Thermo-Oxidation of Phytosterol Molecules in Rapeseed Oil during Heating: The Impact of Unsaturation Level of the Oil
Abstract
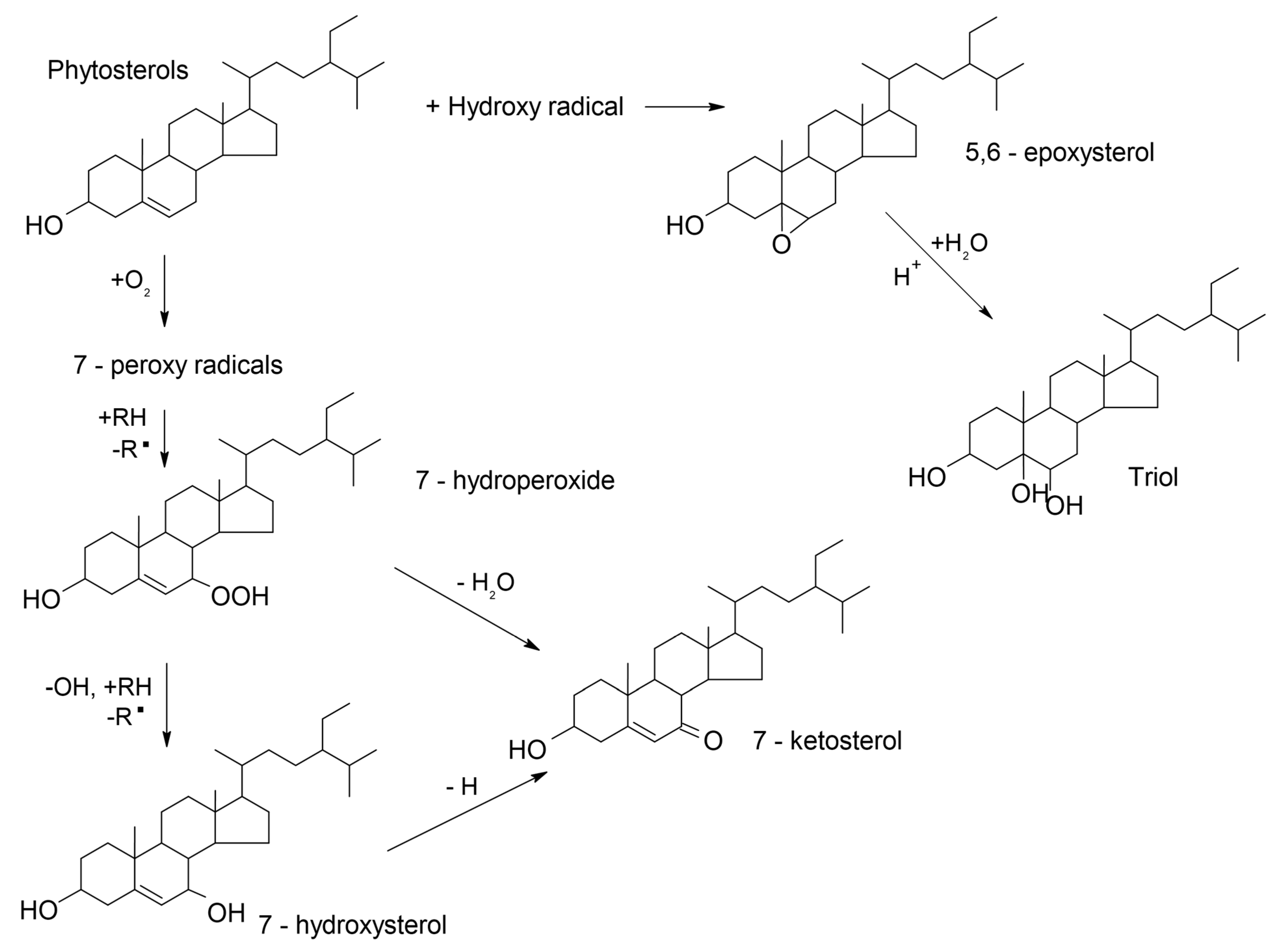
1. Introduction
2. Materials and Methods
2.1. Materials
2.2. Heating Process
2.3. Phytosterol Content
2.4. Phytosterol Oxidation Products (POPs) Content
2.5. Peroxide Value
2.6. Anisidine Value
2.7. Acid Value
2.8. Total Polar Compounds
2.9. Iodine Value
2.10. Tocopherol Content
2.11. Fatty Acid Composition
2.12. Statistical Analysis
3. Results and Discussion
3.1. Chemical Composition of Not Heated Rapeseed Oil
3.2. Phytosterols Contents in Rapeseed Oil
3.3. Phytosterols Oxidation Products (POP) Contents in Rapeseed Oil
3.4. Principal Component Analysis (PCA)
4. Conclusions
Author Contributions
Funding
Institutional Review Board Statement
Data Availability Statement
Conflicts of Interest
References
- Saguy, I.S.; Dana, D. Integrated approach to deep fat frying: Engineering, nutrition, health and consumer aspects. J. Food Eng. 2003, 56, 143–152. [Google Scholar] [CrossRef]
- Alvis, A.; Vélez, C.; Rada-Mendoza, M.; Villamiel, M.; Villada, H.S. Heat transfer coefficient during deep-fat frying. Food Control 2009, 20, 321–325. [Google Scholar] [CrossRef]
- Bansal, G.; Zhou, W.; Barlow, P.J.; Lo, H.-L.; Neo, F.-L. Performance of palm olein in repeated deep frying and controlled heating processes. Food Chem. 2010, 121, 338–347. [Google Scholar] [CrossRef]
- Karakaya, S.; Şimşek, Ş. Changes in Total Polar Compounds, Peroxide Value, Total Phenols and Antioxidant Activity of Various Oils Used in Deep Fat Frying. J. Am. Oil Chem. Soc. 2011, 88, 1361–1366. [Google Scholar] [CrossRef]
- Crosa, M.J.; Skerl, V.; Cadenazzi, M.; Olazábal, L.; Silva, R.; Suburú, G.; Torres, M. Changes produced in oils during vacuum and traditional frying of potato chips. Food Chem. 2014, 146, 603–607. [Google Scholar] [CrossRef] [PubMed]
- Juárez, M.D.; Osawa, C.C.; Acuña, M.E.; Sammán, N.; Gonçalves, L.A.G. Degradation in soybean oil, sunflower oil and partially hydrogenated fats after food frying, monitored by conventional and unconventional methods. Food Control 2011, 22, 1920–1927. [Google Scholar] [CrossRef]
- Zhang, Q.; Saleh, A.S.M.; Chen, J.; Shen, Q. Chemical alterations taken place during deep-fat frying based on certain reaction products: A review. Chem. Phys. Lipids 2012, 165, 662–681. [Google Scholar] [CrossRef]
