Production and Evaluation of Yogurt Colored with Anthocyanin-Rich Pigment Prepared from Jabuticaba (Myrciaria cauliflora Mart.) Skin
Abstract
1. Introduction
2. Material and Methods
2.1. Materials
2.2. Production of the Jabuticaba Skin Extract
2.3. Yogurt Preparation
2.4. pH and Total Solids
2.5. Anthocyanin Content
2.6. Instrumental Color Analysis
2.7. Flow Curves
2.8. Yogurt Sensory Acceptance
2.9. Statistical Analysis
3. Results and Discussion
3.1. Influence of Pigment Addition on pH and Total Solids and Variation during Storage
3.2. Anthocyanin Content and Stability during Storage
3.3. Instrumental Color Analysis and Stability during Storage
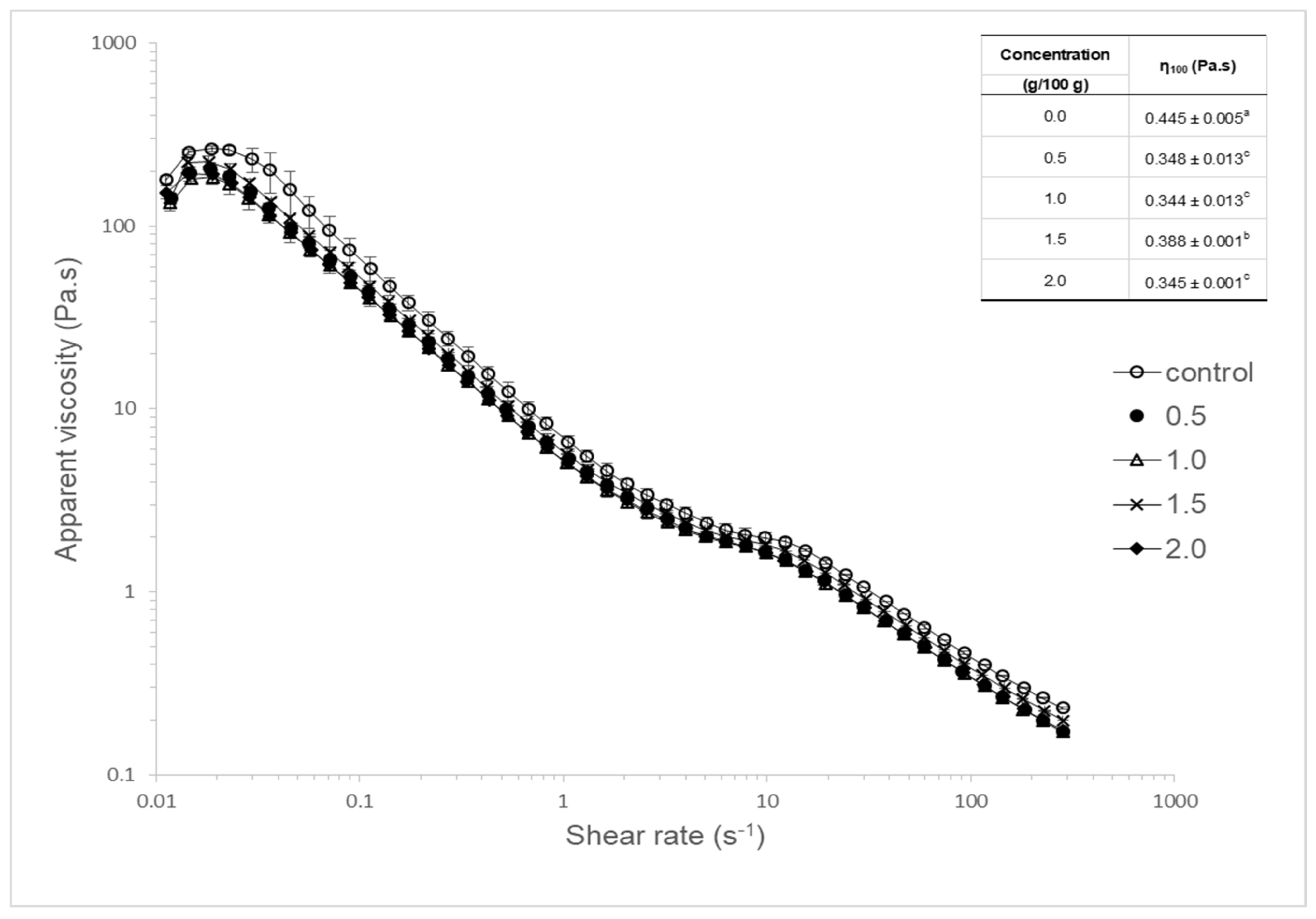
3.4. Flow Curves
3.5. Yogurt Sensory Acceptance
4. Conclusions
Author Contributions
Funding
Data Availability Statement
Acknowledgments
Conflicts of Interest
Correction Statement
References
- Mordor Intelligence Yogurt Market—Growth, Trends and Forecasts (2019–2024). Available online: https://www.mordorintelligence.com/industry-reports/yogurt-market?gclid=EAIaIQobChMI2canxanx4gIVDguRCh3WaQS7EAAYASAAEgKgGPD_BwE (accessed on 6 May 2019).
- Tetra Pak Consumer Yoghurt Trends and What They Mean for Producers. Available online: https://www.tetrapak.com/insights/cases-articles/consumer-yoghurt-trends (accessed on 11 January 2023).
- Ferretti, G.; Bacchetti, T.; Belleggia, A.; Neri, D. Cherry Antioxidants: From Farm to Table. Molecules 2010, 15, 6993–7005. [Google Scholar] [CrossRef] [PubMed]
- Boari Lima, A.J.; Duarte Corrêa, A.; Carvalho Alves, A.P.; Patto Abreu, C.M.; Dantas-Barros, A.M. Caracterização Química Do Fruto Jabuticaba (Myrciaria Cauliflora Berg) e de Suas Frações. Arch. Lat. Nutr. 2008, 58, 416–421. [Google Scholar]
