Biodrying of the Light Fraction from Anaerobic Digestion Pretreatment in Order to Increase the Total Recovery Rate
Abstract
1. Introduction
2. Materials and Methods
2.1. LF Characteristics and Sampling
2.2. Experimental Equipment
2.3. Data Acquisition and Samples Analysis
3. Results and Discussion
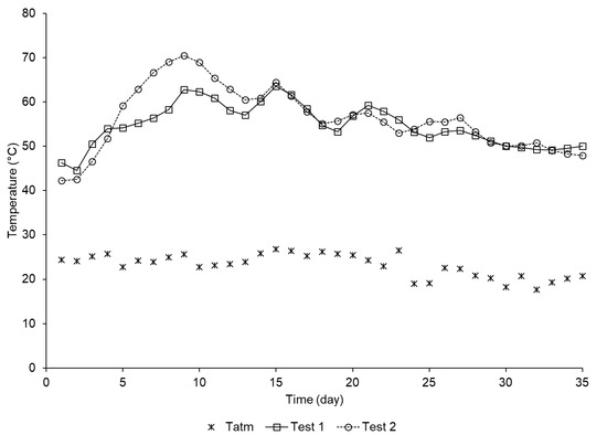
3.1. Biodrying Temperature Evolution
3.2. Moisture, VS and Volume Reduction
3.3. pH and C:N Ratio
3.4. Biological Stability
3.5. Lower Heating Value
4. Conclusions
Author Contributions
Funding
Acknowledgments
Conflicts of Interest
References
- European Union. A Sustainable Bioeconomy for Europe: Strengthening the Connection between Economy, Society and the Environment: Updated Bioeconomy Strategy. Available online: https://op.europa.eu:443/en/publication-detail/-/publication/edace3e3-e189-11e8-b690-01aa75ed71a1/language-en (accessed on 6 February 2020).
- Baldi, F.; Pecorini, I.; Iannelli, R. Comparison of single-stage and two-stage anaerobic co-digestion of food waste and activated sludge for hydrogen and methane production. Renew. Energy 2019, 143, 1755–1765. [Google Scholar] [CrossRef]
- EUR-Lex -31999L0031 –EN. Available online: https://eur-lex.europa.eu/legal-content/EN/TXT/HTML/?uri=CELEX:31999L0031&from=EN (accessed on 6 February 2020).
- Scaglia, B.; Salati, S.; Di Gregorio, A.; Carrera, A.; Tambone, F.; Adani, F. Short mechanical biological treatment of municipal solid waste allows landfill impact reduction saving waste energy content. Bioresour. Technol. 2013, 143, 131–138. [Google Scholar] [CrossRef] [PubMed]
- Pognani, M.; Barrena, R.; Font, X.; Scaglia, B.; Adani, F.; Sánchez, A. Monitoring the organic matter properties in a combined anaerobic/aerobic full-scale municipal source-separated waste treatment plant. Bioresour. Technol. 2010, 101, 6873–6877. [Google Scholar] [CrossRef] [PubMed]
- Municipal Waste Statistics -Statistics Explained. Available online: https://ec.europa.eu/eurostat/statistics-explained/index.php/Municipal_waste_statistics (accessed on 6 February 2020).
