Effect of Different Temperature-Controlled Ultrasound on the Physical and Functional Properties of Micellar Casein Concentrate
Abstract
:1. Introduction
2. Materials and Methods
2.1. Materials
2.2. Pilot-Scale Ultrasound System
2.3. Average Particle Size
2.4. Zeta Potential Measurements
2.5. pH and Viscosity Measurement
2.6. Soluble Ca Measurement and SDS-PAGE
2.7. Emulsion Activity Index (EAI) and Emulsion Stability (ES)
2.8. Surface Hydrophobicity and Intrinsic Fluorescence Spectroscopy
2.9. Statistical Treatment
3. Results and Discussion
3.1. Average Particle Size
3.2. pH and Calcium Content
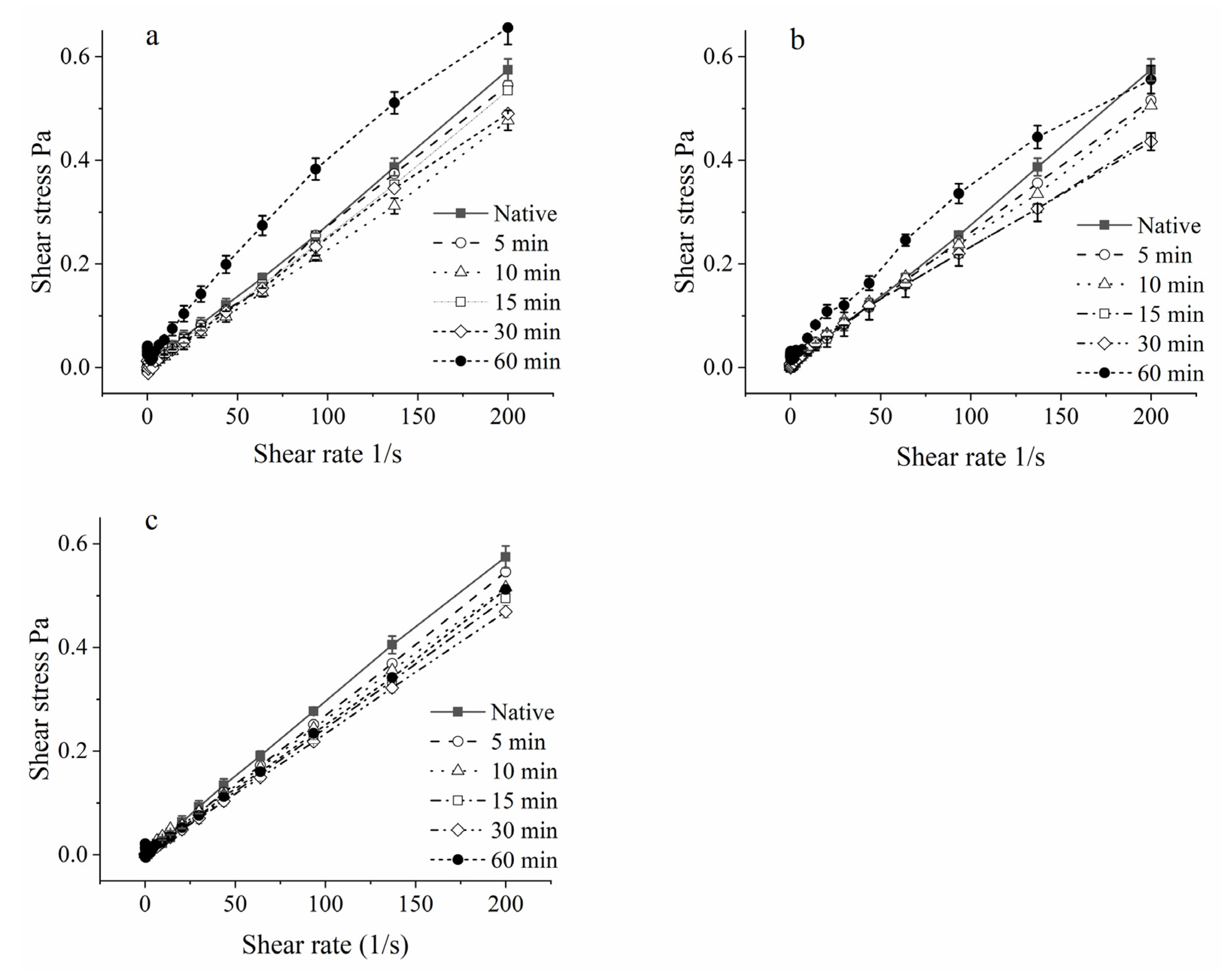
3.3. Rheological Properties
3.4. The Emulsifying Activity Index (EAI) and Emulsion Stability (ESI)
4. Conclusions
Author Contributions
Funding
Institutional Review Board Statement
Informed Consent Statement
Data Availability Statement
Conflicts of Interest
References
- Nomura, H.; Koda, S. Chapter 1—What Is Sonochemistry? In Sonochemistry and the Acoustic Bubble; Grieser, F., Choi, P.-K., Enomoto, N., Harada, H., Okitsu, K., Yasui, K., Eds.; Elsevier: Amsterdam, The Netherlands, 2015; pp. 1–9. [Google Scholar] [CrossRef]
- Ashokkumar, M. Applications of ultrasound in food and bioprocessing. Ultrason. Sonochem. 2015, 25, 17–23. [Google Scholar] [CrossRef]
- Soltani Firouz, M. 6—Application of high-intensity ultrasound in food processing for improvement of food quality. In Design and Optimization of Innovative Food Processing Techniques Assisted by Ultrasound; Barba, F.J., Cravotto, G., Chemat, F., Rodriguez, J.M.L., Munekata, P.E.S., Eds.; Academic Press: Cambridge, MA, USA, 2021; pp. 143–167. [Google Scholar] [CrossRef]
- Silva, M.; Zisu, B.; Chandrapala, J. Influence of low-frequency ultrasound on the physico-chemical and structural characteristics of milk systems with varying casein to whey protein ratios. Ultrason. Sonochem. 2018, 49, 268–276. [Google Scholar] [CrossRef]
- Wang, D.; Hou, F.; Ma, X.; Chen, W.; Yan, L.; Ding, T.; Ye, X.; Liu, D. Study on the mechanism of ultrasound-accelerated enzymatic hydrolysis of starch: Analysis of ultrasound effect on different objects. Int. J. Biol. Macromol. 2021, 148, 493–500. [Google Scholar] [CrossRef] [PubMed]
- Soares, A.D.S.; Leite Júnior, B.R.D.C.; Tribst, A.A.L.; Augusto, P.E.D.; Ramos, A.M. Effect of ultrasound on goat cream hydrolysis by lipase: Evaluation on enzyme, substrate and assisted reaction. LWT 2020, 130, 109636. [Google Scholar] [CrossRef]
- Carter, B.G.; Cheng, N.; Kapoor, R.; Meletharayil, G.H.; Drake, M.A. Invited review: Microfiltration-derived casein and whey proteins from milk. J. Dairy Sci. 2021, 104, 2465–2479. [Google Scholar] [CrossRef] [PubMed]
- Bong, D.D.; Moraru, C.I. Use of micellar casein concentrate for Greek-style yogurt manufacturing: Effects on processing and product properties. J. Dairy Sci. 2014, 97, 1259–1269. [Google Scholar] [CrossRef]