- Ueda, J.M.; Pedrosa, M.C.; Heleno, S.A.; Carocho, M.; Ferreira, I.C.F.R.; Barros, L. Food Additives from Fruit and Vegetable By-Products and Bio-Residues: A Comprehensive Review Focused on Sustainability. Sustainability 2022, 14, 5212. [Google Scholar] [CrossRef]
- Bakowska-Barczak, A.M.; Kolodziejczyk, P.P. Black Currant Polyphenols: Their Storage Stability and Microencapsulation. Ind. Crop. Prod. 2011, 34, 1301–1309. [Google Scholar] [CrossRef]
- Silva, G.J.F.; Constant, P.B.L.; Figueiredo, R.W.; Moura, S.M. Formulação e Estabilidade de Corantes de Antocianinas Extraídas Das Cascas de Jabuticaba (Myrciaria ssp.). Alim. Nutr. Araraquara 2010, 21, 429–436. [Google Scholar]
- Fennema, O.R. Química de Los Alimentos, 2nd ed.; Acribia Editorial: Zaragoza, Spain, 2000. [Google Scholar]
- Santos, D.T.; Veggi, P.C.; Meireles, M.A.A. Extraction of Antioxidant Compounds from Jabuticaba (Myrciaria cauliflora) Skins: Yield, Composition and Economical Evaluation. J. Food Eng. 2010, 101, 23–31. [Google Scholar] [CrossRef]
- Rosso, V.V.; Mercadante, A.Z. Evaluation of Colour and Stability of Anthocyanins from Tropical Fruits in an Isotonic Soft Drink System. Innov. Food Sci. Emerg. Technol. 2007, 8, 347–352. [Google Scholar] [CrossRef]
- Silva, F.C.; Fonseca, C.R.; Alencar, S.M.; Thomazini, M.; Carvalho Balieiro, J.C.; Pittia, P.; Fávaro-Trindade, C.S. Assessment of Production Efficiency, Physicochemical Properties and Storage Stability of Spray-Dried Propolis, a Natural Food Additive, Using Gum Arabic and OSA Starch-Based Carrier Systems. Food Bioprod. Process. 2013, 91, 28–36. [Google Scholar] [CrossRef]
- Silva, M.C.; Souza, V.B.; Thomazini, M.; Silva, E.R.; Smaniotto, T.; Carvalho, R.A.; Genovese, M.I.; Favaro-Trindade, C.S. Use of the Jabuticaba (Myrciaria cauliflora) Depulping Residue to Produce a Natural Pigment Powder with Functional Properties. LWT-Food Sci. Technol. 2014, 55, 203–209. [Google Scholar] [CrossRef]
