Abstract
The formation of biofilms underscores the challenge of treating bacterial infections. The study aimed to assess the antioxidant, cytotoxicity, antibacterial, anti-motility, and anti-biofilm effects of defatted fractions from Myrothamnus flabellifolius (resurrection plant). Antioxidant activity was assessed using DPPH radical scavenging and hydrogen peroxide assays. Cytotoxicity was screened using a brine shrimp lethality assay. Antibacterial activity was determined using the micro-dilution and growth curve assays. Antibiofilm potential was screened using the crystal violet and tetrazolium reduction assay. Liquid–liquid extraction of crude extracts concentrated polyphenols in the ethyl acetate and n-butanol fractions. Subsequently, these fractions had notable antioxidant activity and demonstrated broad-spectrum antibacterial activity against selected Gram-negative and Gram-positive bacteria and Mycobacterium smegmatis (MIC values < 630 μg/mL). Growth curves showed that the bacteriostatic inhibition by the ethyl acetate fractions was through the extension of the lag phase and/or suppression of the growth rate. The sub-inhibitory concentrations of the ethyl acetate fractions inhibited the swarming motility of Pseudomonas aeruginosa and Klebsiella pneumoniae by 100% and eradicated more than 50% of P. aeruginosa biofilm biomass. The polyphenolic content of M. flabellifolius plays an important role in its antibacterial, anti-motility, and antibiofilm activity, thus offering an additional strategy to treat biofilm-associated infections.
1. Introduction
Bacteria cause numerous human infections. Gram-negative bacteria (GNB) are notorious human pathogens that can invade the bloodstream, digestive tract, nervous, and urinary systems [1]. On the other hand, Gram-positive bacteria (GPB) exert pressure on public health due to their significant antibiotic resistance [2]. Recently, there has been a reported increase in atypical mycobacterial infections [3]. These non-tuberculosis pathogens are associated with skin, soft tissue, lymph nodes, and pulmonary infection [3].
The upsurge of antibiotic resistance by human pathogens has proliferated mortality and morbidity rates across the globe [4]. This underlines the need for alternative antibacterial drugs that can exert different mechanisms of action. Bacteria use virulence factors to initiate infection and evade the host’s immune defences [5]. Notable virulence factors include biofilm, quorum sensing, motility, toxins, adherence factors, and polysaccharide capsules [6,7]. An alternative approach to curb the increase in bacterial infections and antibiotic resistance is anti-virulence therapy, which involves the interference of the upregulation and functionality of virulence factors without inhibiting bacterial growth. The advantage of this approach is that it causes less selective pressure for the development of resistance genes and may potentially reduce the rate of emerging antibiotic-resistant strains [7,8]. Moreover, anti-virulence therapy may reduce the severity of infection by enabling the host to have an effective immunity to the invading bacteria [9].
A biofilm is a group of microorganisms that adhere to biotic or abiotic surfaces and form microcolonies that are enclosed by an extracellular polymeric substance (EPS). The EPS comprises macromolecules such as proteins, carbohydrates, lipids, and extracellular deoxyribonucleic acid [10], which confer protection against ultraviolet radiation and alterations in pH [11]. Mature biofilms are challenging to eliminate; thus, intervening in the early stage of biofilm formation can be a solution [12]. A majority of chronic or persistent bacterial infections (80%) were attributed to the formation of biofilms [13]. Conventional antibiotics are active against planktonic cells but do not effectively sterilize the central region of biofilms and this leads to recurring infections [14].
Myrothamnus flabellifolius Welw. (Myrothamnaceae family) is a desiccant-tolerant, woody, and shrubby plant that has green fan-like shaped leaves that have a waxy abaxial surface and usually fold along the stem [15]. It is common for M. flabellifolius to grow on shallow ground; however, it can also survive on rocky slopes due to its extensive root system extending into crevices. This allows the plant to survive dehydration for long periods of time. The colour of the leaves during desiccation changes from green to brown [16,17]. The plant is native to southern Africa and is extensively spread out in Botswana and numerous provinces in South Africa, which include the North West, Mpumalanga, Gauteng, KwaZulu-Natal, and Limpopo [18,19]. This plant is commonly known as Umfavuke (isiNdebele), Uvukabafile (isiZulu), Moritela Tshwene (Setswana), and Mufandichimuka (Shona) [20]. Bapedi healers use it to treat sexually transmitted infections [21] and chest pains [22]. In southern Zimbabwe and Botswana, locals boil ground leaves and twigs to prepare tea that is used to treat respiratory infections [23,24]. The aerial parts of the plant have also been used for the treatment of asthma, inflammation, epilepsy, the heart, wounds, backaches, diabetes, kidney ailments, hypertension, haemorrhoids, gingivitis, shingles, stroke, and skin conditions [21,25,26]. M. flabellifolius leaves have flavonoids, alkaloids, terpenoids, proanthocyanidines, condensed tannins, flavan-3-ols, saponins, and phytosterols [27,28]. The focus of this work was to investigate the biological activities of defatted polyphenolic-enriched sub-factions of M. flabellifolius leaves and stems. More notably, the anti-motility and anti-biofilm activities have previously not been investigated.