- Hammam, A.; Martínez-Monteagudo, S.; Metzger, L.E. Progress in micellar casein concentrate: Production and applications. Compr. Rev. Food Sci. Food Saf. 2021, 74, 1–24. [Google Scholar] [CrossRef]
- Hurt, E.; Barbano, D.M. Processing factors that influence casein and serum protein separation by microfiltration1. J. Dairy Sci. 2010, 93, 4928–4941. [Google Scholar] [CrossRef]
- Zhang, R.; Pang, X.; Lu, J.; Liu, L.; Zhang, S.; Lv, J. Effect of high intensity ultrasound pretreatment on functional and structural properties of micellar casein concentrates. Ultrason. Sonochem. 2018, 47, 10–16. [Google Scholar] [CrossRef] [PubMed]
- Yang, M.; Zeng, Q.; Wang, Y.; Qin, J.; Zheng, J.; Wa, W. Effect of ultrasound pretreatment on the physicochemical properties and simulated gastrointestinal digestibility of micellar casein concentrates. LWT 2021, 136, 110319. [Google Scholar] [CrossRef]
- Pinto, C.A.; Lima, V.J.; Amaral, R.A.; Pateiro, M.; Lorenzo, J.M.; Saraiva, J.A. 10—Development of fermented food products assisted by ultrasound. In Design and Optimization of Innovative Food Processing Techniques Assisted by Ultrasound; Barba, F.J., Cravotto, G., Chemat, F., Rodriguez, J.M.L., Munekata, P.E.S., Eds.; Academic Press: Cambridge, MA, USA, 2021; pp. 275–298. [Google Scholar] [CrossRef]
- Zhang, S.; Chen, J.; Pang, X.; Lu, J.; Yue, M.; Liu, L.; Lv, J. Pilot scale production of micellar casein concentrate using stainless steel membrane. Int. Dairy J. 2018, 80, 26–34. [Google Scholar] [CrossRef]
- Yang, B.; Zhang, S.; Pang, X.; Lu, J.; Wu, Z.; Yue, Y.; Wang, T.; Jiang, Z.; Lv, J. Separation of serum proteins and micellar casein from skim goat milk by pilot-scale 0.05-μm pore-sized ceramic membrane at 50 °C. J. Food Process Eng. 2019, 43. [Google Scholar] [CrossRef]
- Song, B.; Zhang, Y.; Lu, J.; Pang, X.; Wei, M.; Zheng, S.; Zhang, M.; Zhang, S.; Lv, J. Effect of different diafiltration process on the protein fractionation of skim milk by cross flow microfiltration. LWT 2021, 152, 112330. [Google Scholar] [CrossRef]
- McCarthy, N.A.; Kelly, P.M.; Maher, P.G.; Fenelon, M.A. Dissolution of milk protein concentrate (MPC) powders by ultrasonication. J. Food Eng. 2014, 126, 142–148. [Google Scholar] [CrossRef]
- Nazari, B.; Mohammadifar, M.A.; Shojaee-Aliabadi, S.; Feizollahi, E.; Mirmoghtadaie, L. Effect of ultrasound treatments on functional properties and structure of millet protein concentrate. Ultrason. Sonochem. 2018, 41, 382–388. [Google Scholar] [CrossRef] [Green Version]
- Rostami, B.; Morini, G.L. Experimental characterization of a micro cross-junction as generator of Newtonian and non-Newtonian droplets in silicone oil flow at low Capillary numbers. Exp. Therm. Fluid Sci. 2019, 103, 191–200. [Google Scholar] [CrossRef]