- İnanç, T.; Maskan, M. Testing the Antioxidant Effect of Essential Oils and BHT on Corn Oil at Frying Temperatures: A Response Surface Methodology. J. Am. Oil Chem. Soc. 2013, 90, 1845–1850. [Google Scholar] [CrossRef]
- Tabee, E.; Azadmard-Damirchi, S.; Jägerstad, M.; Dutta, P.C. Effects of α-Tocopherol on Oxidative Stability and Phytosterol Oxidation During Heating in Some Regular and High-Oleic Vegetable Oils. J. Am. Oil Chem. Soc. 2008, 85, 857–867. [Google Scholar] [CrossRef]
- Choe, E. Interaction of Light and Temperature on Tocopherols During Oxidation of Sunflower Oil. J. Am. Oil Chem. Soc. 2013, 90, 1851–1857. [Google Scholar] [CrossRef]
- Raczyk, M.; Kmiecik, D.; Schieberle, P.; Przybylski, R.; Jeleń, H.; Rudzińska, M. Model studies on the formation of volatile compounds generated by a thermal treatment of steryl esters with different fatty acid moieties. Food Res. Int. 2017, 97, 87–94. [Google Scholar] [CrossRef] [PubMed]
- Kmiecik, D.; Fedko, M.; Siger, A.; Kulczyński, B. Degradation of tocopherol molecules and its impact on the polymerization of triacylglycerols during heat treatment of oil. Molecules 2019, 24, 4555. [Google Scholar] [CrossRef] [PubMed]
- Bacchetti, T.; Masciangelo, S.; Bicchiega, V.; Bertoli, E.; Ferretti, G. Phytosterols, phytostanols and their esters: From natural to functional foods. Med. J. Nutr. Metab. 2011, 4, 165–172. [Google Scholar] [CrossRef]
- Tabee, E.; Jägerstad, M.; Dutta, P.C. Lipids and phytosterol oxidation products in commercial potato crisps commonly consumed in Sweden. Eur. Food Res. Technol. 2008, 227, 745–755. [Google Scholar] [CrossRef]
- García-Llatas, G.; Rodríguez-Estrada, M.T. Current and new insights on phytosterol oxides in plant sterol-enriched food. Chem. Phys. Lipids 2011, 164, 607–624. [Google Scholar] [CrossRef] [PubMed]
- Rudzińska, M.; Przybylski, R.; Wąsowicz, E. Degradation of phytosterols during storage of enriched margarines. Food Chem. 2014, 142, 294–298. [Google Scholar] [CrossRef] [PubMed]
- Oehrl, D.L.; Boyd, L.C. Biological effects and safety aspects of phytosterol oxides. In Phytosterols as Functional Foods Components and Nutraceuticals; Dutta, P.C., Ed.; Marcel Dekker Inc.: New York, NY, USA, 2004; pp. 419–430. [Google Scholar]
- Soupas, L. Oxidative Stability of Phytosterols in Food Models and Foods. Ph.D. Thesis, University of Helsinki, Helsinki, Finland, 2006. [Google Scholar]
- Johnsson, L. Phytosterol oxidation products. Formation, analysis and occurrence. Ph.D. Thesis, Swedish University of Agricultural Sciences, Uppsala, Sweden, 2004. [Google Scholar]
