the Toxicological Properties of FSEY
2.10. Statistical Analysis
3. Results and Discussion
3.1. Lipid Oxidative Stability
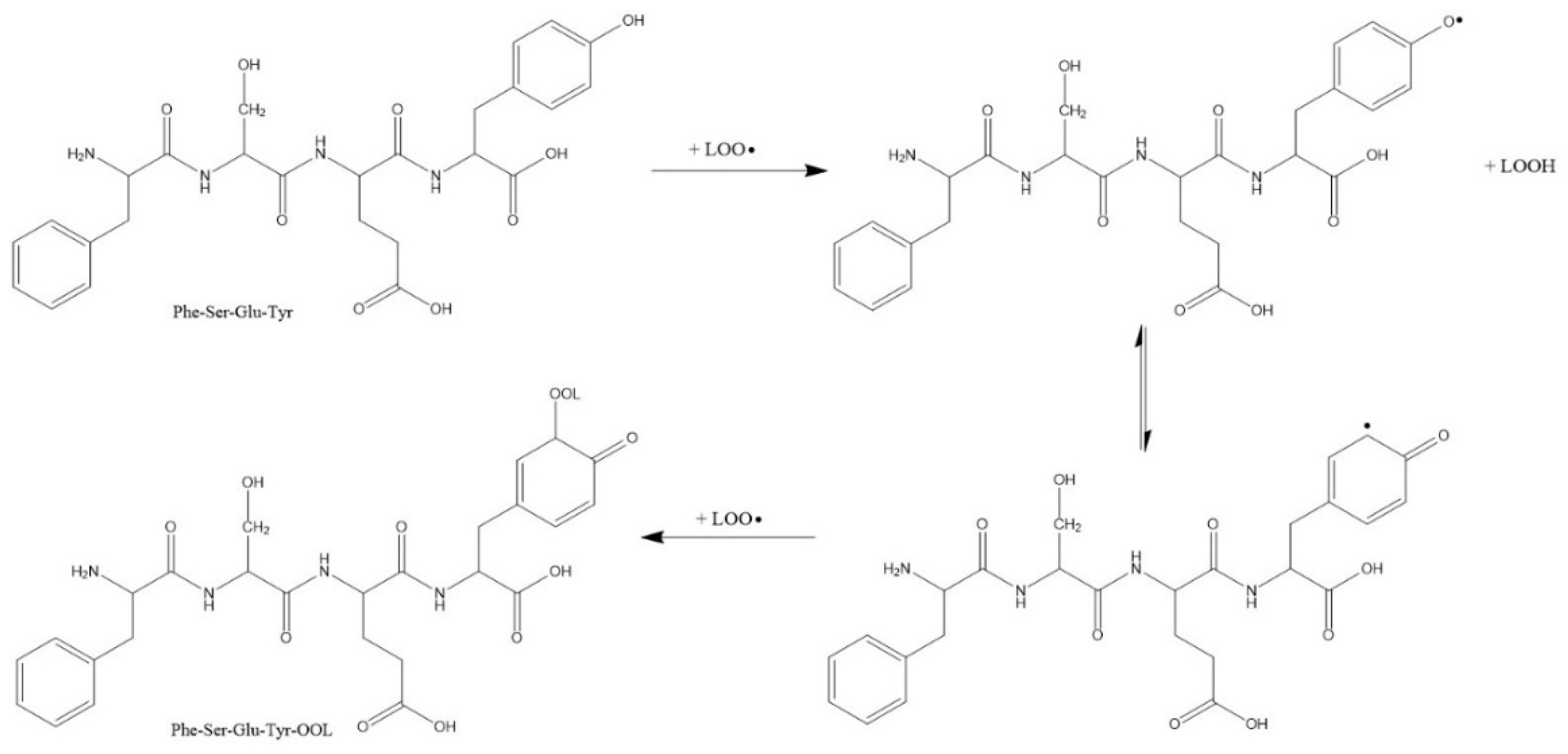
3.2. Lipid Free Radicals
3.3. Particle Size, Appearance and Zeta Potential (mV)
3.4. Color Changes of the Emulsions
3.5. Stabilities of the Emulsions
3.6. Further Antioxidant Activities of FSEY
3.7. Prediction of the Toxicological Properties of FSEY
4. Conclusions
Supplementary Materials
Author Contributions
Funding
Data Availability Statement
Acknowledgments
Conflicts of Interest
References
- Kiokias, S.; Gordon, M.H.; Oreopoulou, V. Effects of composition and processing variables on the oxidative stability of protein-based and oil-in-water food emulsions. Crit. Rev. Food Sci. Nutr. 2017, 57, 549–558. [Google Scholar] [CrossRef]
- Sun, Y.; Wang, W.; Chen, H.; Li, C. Autoxidation of unsaturated lipids in food emulsion. Crit. Rev. Food Sci. Nutr. 2011, 51, 453–466. [Google Scholar] [CrossRef]
- Choe, E. Roles and action mechanisms of herbs added to the emulsion on its lipid oxidation. Food Sci. Biotechnol. 2020, 29, 1165–1179. [Google Scholar] [CrossRef] [PubMed]
- Ambrosone, L.; Mosca, M.; Ceglie, A. Impact of edible surfactants on the oxidation of olive oil in water-in-oil emulsions. Food Hydrocoll. 2007, 21, 1163–1171. [Google Scholar] [CrossRef]
- Decker, E.A.; McClements, D.J.; Bourlieu-Lacanal, C.; Durand, E.; Figueroa-Espinoza, M.C.; Lecomte, J.; Villeneuve, P. Hurdles in predicting antioxidant efficacy in oil-in-water emulsions. Trends Food Sci. Technol. 2017, 67, 183–194. [Google Scholar] [CrossRef]
- Ravera, F.; Dziza, K.; Santini, E.; Cristofolini, L.; Liggieri, L. Emulsification and emulsion stability: The role of the interfacial properties. Adv. Colloid Interface Sci. 2021, 288, 102344. [Google Scholar] [CrossRef] [PubMed]
- Chen, L.; Ao, F.; Ge, X.; Shen, W. Food-grade Pickering emulsions: Preparation, stabilization and applications. Molecules 2020, 25, 3202. [Google Scholar] [CrossRef] [PubMed]
- Pei, Y.; Deng, Q.; McClements, D.J.; Li, J.; Li, B. Impact of phytic acid on the physical and oxidative stability of protein-stabilized oil-in-water emulsions. Food Biophys. 2020, 15, 433–441. [Google Scholar] [CrossRef]
- Celus, M.; Kyomugasho, C.; Keunen, J.; Loey, A.M.V.; Hendrickx, M.E. Simultaneous use of low methylesterified citrus pectin and EDTA as antioxidants in linseed/sunflower oil-in-water emulsions. Food Hydrocoll. 2019, 100, 105386. [Google Scholar] [CrossRef]
