Flavonoids and Ellagitannins Characterization, Antioxidant and Cytotoxic Activities of Phyllanthus acuminatus Vahl
Abstract
1. Introduction
2. Results and Discussion
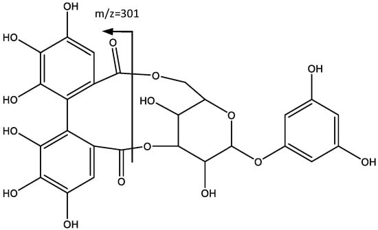
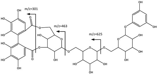
2.1. Phenolic Profile by UPLC-ESI-MS Analysis
2.2. Isolation and Characterization of Justicidin B
2.3. Antioxidant Activity
2.4. Cytotoxicity Evaluation
3. Materials and Methods
3.1. Materials, Reagents, and Solvents
3.2. Extraction of P. acuminatus Secondary Metabolites
3.3. UPLC-ESI—MS Analysis
3.4. DPPH Radical-Scavenging Activity
3.5. ORAC Antioxidant Activity
3.6. Evaluation of Cytotoxicity
4. Conclusions
Acknowledgments
Author Contributions
Conflicts of Interest
References
- Wagner, H. Synergy research: Approaching a new generation of phytopharmaceuticals. Fitoterapia 2011, 82, 34–37. [Google Scholar] [CrossRef] [PubMed]
- Hammel, B.E.; Grayum, M.H.; Herrera, C.; Zamora, N. Manual de Plantas de Costa Rica; Missouri Botanical Garden Press: St. Louis, MO, USA, 2010; Volume 5. [Google Scholar]
- Arnaez, E.; Moreira, I.; Navarro, M. Manejo Agroecológico de Nueve Especies de Plantas de Uso Tradicional Cultivadas en Costa Rica; FLACSO Latin American Institute: San Jose, Costa Rica, 2016; pp. 1–85. [Google Scholar]
- Muñoz, V.; Sauvain, M.; Bourdy, G.; Callapa, J.; Rojas, I.; Vargas, L.; Tae, A.; Deharo, E. The search for natural bioactive compounds through a multidisciplinary approach in Bolivia. Part II. Antimalarial activity of some plants used by Mosetene Indians. J. Ethnopharmacol. 2000, 69, 139–155. [Google Scholar] [CrossRef]
- Pouvelle, B.; Farley, P.J.; Long, C.A.; Taraschi, T.F. Taxol arrest the development of blood-stage Plasmodium falciparum in vitro and Plasmodium chabaudi adami in malaria-infected mice. J. Clin. Investig. 1994, 94, 413–417. [Google Scholar] [CrossRef] [PubMed]
- Qi, X.; Hua, L.; Gao, K. Chemical Constituents of the Plants from the Genus Phyllanthus. Chem. Biodivers. 2014, 11, 364–395. [Google Scholar] [CrossRef] [PubMed]
- Pettit, G.R.; Cragg, G.M.; Gust, D.; Peter Brown, P. The isolation and structure of phyllanthostatins 2 and 3. Can. J. Chem. 1982, 60, 544–546. [Google Scholar] [CrossRef]
- Pettit, G.R.; Cragg, G.M.; Suffness, M.I. Antineoplastic agents. 104. Isolation and structure of the Phyllanthus acuminatus vahl (Euphorbiaceae) glycosides. J. Org. Chem. 1984, 49, 4258–4266. [Google Scholar] [CrossRef]
- Pettit, G.R. Evolutionary Biosynthesis of Anticancer Drugs. In Anticancer Agents: Frontiers in Cancer Chemotherapy; Ojima, I., Vite, G.D., Heinz, K., Eds.; American Chemical Society: Washington, DC, USA, 2001; pp. 16–42. [Google Scholar]