- Winkler, J.K.; Warner, K.; Glynn, M.T. Effect of deep-fat frying on phytosterol content in oils with differing fatty acid composition. J. Am. Oil Chem. Soc. 2007, 84, 1023–1030. [Google Scholar] [CrossRef]
- Przybylski, R.; Gruczynska, E.; Aladedunye, F. Performance of regular and modified canola and soybean oils in rotational frying. J. Am. Oil Chem. Soc. 2013, 90, 1271–1280. [Google Scholar] [CrossRef]
- Naz, S.; Sherazi, S.T.H.; Talpur, F.N. Changes of total tocopherol and tocopherol species during sunflower oil processing. JAOCS J. Am. Oil Chem. Soc. 2011, 88, 127–132. [Google Scholar] [CrossRef]
- Rudzińska, M.; Korczak, J.; Gramza, A.; Wąsowicz, E.; Dutta, P.C. Inhibition of stigmasterol oxidation by antioxidants in purified sunflower oil. J. AOAC Int. 2004, 87, 499–504. [Google Scholar] [CrossRef]
- Kmiecik, D.; Korczak, J.; Rudzińska, M.; Kobus-Cisowska, J.; Gramza-Michałowska, A.; Hęś, M. β-Sitosterol and campesterol stabilisation by natural and synthetic antioxidants during heating. Food Chem. 2011, 128, 937–942. [Google Scholar] [CrossRef]
- Kmiecik, D.; Korczak, J.; Rudzińska, M.; Gramza-Michałowska, A.; Hęś, M.; Kobus-Cisowska, J. Stabilisation of phytosterols by natural and synthetic antioxidants in high temperature conditions. Food Chem. 2015, 173, 966–971. [Google Scholar] [CrossRef] [PubMed]
- Raczyk, M.; Kmiecik, D.; Przybylski, R.; Rudzińska, M. Effect of fatty acid unsaturation on phytosteryl ester degradation. J. Am. Oil Chem. Soc. 2017, 94, 701–711. [Google Scholar] [CrossRef] [PubMed]
- Polish Committee of Standardization International standard PN-EN ISO 3960:2017-03. Animal and Vegetable Fats and Oils—Determination of Peroxide Value; Polish Committee for Standardization: Warsaw, Poland, 2012. [Google Scholar]
- Polish Committee of Standardization International standard PN-EN ISO 6885:2016-04. Animal and Vegetable Fats and Oils—Determination of Anisidine Value; Polish Committee for Standardization: Warsaw, Poland, 2008. [Google Scholar]
- Polish Committee of Standardization International standard PN-EN ISO 660:2010. Animal and Vegetable Fats and Oils—Determination of Acid Value and Acidity; Polish Committee for Standardization: Warsaw, Poland, 2010. [Google Scholar]
- AOCS. AOCS Official Method 982.27. Polar Components in Frying Fats, 6th ed.; American Oil Chemists’ Society: Champaign, IL, USA, 2009. [Google Scholar]