- Souza, V.B.; Fujita, A.; Thomazini, M.; Silva, E.R.; Lucon, J.F.; Genovese, M.I.; Favaro-Trindade, C.S. Functional Properties and Stability of Spray-Dried Pigments from Bordo Grape (Vitis labrusca) Winemaking Pomace. Food Chem. 2014, 164, 380–386. [Google Scholar] [CrossRef]
- Valle Calomeni, A.; Souza, V.B.; Tulini, F.L.; Thomazini, M.; Ostroschi, L.C.; Alencar, S.M.; Massarioli, A.P.; Carvalho Balieiro, J.C.; Carvalho, R.A.; Favaro-Trindade, C.S. Characterization of Antioxidant and Antimicrobial Properties of Spray-Dried Extracts from Peanut Skins. Food Bioprod. Process. 2017, 105, 215–223. [Google Scholar] [CrossRef]
- Voith, M. Coloring Food, Naturally: The effort to eliminate synthetics gives chemists the blues; The American Chemical Society: Washington, DC, USA, 2008; pp. 18–19. [Google Scholar]
- Bąkowska, A.; Kucharska, A.Z.; Oszmiański, J. The Effects of Heating, UV Irradiation, and Storage on Stability of the Anthocyanin–Polyphenol Copigment Complex. Food Chem. 2003, 81, 349–355. [Google Scholar] [CrossRef]
- Baldin, J.C.; Michelin, E.C.; Polizer, Y.J.; Rodrigues, I.; Godoy, S.H.S.; Fregonesi, R.P.; Pires, M.A.; Carvalho, L.T.; Fávaro-Trindade, C.S.; Lima, C.G.; et al. Microencapsulated Jabuticaba (Myrciaria cauliflora) Extract Added to Fresh Sausage as Natural Dye with Antioxidant and Antimicrobial Activity. Meat Sci. 2016, 118, 15–21. [Google Scholar] [CrossRef]
- Anvisa Resolução CNS/MS N.o 04, de 24 de Novembro de 1988. Available online: http://portal.anvisa.gov.br/documents/33916/391619/Resolucao_04_1988.pdf/7311a4d9-d5db-44d6-adbd-c7e6891d079d (accessed on 21 February 2019.).