- Funes, L.; Laporta, O.; Cerdán-Calero, M.; Micol, V. Effects of verbascoside, a phenylpropanoid glycoside from lemon verbena, on phospholipid model membranes. Chem. Phys. Lipids 2010, 163, 190–199. [Google Scholar] [CrossRef] [PubMed]
- Hernandez-Aguilera, A.; Rull, A.; Rodriguez-Gallego, E.; Riera-Borrull, M.; Luciano-Mateo, F.; Camps, J.; Menéndez, J.; Joven, J. Mitochondrial dysfunction: A basic mechanism in inflammation-related non-communicable diseases and therapeutic opportunities. Mediat. Inflamm. 2013, 135698. [Google Scholar] [CrossRef] [PubMed]
- Guo, W.; Kong, E.; Meydani, M. Dietary polyphenols, inflammation and cancer. Nutr. Cancer 2009, 61, 807–810. [Google Scholar] [CrossRef] [PubMed]
- Vasilev, N.; Elfahmi, B.R.; Kayser, O.; Momekov, G.; Konstantinov, S.; Ionkova, I. Production of justicidin B, a cytotoxic arylnaphthalene lignan from genetically transformed root cultures of linum leonii. J. Nat. Prod. 2006, 69, 1014–1017. [Google Scholar] [CrossRef] [PubMed]
- Momekov, G.; Konstantinov, S.; Dineva, I.; Ionkova, I. Effect of justicidin B—A potent cytotoxic and pro-apoptotic arylnaphtalene lignan on human breast cancer-derived cell lines. Neoplasma 2011, 58, 320–325. [Google Scholar] [CrossRef] [PubMed]
- Chen, C.C.; Hsin, W.C.; Ko, F.N.; Huang, Y.L.; Ou, J.C.; Teng, C.M. Antiplatelet arylnaphthalide lignans from Justicia procumbens. J. Nat. Prod. 1996, 59, 1149–1150. [Google Scholar] [CrossRef] [PubMed]
- Simmonds, M.S. Flavonoid-insect interactions: Recent advances in our knowledge. Phytochemistry 2003, 64, 21–30. [Google Scholar] [CrossRef]
- Dai, G.H.; Nicole, M.; Andary, C.; Martinez, C.; Bresson, E.; Boher, B.; Daniel, J.F.; Geiger, J.P. Flavonoids accumulate in cell walls, middle lamellae and callose-rich papillae during an incompatible interaction between Xanthomonas campestris pv. malvacearum and cotton. Physiol. Mol. Plant Pathol. 1996, 49, 285–306. [Google Scholar] [CrossRef]
- Sisa, M.; Bonnet, S.L.; Ferreira, D.; van der Westhuizen, J.H. Photochemistry of flavonoids. Molecules 2010, 15, 5196–5245. [Google Scholar] [CrossRef] [PubMed]
- Monagas, M.; Urpi-Sarda, M.; Sanchez-Patán, F.; Llorach, R.; Garrido, I.; Gómez-Cordoves, C.; Andres-Lacueva, C.; Bartolome, B. Insights into the metabolism and microbial biotransformation of dietary flavan-3-ols and the bioactivity of their metabolites. Food Funct. 2010, 1, 233–253. [Google Scholar] [CrossRef] [PubMed]