- AOCS. AOCS Official Method Cd 1c-85. Calculated Iodine Value, 6th ed.; American Oil Chemists’ Society: Champaign, IL, USA, 2009. [Google Scholar]
- Siger, A.; Michalak, M.; Rudzińska, M. Canolol, tocopherols, plastochromanol-8, and phytosterols content in residual oil extracted from rapeseed expeller cake obtained from roasted seed. Eur. J. Lipid Sci. Technol. 2016, 118, 1358–1367. [Google Scholar] [CrossRef]
- AOCS. AOCS Official Method Ce 1h-05. Determination of cis-, trans-, Saturated, Monounsaturated and Polyunsaturated Fatty Acids in Vegetable or Non-Ruminant Animal Oils and Fats by Capillary GLC, 6th ed.; American Oil Chemists’ Society: Champaign, IL, USA, 2009. [Google Scholar]
- Karabulut, I.; Kayahan, M.; Yaprak, S. Determination of changes in some physical and chemical properties of soybean oil during hydrogenation. Food Chem. 2003, 81, 453–456. [Google Scholar] [CrossRef]
- Oehrl, L.; Hansen, A.P.; Rohrer, C.A.; Fenner, G.P.; Boyd, L.C. Oxidation of phytosterols in a test food system. J. Am. Oil Chem. Soc. 2001, 78, 1073–1078. [Google Scholar] [CrossRef]
- Soupas, L.; Huikko, L.; Lampi, A.; Piironen, V. Pan-frying may induce phytosterol oxidation. Food Chem. 2007, 101, 286–297. [Google Scholar] [CrossRef]
- Rossi, M.; Alamprese, C.; Ratti, S. Tocopherols and tocotrienols as free radical-scavengers in refined vegetable oils and their stability during deep-fat frying. Food Chem. 2007, 102, 812–817. [Google Scholar] [CrossRef]
- White, P.J.; Armstrong, L.S. Effect of selected oat sterols on the deterioration of heated soybean oil. J. Am. Oil Chem. Soc. 1986, 63, 525–529. [Google Scholar] [CrossRef]
- Singh, A. Sitosterol as an antioxidant in frying oils. Food Chem. 2013, 137, 62–67. [Google Scholar] [CrossRef]
- Phillips, K.M.; Ruggio, D.M.; Toivo, J.I.; Swank, M.A.; Simpkins, A.H. Free and Esterified Sterol Composition of Edible Oils and Fats. J. Food Compos. Anal. 2002, 15, 123–142. [Google Scholar] [CrossRef]
- Smith, L. Cholesterol Autoxidation; Plenum Press: New York, NY, USA, 1981. [Google Scholar]
- Rudzińska, M.; Przybylski, R.; Wąsowicz, E. Products formed during thermo-oxidative degradation of phytosterols. JAOCS J. Am. Oil Chem. Soc. 2009, 86, 651–662. [Google Scholar] [CrossRef]

| Pressed Oil | Refined Oil | Partially Hydrogenated Oil (IV = 90) | Partially Hydrogenated Oil (IV = 79) | |
|---|---|---|---|---|
| Peroxide value (mEq O2/kg) | 1.00 ± 0.15 a,* | 0.19 ± 0.04 b | 0.20 ± 0.03 b | 0.11 ± 0.02 c |
