Abstract
Thermal management of lithium-ion batteries is crucial for enhancing the performance and safety of electric vehicles. This study proposes a novel liquid cooling plate featuring gradually varied circular notched fins (GV-CNF) to improve the thermal management of a commercial LiFePO4 battery. The results indicate that GV-CNF provides a more uniform temperature distribution, a lower Ta, and a reduced ∆P compared to circular fins under identical conditions, leading to a 41.1% improvement in the comprehensive performance evaluation indicator (TP). Notably, the value of TP increases with the height of the coolant channel; however, when the channel height exceeds 4 mm, the change in TP value becomes minimal. Afterward, further studies were conducted to investigate the effects of different inlet–outlet configurations on the cooling performance. The single-inlet, dual-outlet configuration (Type III) for the liquid cooling plate not only reduces the Ta value but also exhibits the lowest ∆P and a smaller high-temperature region. Additionally, when the outlet spacing (L) is 81 mm, the lowest Ta recorded is 27.87 °C, and the ∆P is 3.13 Pa, indicating that this is the best outlet spacing. Additionally, comparative analysis of GV-CNF with serpentine-channel and circular-fin cooling structures reveals that the GV-CNF design effectively reduces the maximum temperature of the battery module, minimizes localized heat accumulation, and maintains low energy consumption, demonstrating superior overall thermal performance.
1. Introduction
Lithium-ion batteries are the predominant battery type employed in electric vehicles [1]. As the primary power source for electric vehicles, these batteries exhibit significant sensitivity to temperature fluctuations. In high-temperature environments, they are prone to thermal runaway, which can lead to a series of safety issues, including short circuits, combustion, and explosions [2]. To address the problem of spontaneous ignition during rapid charge and discharge cycles, particularly under high discharge rates, a well-designed thermal management system for batteries can effectively regulate the maximum operating temperature and reduce the temperature differential among battery cells. This enhancement in thermal management is crucial for improving the safety of electric vehicles and plays a crucial role in their advancement.
Cooling methods commonly used in Battery Thermal Management Systems (BTMS) include air cooling, liquid cooling, phase change material cooling, heat pipe cooling, and hybrid cooling approaches [3]. Liquid cooling has emerged as the mainstream BTMS due to its superior heat dissipation capabilities. This method is utilized in various vehicle models, including those from Tesla and Volkswagen [4]. The design of the channel structure within the liquid cooling plates is critical in determining the thermal performance of the liquid cooling BTMS. Li et al. [5] conducted a study on a rectangular channel liquid cooling thermal management system for a battery module composed of 14 lithium iron phosphate batteries. The research investigated the impact of various factors on the heat dissipation performance of the liquid cooling system, including different thermal conductive surfaces, the number of inlet channels, the direction of coolant flow, and varying mass flow rates. Xie et al. [6] designed a simple liquid cooling system consisting of only two liquid cooling plates. The S-shaped structure of the cooling plates is positioned beneath the battery module for effective heat dissipation. The study investigated the effects of coolant inlet velocity, channel width, and various S-shaped channel configurations on the cooling performance. Ding et al. [7] investigated a liquid cooling system featuring different coolant channel designs, comparing circular and rectangular channels. The results indicated that the heat dissipation capability of rectangular channels surpasses that of circular channels. Furthermore, optimal cooling performance for the battery pack was achieved when the channel aspect ratio was set at 5:1. Alvarez et al. [8] proposed a serrated channel heat exchanger, which demonstrated a 4.1-fold increase in Nusselt number under laminar flow compared to straight channels. Within the Reynolds number range of 1299 to 8313, the diffusion-bonded heat exchanger with serrated channels exhibited an average heat transfer enhancement of 2.2 times, showing significant advantages in heat transfer performance. Khan et al. [9] not only evaluated the cooling performance of straight, wavy, and double-wavy microchannel heat exchangers but also investigated the effect of nanoparticle concentration in the coolant on the thermal performance of wavy heat exchangers. Zeng et al. [10] designed a reciprocating flow liquid cooling thermal management system, wherein the direction of coolant flow is controlled by an electromagnetic valve. This approach effectively reduces temperature differentials within the battery while simultaneously conserving energy.
To further enhance the heat absorption capacity of liquid cooling plates, Xiong et al. [11] investigated the addition of various pin fin shapes within the liquid cooling channels and optimized the fin arrangement for optimal performance. Aldosry et al. [12] studied a copper radiator with inclined fins for electric vehicles, examining the heat transfer characteristics of the inclined fins under different liquid coolants. Zhao et al. [13] analyzed the impact of non-uniform fin arrangements on battery temperature control, improving the temperature uniformity, power consumption, and weight performance of heat dissipation plates. Xie et al. [14] added flow dividers to straight-channel liquid cooling plates to control temperature differences across the battery, enhancing cooling performance, although excessive dividers increased system power consumption. Zhao et al. [15] designed a liquid cooling plate with a honeycomb structure, increasing the heat exchange area by adding hexagonal aluminum blocks, and studied the coolant flow direction in the battery cooling module. They found that reversing the coolant flow between adjacent cooling plates improved the thermal uniformity of the battery module. Abdulhaleem et al. [16] proposed three different cold plate designs—arc, converging-diverging, and variable-width channels—and added various pin fin shapes, significantly improving heat transfer in liquid cooling plates. Mubashir et al. [17] introduced a lightweight liquid cooling plate with hollow circular fins, optimizing the structure based on maximum battery temperature, system power consumption, and mass. Compared to traditional cooling structures, performance was enhanced across multiple aspects. Guo et al. [18] studied the effects of square, circular, and elliptical fins on the cooling performance of liquid cooling plates, finding that square fins offered the best cooling performance but with the highest pressure drop. Elliptical fins provided the lowest pressure drop but the poorest cooling, while circular fins balanced heat transfer and pressure loss, making them the best overall choice for BTMS.