- Dincheva, I.; Badjakov, I.; Kondakova, V.; Dobson, P.; Mcdougall, G.; Stewart, D. Identification of the phenolic components of bulgarian raspberry cultivars by LC-ESI-MS. Int. J. Agric. Sci. Res. 2013, 3, 127–138. [Google Scholar]
- Yang, B.; Kortesniemi, M.; Liu, P.; Karonen, M.; Salminen, J.P. Analysis of Hydrolyzable Tannins and Other Phenolic Compounds in Emblic Leafflower (Phyllanthus emblica L.) Fruits by High Performance Liquid Chromatography−Electrospray Ionization Mass Spectrometry. J. Agric. Food Chem. 2012, 60, 8672–8683. [Google Scholar] [CrossRef] [PubMed]
- Zhu, M.; Dong, X.; Guo, M. Phenolic Profiling of Duchesnea indica Combining Macroporous Resin Chromatography (MRC) with HPLC-ESI-MS/MS and ESI-IT-MS. Molecules 2015, 20, 22463–22475. [Google Scholar] [CrossRef] [PubMed]
- Dou, J.; Lee, V.S.; Tzen, J.T.; Lee, M.R. Identification and Comparison of Phenolic Compounds in the Preparation of Oolong Tea Manufactured by Semifermentation and Drying Processes. J. Agric. Food Chem. 2007, 55, 7462–7468. [Google Scholar] [CrossRef] [PubMed]
- He, W.; Xia, W.; Chen, J. Isolation and structure elucidation of phenolic compounds in Chinese olive (Canarium album L.) fruit. Eur. Food Res. Technol. 2008, 226, 1191–1196. [Google Scholar] [CrossRef]
- Lee, J.H.; Johnson, J.V.; Talcott, S.T. Identification of Ellagic Acid Conjugates and Other Polyphenolics in Muscadine Grapes by HPLC-ESI-MS. J. Agric. Food Chem. 2005, 53, 6003–6010. [Google Scholar] [CrossRef] [PubMed]
- Era, M.; Matsuo, Y.; Shii, T.; Saito, Y.; Tanaka, T.; Jiang, Z.H. Diastereomeric Ellagitannin Isomers from Penthorum chinense. J. Nat. Prod. 2015, 78, 2104–2109. [Google Scholar] [CrossRef] [PubMed]
- Tuominen, A.; Sundman, T. Stability and Oxidation Products of Hydrolysable Tannins in Basic Conditions Detected by HPLC/DAD–ESI/QTOF/MS. Phytochem. Anal. 2013, 24, 424–435. [Google Scholar] [CrossRef] [PubMed]
- Bresciani, L.; Calani, L.; Cossu, M.; Mena, P.; Sayegh, M.; Ray, S.; Del Rio, D. (Poly)phenolic characterization of three food supplements containing 36 different fruits, vegetables and berries. PharmaNutrition 2015, 3, 11–19. [Google Scholar] [CrossRef]
- Savić, I.; Nikolić, V.D.; Savić, I.M.; Nikolić, L.B.; Jović, M.D.; Jović, M.D. Quantitative analysis of the green tea extract using ESI-MS method. Adv. Technol. 2014, 3, 30–37. [Google Scholar]
- Fabre, N.; Rustan, I. Determination of Flavone, Flavonol, and Flavanone Aglycones by Negative Ion Liquid Chromatography Electrospray Ion Trap Mass Spectrometry. J. Am. Soc. Mass Spectrom. 2001, 12, 707–715. [Google Scholar] [CrossRef]