- Li, D.; Zhao, Y.; Wang, X.; Tang, H.; Wu, N.; Wu, F.; Yu, D.; Elfalleh, W. Effects of (+)-catechin on a rice bran protein oil-in-water emulsion: Droplet size, zeta-potential, emulsifying properties, and rheological behavior. Food Hydrocoll. 2020, 98, 105306. [Google Scholar] [CrossRef]
- Waraho, T.; McClements, D.J.; Decker, E.A. Mechanisms of lipid oxidation in food dispersions. Trends Food Sci. Technol. 2011, 22, 3–13. [Google Scholar] [CrossRef]
- Samdani, G.K.; McClements, D.J.; Decker, E.A. Impact of phospholipids and tocopherols on the oxidative stability of soybean oil-in-water emulsions. J. Agric. Food Chem. 2018, 66, 3939–3948. [Google Scholar] [CrossRef]
- García-Moreno, P.J.; Jacobsen, C.; Marcatili, P.; Gregersen, S.; Overgaard, M.T.; Andersen, M.L.; Sørensen, A.-D.M.; Hansen, E.B. Emulsifying peptides from potato protein predicted by bioinformatics: Stabilization of fish oil-in-water emulsions. Food Hydrocoll. 2020, 101, 105529. [Google Scholar] [CrossRef]
- Pan, X.; Fang, Y.; Wang, L.; Shi, Y.; Xie, M.; Xia, J.; Pei, F.; Li, P.; Xiong, W.; Shen, X.; et al. Covalent interaction between rice protein hydrolysates and chlorogenic acid: Improving the stability of oil-in-water emulsions. J. Agric. Food Chem. 2019, 67, 4023–4030. [Google Scholar] [CrossRef]
- Shi, Y.; Liang, R.; Chen, L.; Liu, H.; Goff, H.D.; Ma, J.; Zhong, F. The antioxidant mechanism of Maillard reaction products in oil-in-water emulsion system. Food Hydrocoll. 2019, 87, 582–592. [Google Scholar] [CrossRef]
- García-Pérez, P.; Losada-Barreiro, S.; Bravo-Díaz, C.; Gallego, P.P. Exploring the use of bryophyllum as natural source of bioactive compounds with antioxidant activity to prevent lipid oxidation of fish oil-in-water emulsions. Plants 2020, 9, 1012. [Google Scholar] [CrossRef] [PubMed]
- O’Dwyer, S.P.; O’Beirne, D.; Eidhin, D.N.; O’Kennedy, B.T. Effects of sodium caseinate concentration and storage conditions on the oxidative stability of oil-in-water emulsions. Food Chem. 2013, 138, 1145–1152. [Google Scholar] [CrossRef] [PubMed]
- GB/T 24304-2009/ISO 6885:2006: Animal and Vegetable Fats and Oils-Determination of Anisidine Value; General Administration of Quality Supervision, Inspection and Quarantine of the People’s Republic of China: Beijing, China; Standardization Administration of the People’s Republic of China: Beijing, China, 2009.