Despite extensive research on liquid cooling strategies for battery thermal management, several limitations remain unresolved. Many studies primarily focus on optimizing channel or fin geometries to enhance heat dissipation performance, yet they often overlook the effects of coolant flow uniformity and system pressure drop. Moreover, conventional designs typically employ uniform channels and fin structures, while the potential benefits of gradually varied fin geometries have not been comprehensively explored. In addition, the layout of coolant inlets and outlets significantly influences thermal performance, but existing studies rarely conduct a systematic analysis of their impact on cooling uniformity and energy efficiency.
To bridge these research gaps, this study proposes a circular notched fin (CNF) and a novel pin-fin liquid cooling plate incorporating gradually varied circular notched fins (GV-CNF) to enhance heat dissipation efficiency while minimizing excessive pressure loss. Initially, the influence of CNF on flow characteristics and thermal performance within the liquid cooling plate is systematically analyzed. Subsequently, the effects of varying fin lengths and liquid cooling channel heights on thermal behavior are investigated under different coolant flow rates. Additionally, five distinct inlet–outlet configurations are proposed to identify the optimal layout for the gradually varied pin-fin liquid cooling plate (GVCNF-LCP), followed by an optimization of outlet spacing to improve coolant flow distribution and overall system efficiency. Furthermore, this study extends the analysis to battery module cooling performance, demonstrating that the proposed GV-CNF liquid cooling plate effectively reduces the peak temperature of the battery module, mitigates localized heat accumulation, and maintains relatively low energy consumption.
2. Model and Methods
2.1. Initial Model
The battery cooling module consists of lithium iron phosphate (LiFePO4) batteries and liquid cooling plates arranged alternately, with the largest battery surface serving as the contact interface for efficient heat transfer. To optimize computational resources, a single liquid cooling plate is selected as the computational unit for structural design and analysis. The battery-generated heat is applied as a heat flux at the battery–cooling plate interface, and the average temperature of the cooling plate is used as an indicator of the battery’s thermal condition. The cooling plate dimensions match the length and width of the battery, with a thickness of 6 mm. Initially, the coolant channels are designed as smooth passages with a height of 4 mm. The module configuration and heat transfer mechanism are illustrated in Figure 1, while the detailed parameters of the initial liquid cooling plate design are provided in Table 1.
Figure 1.
Battery module and heat transfer mechanism.
Table 1.
Initial liquid cold plate structural parameters.
2.2. Assumptions and Numerical Model
This study uses ANSYS Fluent (version 2022R1) for numerical simulations to investigate the temperature variations and fluid flow changes in a battery thermal management system during operation. The following assumptions are made:
- (1)
- The liquid cooling plate and internal battery materials are homogeneous and isotropic, with uniform thermal conductivity in all directions that remains constant with temperature.
- (2)
- Radiative heat transfer between components of the BTMS is neglected.
- (3)
- The coolant is considered an incompressible fluid, and the effects of gravity and viscous dissipation are ignored.
- (4)
- The thermal contact resistance (TCR) between the battery and the liquid cooling plate is minimal. Therefore, in numerical simulations, this negligible contact resistance is reasonably omitted to simplify the model [19,20].
Based on the assumptions mentioned above, the continuity, momentum, and energy equations governing heat transfer and fluid flow are as follows [20,21]:
- (1)
- Continuity equation
In the above formula: is the velocity vector, in , refers to time, in , and is the density ().
- (2)
- Momentum equation
- (3)
- Energy equation
The energy equation governing heat transfer in the liquid cooling plate is given by Equation (4):
is the density of the liquid cold plate, is the specific heat capacity of the liquid cold plate, in , and is the thermal conductivity of the liquid cold plate, in .
In this study, water is chosen as the coolant for the BTMS, and aluminum is selected as the material for the liquid cooling plate. Relevant parameters are provided in Table 2.
Table 2.
Physical properties of selected material.
2.3. Boundary Conditions and Solution Model
- (1)
- Boundary conditions
In the numerical simulations, the coolant temperature at the inlet of the liquid cooling plate is consistent with both the initial model temperature and the ambient temperature, all set at 25 °C. The coolant flow velocity ranges between 0.05 and 0.2 m/s, and the coolant outlet is specified as a pressure outlet. The surface of the battery shell and the surface of the liquid cooling plate are exposed to the ambient environment and undergo natural convection heat transfer with the surrounding air, with a heat transfer coefficient of 5 [22]. The battery is considered a constant heat source, operating at a discharge rate of 2C, with the heat generation rate of an individual battery cell set to 22,029 and the heat flux at the bottom surface of the liquid cooling plate set to 660.9 [23].
- (2)
- Solution model
The liquid cooling plate has a relatively large cross-sectional area and a low coolant flow rate. According to the calculations using Equation (8), the maximum Reynolds number is 950.5, which is below the standard critical Reynolds number of 2300. Therefore, the laminar flow model is selected for solving the momentum conservation equations in the flow field. However, after modifications to the cooling plate fin structure, the coolant flow may become turbulent at certain flow rates, making the laminar model inadequate for solving the momentum conservation equation. To ensure computational accuracy, an additional turbulence model is introduced, which provides higher accuracy for low Reynolds number flows and near-wall boundary layer effects, offering reliable results in both laminar and transitional flow regimes. Therefore, this model serves as an alternative approach when the laminar model becomes inadequate.
In Fluent, the numerical model is solved using the finite volume method for discretizing the governing equations. The discretization scheme is second-order upwind, and the pressure-based solver is employed for solving the governing equations, with the solution method employing the SIMPLE algorithm.
2.4. Evaluation Indicators
The assessment criteria comprise the average temperature of the liquid cooling plate, fluid pressure drop, Nusselt number, and the comprehensive performance evaluation indicator TP [24]. The TP indicator accounts for both the average temperature and pressure drop of the liquid cooling plate, providing a balanced assessment of cooling performance and pump energy consumption. By integrating these factors, TP serves as a crucial metric for optimizing the thermal management system’s efficiency and overall performance.
Average temperature (Ta) is defined as follows:
In Equation (5), T represents the local temperature at a specific point on the inner wall surface of the liquid cooling plate, in °C, A is the inner surface area of the liquid cooling plate, in m2, and refers to an infinitesimal area element, in m2.
Fluid pressure drop ():
Wherein is the cold plate inlet pressure and is the cold plate outlet pressure.