| Anisidine value | 0.08 ± 0.00 a | 0.26 ± 0.01 b | 5.59 ± 0.22 c | 4.00 ± 0.23 d |
| Acid value (mg KOH/g) | 2.31 ± 0.27 a | 0.15 ± 0.03 b | 0.28 ± 0.03 c | 0.18 ± 0.02 b |
| Total polar components (TPC) (%) | 8.5 ± 1.32 a | 1.5 ± 0.39 b | 7.1 ± 0.62 a | 6.4 ± 1.38 c |
| Iodine value (g I2/100 g of oil) | 118 ± 2.76 a | 118 ± 1.16 a | 90 ± 1.15 b | 79 ± 1.46 c |
| Tocopherols (mg/100 g) | ||||
| α-T | 34.44 ± 0.17 a | 30.54 ± 0.46 b | 27.10 ± 0.41 c | 15.21 ± 0.36 d |
| ᵝ-T | 0.30 ± 0.03 a | 0.14 ± 0.01 b | 0.13 ± 0.02 b | 0.05 ± 0.02 c |
| ᵧ-T | 39.53 ± 0.35 a | 33.57 ± 0.47 b | 31.20 ± 0.65 b | 18.71 ± 0.37 c |
| δ-T | 0.91 ± 0.04 a | 0.67 ± 0.05 a | 0.88 ± 0.17 a | 0.52 ± 0.03 b |
| Total | 75.19 ± 0.31 a | 64.93 ± 0.99 b | 59.32 ± 0.96 c | 34.49 ± 0.38 d |
| Fatty acid composition (%) | ||||
| 16:0 | 4.39 ± 0.04 a | 4.45 ± 0.02 a | 4.77 ± 0.29 a | 5.66 ± 0.69 b |
| 16:1 | 0.21 ± 0.00 a | 0.22 ± 0.01 a | 0.08 ± 0.03 b | 0.08 ± 0.11 b |
| 18:0 | 1.69 ± 0.03 a | 1.70 ± 0.03 a | 4.25 ± 0.24 b | 11.36 ± 0.85 c |
| 18:1 cis | 60.43 ± 0.11 a | 60.13 ± 0.32 a | 53.93 ± 2.47 b | 39.93 ± 1.18 c |
| 18:1 trans | nd ** | nd | 24.63 ± 2.63 a | 33.15 ± 1.16 b |
| 18:2 cis | 18.93 ± 0.10 a | 19.32 ± 0.39 a | 1.00 ± 0.32 b | 0.77 ± 0.06 b |
| 18:2 trans | nd | 0.03 ± 0.00 a | 7.51 ± 1.80 b | 5.01 ± 0.54 c |
| 18:3 cis | 12.24 ± 0.12 a | 11.51 ± 0.07 a | 1.03 ± 0.32 b | 0.60 ± 0.05 b |
| 18:3 trans | 0.02 ± 0.00 a | 0.53 ± 0.08 b | 1.67 ± 0.13 c | 1.29 ± 0.12 d |
| 20:0 | 0.58 ± 0.03 a | 0.58 ± 0.02 a | 0.09 ± 0.00 b | 0.86 ± 0.04 c |
| 22:0 | 0.31 ± 0.02 a | 0.33 ± 0.01 a | 0.36 ± 0.01 a | 0.61 ± 0.04 b |
| 22:1 | 1.20 ± 0.20 a | 1.20 ± 0.14 a | 0.69 ± 0.18 b | 0.67 ± 0.08 b |
| Type of Oil | Heating Time | Brassicasterol | Campesterol | Stigmasterol | β-Sitosterol | Avenasterol | Total |
|---|---|---|---|---|---|---|---|
| (h) | (mg/g) | ||||||
| Pressed | Unheated | 0.84 ± 0.07 a,* | 2.69 ± 0.19 a | 0.36 ± 0.00 a | 3.62 ± 0.43 a | 1.57 ± 0.02 a | 9.09 ± 0.35 a |
| 24 | 0.83 ± 0.06 a | 2.49 ± 0.26 ab | 0.29 ± 0.02 ab | 3.36 ± 0.60 a | 1.11 ± 0.01 a | 8.09 ± 0.64 b | |
| 48 | 0.78 ± 0.08 a | 2.32 ± 0.27 b | 0.21 ± 0.01 b | 2.52 ± 0.76 b | 1.03 ± 0.04 a | 6.86 ± 0.75 c | |
| Refined | Unheated | 0.70 ± 0.07 a | 2.25 ± 0.15 a | 0.03 ± 0.01 a | 2.98 ± 0.22 a | 0.29 ± 0.03 a | 6.24 ± 0.43 a |
| 24 | 0.55 ± 0.06 b | 1.82 ± 0.25 b | 0.02 ± 0.00 ab | 2.39 ± 0.26 b | 0.22 ± 0.03 b | 5.01 ± 0.59 b | |