- Jiang, S.; Xie, Y.; Li, M.; Guo, Y.; Cheng, Y.; Qian, H.; Yao, W. Evaluation on the oxidative stability of edible oil by electron spin resonance spectroscopy. Food Chem. 2020, 309, 125714. [Google Scholar] [CrossRef] [PubMed]
- Cui, N.; Wang, G.; Ma, Q.; Zhao, T.; Li, R.; Liang, L. Effect of cold-pressed on fatty acid profile, bioactive compounds and oil oxidation of hazelnut during oxidation process. LWT 2020, 129, 109552. [Google Scholar] [CrossRef]
- Zhang, X.; Liu, D.; Jin, T.Z.; Chen, W.; He, Q.; Zou, Z.; Zhao, H.; Ye, X.; Guo, M. Preparation and characterization of gellan gum-chitosan polyelectrolyte complex films with the incorporation of thyme essential oil nanoemulsion. Food Hydrocoll. 2021, 114, 106570. [Google Scholar] [CrossRef]
- Yang, Q.; Cai, X.; Yan, A.; Tian, Y.; Du, M.; Wang, S. A specific antioxidant peptide: Its properties in controlling oxidation and possible action mechanism. Food Chem. 2020, 327, 126984. [Google Scholar] [CrossRef]
- Jie, Y.; Zhao, H.; Sun, X.; Lv, X.; Zhang, Z.; Zhang, B. Isolation of antioxidative peptide from the protein hydrolysate of Caragana ambigua seeds and its mechanism for retarding lipid auto-oxidation. J. Agric. Food Chem. 2019, 99, 3078–3085. [Google Scholar] [CrossRef] [PubMed]
- Faraji, H.; McClements, D.J.; Decker, E.A. Role of continuous phase protein on the oxidative stability of fish oil-in-water emulsions. J. Agric. Food Chem. 2004, 52, 4558–4564. [Google Scholar] [CrossRef]
- Gürbüz, G.; Kauntola, V.; Ramos Diaz, J.M.; Jouppila, K.; Heinonen, M. Oxidative and physical stability of oil-in-water emulsions prepared with quinoa and amaranth proteins. Eur. Food Res. Technol. 2018, 244, 469–479. [Google Scholar] [CrossRef]
- Djordjevic, D.; Cercaci, L.; Alamed, J.; McClements, D.J.; Decker, E.A. Chemical and physical stability of citral and limonene in sodium dodecyl sulfate−chitosan and gum arabic-stabilized oil-in-water emulsions. J. Agric. Food Chem. 2007, 55, 3585–3591. [Google Scholar] [CrossRef] [PubMed]
- Merkx, D.W.H.; Plankensteiner, L.; Yu, Y.; Wierenga, P.A.; Hennebelle, M.; Van Duynhoven, J.P.M. Evaluation of PBN spin-trapped radicals as early markers of lipid oxidation in mayonnaise. Food Chem. 2021, 334, 127578. [Google Scholar] [CrossRef]
- Wu, H. Structure-Activity Relationship of Antioxidative Peptides Derived from Whey Protein. Master’s Thesis, Jiangnan University, Wuxi, China, 2011. [Google Scholar]
- Shahidi, F.; Ambigaipalan, P. Phenolics and polyphenolics in foods, beverages and spices: Antioxidant activity and health effects—A review. J. Funct. Foods 2015, 18, 820–897. [Google Scholar] [CrossRef]
- Wang, M.; Li, C.; Li, H.; Wu, Z.; Chen, B.; Lei, Y.; Shen, Y. In Vitro and in silico antioxidant activity of novel peptides prepared from Paeonia ostii ‘Feng dan’ hydrolysate. Antioxidants 2019, 8, 433. [Google Scholar] [CrossRef] [PubMed]
- Saito, K.; Jin, D.H.; Ogawa, T.; Muramoto, K.; Hatakeyama, E.; Yasuhara, T.; Nokihara, K. Antioxidative properties of tripeptide libraries prepared by the combinatorial chemistry. J. Agric. Food Chem. 2003, 51, 3668–3674. [Google Scholar] [CrossRef] [PubMed]