The Nusselt number () is calculated as follows:
where is the convective heat transfer coefficient of the liquid cold plate; De is the hydraulic diameter; is the heat transfer coefficient of water; a and b are the coolant inlet’s dimensions, representing its length and width, respectively; and Ta and Tb refer to the average wall surface temperature of the liquid cooling plate and the average coolant temperature, respectively.
The Reynolds number Re is expressed as follows:
The Fanning friction coefficient is determined using the equation below:
The comprehensive evaluation indicators TP consider many factors, such as flow resistance, heat transfer capacity, and cooling medium flow rate, and their expression is as follows:
In Equation (10), and represent the Nusselt number and friction coefficient for the reference evaluation.
3. Model Validation and Fundamental Optimization
3.1. Model Verification
To ensure the accuracy of the computational model, the heat generation of a 72 Ah lithium battery under a discharge rate of 2C at an ambient temperature of 20 °C was calculated using the aforementioned model. During the numerical simulation, natural convection was assumed between the battery surface and the surrounding air, with a heat transfer coefficient set to 5 W/(m2·K). The discharge duration was set to 1800 s.
Experimental data were obtained using a dedicated testing platform, which primarily consists of a lithium battery charge–discharge system (TPXDF500A/100V), a temperature and humidity chamber (HS-225C), and an Agilent data acquisition system (34970A), as shown in Figure 2a. The voltage and current control accuracy of the charge–discharge equipment is ±0.1 F.S, while the temperature and humidity chamber maintains a temperature control accuracy of ±0.3 °C and a humidity control accuracy of ±0.15%. Temperature measurements were conducted using three T-type thermocouples, with data recorded by the Agilent 34970A data acquisition system. The measurement accuracy of the thermocouples is ±0.75% of the measured temperature. As illustrated in Figure 2b, the thermocouples were positioned at the battery’s positive terminal, negative terminal, and middle region. The experimental temperature was determined as the average of three measurement points [23]. To ensure consistency, the numerical simulation temperature was also obtained using the same averaging method. During the experiment, the ambient temperature was maintained at 20 °C with 0% relative humidity using the temperature and humidity chamber. The heat transfer between the battery surface and the surrounding air was set as natural convection.

Figure 2.
Experimental platform and distribution of temperature measurement points.
The experimental and simulation results are presented in Figure 3a. It can be observed that the temperature variation trends of the battery surface during the discharge process are generally consistent between the experimental measurements and the CFD simulation. The CFD model demonstrates good agreement with the experimental data. The error analysis between the simulation and experimental results is illustrated in Figure 3b, showing that the maximum temperature difference between the two approaches is 1.44 °C within 1800 s of 2C discharge, corresponding to a maximum error of 4.5%. Therefore, the CFD model employed in this study is deemed sufficiently accurate for subsequent calculations.
Figure 3.
Verification results.
3.2. Fundamental Optimization of Channel Structure
3.2.1. Optimization Design of Channel Structure
Simulation calculations reveal significant temperature discrepancies across the initial liquid cooling plates, resulting in poor heat absorption capacity [25]. Therefore, it is necessary to improve the cooling plate structure by replacing the initial smooth channel with a channel configuration incorporating 30 identically sized CNF, as illustrated in Figure 4.
Figure 4.
Circular notched fin structure.
To investigate the enhanced cooling fluid flow and heat transfer capabilities of improved cold plates, this study uses circular fins as the reference fins. This research begins with the transition process from circular fins to CNFs. The variation in fin length adheres to Equation (11).
The diameter D is 10 mm, and the range of R values varies from 0 to 10 mm. When R is 0 mm, the value of I is 10 mm, and the fin type is a circular fin. When R is 10 mm, I is 0 mm, resulting in a smooth channel without fins. Intermediate values represent different structures of CNF, as detailed in Table 3.
Table 3.
Parameters of various fin structure types.
3.2.2. Grid Independence Verification
To ensure the validity of the simulation calculations, a grid independence analysis was conducted using a circular finned liquid cooling plate as the subject. This study employed six different mesh schemes with grid counts of 137,702, 254,294, 618,909, 1,106,257, 1,527,862, and 2,185,480. The Ta and pressure loss of the cooling plate at an inlet flow rate of 0.05 m/s under different grid counts are illustrated in Figure 5a. It was observed that when the grid count exceeded 1,106,257, the variations in Ta and ∆P became relatively stable. Thus, a grid count of 1,106,257 was chosen to balance computational resource use and result accuracy. Figure 5b presents the internal mesh model of the computational unit.
Figure 5.
Grid independence verification.
3.2.3. Analysis of Flow and Heat Transfer Performance Under Optimized Structure
Figure 6 illustrates the average wall temperature, coolant pressure drop, and the comprehensive performance indicator TP under different fin types at an inlet flow rate of 0.05 m/s.
Figure 6.
Factors analysis for different CNFs.
As illustrated in Figure 6, as the value of I decreases, indicating a transition of the liquid cooling plate fins from circular to circular notched and eventually to smooth channels, the coolant’s pressure drop progressively diminishes. This is attributed to the reduction in the curved surface area in contact with the coolant during the transition, resulting in a weakened turbulence effect on the coolant flow. When I > 6.25 mm, the Ta, ∆P, and TP value remain nearly constant. Conversely, when I < 6.25 mm, the reduction in the arc-shaped surface in contact with the coolant results in decreased flow disturbance by the fins, causing Ta to rise while pressure loss and TP value decrease. Hence, setting the TP value of the initial smooth channel model to 1, it is observed that at I = 10 mm, the liquid cooling plate exhibits the lowest Ta of 28.02 °C, the highest ∆P of 2.90, and a TP value of 1.68. Compared to the initial model, Ta decreases by 0.66 °C, ∆P increases by 0.16 Pa, and the TP value improves by 68%.
The wall surface average temperature distributions of the liquid cooling plate at I = 0 mm (case 9), I = 5 mm (case 5), and I = 10 mm (case 1) are illustrated in Figure 7. Compared to the smooth channel, the CNF configuration results in a smaller high-temperature region and a larger mid-to-low-temperature region, indicating improved heat absorption capability.