- Zhang, H.; Cha, S.; Yeung, E.S. Colloidal graphite-Assisted laser desorption/ionization MS and MS of small molecules. 2. Direct Profiling and MS imaging of small metabolites from fruits. Anal. Chem. 2007, 79, 6575–6584. [Google Scholar] [CrossRef] [PubMed]
- Sun, J.; Chen, P. UHPLC/HRMS Analysis of African Mango (Irvingia gabonensis) Seeds, Extract and Related Dietary Supplements. J. Agric. Food Chem. 2012, 60, 8703–8709. [Google Scholar] [CrossRef] [PubMed]
- Hao, B.; Caulfield, J.C.; Hamilton, M.L.; Pickett, J.A.; Midega, C.A.O.; Khan, Z.R.; Wang, J.; Hooper, A.M. Biosynthesis of natural and novel C-glycosylflavones utilizing recombinant Oryza sativa C-glycosyltransferase (OsCGT) and Desmodium incanum root proteins. Phytochemistry 2016, 125, 73–87. [Google Scholar] [CrossRef] [PubMed]
- Wu, L.Z.; Zhang, X.P.; Xu, X.D.; Ding, W.L. Characterization of aromatic glycosides in the extracts of Trollius species by ultra high-performance liquid chromatography coupled with electrospray ionization quadrupole time-of-flight tandem mass spectrometry. J. Pharm. Biomed. Anal. 2013, 75, 55–63. [Google Scholar] [CrossRef] [PubMed]
- Huang, Y.L.; Chen, C.C.; Hsu, F.L.; Chen, C.F. Two Tannins from Phyllanthus tenellus. J. Nat. Prod. 1998, 61, 523–524. [Google Scholar] [CrossRef]
- Callipo, L.; Cavaliere, C.; Fuscoletti, V.; Gubbiotti, R.; Samperi, R.; Laganà, A. Phenilpropanoate identification in young wheat plants by liquid chromatography/tandem mass spectrometry: Monomeric and dimeric compounds. J. Mass Spectrom. 2010, 45, 1026–1040. [Google Scholar] [CrossRef] [PubMed]
- Charlton, J.L.; Oleschuk, C.J.; Chee, G.L. Hindered rotation in arylnaphthalene lignans. J. Org. Chem. 1996, 61, 3452–3457. [Google Scholar] [CrossRef]
- Okigawa, M.; Maeda, T.; Kawano, N. The isolation and structure of three new lignans from Justicia procumbens linn. var. Leucantha honda. Tetrahedron 1970, 26, 4301–4305. [Google Scholar] [CrossRef]
- Mohagheghzadeh, A.; Schmidt, T.J.; Alfermann, A.W. Arylnaphthalene lignans from in vitro cultures of Linum austriacum. J. Nat. Prod. 2002, 65, 69–71. [Google Scholar] [CrossRef] [PubMed]
- Hemmati, S.; Seradj, H. Justicidin B: A Promising Bioactive Lignan. Molecules 2016, 21, 820. [Google Scholar] [CrossRef] [PubMed]
- Kaur, I.; Geetha, T. Screening Method for antioxidants—A review. Mini Rev. Med. Chem. 2006, 6, 305–312. [Google Scholar] [CrossRef] [PubMed]