- Porter, W.L. Recent trends in food applications of antioxidants. In Autoxidation in Food and Biological Systems; Springer: Berlin/Heidelberg, Germany, 1980. [Google Scholar]
- Joseph, H. Designing Delivery Systems of Vitamin e to Enhance Its Stability and Bioaccessibility. Ph.D. Thesis, Jiangnan University, Wuxi, China, 2016. [Google Scholar]
- Yi, J.; Qiu, M.; Liu, N.; Tian, L.; Zhu, X.; Decker, E.A.; McClements, D.J. Inhibition of lipid and protein oxidation in whey-protein-stabilized emulsions using a natural antioxidant: Black rice anthocyanins. J. Agric. Food Chem. 2020, 68, 10149–10156. [Google Scholar] [CrossRef] [PubMed]
- Cheng, C.; Yu, X.; McClements, D.J.; Huang, Q.; Tang, H.; Yu, K.; Xiang, X.; Chen, P.; Wang, X.; Deng, Q. Effect of flaxseed polyphenols on physical stability and oxidative stability of flaxseed oil-in-water nanoemulsions. Food Chem. 2019, 301, 125207. [Google Scholar] [CrossRef] [PubMed]
- Ng, S.; Khor, Y.; Lim, H.; Lai, O.M.; Wang, Y.; Wang, Y.; Cheong, L.-Z.; Imededdine, N.; Mansour, L.; Tan, C. Fabrication of concentrated palm olein-based diacylglycerol oil–soybean oil blend oil-in-water emulsion: In-depth study of the rheological properties and storage stability. Foods 2020, 9, 877. [Google Scholar] [CrossRef] [PubMed]
- Chantrapornchai, W.; Clydesdale, F.; McClements, D.J. Influence of droplet characteristics on the optical properties of colored oil-in-water emulsions. Colloids Surf. A Physicochem. Eng. Asp. 1999, 155, 373–382. [Google Scholar] [CrossRef]
- Wang, P.; Chen, C.; Guo, H.; Zhang, H.; Yang, Z.; Ren, F. Casein gel particles as novel soft Pickering stabilizers: The emulsifying property and packing behavior at the oil-water interface. Food Hydrocoll. 2018, 77, 689–698. [Google Scholar] [CrossRef]
- Degrand, L.; Michon, C.; Bosc, V. New insights into the study of the destabilization of oil-in-water emulsions with dextran sulfate provided by the use of light scattering methods. Food Hydrocoll. 2016, 52, 848–856. [Google Scholar] [CrossRef]
- Raikos, V. Encapsulation of vitamin E in edible orange oil-in-water emulsion beverages: Influence of heating temperature on physicochemical stability during chilled storage. Food Hydrocoll. 2017, 72, 155–162. [Google Scholar] [CrossRef]
- Ren, Y.; Linter, B.R.; Foster, T.J. Cellulose fibrillation and interaction with psyllium seed husk heteroxylan. Food Hydrocoll. 2020, 104, 105725. [Google Scholar] [CrossRef]
- Yang, D.; Wang, X.-Y.; Gan, L.-J.; Zhang, H.; Shin, J.-A.; Lee, K.-T.; Hong, S.-T. Effects of flavonoid glycosides obtained from a Ginkgo biloba extract fraction on the physical and oxidative stabilities of oil-in-water emulsions prepared from a stripped structured lipid with a low omega-6 to omega-3 ratio. Food Chem. 2015, 174, 124–131. [Google Scholar] [CrossRef]
- Wang, X.; Yu, K.; Cheng, C.; Yu, X.; McClements, D.J.; Huang, W.; Yang, J.; Huang, F.; Deng, Q. Impact of sesame lignan on physical and oxidative stability of flaxseed oil-in-water emulsion. Oil Crop. Sci. 2019, 4, 254–266. [Google Scholar] [CrossRef]
- Wang, P.; Cui, N.; Luo, J.; Zhang, H.; Guo, H.; Wen, P.; Ren, F. Stable water-in-oil emulsions formulated with polyglycerol polyricinoleate and glucono-δ-lactone-induced casein gels. Food Hydrocoll. 2016, 57, 217–220. [Google Scholar] [CrossRef]