| 48 | 0.46 ± 0.07 c | 1.50 ± 0.22 c | 0.02 ± 0.00 b | 2.05 ± 0.27 c | 0.18 ± 0.03 b | 4.22 ± 0.57 c | |
| Partially hydrogenated IV = 90 | Unheated | 0.48 ± 0.10 a | 1.38 ± 0.27 a | 0.32 ± 0.01 a | 2.31 ± 0.76 a | 0.69 ± 0.06 a | 5.11 ± 0.49 a |
| 24 | 0.47 ± 0.11 a | 1.32 ± 0.15 a | 0.22 ± 0.00 a | 2.24 ± 0.17 a | 0.40 ± 0.06 b | 4.72 ± 0.33 a | |
| 48 | 0.37 ± 0.10 a | 1.17 ± 0.27 a | 0.20 ± 0.02 a | 1.97 ± 0.28 a | 0.32 ± 0.03 b | 4.03 ± 0.51 a | |
| Partially hydrogenated IV = 79 | Unheated | 0.45 ± 0.06 a | 1.41 ± 0.18 a | 0.04 ± 0.01 a | 2.11 ± 0.20 a | 0.13 ± 0.08 a | 4.14 ± 0.31 a |
| 24 | 0.31 ± 0.07 b | 1.00 ± 0.24 b | 0.03 ± 0.01 ab | 1.56 ± 0.27 b | 0.05 ± 0.07 ab | 2.95 ± 0.43 b | |
| 48 | 0.25 ± 0.04 c | 0.75 ± 0.05 c | 0.02 ± 0.02 b | 1.19 ± 0.12 c | 0.03 ± 0.06 b | 2.23 ± 0.14 c | |
| Type of Oil | Heating Time | 7α-OH | 7β-OH | 5α,6α-Epoxy | 5β,6β-Epoxy | Triol | 7-keto | Total |
|---|---|---|---|---|---|---|---|---|
| (h) | (μg/g) | |||||||
| Pressed | Unheated | 36.70 ± 1.06 a,* | 34.15 ± 0.99 a | 3.52 ± 0.10 a | 27.69 ± 0.80 a | nd ** | 26.12 ± 0.75 a | 128.18 ± 3.70 a |
| 24 | 43.28 ± 4.14 a | 66.77 ± 1.26 b | 7.63 ± 1.24 a | 71.46 ± 5.51 b | 4.96 ± 0.17 a | 26.42 ± 1.12 a | 220.53 ± 17.09 b | |
| 48 | 61.20 ± 1.91 b | 88.54 ± 2.90 c | 167.83 ± 5.11 b | 193.81 ± 2.06 c | 26.29 ± 2.88 b | 69.73 ± 1.21 b | 607.40 ± 7.85 c | |
| Refined | Unheated | 29.45 ± 1.86 a | 54.23 ± 5.67 a | 14.33 ± 1.31 a | 21.40 ± 0.14 a | 7.90 ± 0.22 a | 39.29 ± 2.54 a | 166.60 ± 6.66 a |
| 24 | 60.68 ± 1.77 b | 95.62 ± 3.35 b | 34.26 ± 1.42 b | 86.15 ± 0.01 b | 11.64 ± 1.02 ab | 91.78 ± 2.49 b | 380.13 ± 0.20 b | |
| 48 | 79.68 ± 2.69 c | 130.95 ± 1.84 c | 69.04 ± 2.33 c | 113.69 ± 0.99 c | 15.01 ± 1.21 b | 111.39 ± 3.77 c | 519.77 ± 8.43 c | |
| Partially hydrogenated IV = 90 | Unheated | 18.38 ± 0.65 a | 51.31 ± 0.02 a | 13.81 ± 2.05 a | 13.13 ± 1.10 a | nd | 15.70 ± 1.80 a | 112.33 ± 0.22 a |
| 24 | 77.43 ± 1.48 b | 82.20 ± 1.79 b | 19.83 ± 2.07 a | 87.25 ± 7.98 b | 5.40 ± 0.35 a | 26.90 ± 1.76 b | 299.01 ± 7.90 b | |
| 48 | 111.09 ± 3.66 c | 118.64 ± 1.03 c | 39.15 ± 2.51 a | 106.14 ± 3.26 c | 40.54 ± 3.26 b | 56.13 ± 2.93 c | 471.69 ± 7.96 c | |
| Partially hydrogenated IV = 79 | Unheated | 29.42 ± 1.78 a | 23.94 ± 1.53 c | 0.90 ± 0.07 a | 33.41 ± 2.49 a | nd | 8.03 ± 0.60 a | 95.71 ± 3.40 a |
| 24 | 37.86 ± 3.19 b | 59.83 ± 6.72 b | 37.18 ± 1.15 b | 42.92 ± 0.90 b | 3.90 ± 0.48 a | 70.20 ± 2.05 b | 251.89 ± 10.74 b | |