- Ou, B.; Hampsch, M.; Flanagan, J.; Deemer, E.; Prior, R.; Huang, D. Novel fluorometric assay for hydroxyl radical prevention capacity using fluorescein as the probe. J. Agric. Food Chem. 2002, 50, 2772–2777. [Google Scholar] [CrossRef] [PubMed]
- Rao, Y.K.; Geethangili, M.; Fang, S.H.; Tzeng, Y.M. Antioxidant and cytotoxic activities of naturally occurring phenolic and related compounds: A comparative study. Food Chem. Toxicol. 2007, 45, 1770–1776. [Google Scholar] [CrossRef] [PubMed]
- Navarro, M.; Moreira, I.; Arnaez, E.; Quesada, S.; Azofeifa, G.; Alvarado, D.; Monagas, M.J. Proanthocyanidin Characterization, Antioxidant and Cytotoxic Activities of Three Plants Commonly Used in Traditional Medicine in Costa Rica: Petiveria alliaceae L., Phyllanthus niruri L. and Senna reticulata Willd. Plants 2017, 6, 50. [Google Scholar] [CrossRef] [PubMed]
- Iamsaard, S.; Arun, S.; Burawat, J.; Sukhorum, W.; Wattanathorn, J.; Nualkaew, S.; Sripanidkulchai, B. Phenolic contents and antioxidant capacities of Thai-Makham Pom (Phyllantus emblica L.) aqueous extracts. J. Zheijiang Univ. Sci. B 2014, 15, 405–408. [Google Scholar] [CrossRef] [PubMed]
- Mullen, W.; McGinn, J.; Lean, M.E.; MacLean, M.R.; Gardner, P.; Duthie, G.G.; Yokota, T.; Crozier, A. Ellagitannins, flavonoids, and other phenolics in red raspberries and their contribution to antioxidant capacity and vasorelaxation properties. J. Agric. Food Chem. 2002, 50, 5191–5196. [Google Scholar] [CrossRef] [PubMed]
- Kähkönen, M.; Kylli, P.; Ollilainen, V.; Salminen, J.P.; Heinonen, M. Antioxidant activity of isolated ellagitannins from red raspberries and cloudberries. J. Agric. Food Chem. 2012, 60, 1167–1174. [Google Scholar] [CrossRef] [PubMed]
- Poompachee, K.; Chudapongse, N. Comparison of the antioxidant and cytotoxic activities of Phyllanthus virgatus and Phyllanthus amarus extracts. Med. Princ. Pract. 2012, 21, 24–29. [Google Scholar] [CrossRef] [PubMed]
- Ramasamy, S.; Wahab, N.A.; Abidin, N.Z.; Manickam, S.; Zakaria, Z. Growth Inhibition of Human Gynecologic and Colon Cancer Cells by Phyllanthus watsonii through Apoptosis Induction. PLoS ONE 2012, 7, e34793. [Google Scholar] [CrossRef] [PubMed]
- Mahavorasirikul, W.; Wiratchanee, M.; Vithoon, V.; Wanna, C.; Arunporn, I.; Kesara, N. Cytotoxic activity of Thai medicinal plants against human cholangiocarcinoma, laryngeal and hepatocarcinoma cells in vitro. BMC Complement. Altern. Med. 2010, 10, 1–8. [Google Scholar] [CrossRef] [PubMed]
- Rajesh, E.; Sankari, L.S.; Malathi, L.; Krupaa, J.R. Naturally occurring products in cancer therapy. J. Pharm. Bioallied Sci. 2015, 7, 181–183. [Google Scholar] [CrossRef] [PubMed]