- Nassar, K.S.; Lu, J.; Pang, X.; Ragab, E.S.; Yue, Y.; Obaroakpo, U.J.; Gebreyowhans, S.; Hussain, N.; Bayou, Y.; Zhang, S.; et al. The functionality of micellar casein produced from retentate caprine milk treated by HP. J. Food Eng. 2021, 288, 110144. [Google Scholar] [CrossRef]
- Yanjun, S.; Jianhang, C.; Shuwen, Z.; Hongjuan, L.; Jing, L.; Lu, L.; Uluko, H.; Yanling, S.; Wenming, C.; Wupeng, G.; et al. Effect of power ultrasound pre-treatment on the physical and functional properties of reconstituted milk protein concentrate. J. Food Eng. 2014, 124, 11–18. [Google Scholar] [CrossRef]
- Fan, Y.; Peng, G.; Pang, X.; Wen, Z.; Yi, J. Physicochemical, emulsifying, and interfacial properties of different whey protein aggregates obtained by thermal treatment. LWT 2021, 149, 111904. [Google Scholar] [CrossRef]
- Zhong, Z.; Xiong, Y.L. Thermosonication-induced structural changes and solution properties of mung bean protein. Ultrason. Sonochem. 2020, 62, 104908. [Google Scholar] [CrossRef]
- Chen, L.; Ettelaie, R.; Akhtar, M. Improved enzymatic accessibility of peanut protein isolate pre-treated using thermosonication. Food Hydrocoll. 2019, 93, 308–316. [Google Scholar] [CrossRef] [Green Version]
- Shanmugam, A.; Chandrapala, J.; Ashokkumar, M. The effect of ultrasound on the physical and functional properties of skim milk. Innov. Food Sci. Emerg. Technol. 2012, 16, 251–258. [Google Scholar] [CrossRef]
- Chandrapala, J.; Martin, G.J.O.; Zisu, B.; Kentish, S.E.; Ashokkumar, M. The effect of ultrasound on casein micelle integrity. J. Dairy Sci. 2012, 95, 6882–6890. [Google Scholar] [CrossRef] [Green Version]
- Nguyen, N.H.A.; Anema, S.G. Effect of ultrasonication on the properties of skim milk used in the formation of acid gels. Innov. Food Sci. Emerg. Technol. 2010, 11, 616–622. [Google Scholar] [CrossRef]
- Reitmaier, M.; Barbosa, B.; Sigler, S.; Heidebrecht, H.-J.; Kulozik, U. Impact of different aqueous phases on casein micelles: Kinetics of physicochemical changes under variation of water hardness and diafiltration conditions. Int. Dairy J. 2020, 109, 104776. [Google Scholar] [CrossRef]
- Supeno Kruus, P. Sonochemical formation of nitrate and nitrite in water. Ultrason. Sonochem. 2000, 7, 109–113. [Google Scholar] [CrossRef]
- Liu, Z.; Juliano, P.; Williams, R.P.W.; Niere, J.; Augustin, M.A. Ultrasound improves the renneting properties of milk. Ultrason. Sonochem. 2014, 21, 2131–2137. [Google Scholar] [CrossRef]
- Hong Bui, A.T.; Cozzolino, D.; Zisu, B.; Chandrapala, J. Infrared analysis of ultrasound treated milk systems with different levels of caseins, whey proteins and fat. Int. Dairy J. 2021, 117, 104983. [Google Scholar] [CrossRef]
