Homework, Households, and Hurdles: The Unexpected Drivers of Student Graduation Perceptions
Abstract
1. Introduction
2. Methods
2.1. Data and Sources
2.2. Variables in the Study
2.3. Machine Learning Approach
2.3.1. Overview of Machine Learning Algorithms
2.3.2. Preprocessing
2.3.3. Hyperparameter Optimization
2.3.4. Evaluation on Independent Test Sample
2.4. Model Evaluation Metrics
2.5. Feature Importance
3. Results
3.1. Samples
3.2. Selecting the ML Model
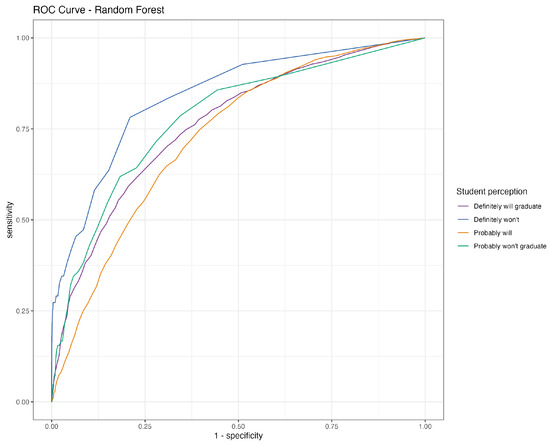
3.3. Predicting Students’ Perceptions of Graduation
4. Discussion
4.1. Parental Influence on Students’ Educational Perceptions
4.2. Academic Engagement and Students’ Perceptions of Graduation
5. Limitations of This Study
6. Conclusions
Supplementary Materials
Author Contributions
Funding
Data Availability Statement
Conflicts of Interest
References
- Apley, D. W., & Zhu, J. (2020). Visualizing the effects of predictor variables in black box supervised learning models. Journal of the Royal Statistical Society Series B: Statistical Methodology, 82(4), 1059–1086. [Google Scholar] [CrossRef]
- Archambault, I., Janosz, M., Olivier, E., & Dupéré, V. (2022). Student engagement and school dropout: Theories, evidence, and future directions. In Handbook of research on student engagement (pp. 331–355). Springer. [Google Scholar]
- Biecek, P. (2018). DALEX: Explainers for complex predictive models in R. Journal of Machine Learning Research, 19(84), 1–5. [Google Scholar]
- Biecek, P., & Burzykowski, T. (2021). Explanatory model analysis. Chapman and Hall/CRC. Available online: https://pbiecek.github.io/ema/ (accessed on 23 March 2024).
- Brier, G. W. (1950). Verification of forecasts expressed in terms of probability. Monthly Weather Review, 78(1), 1–3. [Google Scholar] [CrossRef]
- Brodersen, K. H., Ong, C. S., Stephan, K. E., & Buhmann, J. M. (2010, August 23–26). The balanced accuracy and its posterior distribution. 2010 20th International Conference on Pattern Recognition (pp. 3121–3124), Istanbul, Turkey. [Google Scholar]
- Campbell, C. (2015). High school dropouts after they exit school: Challenges and directions for sociological research. Sociology Compass, 9(7), 619–629. [Google Scholar] [CrossRef]
- Chen, T., & Guestrin, C. (2016, August 13–17). XGBoost: A scalable tree boosting system. 22nd ACM Sigkdd International Conference on Knowledge Discovery and Data Mining (pp. 785–794), San Francisco, CA, USA. [Google Scholar]
- Cover, T. M., & Hart, P. E. (1967). Nearest neighbor pattern classification (Vol. 13, No. 1). IEEE. [Google Scholar]
- Destin, M., & Williams, J. L. (2020). The connection between student identities and outcomes related to academic persistence. Annual Review of Developmental Psychology, 2(1), 437–460. [Google Scholar] [CrossRef]
- Dunlosky, J., Badali, S., Rivers, M. L., & Rawson, K. A. (2020). The role of effort in understanding educational achievement: Objective effort as an explanatory construct versus effort as a student perception. Educational Psychology Review, 32, 1163–1175. [Google Scholar] [CrossRef]
- Fawcett, T. (2006). An introduction to ROC analysis. Pattern Recognition Letters, 27(8), 861–874. [Google Scholar] [CrossRef]
- Fisher, A., Rudin, C., & Dominici, F. (2019). All models are wrong, but many are useful: Learning a Variable’s importance by studying an entire class of prediction models simultaneously. Journal of Machine Learning Research, 20(177), 1–81. [Google Scholar]
- Franco, C. (2020). How does relative performance feedback affect beliefs and academic decisions? AEA Randomized Controlled Trials. Available online: https://api.semanticscholar.org/CorpusID:201609652 (accessed on 18 August 2024).