- Russo, G.L.; Russo, M.; Spagnuolo, C. The pleiotropic flavonoid quercetin: From its metabolism to the inhibition of protein kinases in chronic lymphocytic leukemia. Food Funct. 2014, 5, 2393–2401. [Google Scholar] [CrossRef] [PubMed]
- Men, K.; Duan, X.; Wei, X.W.; Gou, M.L.; Huang, M.J.; Chen, L.J.; Qian, Z.Y.; Wei, Y.Q. Nanoparticle-delivered quercetin for cancer therapy. Anticancer Agents Med. Chem. 2014, 14, 826–832. [Google Scholar] [CrossRef] [PubMed]
- Khoo, B.; Chua, S.; Balaram, P. Apoptotic Effects of Chrysin in Human Cancer Cell Lines. Int. J. Mol. Sci. 2010, 11, 2188–2199. [Google Scholar] [CrossRef] [PubMed]
- Parajuli, P.; Joshee, N.; Rimando, A.M.; Mittal, S.; Yadav, A.K. In vitro anti-tumor mechanisms of various Scutellaria extracts and constituent flavonoids. Planta Med. 2009, 75, 41–48. [Google Scholar] [CrossRef] [PubMed]
- Monasterio, A.; Urdaci, M.C.; Pinchuk, I.V.; Lopez-Moratalla, N.; Martinez-Irujo, J.J. Flavonoids induce apoptosis in human leukemia U937 cells through caspase- and caspase-calpain-dependent pathways. Nutr. Cancer 2004, 50, 90–100. [Google Scholar] [CrossRef]
- Woo, K.J.; Jeong, Y.J.; Park, J.W.; Kwon, T.K. Chrysin-induced apoptosis is mediated through caspase activation and Akt inactivation in U937 leukemia cells. Biochem. Biophys. Res. Commun. 2004, 325, 1215–1222. [Google Scholar] [CrossRef] [PubMed]
- He, J.D.; Wang, Z.; Li, S.P.; Xu, Y.J.; Yu, Y.; Ding, Y.J.; Yu, W.L.; Zhang, R.X.; Zhang, H.M.; Du, H.Y. Vitexin suppresses autophagy to induce apoptosis in hepatocellular carcinoma via activation of the JNK signaling pathway. Oncotarget 2016, 7, 84520–84532. [Google Scholar] [CrossRef] [PubMed]
- Heber, D. Multitargeted therapy of cancer by ellagitannins. Cancer Lett. 2008, 269, 262–268. [Google Scholar] [CrossRef] [PubMed]
- Pantuck, A.J.; Leppert, J.T.; Zomorodian, N.; Aronson, W.; Hong, J.; Barnard, R.J.; Seeram, N.; Liker, H.; Wang, H.; Elashoff, R.; et al. Phase II study of pomegranate juice for men with rising prostate-specific antigen following surgery or radiation for prostate cancer. Clin. Cancer Res. 2006, 12, 4018–4026. [Google Scholar] [CrossRef] [PubMed]
- Navarro Hoyos, M.; Sánchez-Patán, F.; Murillo Masis, R.; Martín-Álvarez, P.J.; Zamora Ramirez, W.; Monagas, M.J.; Bartolomé, B. Phenolic Assesment of Uncaria tomentosa L. (Cat’s Claw): Leaves, Stem, Bark and Wood Extracts. Molecules 2015, 20, 22703–22717. [Google Scholar] [CrossRef] [PubMed]