- AOAC. Official Methods of Analysis, 16th ed.; Association of Official Analytical Chemists, Ed.; AOAC: Arlington, TX, USA, 1995. [Google Scholar]
- Francis, F.J. Analysis of Anthocyanins. In Anthocyanins As Food Colors; Elsevier: Amsterdam, The Netherlands, 1982; pp. 181–207. [Google Scholar]
- Zanatta, C.F.; Cuevas, E.; Bobbio, F.O.; Winterhalter, P.; Mercadante, A.Z. Determination of Anthocyanins from Camu-Camu (Myrciaria Dubia) by HPLC−PDA, HPLC−MS, and NMR. J. Agric. Food Chem. 2005, 53, 9531–9535. [Google Scholar] [CrossRef]
- Carpenter, R.P.; Lyon, D.H.; Hasdell, T.A. Guidelines for Sensory Analysis in Food Product Development and Quality Control; Aspen Publishers: Boston, MA, USA, 2000; ISBN 0834216426. [Google Scholar]
- Moreira, S.R.; Schwan, R.F.; Carvalho, E.P.; Ferreira, C. Análise Microbiológica e Química de Iogurtes Comercializados Em Lavras—MG. Ciência Tecnol. Aliment. 1999, 19, 147–152. [Google Scholar] [CrossRef]
- Al-Kadamany, E.; Khattar, M.; Haddad, T.; Toufeili, I. Estimation of Shelf-Life of Concentrated Yogurt by Monitoring Selected Microbiological and Physicochemical Changes during Storage. LWT-Food Sci. Technol. 2003, 36, 407–414. [Google Scholar] [CrossRef]
- Akan, E. The Effect of Fermentation Time and Yogurt Bacteria on the Physicochemical, Microbiological and Antioxidant Properties of Probiotic Goat Yogurts. Acad. Bras. Cienc. 2022, 94, e20210875. [Google Scholar] [CrossRef]
- Tamime, A.Y.; Robinson, R.K. Yoghurt: Science and Technology; CRC Press: Boca Raton, FL, USA, 1999; ISBN 1855733994. [Google Scholar]
- Terci, D.B.L.; Rossi, A.V. Indicadores Naturais de PH: Usar Papel Ou Solução? Quim. Nova 2002, 25, 684–688. [Google Scholar] [CrossRef][Green Version]
- Jaros, D.; Rohm, H. Identification of Sensory Color Optima of Strawberry Yogurt. J. Food Qual. 2001, 24, 79–86. [Google Scholar] [CrossRef]
- Wallace, T.C.; Giusti, M.M. Determination of Color, Pigment, and Phenolic Stability in Yogurt Systems Colored with Nonacylated Anthocyanins from Berberis Boliviana L. as Compared to Other Natural/Synthetic Colorants. J. Food. Sci. 2008, 73, C241–C248. [Google Scholar] [CrossRef]
- Krzeminski, A.; Großhable, K.; Hinrichs, J. Structural Properties of Stirred Yoghurt as Influenced by Whey Proteins. LWT-Food Sci. Technol. 2011, 44, 2134–2140. [Google Scholar] [CrossRef]
- Laiho, S.; Williams, R.P.W.; Poelman, A.; Appelqvist, I.; Logan, A. Effect of Whey Protein Phase Volume on the Tribology, Rheology and Sensory Properties of Fat-Free Stirred Yoghurts. Food Hydrocoll. 2017, 67, 166–177. [Google Scholar] [CrossRef]