- Mata-Alvarez, J.; Macé, S.; Llabrés, P. Anaerobic digestion of organic solid wastes. An overview of research achievements and perspectives. Bioresour. Technol. 2000, 74, 3–16. [Google Scholar] [CrossRef]
- Francini, G.; Lombardi, L.; Freire, F.; Pecorini, I.; Marques, P. Environmental and Cost Life Cycle Analysis of Different Recovery Processes of Organic Fraction of Municipal Solid Waste and Sewage Sludge. Waste Biomass Valorization 2019, 10, 3613–3634. [Google Scholar] [CrossRef]
- Drennan, M.F.; DiStefano, T.D. Characterization of the curing process from high-solids anaerobic digestion. Bioresour. Technol. 2010, 101, 537–544. [Google Scholar] [CrossRef]
- He, P.; Zhao, L.; Zheng, W.; Wu, D.; Shao, L. Energy Balance of a Biodrying Process for Organic Wastes of High Moisture Content: A Review. Dry. Technol. 2013, 31, 132–145. [Google Scholar] [CrossRef]
- Winkler, M.-K.H.; Bennenbroek, M.H.; Horstink, F.H.; van Loosdrecht, M.C.M.; van de Pol, G.-J. The biodrying concept: An innovative technology creating energy from sewage sludge. Bioresour. Technol. 2013, 147, 124–129. [Google Scholar] [CrossRef]
- Colomer-Mendoza, F.J.; Herrera-Prats, L.; Robles-Martínez, F.; Gallardo-Izquierdo, A.; Piña-Guzmán, A.B. Effect of airflow on biodrying of gardening wastes in reactors. J. Environ. Sci. 2013, 25, 865–872. [Google Scholar] [CrossRef]
- Velis, C.A.; Longhurst, P.J.; Drew, G.H.; Smith, R.; Pollard, S.J.T. Biodrying for mechanical–biological treatment of wastes: A review of process science and engineering. Bioresour. Technol. 2009, 100, 2747–2761. [Google Scholar] [CrossRef]
- Adani, F. The influence of biomass temperature on biostabilization–biodrying of municipal solid waste. Bioresour. Technol. 2002, 83, 173–179. [Google Scholar] [CrossRef]
- Sugni, M.; Calcaterra, E.; Adani, F. Biostabilization-biodrying of municipal solid waste by inverting air-flow. Bioresour. Technol. 2005, 96, 1331–1337. [Google Scholar] [CrossRef] [PubMed]
- Tambone, F.; Scaglia, B.; Scotti, S.; Adani, F. Effects of biodrying process on municipal solid waste properties. Bioresour. Technol. 2011, 102, 7443–7450. [Google Scholar] [CrossRef] [PubMed]
- Slezak, R.; Krzystek, L.; Ledakowicz, S. Biological drying of municipal solid waste from landfill. Dry. Technol. 2020, 38, 189–199. [Google Scholar] [CrossRef]
- Navaee-Ardeh, S.; Bertrand, F.; Stuart, P.R. Key variables analysis of a novel continuous biodrying process for drying mixed sludge. Bioresour. Technol. 2010, 101, 3379–3387. [Google Scholar] [CrossRef]
- Cai, L.; Chen, T.-B.; Gao, D.; Zheng, G.-D.; Liu, H.-T.; Pan, T.-H. Influence of forced air volume on water evaporation during sewage sludge bio-drying. Water Res. 2013, 47, 4767–4773. [Google Scholar] [CrossRef]
- Huiliñir, C.; Villegas, M. Biodrying of pulp and paper secondary sludge: Kinetics of volatile solids biodegradation. Bioresour. Technol. 2014, 157, 206–213. [Google Scholar] [CrossRef]
- Sharara, M.A.; Sadaka, S.; Costello, T.A.; VanDevender, K. Influence of Aeration Rate on the Physio-Chemical Characteristics of Biodried Dairy Manure -Wheat Straw Mixture. Appl. Eng. Agric. 2012, 28, 407–415. [Google Scholar] [CrossRef]
- Bioconversion of waste (water)/residues to bioplastics- A circular bioeconomy approach. Bioresour. Technol. 2020, 298, 122584. [CrossRef]
- Zhang, D.-Q.; He, P.-J.; Jin, T.-F.; Shao, L.-M. Bio-drying of municipal solid waste with high water content by aeration procedures regulation and inoculation. Bioresour. Technol. 2008, 99, 8796–8802. [Google Scholar] [CrossRef]
- Gómez, R.B.; Lima, F.V.; Ferrer, A.S. The use of respiration indices in the composting process: A review. Waste Manag. Res. 2006, 24, 37–47. [Google Scholar] [CrossRef]
- Pecorini, I.; Iannelli, R. Characterization of excavated waste of different ages in view of multiple resource recovery in a landfill mining. Sustainability (Switz.) 2020, 12, 1780. [Google Scholar] [CrossRef]
- Hemidat, S.; Saidan, M.; Al-Zu’bi, S.; Irshidat, M.; Nassour, A.; Nelles, M. Potential Utilization of RDF as an Alternative Fuel for the Cement Industry in Jordan. Sustainability 2019, 11, 5819. [Google Scholar] [CrossRef]
- AMPA 2001. Available online: http://www.isprambiente.gov.it/it/pubblicazioni/manuali-e-linee-guida/metodi-di-analisi-del-compost (accessed on 27 February 2020).