- Davalos, A.; Gomez-Cordoves, C.; Bartolome, B. Extending applicability of the oxygen radical absorbance capacity (ORAC-Fluorescein) assay. J. Agric. Food Chem. 2004, 52, 48–54. [Google Scholar] [CrossRef] [PubMed]
- Sanchez-Patan, F.; Monagas, M.; Moreno-Arribas, M.V.; Bartolome, B. Determination of microbial phenolic acids in human faeces by UPLC-ESI-TQ MS. J. Agric. Food Chem. 2011, 59, 2241–2247. [Google Scholar] [CrossRef] [PubMed]














| No. | Tenative Identification | tR (min) | λmax (nm) | [M − H]+ | Formula | Error (ppm) | MS2 |
|---|---|---|---|---|---|---|---|
| 1 | Gemin D | 3.89 | 216, 265 | 633.0717 | C27H21O18 | 1.738 | [633]: 275(18), 301(100), 249(15) |
| 2 | Phyllanemblinin B | 11.50 | 216, 278 | 633.0705 | C27H21O18 | 3.633 | [633]:463(26), 301(100), 275(15), 614(62), 615(24) |
| 3 | Corilagin | 14.72 | 221, 269 | 633.0701 | C27H21O18 | 4.265 | [633]: 463(27), 301(100), 275(15) |
| 4 | Prodelphinidin B dimer | 5.89 | 205, 270 | 609.1242 | C30H25O14 | −0.328 | [609]:305(50), 423(85), 441(100), 483(28), 591(18) |
| 5 | (epi)galocatequina | 8.84 | 205, 270 | 305.0657 | C15H13O7 | 1.311 | [305]: 125(24), 165(30), 219(77), 179(100), 261(41), 287(12), 247(13), 221(84), 167(10) |
| 6 | 1′,3′,5′-Trihydroxybenzene 1′-O-[4,6-(S)-HHDP]-β-Glucoside | 6.42 | 199, 271 | 589.0815 | C26H21O16 | −1.478 | [589]: 301(100) |
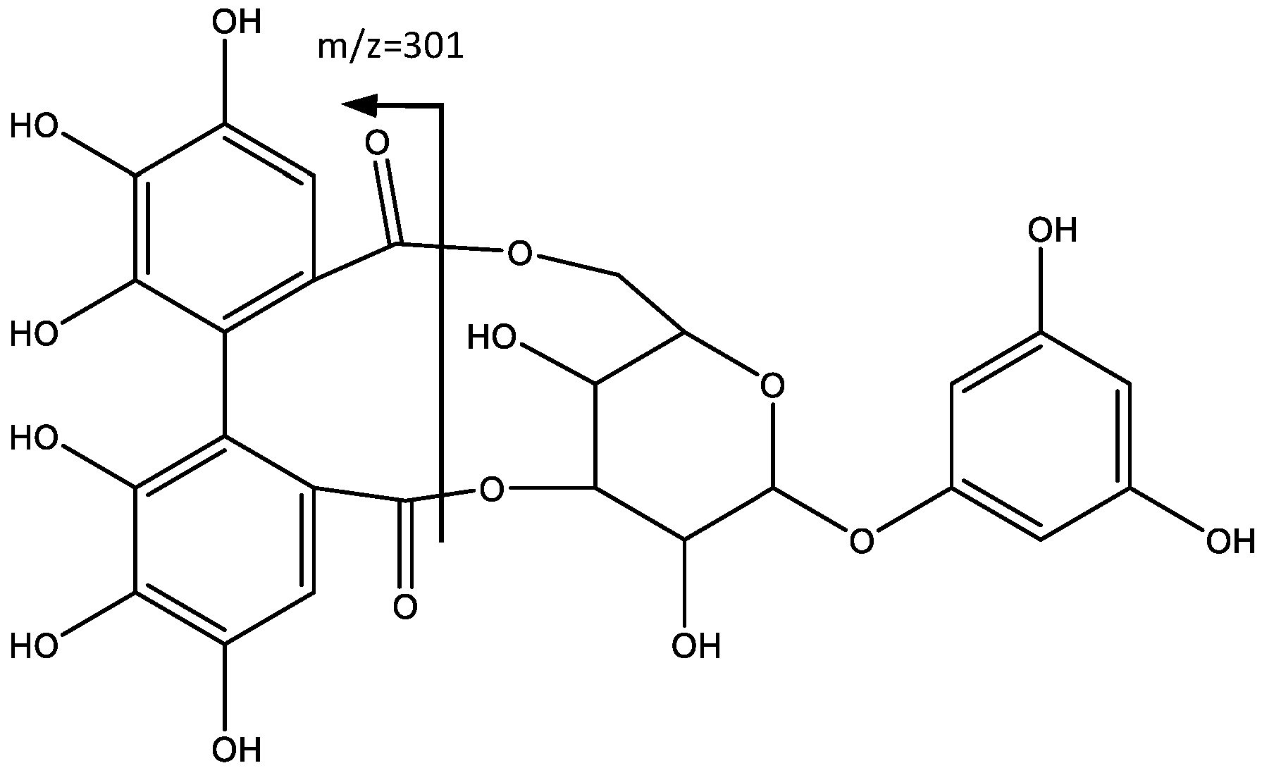
| 7 | 1′,3′,5′-Trihydroxybenzene 1′-O-[4,6-(S)-HHDP-β-Glucosyl-β-Glucosyl]-β-Glucoside | 11.09 | 204, 264 | 913.1857 | C45H37O21 | −3.285 | [913]: 625(100), 463(13) |
| 8 | Geraniin | 18.03 | 230, 276 | 951.0667 | C41H27O27 | −4.676 | [951]: 933(100) |
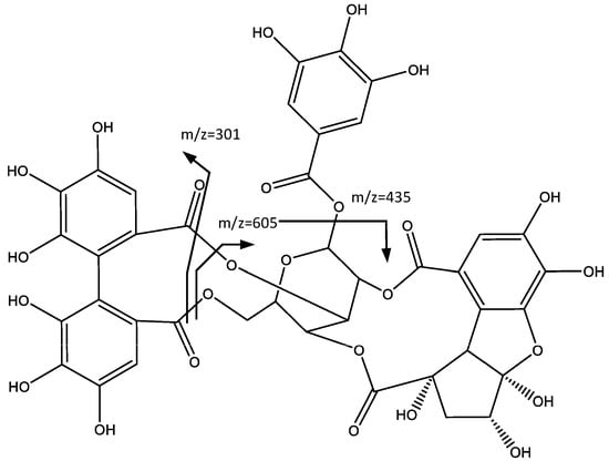
| 9 | Phyllanthusiin C | 21.92 | 222, 278 | 925.0905 | C40H29O26 | −4.540 | [925]: 301(100), 435(15)605(10)907(13) |
| 10 | quercertin-3-O-rutinósido | 27.28 | 219, 255, 349 | 609.1430 | C27H29O16 | 4.268 | [609]:343(8), 301(100), 300(39) |
| 11 | quercetin-3-O-hexoside | 27.58 | 221, 254, 347 | 463.0857 | C21H19O12 | 4.319 | [463]: 301(100), 300(35) |
| 12 | kaempferol-3-O-rutinoside | 31.95 | 221, 271 | 593.1487 | C27H29O15 | −2.866 | [593]: 285(100) |
| 13 | kaempferol-3-O-hexoside | 32.22 | 221, 265 | 447.0917 | C21H19O11 | 2.237 | [247]: 285(69), 284(100), 255(17), 327(18) |
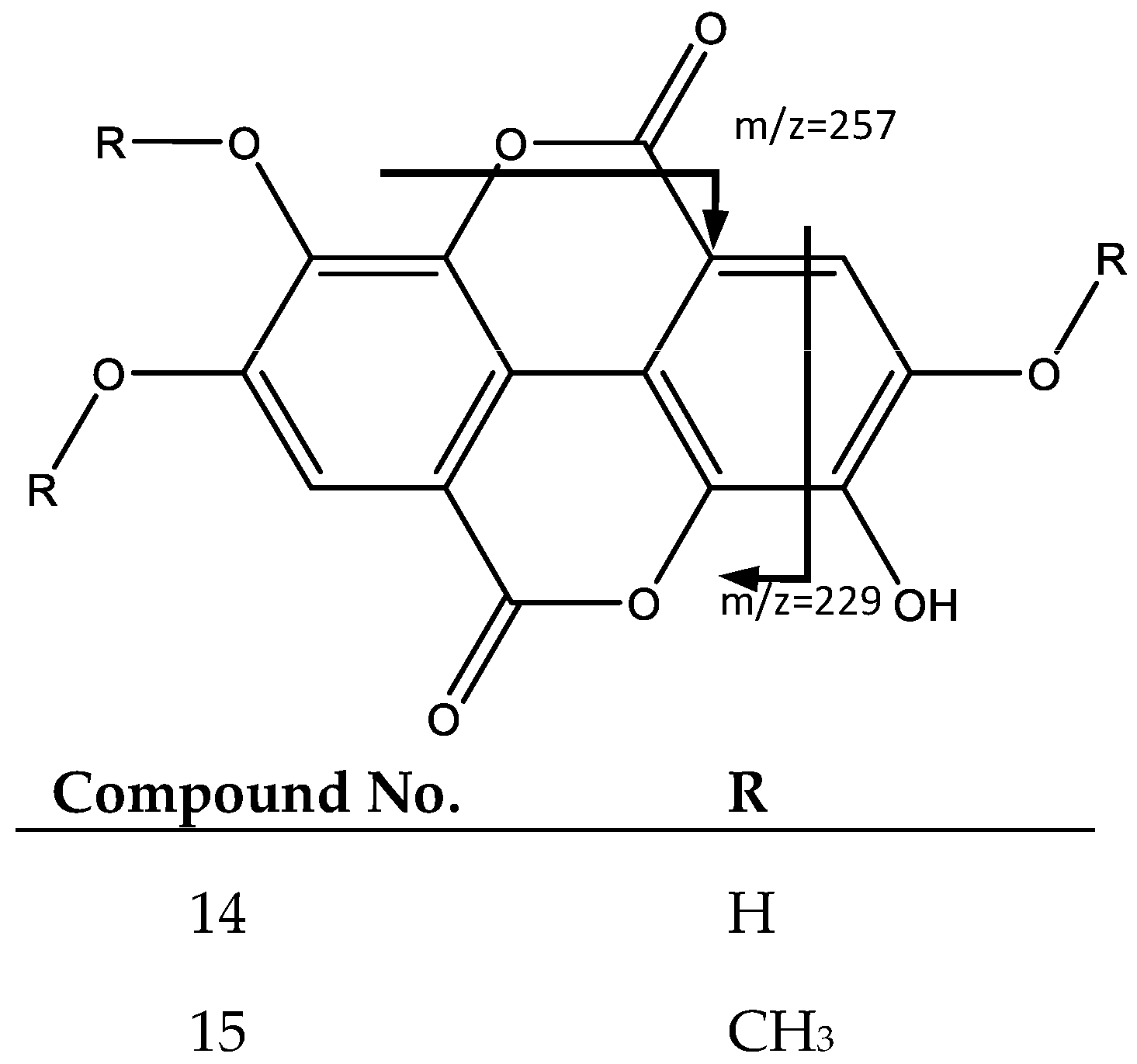
| 14 | Ellagic acid | 35.75 | 221, 265 | 300.9979 | C14H5O8 | 1.661 | [301]: 257(100), 229(60), 301(28), 284(23), 185(28), 255(12), 201(11) |
| 15 | O-trimethyl ellagic acid | 39.74 | 222, 243, 353, 366 | 343.0443 | C17H11O8 | −3.207 | [343]: 328(100) |