- Deshpande, V.K.; Walsh, M.K. Effect of sonication on the viscosity of reconstituted skim milk powder and milk protein concentrate as influenced by solids concentration, temperature and sonication. Int. Dairy J. 2018, 78, 122–129. [Google Scholar] [CrossRef] [Green Version]
- Lo, B.; Gorczyca, E.; Kasapis, S.; Zisu, B. Effect of low-frequency ultrasound on the particle size, solubility and surface charge of reconstituted sodium caseinate. Ultrason. Sonochem. 2019, 58, 104525. [Google Scholar] [CrossRef]
- Tong, X.; Cao, J.; Tian, T.; Lyu, B.; Miao, L.; Lian, Z.; Cui, W.; Liu, S.; Wang, H.; Jiang, L. Changes in structure, rheological property and antioxidant activity of soy protein isolate fibrils by ultrasound pretreatment and EGCG. Food Hydrocoll. 2022, 122, 107084. [Google Scholar] [CrossRef]
- Dörner, P.; Schröder, W.; Klaas, M. Experimental quantification of oscillating flow in finite-length straight elastic vessels for Newtonian and non-Newtonian fluids. Eur. J. Mech.—B/Fluids 2021, 87, 180–195. [Google Scholar] [CrossRef]
- Dukhin, A.; Parlia, S.; Somasundaran, P. Rheology of non-Newtonian liquid mixtures and the role of molecular chain length. J. Colloid Interface Sci. 2020, 560, 492–501. [Google Scholar] [CrossRef] [PubMed]
- Martínez-Sanz, M.; Garrido-Fernández, A.; Mijlkovic, A.; Krona, A.; Martínez-Abad, A.; Coll-Marqués, J.M.; López-Rubio, A.; Lopez-Sanchez, P. Composition and rheological properties of microalgae suspensions: Impact of ultrasound processing. Algal Res. 2020, 49, 101960. [Google Scholar] [CrossRef]
- Raikos, V. Effect of heat treatment on milk protein functionality at emulsion interfaces. A review. Food Hydrocoll. 2010, 24, 259–265. [Google Scholar] [CrossRef]
- Xiong, T.; Ye, X.; Su, Y.; Chen, X.; Sun, H.; Li, B.; Chen, Y. Identification and quantification of proteins at adsorption layer of emulsion stabilized by pea protein isolates. Colloids Surf. B Biointerfaces 2018, 171, 1–9. [Google Scholar] [CrossRef]
- Andrews, D.R. Ultrasonics and Acoustics. In Encyclopedia of Physical Science and Technology, 3rd ed.; Meyers, R.A., Ed.; Academic Press: New York, NY, USA, 2003; pp. 269–287. [Google Scholar] [CrossRef]
- Holmes, M.J.; Povey, M.J.W. Ultrasonic Particle Sizing in Emulsions. Ultrasound Food Process. 2017, 27–64. [Google Scholar] [CrossRef]
- Ashraf, J.; Liu, L.; Awais, M.; Xiao, T.; Wang, L.; Zhou, X.; Tong, L.-T.; Zhou, S. Effect of thermosonication pre-treatment on mung bean (Vigna radiata) and white kidney bean (Phaseolus vulgaris) proteins: Enzymatic hydrolysis, cholesterol lowering activity and structural characterization. Ultrason. Sonochem. 2020, 66, 105121. [Google Scholar] [CrossRef]









| Temperature (°C) | Time (min) | End Temperature 1 (°C) | Energy Density (J/mL) | Zeta-Potential (mV) |
|---|---|---|---|---|
| Native 2 | 0 | - | 0 | −30.2 ± −1.3 a |
| uncontrol | 5 | 32 | 18 | −28.1 ± −1.1 a |
| 10 | 39 | 36 | −29.6 ± −1.7 a | |