2. Results and Discussion
2.1. Extraction Yield
Organic solvent and aqueous extracts of M. flabellifolius leaves have been reported to possess various bioactive phenolic compounds [18,29]. To increase the yield of the extraction of polyphenols, the plant material was extracted with 70% acidified acetone. Hexane was used for defatting the crude extract by removing extremely non-polar and interfering components such as chlorophyll, long chained fatty acids, and wax constituents. The defatted 70% acidified acetone extracts were regarded as crude extracts. The highest crude extract yield was obtained from the leaves (3.56 g). The stem crude extract was significantly lower (1.73 g) than the leaves crude extract. Of the subfractions obtained from the leaf crude extract, the n-butanol had the highest obtained mass (1.34 g), followed by the ethyl acetate fraction (0.92 g) (Figure 1). The stem fractions generally had lower extracted mass per the corresponding solvent. Extraction efficiency plays a crucial role in ensuring the quality and economic viability of plant extract-based products across various industries; therefore, the leaves can serve as a more sustainable source of bioactive phytochemicals in M. flabellifolius than the stem parts.
Figure 1.
Extraction yield from 5 g of Myrothamnus flabellifolius leaves and stems samples. H: hexane. CR: 70% acidified acetone crude extract. DCM: dichloromethane. EA: ethyl acetate. BUT: butanol. RW: residual water. Data in the bar chart is expressed as mean ± standard deviation. Values with different letter superscripts in a column are significantly different (p < 0.05), and same letter represents non-significance (p > 0.05).
2.2. Phytochemical Analysis
The quantification of the polyphenolic compounds showed that the ethyl acetate fractions (LEA and SEA) from both the leaves and stems had significantly higher total phenolic and proanthocyanidin contents (Figure 2). These results were in accordance with those reported by Anke et al. [30], where the ethyl acetate subfraction obtained from a defatted acetone–water extract yielded fractions enriched with proanthocyanidins, oligomeric proanthocyanidins, and flavan-3-ols [30]. In addition, 2,3-di-O-galloylarbutin was isolated from an ethyl acetate soluble fraction of an acetone/water crude extract of M. flabellifolia [31]. The total flavonol contents were detected in low amounts in the different fractions. The variability of the polyphenolics in M. flabellefolius was attributed to habitat differences [32]. Total terpenoid content was higher in the butanol fractions (LBUT and SBUT), followed by the ethyl acetate subfractions (LEA and SEA). Monoterpenes predominantly found in M. flabellifolius are pinocarvone and trans-pinocarveol [20]. The distribution of the different phytochemical groups demonstrated that the liquid–liquid extraction aggregated most of the bioactive compounds in the ethyl acetate and n-butanol subfractions. Polyphenols were associated with antioxidant, anti-inflammatory, antiproliferative, antimicrobial, and anti-mutagenic bioactivities [33].

Figure 2.
Quantification of total phenolic and proanthocyanidin contents (A) and total flavonol and terpenoid contents (B) of Myrothanmus flabellifolius leaves and stem extracts. LH: leaf hexane. LCR: leaf crude. LDCM: leaf dichloromethane. LEA: leaf ethyl acetate. LBUT: leaf butanol. LRW: leaf residual water. SH: stem hexane. SCR: stem crude. SDCM: stem dichloromethane. SEA: stem ethyl acetate. SBUT: stem butanol. SRW: stem residual water. Data in the bar chart is expressed as mean ± standard deviation. Values with different letter superscripts in a column are significantly different (p < 0.05), and same letter represents non-significance (p > 0.05).
2.3. Antioxidant Activity
Antioxidants are known to neutralize free radicals and have been linked to antibacterial and anti-biofilm formation activities [34]. The SEA and LEA subfractions had the lowest values EC50 values of 0.46–2.99 μg/mL and 0.13–7.57 μg/mL, respectively. This was significantly higher antioxidant activity than L-ascorbic acid (20.41 μg/mL) (Table 1). Aqueous–organic solvent extracts were previously reported to have notably high DPPH scavenging and hydrogen peroxide-reducing activities [35]. In addition, Bhebhe et al. [36] showed that aqueous extracts (herbal teas) of M. flabellefolius had significant antioxidant properties. The LEA (163.19 ± 0.90 μg/mL) and SEA (197.97 ± 0.32 μg/mL) had better hydrogen peroxide-reducing activity compared to L-ascorbic acid (364.2 ± 0.80 μg/mL). Hydrogen peroxide forms part of reactive oxygen species (ROS) that impair many cellular and mitochondrial biomolecules. The reduction of hydrogen peroxide limits the negative impacts of oxidative stress [37]. The high antioxidant activity appeared to be directly proportional to the high polyphenolic contents.