| 16 | Apigenin derivative | 44.98 | 199, 227, 287 | 575.1381 | C27H27O14 | 3.477 | [575]: 515(80), 455(16), 371(11), 343(10), 311(100) |
| 17 | Chrysin derivative | 48.55 | 223, 289 | 559.1428 | C27H27O13 | 4.292 | [559]:499(100), 295(57) |
| 18 | Pinocembrin 7-O-[4″,6″-(S)-hexahydroxydibenzoyl]-b-d-glucopiranoside | 56.67 | 226, 282 | 719.1230 | C35H27O17 | −2.503 | [719]: 301(100) |
| 19 | Pinocembrin 7-O-[3″-O-galloyl-4″,6″-(S)-hexahydroxydibenzoyl]-β-d-glucopiranoside | 61.31 | 223, 282 | 871.1323 | C42H31O21 | −4.018 | [871]: 301(100), 569(13), 827(13) |
| 20 | Ferulic acid | 70.53 | 224 | 193.0490 | C10H9O4 | −3.698 | [193]: 178(70), 149(100), 134(62) |
| Sample | DPPH 1,2 IC50 (μg/mL) ± SD | ORAC 1,2 (mmol TE/mg Extract) ± SD |
|---|---|---|
| P. acuminatus extract | 0.15 a ± 0.01 | 2.76 a ± 0.05 |
| Justicidin B | 14.28 b ± 0.30 | 0.95 b ± 0.02 |
| Ascorbic Acid | 3.74 c ± 0.05 | 1.62 c ± 0.07 |
| Sample | IC50 (µg/mL) ± S.D. 1 | ||
|---|---|---|---|
| AGS 2 | SW620 2 | Vero 2 | |
| P. acuminatus extract 3 | 11.3 a,* ± 0.7 (SI = 5.4) | 10.5 a,* ± 0.5 (SI = 20.1) | 226.6 a,◊ ± 4.2 |
| Justicidin B 3 | 19.5 b,* ± 2.2 (SI = 4.2) | 24.8 b,* ± 2.1 (SI = 21.5) | 104 b,◊ ± 6 |
© 2017 by the authors. Licensee MDPI, Basel, Switzerland. This article is an open access article distributed under the terms and conditions of the Creative Commons Attribution (CC BY) license (http://creativecommons.org/licenses/by/4.0/).
Share and Cite
Navarro, M.; Moreira, I.; Arnaez, E.; Quesada, S.; Azofeifa, G.; Vargas, F.; Alvarado, D.; Chen, P. Flavonoids and Ellagitannins Characterization, Antioxidant and Cytotoxic Activities of Phyllanthus acuminatus Vahl. Plants 2017, 6, 62. https://doi.org/10.3390/plants6040062
Navarro M, Moreira I, Arnaez E, Quesada S, Azofeifa G, Vargas F, Alvarado D, Chen P. Flavonoids and Ellagitannins Characterization, Antioxidant and Cytotoxic Activities of Phyllanthus acuminatus Vahl. Plants. 2017; 6(4):62. https://doi.org/10.3390/plants6040062
Chicago/Turabian StyleNavarro, Mirtha, Ileana Moreira, Elizabeth Arnaez, Silvia Quesada, Gabriela Azofeifa, Felipe Vargas, Diego Alvarado, and Pei Chen. 2017. "Flavonoids and Ellagitannins Characterization, Antioxidant and Cytotoxic Activities of Phyllanthus acuminatus Vahl" Plants 6, no. 4: 62. https://doi.org/10.3390/plants6040062
APA StyleNavarro, M., Moreira, I., Arnaez, E., Quesada, S., Azofeifa, G., Vargas, F., Alvarado, D., & Chen, P. (2017). Flavonoids and Ellagitannins Characterization, Antioxidant and Cytotoxic Activities of Phyllanthus acuminatus Vahl. Plants, 6(4), 62. https://doi.org/10.3390/plants6040062