| 15 | 47 | 54 | −28.9 ± −1.2 a | |
| 30 | 62 | 108 | −26.1 ± −0.6 ab | |
| 60 | 84 | 216 | −22.5 ± −0.4 c | |
| 20 °C | 5 | 20 | 18 | −28.5 ± −1.8 a |
| 10 | 21 | 36 | −25.3 ± −2.1 ab | |
| 15 | 20 | 54 | −23.2 ± −2.1 bc | |
| 30 | 20 | 108 | −21.4 ± −1.3 c | |
| 60 | 22 | 216 | −21.2 ± −0.8 c | |
| 50 °C | 5 | 49 | 18 | −28.8 ± −0.7 a |
| 10 | 50 | 36 | −26.6 ± −1.4 b | |
| 15 | 51 | 54 | −25.2 ± −1.4 ab | |
| 30 | 52 | 108 | −24.4 ± −0.3 b | |
| 60 | 52 | 216 | −24.2 ± −0.3 b |
| Temperature (°C) | Time (min) | Energy Density (J/mL) | EAI (%) | ES (%) |
|---|---|---|---|---|
| native | 0 | 0 | 28.6 ± 0.7 a | 74.5 ± 5.4 b |
| uncontrol | 5 | 18 | 28.8 ± 0.6 a | 73.9 ± 7.1 b |
| 10 | 36 | 30.9 ± 0.8 ab | 65.6 ± 4.6 a | |
| 15 | 54 | 34.3 ± 1.3 b | 71.2 ± 5.3 b | |
| 30 | 108 | 37.1 ± 2.4 c | 66.2 ± 2.1 a | |
| 60 | 216 | 33.9 ± 2.0 b | 74.1 ± 2.0 b | |
| 20 °C | 5 | 18 | 30.8 ± 4.2 ab | 75.0 ± 4.5 b |
| 10 | 36 | 34.4 ± 2.9 b | 82.2 ± 7.6 c | |
| 15 | 54 | 37.8 ± 0.9 c | 86.7 ± 6.8 c | |
| 30 | 108 | 42.3 ± 1.9 c | 87.1 ± 5.1 c | |
| 60 | 216 | 42.4 ± 2.5 c | 84.9 ± 1.7 c | |
| 50 °C | 5 | 18 | 26.9 ± 2.3 a | 78.6 ± 2.9 bc |
| 10 | 36 | 27.5 ± 3.2 a | 75.4 ± 2.2 b | |
| 15 | 54 | 28.5 ± 1.2 a | 77.2 ± 1.9 bc | |
| 30 | 108 | 28.8 ± 1.9 a | 76.8 ± 3.6 b | |
| 60 | 216 | 29.4 ± 2.0 a | 75.9 ± 4.0 b |
Publisher’s Note: MDPI stays neutral with regard to jurisdictional claims in published maps and institutional affiliations. |
© 2021 by the authors. Licensee MDPI, Basel, Switzerland. This article is an open access article distributed under the terms and conditions of the Creative Commons Attribution (CC BY) license (https://creativecommons.org/licenses/by/4.0/).
Share and Cite
Song, B.; Zhang, Y.; Yang, B.; Zhu, P.; Pang, X.; Xie, N.; Zhang, S.; Lv, J. Effect of Different Temperature-Controlled Ultrasound on the Physical and Functional Properties of Micellar Casein Concentrate. Foods 2021, 10, 2673. https://doi.org/10.3390/foods10112673
Song B, Zhang Y, Yang B, Zhu P, Pang X, Xie N, Zhang S, Lv J. Effect of Different Temperature-Controlled Ultrasound on the Physical and Functional Properties of Micellar Casein Concentrate. Foods. 2021; 10(11):2673. https://doi.org/10.3390/foods10112673
Chicago/Turabian StyleSong, Bong, Yumeng Zhang, Baojia Yang, Panpan Zhu, Xiaoyang Pang, Ning Xie, Shuwen Zhang, and Jiaping Lv. 2021. "Effect of Different Temperature-Controlled Ultrasound on the Physical and Functional Properties of Micellar Casein Concentrate" Foods 10, no. 11: 2673. https://doi.org/10.3390/foods10112673
APA StyleSong, B., Zhang, Y., Yang, B., Zhu, P., Pang, X., Xie, N., Zhang, S., & Lv, J. (2021). Effect of Different Temperature-Controlled Ultrasound on the Physical and Functional Properties of Micellar Casein Concentrate. Foods, 10(11), 2673. https://doi.org/10.3390/foods10112673