- Ng, S.B.X.; Nguyen, P.T.M.; Bhandari, B.; Prakash, S. Influence of Different Functional Ingredients on Physical Properties, Rheology, Tribology, and Oral Perceptions of No Fat Stirred Yoghurt. J. Texture Stud. 2018, 49, 274–285. [Google Scholar] [CrossRef] [PubMed]
- Nguyen, P.T.M.; Kravchuk, O.; Bhandari, B.; Prakash, S. Effect of Different Hydrocolloids on Texture, Rheology, Tribology and Sensory Perception of Texture and Mouthfeel of Low-Fat Pot-Set Yoghurt. Food Hydrocoll. 2017, 72, 90–104. [Google Scholar] [CrossRef]
- Torres, I.C.; Amigo, J.M.; Knudsen, J.C.; Tolkach, A.; Mikkelsen, B.Ø.; Ipsen, R. Rheology and Microstructure of Low-Fat Yoghurt Produced with Whey Protein Microparticles as Fat Replacer. Int. Dairy J. 2018, 81, 62–71. [Google Scholar] [CrossRef]
- Izadi, Z.; Nasirpour, A.; Garoosi, G.A.; Tamjidi, F. Rheological and Physical Properties of Yogurt Enriched with Phytosterol during Storage. J. Food Sci. Technol. 2015, 52, 5341–5346. [Google Scholar] [CrossRef]
- Lucey, J.A.; Singh, H. Formation and Physical Properties of Acid Milk Gels: A Review. Food Res. Int. 1997, 30, 529–542. [Google Scholar] [CrossRef]
- Pereira, E.P.R.; Faria, J.A.F.; Cavalcanti, R.N.; Garcia, R.K.A.; Silva, R.; Esmerino, E.A.; Cappato, L.P.; Arellano, D.B.; Raices, R.S.L.; Silva, M.C.; et al. Oxidative Stress in Probiotic Petit Suisse: Is the Jabuticaba Skin Extract a Potential Option? Food Res. Int. 2016, 81, 149–156. [Google Scholar] [CrossRef]
- Rubio, F.T.V.; Haminiuk, C.W.I.; Santos, M.M.; Thomazini, M.; Moraes, I.C.F.; Martelli-Tosi, M.; Fávaro-Trindade, C.S. Development of Natural Pigments Microencapsulated in Waste Yeast Saccharomyces Cerevisiae Using Spray Drying Technology and Their Application in Yogurt. Food Funct 2021, 12, 8946–8959. [Google Scholar] [CrossRef]


| Concentration (g/100 g) | Time (days) | ||||
|---|---|---|---|---|---|
| 0 | 7 | 14 | 21 | 28 | |
| 0.0 | 4.27 ± 0.01 ab,C | 4.26 ± 0.05 a,C | 4.30 ± 0.04 a,BC | 4.36 ± 0.05 a,B | 4.54 ± 0.06 a,A |
| 0.5 | 4.27 ± 0.01 ab,C | 4.20 ± 0.02 ab,D | 4.28 ± 0.02 ab,C | 4.36 ± 0.03 a,B | 4.45 ± 0.02 b,A |
| 1.0 | 4.23 ± 0.01 bc,B | 4.20 ± 0.03 ab,B | 4.23 ± 0.02 bc,BC | 4.28 ± 0.03 b,B | 4.36 ± 0.02 c,A |
| 1.5 | 4.30 ± 0.03 a,A | 4.16 ± 0.02 b,B | 4.21 ± 0.03 c,B | 4.25 ± 0.01 b,A | 4.34 ± 0.01 c,A |
| 2.0 | 4.17 ± 0.01 c,C | 4.16 ± 0.02 b,C | 4.19 ± 0.02 c,BC | 4.24 ± 0.01 b,B | 4.33 ± 0.01 c,A |
| Concentration (g/100 g) | Time (days) | ||||
|---|---|---|---|---|---|
| 0 | 7 | 14 | 21 | 28 | |
| 0.5 | 1.26 ± 0.26 c,A | 1.54 ± 0.16 d,A | 1.37 ± 0.13 c,A | 1.32 ± 0.03 d,A | 1.03 ± 0.12 c,A |
| 1.0 | 3.21 ± 0.17 b,A | 2.50 ± 0.14 c,AB | 2.32 ± 0.10 b,B | 2.22 ± 0.19 c,B | 2.09 ± 0.27 b,B |