Figure 7.
Temperature distribution at different fin lengths.
Figure 8a,b illustrates the flow velocity and pressure distribution within the fluid domain of the liquid cooling plate at I = 0 mm, I = 5 mm, and I = 10 mm. A comparative analysis reveals that the smooth channel cooling plate exhibits a larger region of low flow velocity for the coolant, whereas the CNF cooling plate demonstrates a smaller low flow velocity region with a more uniform flow distribution. This enhancement in flow uniformity is attributed to the disturbance caused by the fins, which generate secondary flow in directions distinct from the main flow of the coolant. Consequently, the CNF cooling plate exhibits a more extensive high-pressure zone, a more uniform pressure distribution, and reduced pressure losses.
Figure 8.
Velocity and pressure distribution diagrams at different fin lengths.
Figure 9a and Figure 9b show the flow velocity vector fields around the fins when CNF lengths are 10 mm and 5 mm, respectively. As the fluid flows over the fins, it is disturbed by the fin structure, accelerating along the curved surface. The boundary layer gradually separates due to the curvature changes on the fin surface, leading to the formation of local vortices behind the fin. Although the 5 mm CNF has a reduced heat exchange area due to the lack of a downstream curved surface compared to full circular fins, the vortices generated behind the shorter fins are relatively larger and the fluid residence time is longer. Consequently, the overall heat exchange with the liquid-cooled plate surface remains largely unchanged and Ta remains relatively constant.
Figure 9.
Flow velocity distribution around the fins: (a) I = 10 mm; (b) I = 5 mm.
4. Study on Gradually Varied Circular Notched Fin Liquid Cooling Plate
The gradually varied circular notched fin liquid cooling plate (GVCNF-LCP) is composed of three groups of CNFs with varying lengths, as illustrated in Figure 10. Each group consists of two rows of fins, with the length I1 of the fins in the first group being equal to the diameter D of the benchmark fins. The lengths of the fins in the subsequent two groups are I2 and I3, satisfying the relationship given by Equation (12).
Figure 10.
Geometric structure of the GVCNF-LCP.
4.1. Effect of Different Fin Diameters
The various fin diameter settings are listed in Table 4. In the investigation of the effect of different fin diameters on overall performance, the height of the cooling channels is maintained at 4 mm, while the other geometric dimensions and parameters remain consistent with those discussed previously.
Table 4.
Parameters for different fin diameters.
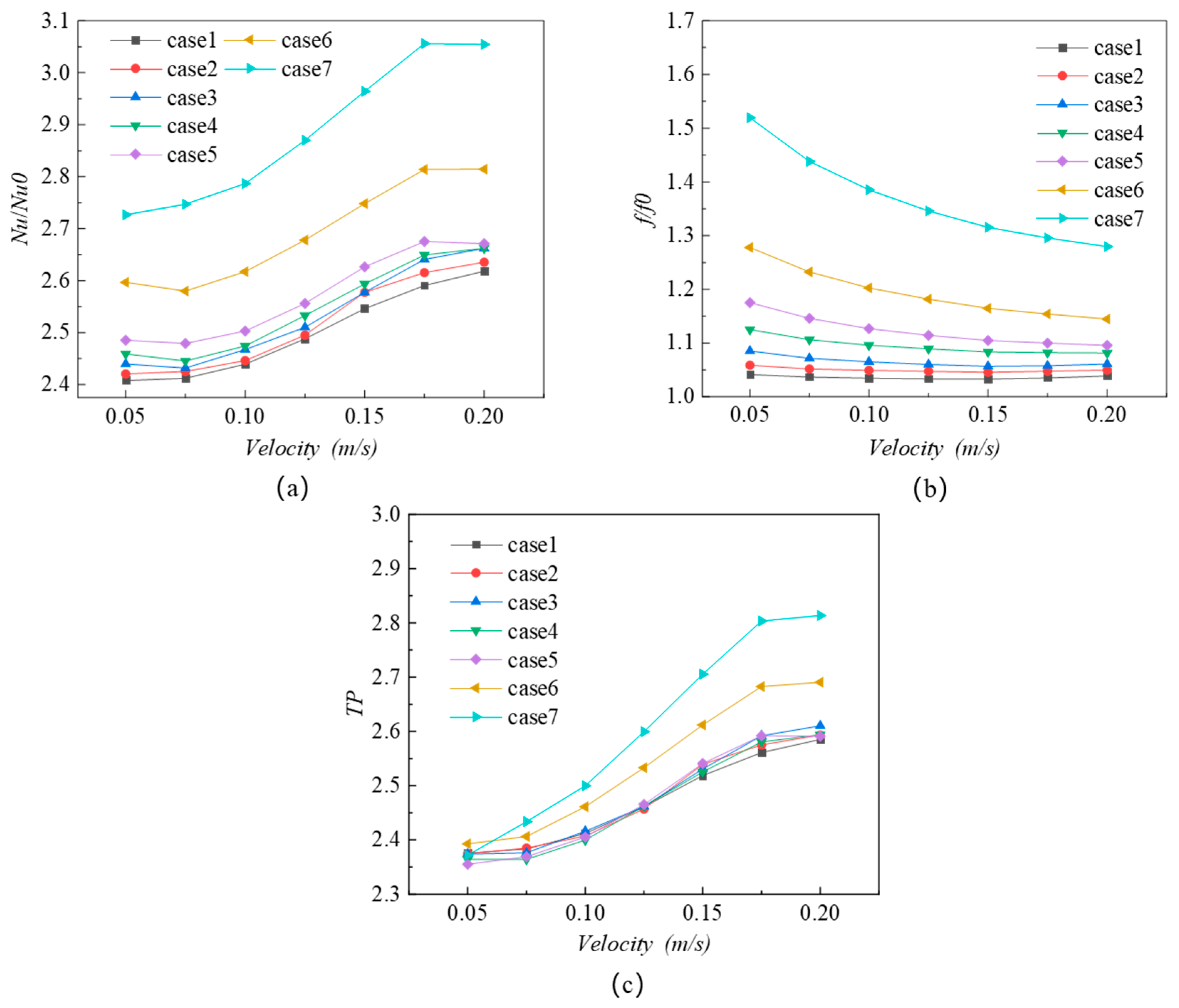
Through simulation, the Nusselt number and friction coefficient of the smooth channel were used as reference values, denoted as and , respectively. The variations in the Nusselt number ratio, friction coefficient ratio, and TP value at different flow velocities are illustrated in Figure 11a–c. As the fin diameter increases, both the Nusselt number ratio and friction coefficient ratio show a gradual rise, resulting in an overall increasing trend in the TP value. When the fin diameter is less than 18 mm, the changes in the Nusselt number ratio and friction coefficient ratio are minimal, resulting in only a slight increase in the TP value and limited improvement in the overall performance of the liquid cooling plate. However, when the fin diameter exceeds 18 mm, the Nusselt number ratio and friction coefficient ratio exhibit more pronounced changes, leading to a significant increase in the TP value and substantial enhancement of the liquid cooling plate’s overall performance.