Table 1.
Antioxidant activity of leaf and stem fractions.
2.4. Cytotoxicity
The assessment of toxicity of the fractions was derived from the previous toxicity profile of brine shrimps reported by Bussmann et al. [38]: where LC50 < 249 μg/mL was considered highly toxic, LC50 values between 250 and 499 μg/mL were considered to have moderate toxicity, LC50 values between 500 and 999 μg/mL had low toxicity, and LC50 values higher than 1000 μg/mL were non-toxic. All the extracts had LC50 > 500 μg/mL, and LBUT had the lowest LC50 value of (529.79 ± 1.09 μg/mL) (Table 2). Therefore, all the fractions had low cytotoxicity. The most non-cytotoxic fractions were the stem residual water extract (SRW) (2157.05 ± 0.77 μg/mL), followed by its crude extract (1430 ± 1.16 μg/mL). Polyphenol-enriched extracts of M. flabellifolius were reported to be non-cytotoxic (LC50, 50 μg/mL) against Vero cells (African green monkey kidney cells) [39]. In addition, Chukwuma et al. [18] demonstrated the protective effect of M. flabellifolius polyphenols against oxidative hepatic cell injury using Chang liver cells. These results corroborated the non-cytotoxicity of M. flabellifolius polyphenols. The literature on in vivo toxicology evaluation tests [40] is scarce.
Table 2.
Cytotoxicity, antibacterial activity, and selectivity indices of M. flabellifolius leaves and stem fractions against common bacterial pathogens.
2.5. Antibacterial Activity on Planktonic Cells
2.5.1. Minimum Inhibitory Concentrations of Extracts
The essential oils of M. flabellifolius were reported to have camphor and eucalyptol that add flavour to commonly brewed caffeine-free teas made from the leaves [40]. Correspondingly, previous studies gave credence to the in vitro antioxidant activity [35,41] and the antimicrobial potential of M. flabellufolius essential oils [42,43]. Reports on the antibacterial and antibiofilm activities of the defatted polyphenolic fractions are not as robust. Minimum inhibitory concentration (MIC) is the most common approach to express antibacterial activity and represents the lowest concentration of a drug that inhibits microbial growth [44].
All the fractions from the leaves, except for the residual water subfraction (LRW), demonstrated notable antibacterial activity, where MIC values ≤ 630 μg/mL were determined against three GNB (Table 2). For the stem fractions, only the SDCM and residual water (SRW) had weak antibacterial activity against GNB. On the other hand, only LCR, LEA, SEA, and SBUT fractions had significant antibacterial activity against Staphylococcus aureus (MIC ≤ 630 μg/mL). Gram-negative bacteria are generally known to be more drug resistant than GPB due to the presence of an outer membrane [45]. Interestingly, our results generally showed that some fractions (LDCM, LBUT, and SCR) inhibited the test GPB (S. aureus) at higher concentrations than GNB. Gram-positive bacterial cell walls are composed of a thick peptidoglycan layer and lipoteichoic acids [46]. The MIC values of ethyl acetate and butanol fractions (LEA, SEA, LBUT, and SBUT) were 630 μg/mL against M. smegmatis. Given that traditional cultures around southern Africa use the plant to treat respiratory infections, the antimycobacterial activity of the fractions requires further evaluations against Mycobacterium tuberculosis. These results showed that the polyphenolic-enriched fractions of the stems and leaves of M. flabellifolius had broad-spectrum antibacterial activity. Relatively low selectivity indices (SI values) suggest that a test sample is toxic and cannot be used as a (herbal) drug, and SI values between 1 and 10 are generally moderate to non-cytotoxic. The subfractions generally demonstrated better selectivity of bacterial growth inhibition than brine-shrimp nauplii cytotoxicity. The highest selectivity values were obtained with SEA (SI: 5.9) followed by SCR (SI, 4.6) against P. aeruginosa. The lowest SI value (0.3) was obtained from LRW against S. aureus and M. smegmatis. The subfractions from both the leaves and stem demonstrated significant antibacterial activity with high selectivity to the bacterial cells.
2.5.2. Growth-Kinetic Curves
The growth-kinetic curve assay was conducted to investigate the kinetics involved in the antibacterial activity of LEA and SEA. The selection of LEA and SEA was based on their significant broad-spectrum antibacterial activity towards planktonic cells. The assessment of growth bacterial cells over 24 h was compared to an untreated control culture. Both LEA and SEA had concentration-dependent antibacterial activity. The treated cultures of all the test bacteria exhibited phenotypic growth that was generally different from the control culture in two main ways: (1) the lag phase of bacterial growth was lengthened and/or (2) the growth rate of the planktonic culture was decreased resulting in a lower final absorbance value (Figure 3). Similar bacterial growth-kinetic curve responses were previously reported by Jung et al. [47], in which Caesalpinia sappan L. extracts lengthened the lag phase of methicillin-resistant S. aureus by 2 h before the culture reached the exponential phase. Moreover, a crude extract of Adiantum philippense was reported to have extended the lag phase of E. coli, S. aureus, P. aeruginosa, and S. flexneri [48].