- Barrington, S. Effect of carbon source on compost nitrogen and carbon losses. Bioresour. Technol. 2002, 83, 189–194. [Google Scholar] [CrossRef]
- Gazzetta Ufficiale. Available online: https://www.gazzettaufficiale.it/atto/serie_generale/caricaDettaglioAtto/originario?atto.dataPubblicazioneGazzetta=1989-08-23&atto.codiceRedazionale=089A3532&elenco30giorni=false (accessed on 7 February 2020).
- Adani, F.; Ubbiali, C.; Generini, P. The determination of biological stability of composts using the Dynamic Respiration Index: The results of experience after two years. Waste Manag. 2006, 26, 41–48. [Google Scholar] [CrossRef]
- Cossu, R.; Raga, R. Test methods for assessing the biological stability of biodegradable waste. Waste Manag. 2008, 28, 381–388. [Google Scholar] [CrossRef]
- Pecorini, I.; Baldi, F.; Iannelli, R. Biochemical hydrogen potential tests using different inocula. Sustainability (Switz.) 2019, 11, 622. [Google Scholar] [CrossRef]
- Pecorini, I.; Olivieri, T.; Bacchi, D.; Paradisi, A.; Lombardi, L.; Corti, A.; Carnevale, E. Evaluation of Gas Production in a Industrial Anaerobic Digester by Means of Biochemical Methane Potential of Organic Municipal Solid Waste Components. In Proceedings of the 25th International Conference on Efficiency, Cost, Optimization, Simulation and Environmental Impact of Energy Systems, Perugia, Italy, 26–29 June 2012; Volume 5, pp. 173–184. [Google Scholar]
- Pecorini, I.; Baldi, F.; Carnevale, E.A.; Corti, A. Biochemical methane potential tests of different autoclaved and microwaved lignocellulosic organic fractions of municipal solid waste. Waste Manag. 2016, 56, 143–150. [Google Scholar] [CrossRef]
- Baldi, F.; Iannelli, R.; Pecorini, I.; Polettini, A.; Pomi, R.; Rossi, A. Influence of the pH control strategy and reactor volume on batch fermentative hydrogen production from the organic fraction of municipal solid waste. Waste Manag. Res. 2019, 37, 478–485. [Google Scholar] [CrossRef]
- Zhao, L.; Gu, W.-M.; He, P.-J.; Shao, L.-M. Effect of air-flow rate and turning frequency on bio-drying of dewatered sludge. Water Res. 2010, 44, 6144–6152. [Google Scholar] [CrossRef]
- Zawadzka, A.; Krzystek, L.; Stolarek, P.; Ledakowicz, S. Biodrying of Organic Fraction of Municipal Solid Wastes. Dry. Technol. 2010, 28, 1220–1226. [Google Scholar] [CrossRef]
- Abdullahi, Y.A.; Akunna, J.C.; White, N.A.; Hallett, P.D.; Wheatley, R. Investigating the effects of anaerobic and aerobic post-treatment on quality and stability of organic fraction of municipal solid waste as soil amendment. Bioresour. Technol. 2008, 99, 8631–8636. [Google Scholar] [CrossRef] [PubMed]
- UNI EN 15359:2011. Available online: http://store.uni.com/catalogo/uni-en-15359-2011?josso_back_to=http://store.uni.com/josso-security-check.php&josso_cmd=login_optional&josso_partnerapp_host=store.uni.com (accessed on 6 February 2020).