Figure 11.
Variations of (a) , (b) , and (c) TP against different flow velocities.
At an inlet flow rate of 0.05 m/s, the TP value of the circular fin liquid cooling plate is 1.68, with a pressure drop of 2.90 Pa when the fin diameter is 10 mm. In contrast, the TP value of the GVCNF-LCP is 2.37, with a pressure drop of 2.86 Pa, resulting in an overall performance enhancement of 41%. As the fin diameter increases to 20 mm, the TP value of the GVCNF-LCP reaches its maximum of 2.39, indicating a performance improvement of 42.3% compared to the circular fins.
The comparison of temperature and flow velocity between circular fins and GV-CNF with different diameters is shown in Figure 12. The GVCNF-LCP exhibits a larger mid-to-low temperature region and a significantly reduced high-temperature area compared to the circular fin design while maintaining similar coolant flow trajectories. This indicates that the GV-CNF effectively improves the wall temperature uniformity while maintaining a comparable flow resistance to that of the circular fins. Additionally, as the diameter of the GV-CNF increases, Ta gradually decreases, the coolant flow area expands, and the flow velocity becomes more uniform, but the ∆P significantly increases.
Figure 12.
Temperature and flow velocity between circular fin and various diameter GV-CNF (V = 0.05 m/s).
4.2. Influence of Channel Height on Liquid Cooling Performance
Based on the previous computational analysis, in investigating the impact of channel height on the heat transfer and fluid flow performance of the heat exchanger, the diameter of fins is set at 20 mm, and the total thickness of the liquid cooling plate is 6 mm, with all other channel parameters remaining as previously specified. Four different liquid channel heights were established, as detailed in Table 5.
Table 5.
Different channel heights.
The results of the numerical simulations are illustrated in Figure 13. At a constant coolant flow rate, increasing the height of the liquid cooling channels leads to a decrease in the Ta of the cooling plate and a reduction in ∆P. For instance, at a coolant flow rate of 0.05 m/s, Ta is 30.41 °C and the ∆P is 7.64 Pa, with a channel height of 2 mm. When the channel height is increased to 5 mm, Ta decreases to 27.52 °C and ∆P reduces to 2.81 Pa. The difference in Ta between these two heights is 2.89 °C, while the difference in ∆P is 4.83 Pa.
Figure 13.
Variation in average temperature and pressure drop with different channel heights: (a) variation of average temperature; (b) variation of pressure drop.
As the coolant flow rate increases, the decreasing trend of Ta with increasing channel height gradually slows. Conversely, the reduction in ∆P with increasing channel height becomes more pronounced. For example, with a coolant flow velocity of 0.2 m/s, Ta is 26.54 °C and the ∆P is 56.06 Pa, with a channel height of 2 mm. At a channel height of 5 mm, the Ta is 26.08 °C and the ∆P is 29.06 Pa, resulting in a Ta difference of 0.46 °C and a ∆P difference of 27 Pa between the two heights. Thus, channel height design necessitates a balance between cooling performance and hydraulic power consumption.
As illustrated in Figure 13, when the inlet velocity exceeds 0.1 m/s, the variation trend of Ta gradually stabilizes, while ∆P increases sharply. This indicates that an inlet velocity of around 0.1 m/s is more appropriate. With increasing velocity, although the overall trends of Ta and ∆P remain consistent across the four different channel height designs, case 3 and case 4 exhibit significantly lower Ta and ∆P. Taking the 4 mm channel height as a reference, Figure 14 presents a comprehensive evaluation at an inlet velocity of 0.1 m/s. It can be observed that as the channel height increases, the Nusselt number ratio initially rises and then declines, while the friction coefficient ratio gradually decreases. The TP value follows an increasing trend with greater channel height, primarily due to reduced coolant flow resistance and an expanded heat transfer area. Additionally, as the wall thickness decreases, the thermal resistance of the liquid cooling plate is reduced, enhancing convective heat transfer and improving overall heat dissipation performance. However, when the channel height exceeds 4 mm, the TP value shows only minimal variation. This occurs because as the channel height continues to increase, the reduction in wall thickness reaches a threshold where its effect on thermal resistance diminishes. Furthermore, beyond 4 mm, the thermal boundary layer thickens, leading to greater heat accumulation within the boundary layer, thereby reducing heat transfer efficiency and causing the TP value to level off. Consequently, the optimal coolant channel height should be 4 mm or 5 mm to achieve balanced and effective thermal performance.
Figure 14.
Comprehensive evaluation of different channel heights (Velocity = 0.1 m/s).
4.3. Effect of Various Inlet and Outlet Configurations
In the aforementioned study, the fluid inlets and outlets are located along the central axis of the liquid cooling plate, with one inlet and one outlet, resulting in fluid primarily flowing around this axis. To assess the influence of different inlet and outlet configurations on fluid flow and heat transfer performance, five distinct layouts are proposed, as depicted in Figure 15. Type I (a) features a single inlet and outlet along the central axis, type II (b) consists of one inlet and one outlet positioned diagonally, type III (c) includes one inlet and two outlets, type IV (d) has two inlets and one outlet, and type V (e) comprises two inlets and two outlets. During the investigation, the flow velocity was set at 0.05 m/s, the thickness of the liquid cooling plate was 6 mm, the channel height was 4 mm, and the reference length of the turbulence fins was 20 mm.