Figure 3.
Growth curves of culture treated with different concentrations of ethyl acetate fractions of the leaves and stem. MIC: minimum inhibitory concentration, LEA: leaf ethyl acetate fraction, SEA: stem ethyl acetate fraction.
As the treatment time progressed, bacterial growth gradually recovered. This demonstrated that the antibacterial activity of the fractions was bacteriostatic. One possible explanation may be that the extracts exert their antibacterial activity by first entering the cytoplasm to be metabolised before growth impairment occurs. Therefore, when the concentrations of the active antibacterial components in the media decrease, the cells recover and continue with normal growth. It was further suggested that some of the antibacterial mechanisms of action of polyphenols involve a change in bacterial metabolism through the inhibition of enzymes such as oxidoreductases, lyases, and transfer enzymes [49].
2.6. Anti-Motility Screening
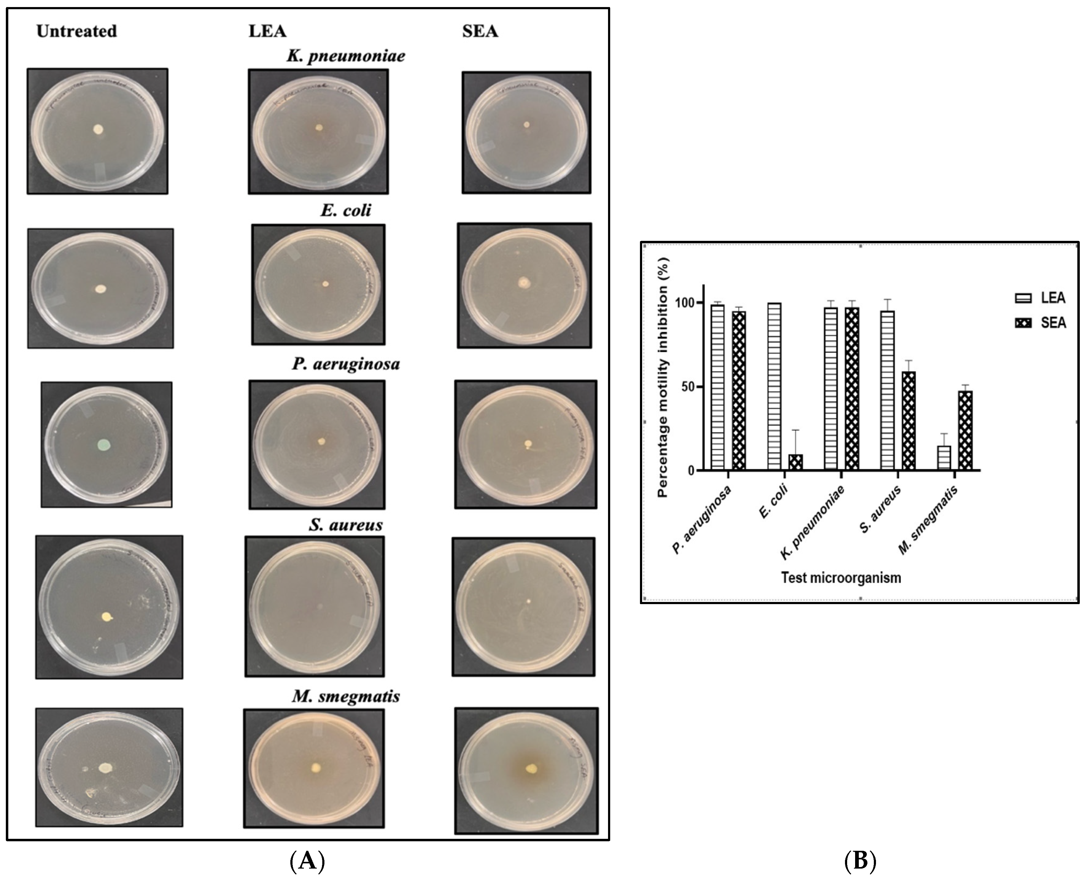
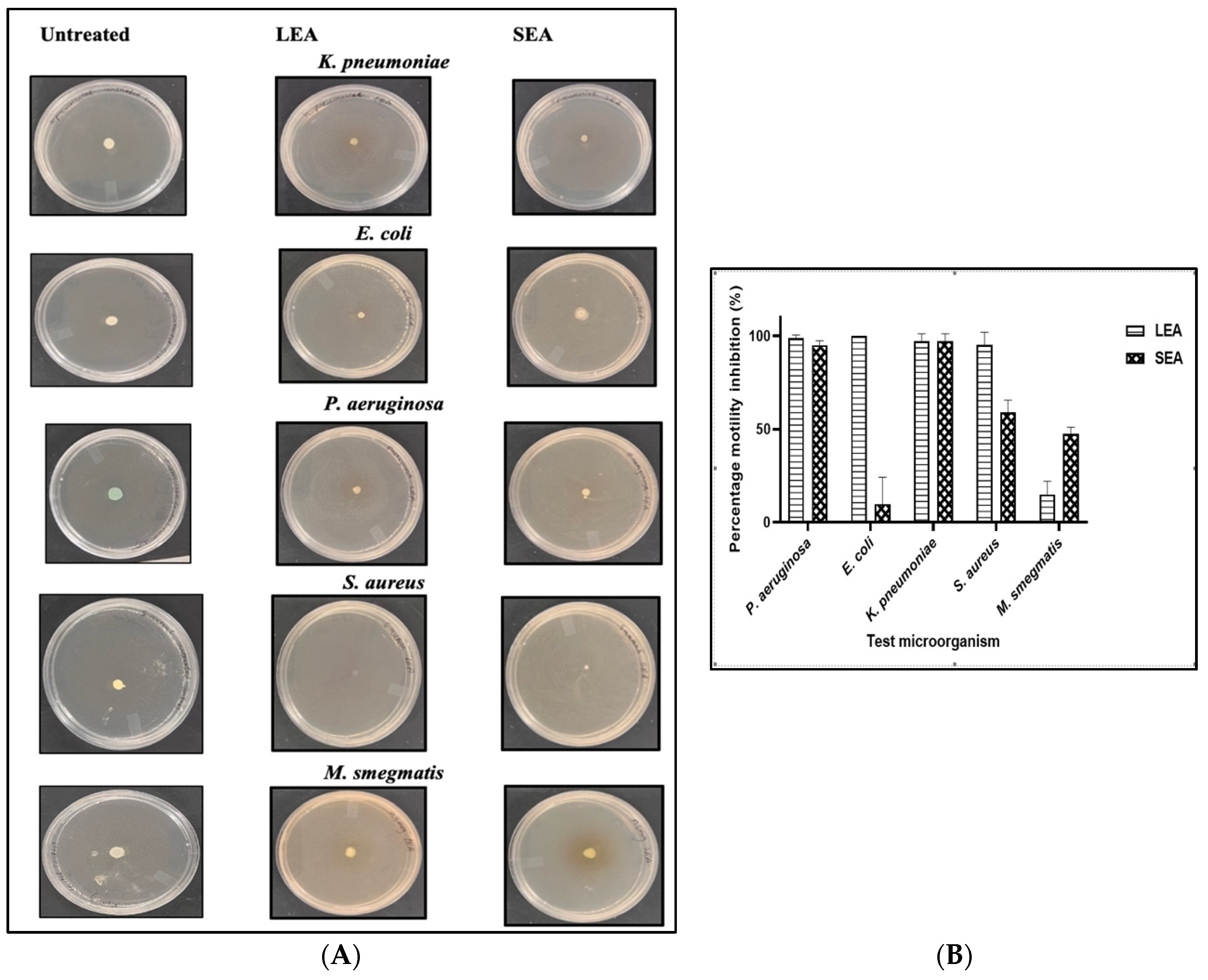
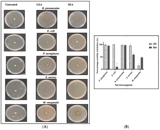