- Zheng, L. Structure-Activity Relationship and Directional Preparation of Antioxidant Peptide. Ph.D. Thesis, South China University of Technology, Guangzhou, China, 2015. [Google Scholar]









| D [3,4] (μm) | Zeta Potential (mV) | pH | ||||
|---|---|---|---|---|---|---|
| 0 day | 25 days | 0 days | 25 days | 0 days | 25 days | |
| Control | 0.52 ± 0.01 a | 0.84 ± 0.12 b | −51.03 ± 1.03 a | −55.01 ± 1.94 b | 7.03 ± 0.06 a | 5.33 ± 0.12 a |
| FSEY | 0.51 ± 0.00 a | 0.69 ± 0.15 ab | −42.38 ± 1.58 b | −46.51 ± 1.47 a | 7.02 ± 0.05 a | 7.10 ± 0.00 b |
| TBHQ | 0.51 ± 0.01 a | 0.59 ± 0.10 a | −49.43 ± 3.34 a | −50.09 ± 2.40 ab | 7.03 ± 0.02 a | 7.37 ± 0.06 c |
| Day | Sample | L | a | b | ΔE |
|---|---|---|---|---|---|
| 0 | Control | 75.97 ± 0.37 c | −0.50 ± 0.02 d | −1.50 ± 0.04 c | 15.97 ± 0.36 ab |
| FSEY | 76.10 ± 0.12 c | −0.50 ± 0.01 d | −1.51 ± 0.03 c | 15.84 ± 0.12 a | |
| TBHQ | 75.97 ± 0.21 c | −0.49 ± 0.02 d | −1.50 ± 0.02 c | 15.97 ± 0.20 ab | |
| 14 | Control | 74.92 ± 0.24 c | −0.61 ± 0.01 c | −1.56 ± 0.03 bc | 16.02 ± 0.24 ab |
| FSEY | 75.63 ± 0.04 c | −0.67 ± 0.01 b | −1.60 ± 0.04 b | 16.31 ± 0.03 b | |
| TBHQ | 74.70 ± 0.10 b | −0.36 ± 0.03 e | 0.68 ± 0.06 e | 17.04 ± 0.10 c | |
| 25 | Control | 73.45 ± 0.40 a | −0.94 ± 0.01 a | −2.08 ± 0.10 a | 18.55 ± 0.50 d |
| FSEY | 75.97 ± 0.22 c | −0.65 ± 0.00 b | −1.26 ± 0.06 d | 15.93 ± 0.22 ab | |
| TBHQ | 73.52 ± 0.0 a | 0.60 ± 0.02 f | 2.90 ± 0.01 f | 18.36 ± 0.05 d |
| Toxicological Properties | Model Prediction |
|---|---|
| Mutagenicity | Non-mutagen |
| Developmental toxicity potential (DTP) | Non-toxic |
| Ocular irritancy | Irritant |
| Skin irritancy | Non-irritant |
| Skin sensitization | Non-sensitizer |
| Rodent carcinogenicity (including NTP and FDA datasets; female or male) | Non-carcinogen |
Publisher’s Note: MDPI stays neutral with regard to jurisdictional claims in published maps and institutional affiliations. |
© 2021 by the authors. Licensee MDPI, Basel, Switzerland. This article is an open access article distributed under the terms and conditions of the Creative Commons Attribution (CC BY) license (https://creativecommons.org/licenses/by/4.0/).
Share and Cite
Shi, C.; Liu, M.; Ma, Q.; Zhao, T.; Liang, L.; Zhang, B. Impact of Tetrapeptide-FSEY on Oxidative and Physical Stability of Hazelnut Oil-In-Water Emulsion. Foods 2021, 10, 1400. https://doi.org/10.3390/foods10061400
Shi C, Liu M, Ma Q, Zhao T, Liang L, Zhang B. Impact of Tetrapeptide-FSEY on Oxidative and Physical Stability of Hazelnut Oil-In-Water Emulsion. Foods. 2021; 10(6):1400. https://doi.org/10.3390/foods10061400
Chicago/Turabian StyleShi, Chenshan, Miaomiao Liu, Qinghua Ma, Tiantian Zhao, Lisong Liang, and Bolin Zhang. 2021. "Impact of Tetrapeptide-FSEY on Oxidative and Physical Stability of Hazelnut Oil-In-Water Emulsion" Foods 10, no. 6: 1400. https://doi.org/10.3390/foods10061400
APA StyleShi, C., Liu, M., Ma, Q., Zhao, T., Liang, L., & Zhang, B. (2021). Impact of Tetrapeptide-FSEY on Oxidative and Physical Stability of Hazelnut Oil-In-Water Emulsion. Foods, 10(6), 1400. https://doi.org/10.3390/foods10061400