| 1.5 | 4.68 ± 0.17 a,A | 3.65 ± 0.52 b,BC | 3.87 ± 0.60 a,BC | 3.12 ± 0.41 b,C | 3.98 ± 0.30 a,AB |
| 2.0 | 4.83 ± 0.47 a,B | 5.87 ± 0.05 a,A | 4.55 ± 0.35 a,B | 4.80 ± 0.19 a,B | 4.54 ± 0.71 a,B |
| L* (Luminosity) | |||||
|---|---|---|---|---|---|
| Concentration (g/100 g) | Time (Days) | ||||
| 0 | 7 | 14 | 21 | 28 | |
| 0.0 | 70.40 ± 0.01 a,C | 72.15 ± 0.21 a,A | 70.67 ± 0.04 a,B | 70.73 ± 0.02 a,B | 69.84 ± 0.06 a,D |
| 0.5 | 62.98 ± 0.01 b,D | 65.41 ± 0.03 b,A | 63.44 ± 0.05 b,C | 63.97 ± 0.04 b,B | 62.67 ± 0.04 b,E |
| 1.0 | 58.90 ± 0.05 c,D | 61.21 ± 0.06 c,A | 59.23 ± 0.04 c,C | 59.90 ± 0.01 c,B | 58.58 ± 0.30 c,E |
| 1.5 | 55.96 ± 0.06 d,D | 58.37 ± 0.01 d,A | 56.19 ± 0.04 d,C | 56.93 ± 0.03 d,B | 55.32 ± 0.04 d,E |
| 2.0 | 53.10 ± 0.03 e,D | 55.49 ± 0.02 e,A | 53.30 ± 0.02 e,C | 54.48 ± 0.03 e,B | 52.63 ± 0.02 e,E |
| a* (red/green color component) | |||||
| Concentration (g/100 g) | Time (days) | ||||
| 0 | 7 | 14 | 21 | 28 | |
| 0.0 | −1.69 ± 0.01 e,B | −1.58 ± 0.01 e,A | −1.67 ± 0.04 e,B | −1.65 ± 0.02 e,AB | −1.67 ± 0.01 e,B |
| 0.5 | 4.00 ± 0.08 d,A | 3.74 ± 0.03 d,B | 3.63 ± 0.04 d,C | 3.45 ± 0.04 d,E | 3.54 ± 0.02 d,D |
| 1.0 | 6.61 ± 0.03 c,A | 6.35 ± 0.02 c,B | 6.27 ± 0.04 c,C | 6.15 ± 0.03 c,D | 6.06 ± 0.02 c,E |
| 1.5 | 8.31 ± 0.04 b,A | 8.07 ± 0.04 b,B | 7.97 ± 0.01 b,C | 8.00 ± 0.01 b,BC | 7.74 ± 0.03 b,D |
| 2.0 | 9.80 ± 0.01 a,A | 9.52 ± 0.03 a,B | 9.39 ± 0.03 a,C | 9.42 ± 0.06 a,C | 9.14 ± 0.03 a,D |
| b* (yellow/blue color component) | |||||
| Concentration (g/100 g) | Time (days) | ||||
| 0 | 7 | 14 | 21 | 28 | |
| 0.0 | 3.57 ± 0.01 a,AB | 3.42 ± 0.02 a,C | 3.51 ± 0.01 a,B | 3.62 ± 0.02 a,A | 3.55 ± 0.03 a,AB |
| 0.5 | 0.03 ± 0.03 b,D | 0.18 ± 0.01 b,C | 0.30 ± 0.03 b,B | 0.33 ± 0.03 b,B | 0.45 ± 0.03 b,A |
| 1.0 | −1.03 ± 0.05 c,D | −0.93 ± 0.07 c,C | −0.71 ± 0.01 c,C | −0.87 ± 0.04 c,B | −0.51 ± 0.05 c,A |
| 1.5 | −1.59 ± 0.01 d,B | −1.57 ± 0.07 d,B | −1.26 ± 0.04 d,A | −1.56 ± 0.05 d,B | −1.23 ± 0.04 d,A |
| 2.0 | −2.05 ± 0.06 e,BC | −2.01 ± 0.01 e,B | −1.75 ± 0.05 e,A | −2.13 ± 0.05 e,C | −1.76 ± 0.03 e,A |
| C* (Chroma) | |||||
| Concentration (g/100 g) | Time (days) | ||||
| 0 | 7 | 14 | 21 | 28 | |
| 0.0 | 3.95 ± 0.01 d,A | 3.77 ± 0.01 d,C | 3.89 ± 0.01 d,B | 3.97 ± 0.01 d,A | 3.93 ± 0.03 d,AB |
| 0.5 | 4.01 ± 0.08 d,A | 3.74 ± 0.02 d,B | 3.64 ± 0.03 e,C | 3.47 ± 0.03 e,D | 3.57 ± 0.01 e,C |
| 1.0 | 6.71 ± 0.04 c,A | 6.42 ± 0.03 c,B | 6.31 ± 0.04 c,C | 6.21 ± 0.03 c,D | 6.09 ± 0.03 c,E |
| 1.5 | 8.47 ± 0.03 b,A | 8.22 ± 0.05 b,B | 8.07 ± 0.01 b,C | 8.15 ± 0.01 b,B | 7.84 ± 0.04 b,D |
| 2.0 | 10.01 ± 0.03 a,A | 9.73 ± 0.03 a,B | 9.55 ± 0.03 a,C | 9.66 ± 0.05 a,B | 9.30 ± 0.03 a,D |