The ethyl acetate fractions were further assessed for their potential to inhibit the motility of the test pathogens. Swarming contributes to the onset of early biofilm formation; thus, the inhibition of this motility may reduce the biofilm formation potential of bacteria [50]. The reduction of the size of the diameter at the point of inoculation by the fractions was measured and compared to an untreated control culture (Figure 4A). The LEA fractions inhibited 100% of P. aeruginosa, E. coli, K. pneumoniae, and S. aureus (Figure 4B). Other authors also reported that proanthocyanidin-rich extracts (100 μg/mL) of cranberry and pomegranate blocked the motility of P. aeruginosa [51]. The SEA generally had anti-motility activity. M. smegmatis motility was the most resistant to both fractions. M. smegmatis can spread on a surface by a sliding mechanism with the presence of glycopeptidolipids located in the outermost layer of the cell wall [52]. There is a scarcity of research assessing the anti-virulence potential of M. flabellifolius. The anti-motility potential of the LEA and SEA may indicate their interference with the early stages of biofilm formation.
Figure 4.
Anti-swarming effects of the leaves (LEA) and stem (SEA) ethyl acetate fractions against K. pneumoniae, E. coli, P. aeruginosa, S. aureus, and M. smegmatis (A) and their percentage motility inhibition (B). Values in (B) are expressed as mean ± standard deviation (SD) of duplicates.