| 48 | 91.68 ± 0.89 c | 139.34 ± 1.35 c | 43.86 ± 1.95 c | 84.55 ± 1.07 c | 8.45 ± 0.76 b | 83.42 ± 0.81 c | 451.29 ± 4.67 c | |
| Type of Oil | Heating Time | 7α-OH | 7β-OH | 5α,6α-Epoxy | 5β,6β-Epoxy | Triol | 7-Keto | Total |
|---|---|---|---|---|---|---|---|---|
| (h) | (μg/g) | |||||||
| Pressed | Unheated | 22.76 ± 0.66 a,* | 11.09 ± 0.32 a | 7.89 ± 0.23 a | 4.92 ± 0.14 a | nd ** | nd | 46.66 ± 1.35 a |
| 24 | 23.55 ± 4.72 a | 26.75 ± 1.05 b | 20.39 ± 1.80 b | 27.02 ± 1.72 b | 7.67 ± 0.12 a | 17.66 ± 0.92 b | 123.04 ± 2.18 b | |
| 48 | 50.13 ± 4.99 b | 47.57 ± 2.86 c | 48.13 ± 4.26 c | 76.72 ± 5.64 c | 18.35 ± 0.01 b | 68.23 ± 3.30 b | 309.13 ± 3.80 c | |
| Refined | Unheated | 15.08 ± 0.95 a | 10.05 ± 0.99 a | 10.11 ± 0.41 a | 16.90 ± 1.02 a | 3.41 ± 0.57 a | 15.71 ± 0.55 a | 71.26 ± 0.21 a |
| 24 | 25.66 ± 0.59 b | 34.46 ± 1.72 b | 11.91 ± 0.75 a | 26.28 ± 0.44 b | 2.34 ± 0.34 b | 37.00 ± 1.71 b | 137.65 ± 2.81 b | |
| 48 | 37.22 ± 0.20 c | 48.10 ± 0.27 c | 43.61 ± 2.71 b | 69.51 ± 1.79 c | 10.73 ± 0.36 c | 45.71 ± 3.55 c | 254.87 ± 5.30 c | |
| Partially hydrogenated IV = 90 | Unheated | 9.67 ± 0.82 a | 11.71 ± 1.33 a | 4.80 ± 0.78 a | 5.73 ± 0.52 a | 2.90 ± 0.51 a | 7.90 ± 0.91 a | 42.71 ± 3.31 a |
| 24 | 26.93 ± 0.24 b | 33.71 ± 1.75 b | 12.28 ± 0.72 b | 11.31 ± 1.08 b | 25.20 ± 3.45 b | 30.53 ± 2.80 b | 139.96 ± 3.02 b | |
| 48 | 40.31 ± 0.81 c | 77.58 ± 1.80 c | 21.87 ± 1.20 c | 29.01 ± 1.26 c | 41.90 ± 1.60 c | 48.17 ± 5.32 c | 258.84 ± 5.21 c | |
| Partially hydrogenated IV = 79 | Unheated | 16.65 ± 1.89 a | 24.77 ± 1.84 a | 15.62 ± 1.16 a | 17.97 ± 1.34 a | 1.10 ± 0.08 a | 0.67 ± 0.05 a | 76.77 ± 2.59 a |
| 24 | 24.68 ± 2.81 a | 35.12 ± 2.15 a | 20.93 ± 2.03 a | 27.58 ± 1.17 b | 16.10 ± 1.18 b | 42.43 ± 2.36 b | 166.85 ± 6.50 b | |
| 48 | 94.26 ± 1.23 b | 137.45 ± 3.92 b | 41.96 ± 0.41 b | 43.89 ± 0.42 c | 43.89 ± 0.42 c | 61.03 ± 0.31 c | 422.50 ± 3.58 c | |
| Type of oil | Heating Time | 7α-OH | 7β-OH | 5α,6α-epoxy | 5β,6β-epoxy | Triol | 7-keto | Total |
|---|---|---|---|---|---|---|---|---|
| (h) | (μg/g) | |||||||
| Pressed | Unheated | nd ** | nd | nd | nd | nd | nd | nd |
| 24 | 11.82 ± 0.55 a,* | 2.65 ± 0.04 a | nd | nd | nd | nd | 14.47 ± 0.59 a | |
| 48 | 25.67 ± 0.02 b | 16.13 ± 0.20 b | nd | nd | nd | nd | 41.81 ± 2.02 b | |
| Refined | Unheated | 6.07 ± 0.62 a | nd | 1.30 ± 0.42 a | 2.69 ± 0.00 a | 2.14 ± 0.31 a | 4.95 ± 0.51 a | 17.15 ± 0.85 a |
| 24 | 8.06 ± 0.08 b | 8.02 ± 0.57 a | 2.60 ± 0.05 a | 3.12 ± 0.13 a | 2.63 ± 0.18 a | 6.59 ± 0.38 b | 31.02 ± 0.95 b | |