Figure 15.
Schematic diagram of different inlet and outlet configurations: (a) type I; (b) type II; (c) type III; (d) type IV; (e) type V.
Figure 16 provides a comprehensive evaluation of the different inlet and outlet configurations. As the number of inlets increases, Ta decreases while ∆P significantly increases. The type I configuration exhibits the highest Ta, with a value of 27.88 °C, while the type IV configuration shows the lowest Ta at 26.70 °C. The maximum ∆P occurs in the type IV configuration, where ∆P is 5.88 Pa, whereas the type III configuration shows the lowest ∆P of 3.23 Pa. Therefore, the type I configuration is established as the baseline for comparison, with a TP value set to 1. Among the five configurations evaluated, the type IV arrangement exhibits the lowest average temperature of the heat transfer surface but incurs the highest pressure drop, resulting in the lowest TP value of 0.88. Conversely, under the type III configuration, the pressure loss is minimized, while the average temperature of the heat transfer surface is higher, yielding the maximum TP value of 1.11.
Figure 16.
Comprehensive evaluation of different inlet and outlet configurations.
Table 6 presents the temperature differences of the liquid cooling plate under different inlet and outlet configurations. The type IV and type V configurations exhibit the smallest temperature differences, measuring 2.26 °C and 2.36 °C, respectively, while the type II configuration shows the largest temperature difference of 4 °C. The temperature differences for the type I and type III configurations are 3.97 °C and 3.95 °C, respectively. Furthermore, the temperature and velocity distribution contours under different inlet and outlet configurations are illustrated in Figure 17. By combining the analysis of Table 6 with Figure 16 and Figure 17, it can be observed that although the type IV and type V configurations significantly reduce the wall temperature and maintain a lower temperature difference, their dual-inlet design results in excessive pressure loss compared to the other three configurations. Among the remaining three configurations, the type III configuration achieves a lower temperature difference than the type I and type II configurations while exhibiting the smallest pressure loss and the smallest high-temperature region among all five configurations, making it the most favorable option in terms of overall performance.
Table 6.
Temperature differences of the liquid cooling plate under different inlet and outlet configurations.
Figure 17.
Temperature and velocity distribution in different inlet and outlet configurations.
4.4. Influence of Spacing Between Two Outlets
Under the type III inlet and outlet configuration, this study investigates the effect of the export spacing (L) on the heat transfer and flow performance of the heat exchange cold plate (Figure 18). The spacing L is varied between 21 mm and 121 mm across six different configurations, with a spacing increment of 20 mm between each configuration. The coolant flow rate is maintained at 0.05 m/s.
Figure 18.
Schematic of variation in outlet spacing.
The computational results are presented in Figure 19. Both Ta and ∆P initially decrease and then increase as the spacing L increases. This indicates that both excessively small and large spacings are detrimental to the heat transfer and fluid flow within the cold plate. The TP value at an L value of 121 mm is set to 1. When the outlet spacing L is reduced to 81 mm, the average wall temperature decreases to 27.87 °C, with a pressure drop of 3.13 Pa, resulting in a TP value of 1.01, further improving the overall performance of the liquid cooling plate. As shown in the velocity comparison in Figure 20, adjusting the outlet spacing effectively improves the coolant flow distribution in the rear region of the liquid cooling plate.
Figure 19.
Comprehensive evaluation of different outlet spacings.
Figure 20.
Flow velocity graphic at different outlet spacings.
4.5. Influence of Different Cooling Structures on Battery Pack Thermal Management
Following an in-depth investigation of various structural factors affecting GVCNF-LCP, the optimized design of the liquid cooling plate has significantly improved its thermal dissipation performance. Additionally, the appropriate coolant flow rate, which contributes to system energy efficiency, has been determined. However, the thermal management of battery packs is inherently more complex. Notably, elevated operating temperatures can severely degrade battery performance. Maintaining the battery temperature within an optimal range is essential for maximizing performance, mitigating the risk of thermal runaway, and prolonging battery lifespan. Therefore, a cooling strategy utilizing the GVCNF-LCP with a type III inlet and outlet configuration and an outlet spacing of 81 mm was investigated under a thermal environment of 40 °C. This study compared the cooling effectiveness of GV-CNF with that of serpentine-channel and circular-fin cooling designs.
In this analysis, the battery pack was subjected to an ambient temperature of 40 °C, with the battery itself acting as a constant heat source at a heat generation rate of 22,029 W/m3. Natural convection between the battery and the surrounding air was considered, with a heat transfer coefficient set to 5 W/(m2·K). The coolant inlet temperature was maintained at 25 °C, and the flow velocity was fixed at 0.1 m/s, while other boundary conditions remained consistent with previous sections. To ensure a fair comparison among different liquid cooling plates, the key structural parameters were standardized. As illustrated in Figure 21, the fin diameter D of the GVCNF-LCP was set equal to the circular fin diameter D1 and the serpentine channel spacing L2, all measuring 20 mm. The channel height for each cooling design was maintained at 4 mm, with an inlet width of 6 mm.
Figure 21.
Internal structures of different liquid cooling plates.
The performance of the battery module under different cooling methods is summarized in Table 7. Among the three cooling strategies, the smallest temperature difference was achieved by the serpentine-channel cooling system. However, it also led to the highest maximum temperature and an exceptionally large pressure drop of 177.23 Pa. The circular-fin cooling design maintained a relatively low pressure drop and maximum temperature values but exhibited the highest temperature difference. In contrast, the GV-CNF exhibited the lowest maximum temperature, reaching 30.09 °C, while also maintaining the lowest pressure drop of 9.51 Pa.
Table 7.
Performance comparison of different cooling configurations.