2.7. Anti-Biofilm Screening
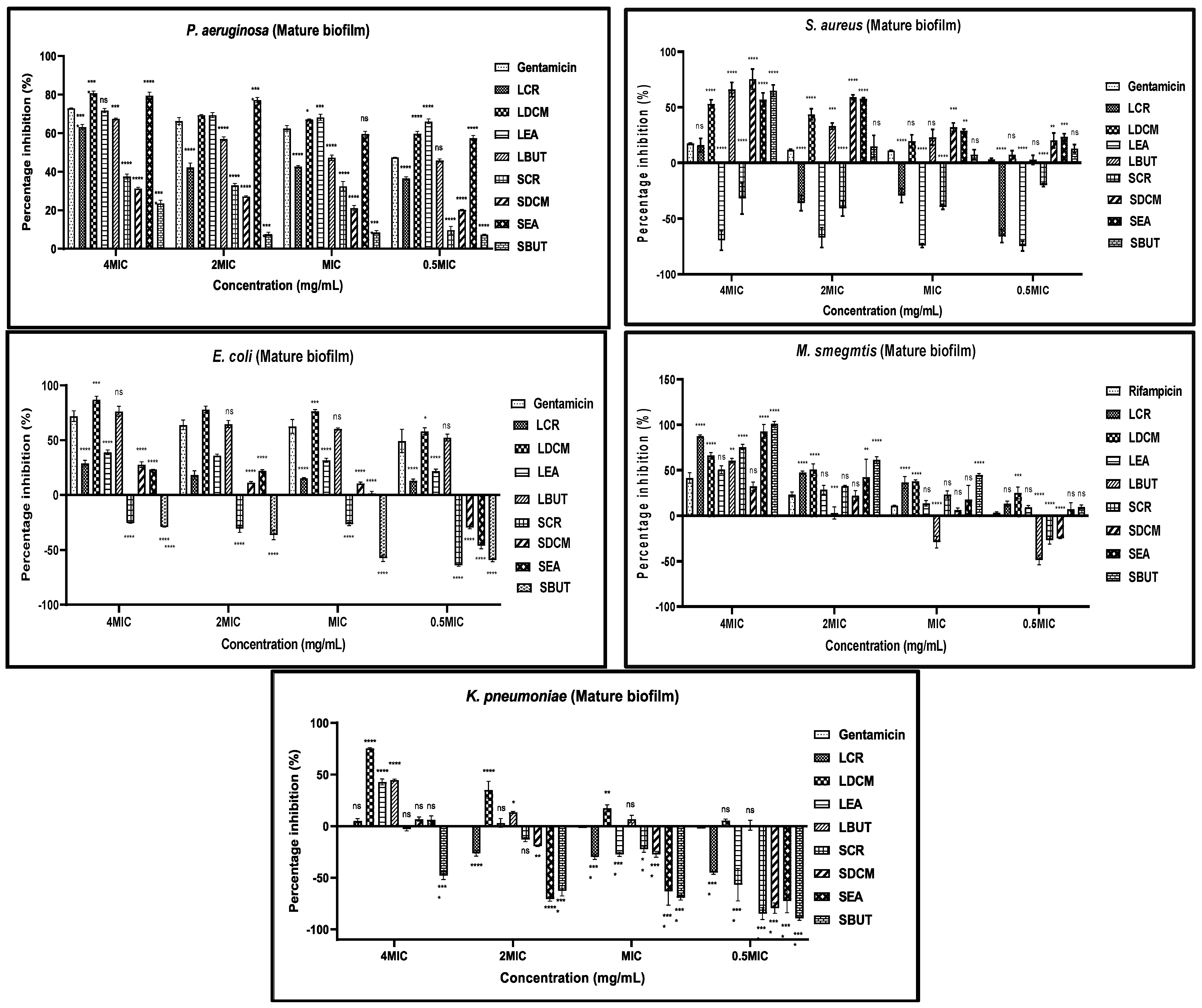
2.7.1. Inhibition of Mature Biofilm
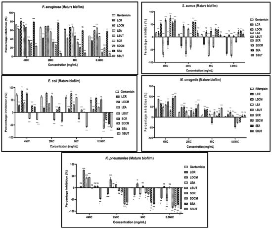
Detecting and diagnosing biofilm-related infections can be more challenging due to their resilient nature. Mature biofilms exacerbate the development of antimicrobial resistance. Consequently, the efficacy of previously active antibiotics against planktonic cells becomes weakened. In line with other researchers, the eradication of more than 50% of the pre-formed biofilms was taken as notable anti-biofilm activity [53]. The mature biofilm of P. aeruginosa was the most susceptible among the selected GNB. It was further observed that the sub-minimum inhibitory concentrations (sub-MICs) (~1/2*MIC) of LDCM, LEA, and SEA fractions eradicated more than 50% of P. aeruginosa biofilm (Figure 5). Similarly, LDCM and LBUT eradicated more than 50% of E. coli biofilm at sub-MICs. This is significant because, at concentrations superior to or near the MIC, antimicrobials behave like toxins on susceptible bacterial cells. However, sub-MICs can induce diverse biological responses in bacteria associated with tolerance and biofilm formation [54]. The K. pneumoniae biofilms were the most resistant to eradication using both Gentamicin and fractions; only the LDCM at 4MIC was able to have substantial antibiofilm activity. The stem fractions generally showed weak activity against GNB biofilms but had significant activity against both S. aureus and M. smegmatis at higher concentrations (4MIC and 2MIC). The use of stem fractions to inhibit mature biofilms carries the risk of toxic side effects as higher concentrations increase the chances of toxicity and adverse effects when ingested [55]. The use of these stem fractions may be relevant to topical application against M. smegmatis and S. aureus infections involving the skin and wounds. Indeed, the potential use of polyphenols of M. flabellifolius for cosmetic and skin care was reported [39,43].