- Freund, Y., & Schapire, R. E. (1997). A decision-theoretic generalization of on-line learning and an application to boosting. Journal of Computer and System Sciences, 55(1), 119–139. [Google Scholar] [CrossRef]
- Gerlinger, J., & Hipp, J. R. (2023). Schools and neighborhood crime: The effects of dropouts and high-performing schools on juvenile crime. The Social Science Journal, 60(3), 415–431. [Google Scholar] [CrossRef]
- Goodfellow, I., Bengio, Y., & Courville, A. (2016). Deep learning. MIT Press. [Google Scholar]
- Hosmer, J. D. W., Lemeshow, S., & Sturdivant, R. X. (2013). Applied logistic regression (Vol. 398). John Wiley & Sons. [Google Scholar]
- Jagacinski, C. M., & Nicholls, J. G. (1990). Reducing effort to protect perceived ability: They’d do it but I wouldn’t. Journal of Educational Psychology, 82, 15–21. Available online: https://api.semanticscholar.org/CorpusID:144578828 (accessed on 2 February 2025). [CrossRef]
- James, G., Witten, D., Hastie, T., & Tibshirani, R. (2021). Tree-Based Methods. In An introduction to statistical learning with applications in r (2nd ed., pp. 305–344). Springer. [Google Scholar]
- Kenny, M. E., Cinamon, R. G., Medvide, M. B., Ran, G., Davila, A., Dobkin, R., & Erby, W. (2023). Youth perceptions of their futures, society, and the work landscape: A psychology of working perspective. Journal of Career Development, 50(4), 803–823. [Google Scholar] [CrossRef]
- Kuhn, M. (2013). Applied predictive modeling. Springer. [Google Scholar]
- Lunetti, C., Di Giunta, L., Basili, E., Arbel, R., & Fiasconaro, I. (2022). Perception of school climate, academic performance and risk behaviors in adolescence. Ricerche di Psicologia, 1, 1–15. [Google Scholar] [CrossRef]
- Maksymiuk, S., Gosiewska, A., & Biecek, P. (2020). Landscape of R packages for eXplainable artificial intelligence. arXiv, arXiv:2009.13248. [Google Scholar]
- Margolis, H., & McCabe, P. P. (2003). Self-efficacy: A key to improving the motivation of struggling learners. Preventing School Failure: Alternative Education for Children and Youth, 47(4), 162–169. [Google Scholar] [CrossRef]
- Mensah, E., Kwarteng, S., & Jehu-Appiah, J. (2024). Investigating final-year senior high school students’ academic performance dynamics across demographics: The case of students in Cape Coast, Ghana. Science Mundi, 4(2), 243–258. [Google Scholar] [CrossRef]
- Miech, R. A., Bachman, J. G., Johnston, L. D., O’Malley, P. M., Patrick, M. E., & Schulenberg, J. E. (2022). Monitoring the future: A continuing study of American youth (12th-grade survey). Available online: https://www.icpsr.umich.edu/web/ICPSR/studies/38502 (accessed on 15 April 2023).
- Molnar, C. (2022). Interpretable machine learning (2nd ed.). Available online: https://christophm.github.io/interpretable-ml-book (accessed on 23 March 2024).
- Olivier, E., Archambault, I., De Clercq, M., & Galand, B. (2019). Student self-efficacy, classroom engagement, and academic achievement: Comparing three theoretical frameworks. Journal of Youth and Adolescence, 48, 326–340. [Google Scholar] [CrossRef]
- Pinquart, M., & Ebeling, M. (2020). Parental educational expectations and academic achievement in children and adolescents—A meta-analysis. Educational Psychology Review, 32(2), 463–480. [Google Scholar] [CrossRef]
- Powers, D. M. (2020). Evaluation: From precision, recall and F-measure to ROC, informedness, markedness and correlation. arXiv, arXiv:2010.16061. [Google Scholar]
- Quinlan, J. R. (1986). Induction of Decision Trees. Machine Learning, 1, 81–106. [Google Scholar] [CrossRef]
- R Core Team. (2023). R: A language and environment for statistical computing [Computer software manual]. R Core Team. Available online: https://www.R-project.org/ (accessed on 15 April 2023).
- Ressa, T., & Andrews, A. (2022). High school dropout dilemma in America and the importance of reformation of education systems to empower all students. International Journal of Modern Education Studies, 6(2), 423–447. [Google Scholar] [CrossRef]
- Rumberger, R. W. (2020). The economics of high school dropouts. The Economics of Education, 2020, 149–158. [Google Scholar]
- Rumberger, R. W., & Lim, S. A. (2008). Why students drop out of school: A review of 25 years of research. University of California, Santa Barbara, California Dropout research project report #15. Available online: https://www.issuelab.org/resources/11658/11658.pdf (accessed on 2 February 2025).