| Test Days | Airflow Rates | TS | VS | pH | C/N | |
|---|---|---|---|---|---|---|
| (L h−1 kg dw−1) | (% w/w) | (% w/dw) | (% w/w) | |||
| Initial | 0 | - | 48.49 ± 1.98 | 90.95 ± 3.51 | 4.47 | 21.4 |
| Test 1 | 0–7 | 24.9 | 51.51 | 91.95 | 6.38 | |
| 7–14 | 24.9 | 64.04 | 92.88 | 7.77 | ||
| 14–21 | 18.6 | 65.45 | 91.09 | 7.84 | ||
| 21–28 | 12.4 | 60.87 | 92.39 | 7.53 | ||
| 28–35 | 0.0 | 88.92 ± 5.75 | 89.03 ± 4.80 | 7.55 | 10.8 | |
| Test 2 | 0–7 | 28.5 | 47.76 | 94.18 | 6.49 | |
| 7–14 | 28.5 | 43.70 | 89.44 | 8.68 | ||
| 14–21 | 21.4 | 82.56 | 89.39 | 7.41 | ||
| 21–28 | 14.2 | 75.76 | 86.63 | 8.50 | ||
| 28–35 | 0.0 | 79.97 ± 13.12 | 80.25 ± 5.48 | 7.51 | 15.8 |
| Material Fraction | LF Initial | LF Final (Test 1) | ||||
|---|---|---|---|---|---|---|
| Composition | TS | Composition | % | TS | Composition | |
| (% w/w) | (% w/w) | (% w/dw) | (w/w) | (% w/w) | (% w/dw) | |
| Plastics | 4 | 71.36 | 6 | 7 | 76.08 | 8 |
| Compostable plastic | 17 | 70.85 | 24 | 19 | 69.31 | 20 |
| Compostable fraction | 51 | 42.31 | 43 | 24 | 65.93 | 24 |
| Non-compostable fraction | - | - | - | 9 | 76.34 | 11 |
| Textiles | 6 | 52.47 | 6 | 6 | 61.22 | 6 |
| Fine fraction (<10 mm) | 22 | 48.24 | 21 | 35 | 58.03 | 31 |
© 2020 by the authors. Licensee MDPI, Basel, Switzerland. This article is an open access article distributed under the terms and conditions of the Creative Commons Attribution (CC BY) license (http://creativecommons.org/licenses/by/4.0/).
Share and Cite
Pecorini, I.; Bacchi, D.; Iannelli, R. Biodrying of the Light Fraction from Anaerobic Digestion Pretreatment in Order to Increase the Total Recovery Rate. Processes 2020, 8, 276. https://doi.org/10.3390/pr8030276
Pecorini I, Bacchi D, Iannelli R. Biodrying of the Light Fraction from Anaerobic Digestion Pretreatment in Order to Increase the Total Recovery Rate. Processes. 2020; 8(3):276. https://doi.org/10.3390/pr8030276
Chicago/Turabian StylePecorini, Isabella, Donata Bacchi, and Renato Iannelli. 2020. "Biodrying of the Light Fraction from Anaerobic Digestion Pretreatment in Order to Increase the Total Recovery Rate" Processes 8, no. 3: 276. https://doi.org/10.3390/pr8030276
APA StylePecorini, I., Bacchi, D., & Iannelli, R. (2020). Biodrying of the Light Fraction from Anaerobic Digestion Pretreatment in Order to Increase the Total Recovery Rate. Processes, 8(3), 276. https://doi.org/10.3390/pr8030276