Figure 5.
Antibiofilm activities of M. flabellifolius leaf and stem fractions by eradication of mature biofilms. LCR: leaf crude. LDCM: leaf dichloromethane. LEA: leaf ethyl acetate. LBUT: leaf butanol. SCR: stem crude. SDCM: stem dichloromethane. SEA: stem ethyl acetate. SBUT: stem butanol. Values expressed as mean ± standard deviation (SD) of triplicates; ns: not significant. (*): p < 0.05. (**): p < 0.01. (***): p < 0.001. (****): p < 0.0001.
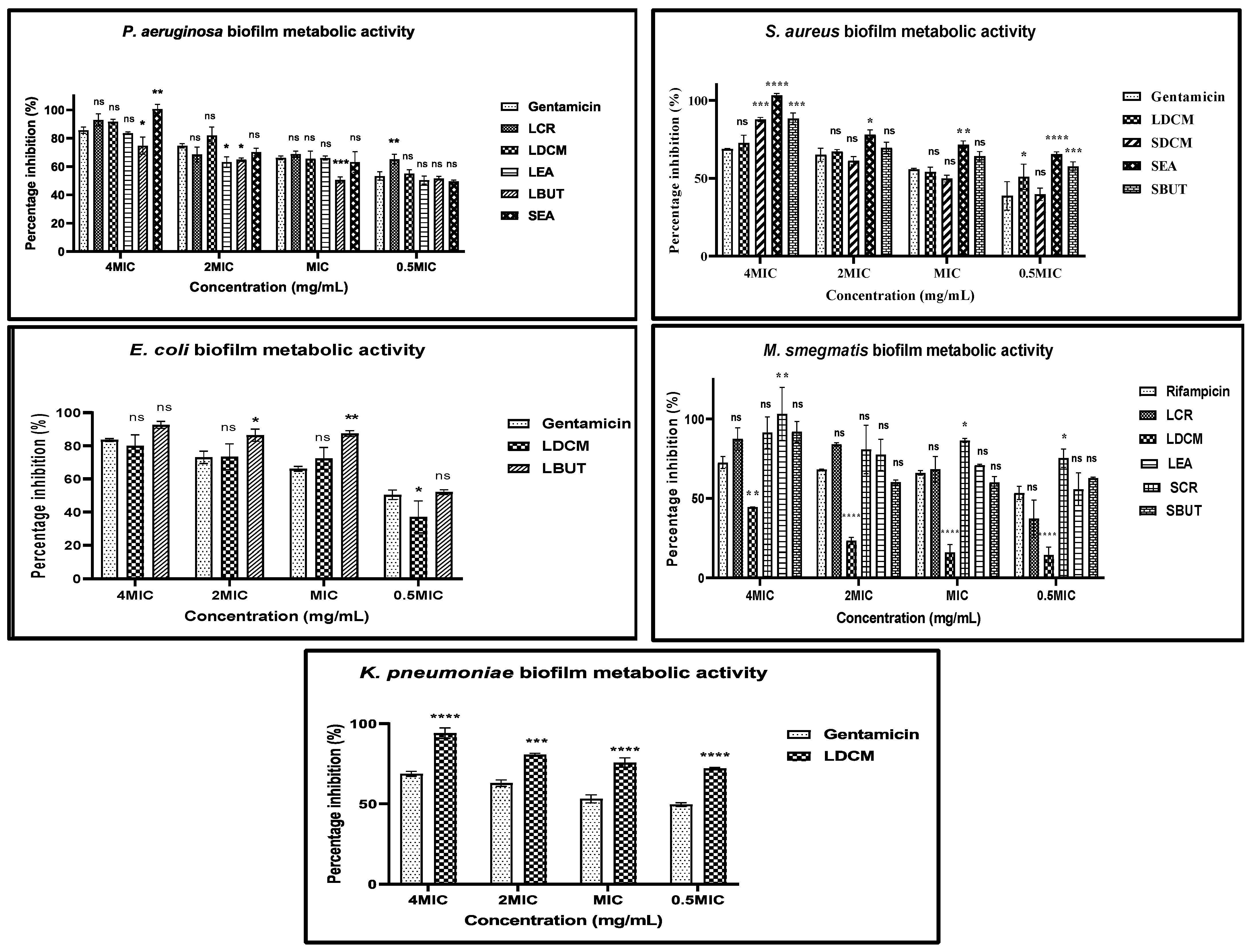
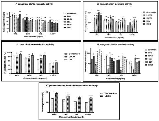
2.7.2. Metabolic Activity of Mature Biofilms
One of the main drawbacks of the crystal violet assay is that the used dye has non-specific staining of the biofilm biomass. Therefore, there is no differentiation between viable cells, dead cells, and their associated EPS layer. An alternative approach to determine antibiofilm activity is to evaluate the metabolic activity commonly using tetrazolium salts. The MTT and resazurin were previously used to evaluate the extent of microbial growth in biofilms, where metabolically active cells reduce tetrazolium salt to a quantifiable purple formazan [56,57]. In this study, antibiofilm active extracts were assessed for their effect on the metabolic activity of the biofilms using INT. Like the eradication of mature biofilms, all the fractions had a concentration-dependent inhibition of the biofilm metabolic activities (Figure 6). In a different study, it was shown that gallic acid (phenolic acid) reduced the metabolic activity tested biofilms of P. aeruginosa, S. aureus, L. monocytogenes, and E. coli [57]. The inhibition of the metabolic activity by the polyphenolic-enriched fractions suggested that they were able to interact with the bacteria within the biofilms. Accordingly, it was reported that phenolic compounds can inhibit biofilms by interfering with regulatory pathways without significantly suppressing bacterial growth [58]. However, our results indicated that the mature biofilms of the test bacteria were eradicated by M. flabellifolius polyphenols by interfering with the biomass structure and inactivation of metabolic activity, making this plant a good source of antibiofilm compounds.
Figure 6.
The effect of antibiofilm fractions on the metabolic activity of the biofilm biomass. LCR: leaf crude. LDCM: leaf dichloromethane. LEA: leaf ethyl acetate. LBUT: leaf butanol. SCR: stem crude. SDCM: stem dichloromethane. SEA: stem ethyl acetate. SBUT: stem butanol. Values expressed as mean ± standard deviation (SD) of triplicates. ns: not significant. (*): p < 0.05. (**): p < 0.01. (***): p < 0.001. (****): p < 0.0001.