| Attributes | Appearance | Color | Aroma | Texture | Taste | Overall Impression |
|---|---|---|---|---|---|---|
| Means ± SD | 7.4 ± 1.3 | 7.1 ± 1.3 | 7.8 ± 1.1 | 7.7 ± 1.2 | 7.6 ± 1.3 | 7.5 ± 1.0 |
| Score | Frequency | |||||
| 1 | 0 | 0 | 0 | 0 | 0 | 0 |
| 2 | 0 | 0 | 0 | 0 | 0 | 0 |
| 3 | 1 | 1 | 0 | 0 | 1 | 0 |
| 4 | 3 | 5 | 1 | 6 | 1 | 0 |
| 5 | 6 | 11 | 5 | 1 | 7 | 6 |
| 6 | 19 | 16 | 13 | 10 | 16 | 11 |
| 7 | 34 | 42 | 14 | 26 | 24 | 38 |
| 8 | 44 | 36 | 64 | 56 | 47 | 53 |
| 9 | 24 | 20 | 34 | 32 | 35 | 22 |
Disclaimer/Publisher’s Note: The statements, opinions and data contained in all publications are solely those of the individual author(s) and contributor(s) and not of MDPI and/or the editor(s). MDPI and/or the editor(s) disclaim responsibility for any injury to people or property resulting from any ideas, methods, instructions or products referred to in the content. |
© 2023 by the authors. Licensee MDPI, Basel, Switzerland. This article is an open access article distributed under the terms and conditions of the Creative Commons Attribution (CC BY) license (https://creativecommons.org/licenses/by/4.0/).
Share and Cite
Machado, K.R.D.; Tulini, F.L.; Guimarães, J.d.G.L.; Moraes, I.C.F.; Ditchfield, C.; Lima, C.G.d.; Silva, V.L.d.S.; Favaro-Trindade, C.S. Production and Evaluation of Yogurt Colored with Anthocyanin-Rich Pigment Prepared from Jabuticaba (Myrciaria cauliflora Mart.) Skin. Processes 2023, 11, 526. https://doi.org/10.3390/pr11020526
Machado KRD, Tulini FL, Guimarães JdGL, Moraes ICF, Ditchfield C, Lima CGd, Silva VLdS, Favaro-Trindade CS. Production and Evaluation of Yogurt Colored with Anthocyanin-Rich Pigment Prepared from Jabuticaba (Myrciaria cauliflora Mart.) Skin. Processes. 2023; 11(2):526. https://doi.org/10.3390/pr11020526
Chicago/Turabian StyleMachado, Keithy Renata Domingos, Fabricio Luiz Tulini, Judite das Graças Lapa Guimarães, Izabel Cristina Freitas Moraes, Cynthia Ditchfield, Cesar Gonçalves de Lima, Vivian Lara dos Santos Silva, and Carmen Sílvia Favaro-Trindade. 2023. "Production and Evaluation of Yogurt Colored with Anthocyanin-Rich Pigment Prepared from Jabuticaba (Myrciaria cauliflora Mart.) Skin" Processes 11, no. 2: 526. https://doi.org/10.3390/pr11020526
APA StyleMachado, K. R. D., Tulini, F. L., Guimarães, J. d. G. L., Moraes, I. C. F., Ditchfield, C., Lima, C. G. d., Silva, V. L. d. S., & Favaro-Trindade, C. S. (2023). Production and Evaluation of Yogurt Colored with Anthocyanin-Rich Pigment Prepared from Jabuticaba (Myrciaria cauliflora Mart.) Skin. Processes, 11(2), 526. https://doi.org/10.3390/pr11020526