| 48 | 17.65 ± 0.45 c | 15.04 ± 0.51 b | 12.89 ± 0.44 b | 15.96 ± 0.54 b | 7.83 ± 0.43 b | 9.06 ± 0.09 c | 78.43 ± 2.45 c | |
| Partially hydrogenated IV = 90 | Unheated | 1.98 ± 0.04 a | nd | nd | nd | nd | nd | 1.98 ± 0.01 a |
| 24 | 9.33 ± 1.42 b | 12.33 ± 1.33 a | 21.43 ± 1.79 a | 36.97 ± 2.11 a | 11.19 ± 1.72 a | 4.32 ± 0.47 a | 95.58 ± 5.74 b | |
| 48 | 15.92 ± 0.56 c | 17.87 ± 0.33 b | 27.43 ± 0.94 b | 41.11 ± 4.50 a | 18.52 ± 0.98 b | 7.92 ± 0.81 b | 128.76 ± 6.20 c | |
| Partially hydrogenated IV = 79 | Unheated | 4.13 ± 0.31 a | 4.20 ± 0.31 a | 1.12 ± 0.08 a | 1.17 ± 0.09 a | nd | nd | 10.62 ± 0.79 a |
| 24 | 6.15 ± 0.15 b | 7.08 ± 0.76 a | 3.93 ± 0.42 b | 7.84 ± 0.07 b | 2.74 ± 0.40 a | 0.57 ± 0.07 a | 28.31 ± 1.58 b | |
| 48 | 10.24 ± 0.71 c | 11.19 ± 1.48 b | 11.90 ± 0.11 c | 10.64 ± 0.10 c | 5.52 ± 0.38 b | 2.63 ± 0.03 b | 52.11 ± 1.57 c | |
Publisher’s Note: MDPI stays neutral with regard to jurisdictional claims in published maps and institutional affiliations. |
© 2020 by the authors. Licensee MDPI, Basel, Switzerland. This article is an open access article distributed under the terms and conditions of the Creative Commons Attribution (CC BY) license (http://creativecommons.org/licenses/by/4.0/).
Share and Cite
Kmiecik, D.; Fedko, M.; Rudzińska, M.; Siger, A.; Gramza-Michałowska, A.; Kobus-Cisowska, J. Thermo-Oxidation of Phytosterol Molecules in Rapeseed Oil during Heating: The Impact of Unsaturation Level of the Oil. Foods 2021, 10, 50. https://doi.org/10.3390/foods10010050
Kmiecik D, Fedko M, Rudzińska M, Siger A, Gramza-Michałowska A, Kobus-Cisowska J. Thermo-Oxidation of Phytosterol Molecules in Rapeseed Oil during Heating: The Impact of Unsaturation Level of the Oil. Foods. 2021; 10(1):50. https://doi.org/10.3390/foods10010050
Chicago/Turabian StyleKmiecik, Dominik, Monika Fedko, Magdalena Rudzińska, Aleksander Siger, Anna Gramza-Michałowska, and Joanna Kobus-Cisowska. 2021. "Thermo-Oxidation of Phytosterol Molecules in Rapeseed Oil during Heating: The Impact of Unsaturation Level of the Oil" Foods 10, no. 1: 50. https://doi.org/10.3390/foods10010050
APA StyleKmiecik, D., Fedko, M., Rudzińska, M., Siger, A., Gramza-Michałowska, A., & Kobus-Cisowska, J. (2021). Thermo-Oxidation of Phytosterol Molecules in Rapeseed Oil during Heating: The Impact of Unsaturation Level of the Oil. Foods, 10(1), 50. https://doi.org/10.3390/foods10010050