The battery pack temperature distribution under different cooling configurations is depicted in Figure 22. The results indicate that the serpentine-channel cooling configuration led to severe heat accumulation in the central region of the battery pack. This phenomenon can be attributed to the prolonged coolant pathway, where the cooling effectiveness diminished as the fluid advanced toward the channel’s end, ultimately enlarging the high-temperature region. Meanwhile, the circular-fin cooling configuration exhibited noticeable heat accumulation in the lower-middle section of the battery pack, likely due to localized coolant stagnation within certain areas of the liquid cooling plate. In contrast, the GVCNF-LCP design effectively mitigated local overheating by optimizing the internal flow distribution, leading to a more uniform temperature field across the battery pack and preventing excessive thermal accumulation in specific areas. Overall, the GVCNF-LCP demonstrated superior thermal performance by achieving a well-balanced trade-off between heat dissipation capability, temperature uniformity, and flow resistance. Compared with the other two configurations, it effectively reduced the battery pack’s peak temperature while minimizing localized heat accumulation and maintaining lower energy consumption.
Figure 22.
Temperature distribution of the battery module under different cooling configurations.
5. Conclusions
This study introduces an enhanced liquid cooling plate design featuring gradually varied circular notched fins (GV-CNF) to improve cooling performance in battery packs by optimizing flow dynamics. Numerical simulations were conducted, leading to the following key findings:
- (1)
- This study investigates the effects of various types of circular notched turbulence-enhancing fins on heat transfer and flow performance. The results demonstrate that the addition of CNFs effectively reduces the average temperature. However, while longer fins contribute to a lower average temperature, they also lead to an increase in pressure drop.
- (2)
- As the fin diameter increases, the overall performance of the liquid cooling plate progressively improves, particularly when the fin diameter exceeds 18 mm, where the enhancement becomes markedly pronounced. Under identical fin diameter conditions, the GVCNF-LCP exhibits a more uniform temperature distribution, lower average temperature, and reduced pressure drop compared to conventional circular fin liquid cooling plates. At a coolant flow rate of 0.05 m/s, the performance indicator TP of the GVCNF-LCP improved by 41% compared to the circular fin design.
- (3)
- As the height of the coolant channels increases, the TP value also increases. However, when the channel height exceeds 4 mm, the TP value shows minimal variation, suggesting that a channel height of either 4 mm or 5 mm is optimal. Additionally, excessively high coolant flow velocities lead to unnecessary energy consumption; therefore, the flow velocity should be set to around 0.1 m/s.
- (4)
- Among the five cooling fluid inlet and outlet arrangement schemes, the type III configuration not only achieves the lowest average wall temperature but also exhibits the minimal pressure drop and the smallest high-temperature region, making it the optimal arrangement. When the export spacing (L) is set to 81 mm, the average wall temperature is minimized at 27.87 °C, and the pressure drop is 3.13 Pa, representing the optimal export spacing.
- (5)
- The GVCNF-LCP design effectively reduces the maximum temperature of the battery module, minimizes localized heat accumulation, and maintains low energy consumption.
In future work, advanced algorithms will be integrated to optimize the design of the GV-CNF liquid cooling plate, aiming to further enhance its overall performance. Additionally, experimental studies will be conducted to validate the optimized design and improve the reliability of the findings.
Author Contributions
Conceptualization, Y.M.; methodology, H.G. and X.H.; software, X.H.; validation, X.H.; formal analysis, W.M.; investigation, X.H.; resources, H.G.; data curation, H.G.; writing—original draft preparation, X.H.; writing—review and editing, H.G.; visualization, W.M.; supervision, H.G.; project administration, H.G.; funding acquisition, H.G. All authors have read and agreed to the published version of the manuscript.
Funding
This research was funded by the National Natural Science Foundation of China (52176132) and the Science and Technology Cooperation Special Project of Jiangxi Province (20212BDH80019).
Data Availability Statement
The original contributions presented in this study are included in the article. Further inquiries can be directed to the corresponding author.
Conflicts of Interest
The authors declare no conflicts of interest.
Nomenclature
| liquid cold plate length () | |
| liquid cold plate width () | |
| liquid cold plate thickness () | |
| liquid coolant channel height () | |
| velocity vector () | |
| time () | |
| static pressure () | |
| temperature () | |
| average temperature () | |
| specific heat capacity () | |
| heat transfer coefficient () | |
| thermal conductivity () | |
| friction coefficient | |
| pressure drop () | |
| inlet pressure () | |
| outlet pressure () | |
| comprehensive evaluation indicators | |
| Greek symbols: | |
| density () | |
| dynamic viscosity () | |
| Abbreviations: | |
| BTMS | battery thermal management systems |
| CNF | circular notched fin |
| GV-CNF | gradually varied circular notched fins |
| GVCNF-LCP | gradually varied circular notched fin liquid cooling plate |
References
- Mohammadi, F.; Saif, M. A comprehensive overview of electric vehicle batteries market. e-Prime-Adv. Electr. Eng. 2023, 3, 100127. [Google Scholar]
- Zhang, X.; Li, Z.; Luo, L.; Fan, Y.; Du, Z. A review on thermal management of lithium-ion batteries for electric vehicles. Energy 2022, 238, 121652. [Google Scholar]