- Tannert, S., & Gröschner, A. (2021). Joy of distance learning? How student self-efficacy and emotions relate to social support and school environment. European Educational Research Journal, 20(4), 498–519. [Google Scholar] [CrossRef]
- Tinto, V. (2022). Exploring the character of student persistence in higher education: The impact of perception, motivation, and engagement. In Handbook of research on student engagement (pp. 357–379). Springer. [Google Scholar]
- Wang, M.-T., Fredricks, J., Ye, F., Hofkens, T., & Linn, J. S. (2017). Conceptualization and assessment of adolescents’ engagement and disengagement in school. European Journal of Psychological Assessment, 35(4), 592–606. [Google Scholar] [CrossRef]
- Wang, Q., Lee, K. C. S., & Hoque, K. E. (2023). The mediating role of classroom climate and student self-efficacy in the relationship between teacher leadership style and student academic motivation: Evidence from China. The Asia-Pacific Education Researcher, 32(4), 561–571. [Google Scholar] [CrossRef]
- Wu, X., Zhang, W., Li, Y., Zheng, L., Liu, J., Jiang, Y., & Peng, Y. (2024). The influence of big five personality traits on anxiety: The chain mediating effect of general self-efficacy and academic burnout. PLoS ONE, 19(1), e0295118. [Google Scholar] [CrossRef]
- Yeager, D. S., & Dweck, C. S. (2012). Mindsets that promote resilience: When students believe that personal characteristics can be developed. Educational Psychologist, 47(4), 302–314. [Google Scholar] [CrossRef]






| Level | Counts (%) | |
|---|---|---|
| n | 21,244 | |
| Gender (%) | Male | 10,427 (49.1) |
| Female | 9791 (46.1) | |
| Other | 1026 ( 4.8) | |
| Race (%) | African American | 2174 (10.2) |
| White | 15,892 (74.8) | |
| Hispanic | 3178 (15.0) | |
| Times of Best School Work (%) | Never | 237 ( 1.1) |
| Seldom | 960 ( 4.5) | |
| Sometimes | 3841 (18.1) | |
| Often | 7490 (35.3) | |
| Almost always | 8716 (41.0) | |
| Mother’s Education Level (%) | Completed grade sch. or less | 468 ( 2.2) |
| Some high sch. | 1200 ( 5.6) | |
| Completed high sch. | 3005 (14.1) | |
| Some college | 2741 (12.9) | |
| Completed college | 6620 (31.2) | |
| Grad. or professional sch. | 4281 (20.2) | |
| Don’t know | 2929 (13.8) | |
| Father’s Education Level (%) | Completed grade sch. or less | 596 ( 2.8) |
| Some high sch. | 1650 ( 7.8) | |
| Completed high sch. | 4091 (19.3) | |
| Some college | 2367 (11.1) | |
| Completed college | 5173 (24.4) | |
| Grad. or professional sch. | 3135 (14.8) | |
| Don’t know | 4232 (19.9) |
| Model | AUC | F1 | Recall | Precision | Accuracy | Brier Score |
|---|---|---|---|---|---|---|
| Logistic Regression | 0.773 | 0.751 | 0.714 | 0.803 | 0.673 | 0.202 |
| KNN | 0.670 | 0.736 | 0.715 | 0.759 | 0.579 | 0.207 |
| Decision Tree | 0.500 | - | - | - | 0.500 | 0.274 |
| Random Forest | 0.758 | 0.788 | 0.806 | 0.780 | 0.577 | 0.145 |
| AdaBoost | 0.740 | 0.778 | 0.799 | 0.764 | 0.563 | 0.150 |
| XGBoost | 0.771 | 0.752 | 0.720 | 0.801 | 0.661 | 0.202 |
| Neural Network | 0.747 | 0.728 | 0.691 | 0.790 | 0.649 | 0.293 |
Disclaimer/Publisher’s Note: The statements, opinions and data contained in all publications are solely those of the individual author(s) and contributor(s) and not of MDPI and/or the editor(s). MDPI and/or the editor(s) disclaim responsibility for any injury to people or property resulting from any ideas, methods, instructions or products referred to in the content. |
© 2025 by the authors. Licensee MDPI, Basel, Switzerland. This article is an open access article distributed under the terms and conditions of the Creative Commons Attribution (CC BY) license (https://creativecommons.org/licenses/by/4.0/).
Share and Cite
Alhassan, D.; Fatah, Z.; Codjoe, P.M.; Kuno, C.B.; Ofori-Boateng, D. Homework, Households, and Hurdles: The Unexpected Drivers of Student Graduation Perceptions. Educ. Sci. 2025, 15, 670. https://doi.org/10.3390/educsci15060670
Alhassan D, Fatah Z, Codjoe PM, Kuno CB, Ofori-Boateng D. Homework, Households, and Hurdles: The Unexpected Drivers of Student Graduation Perceptions. Education Sciences. 2025; 15(6):670. https://doi.org/10.3390/educsci15060670
Chicago/Turabian StyleAlhassan, Daniel, Zahra Fatah, Priscilla Mansah Codjoe, Caroline Bena Kuno, and Dorcas Ofori-Boateng. 2025. "Homework, Households, and Hurdles: The Unexpected Drivers of Student Graduation Perceptions" Education Sciences 15, no. 6: 670. https://doi.org/10.3390/educsci15060670
APA StyleAlhassan, D., Fatah, Z., Codjoe, P. M., Kuno, C. B., & Ofori-Boateng, D. (2025). Homework, Households, and Hurdles: The Unexpected Drivers of Student Graduation Perceptions. Education Sciences, 15(6), 670. https://doi.org/10.3390/educsci15060670