- Lu, M.; Zhang, X.; Ji, J.; Xu, X.; Zhang, Y. Research progress on power battery cooling technology for electric vehicles. J. Energy Storage 2020, 27, 101155. [Google Scholar]
- Ji, H.; Luo, T.; Dai, L.; He, Z.; Wang, Q. Topology design of cold plates for pouch battery thermal management considering heat distribution characteristics. Appl. Therm. Eng. 2023, 224, 119940. [Google Scholar]
- Li, M.; Ma, S.; Jin, H.; Wang, R.; Jiang, Y. Performance analysis of liquid cooling battery thermal management system in different cooling cases. J. Energy Storage 2023, 72, 108651. [Google Scholar]
- Xie, J.; Wang, Y.; He, S.; Zhang, G.; Liu, X.; Yang, X. A simple cooling structure with precisely-tailored liquid cooling plate for thermal management of large battery module. Appl. Therm. Eng. 2022, 212, 118575. [Google Scholar] [CrossRef]
- Ding, Y.; Ji, H.; Wei, M.; Liu, R. Effect of liquid cooling system structure on lithium-ion battery pack temperature fields. Int. J. Heat Mass Transf. 2022, 183, 122178. [Google Scholar] [CrossRef]
- Alvarez, R.C.; Sarmiento, A.P.; Cisterna, L.H.; Milanese, F.H.; Mantelli, M.B. Heat transfer investigation of a 90° zigzag channel diffusion-bonded heat exchanger. Appl. Therm. Eng. 2021, 190, 116823. [Google Scholar]
- Khan, M.Z.U.; Younis, M.Y.; Akram, N.; Akbar, B.; Rajput, U.A.; Bhutta, R.A.; Uddin, E.; Jamil, M.A.; Márquez, F.P.G.; Zahid, F.B. Investigation of heat transfer in wavy and dual wavy micro-channel heat sink using alumina nanoparticles. Case Stud. Therm. Eng. 2021, 28, 101515. [Google Scholar]
- Zeng, W.; Ma, C.; Hu, S.; Li, S.; Zhang, Y. The performance investigation and optimization of reciprocating flow applied for liquid-cooling-based battery thermal management system. Energy Convers. Manag. 2023, 292, 117378. [Google Scholar] [CrossRef]
- Xiong, M.; Wang, N.; Li, W.; Garg, A.; Gao, L. Study on the heat dissipation performance of a liquid cooling battery pack with different pin-fins. Batteries 2023, 9, 44. [Google Scholar] [CrossRef]
- Aldosry, A.M.; Zulkifli, R.; Wan Ghopa, W.A. Heat transfer enhancement of liquid cooled copper plate with oblique fins for electric vehicles battery thermal management. World Electr. Veh. J. 2021, 12, 55. [Google Scholar] [CrossRef]
- Zhao, R.; Wen, D.; Lai, Z.; Li, W.; Ye, M.; Zhuge, W.; Zhang, Y. Performance analysis and optimization of a novel cooling plate with non-uniform pin-fins for lithium battery thermal management. Appl. Therm. Eng. 2021, 194, 117022. [Google Scholar] [CrossRef]
- Xie, J.; Liu, X.; Zhang, G.; Yang, X. A novel strategy to optimize the liquid cooling plates for battery thermal management by precisely tailoring the internal structure of the flow channels. Int. J. Therm. Sci. 2023, 184, 107877. [Google Scholar] [CrossRef]
- Zhao, D.; Lei, Z.; An, C. Research on battery thermal management system based on liquid cooling plate with honeycomb-like flow channel. Appl. Therm. Eng. 2023, 218, 119324. [Google Scholar] [CrossRef]
- Abdulqader, A.A.; Jaffal, H.M. Comparative investigation on heat transfer augmentation in a liquid cooling plate for rectangular Li-ion battery thermal management. Results Eng. 2024, 24, 102913. [Google Scholar]
- Mubashir, M.; Xu, J.; Guo, Z.; Wang, X.; Wang, H.; Qiao, F.; Li, E.; Mei, X. Numerical investigation of a novel cold plate design with uniform circular hollow fins for battery thermal management systems. Appl. Therm. Eng. 2024, 237, 121791. [Google Scholar] [CrossRef]
- Guo, Z.; Zhao, S.; Wang, J.; Wang, Y.; Zhai, S.; Zhao, T.; Ni, M. Novel battery thermal management system with different shapes of pin fins. Int. J. Energy Res. 2022, 46, 5997–6011. [Google Scholar] [CrossRef]
- Wang, Y.; Xu, X.; Liu, Z.; Kong, J.; Zhai, Q.; Hossam, Z.; Wang, Q.; Zhou, F.; Wei, H. Optimization of liquid cooling for prismatic battery with novel cold plate based on butterfly-shaped channel. J. Energy Storage 2023, 73, 109161. [Google Scholar] [CrossRef]
- Zhang, F.; Huang, Z.; Li, S.; Sun, S.; Zhao, H. Design and thermal performance analysis of a new micro-fin liquid cooling plate based on liquid cooling channel finning and bionic limulus-like fins. Appl. Therm. Eng. 2024, 237, 121597. [Google Scholar] [CrossRef]
- Zhang, Y.; Pan, S.; Liu, S.; Liu, H.; Tian, C.; Hu, J. Effects of one special-shaped pin fin on the flow and heat transfer performance in the liquid cooling plate for a battery pack. Int. J. Therm. Sci. 2024, 195, 108643. [Google Scholar]
- Wang, L.; Zuo, H.; Zhang, B.; Jia, G. Effects of the cold plate with airfoil fins on the cooling performance enhancement of the prismatic LiFePO4 battery pack. Energy 2024, 296, 131210. [Google Scholar]
- Zhang, C.; Huang, J.; Sun, W.; Xu, X.; Li, C.; Li, Y. Research on liquid preheating performance for battery thermal management of electric vehicles at low temperature. J. Energy Storage 2022, 55, 105497. [Google Scholar]
- Jin, W.; Wu, J.; Jia, N.; Lei, J.; Ji, W.; Xie, G. Effect of shape and distribution of pin-fins on the flow and heat transfer characteristics in the rectangular cooling channel. Int. J. Therm. Sci. 2021, 161, 106758. [Google Scholar]
- Zhang, C.; Huang, J.; Sun, W.; Xu, X.; Li, Y. Research on the Influence of Liquid on Heat Dissipation and Heating Characteristics of Lithium-Ion Battery Thermal Management System. World Electr. Veh. J. 2022, 13, 68. [Google Scholar] [CrossRef]
Disclaimer/Publisher’s Note: The statements, opinions and data contained in all publications are solely those of the individual author(s) and contributor(s) and not of MDPI and/or the editor(s). MDPI and/or the editor(s) disclaim responsibility for any injury to people or property resulting from any ideas, methods, instructions or products referred to in the content. |
© 2025 by the authors. Licensee MDPI, Basel, Switzerland. This article is an open access article distributed under the terms and conditions of the Creative Commons Attribution (CC BY) license (https://creativecommons.org/licenses/by/4.0/).






