3. Materials and Methods
3.1. Plant Collection, Drying and Storage
The plant was collected from the Makgeng area (23.9416° S, 29.8254° E) in the Limpopo Province, South Africa, in March 2023 and identified by Dr. E. Bronwyn of the Larry Leach herbarium at the University of Limpopo (Voucher, SS 111). The leaves were separated from the stems and separately dried at ambient temperatures in an open laboratory environment with low humidity levels. The material was ground, and the fine powders (1.18 mm sieve used) were kept inside airtight glass jars.
3.2. Extraction
The leaves and stem powdered material (5 g) was extracted using 70% acidified acetone and hexane simultaneously. To make up the 70% acidified acetone, 70 mL of acetone (Merk, Johannesburg, South Africa, Cas no. 67-64-1), 28 mL of water, and 2 mL of acetic acid (Merk, Johannesburg, South Africa, Cas no. 64-19-7) were mixed (70/28/2). The mixture of the plant material, 70% acidified acetone, and hexane (Merk, Johannesburg, South Africa, Cas no. 110-54-3) were shaken at 200 rpm for 24 h at an ambient temperature. After the 24 h extraction, the hexane fraction was decanted from the 70% acidified acetone fraction. Subsequently, the 70% acetone extract was partitioned into two portions, A and B. Portion A of the 70% acidified acetone fraction was dried and designated as the crude extract, and portion B was consecutively fractionated using liquid–liquid extraction with solvents of increasing polarity, namely, dichloromethane, ethyl acetate, and butanol [59]. The extraction flowchart is represented in Figure 7.
Figure 7.
Flow chart showing the extraction and liquid–liquid fractionation of powdered leaves and stems of Myrothamnus flabellifolius.
3.3. Phytochemical Screening
3.3.1. Determination of Phenolic Content
The Folin–Ciocalteu reagent (Merk, Johannesburg, South Africa, Cas no. F9252) method described by Tambe and Bhambar [60] was adopted to determine the total phenolic contents of different fractions from the leaves and stems. Gallic acid (0.08–1.25 mg/mL) (Merk, Johannesburg, South Africa, Cas no. 149-91-7) was used as a standard for the quantification. The results were expressed as milligrams of gallic acid equivalence/gram of extract (mg GAE/g extract).
3.3.2. Determination of Total Flavonol Content
The aluminium chloride method detailed by Iqbal et al. [61] was followed to determine total flavonol content. Quercetin (Merk, Johannesburg, South Africa, Cas no. 117-39-5) was used as a standard using different concentrations (16–250 µg/mL). Results were expressed as mg quercetin equivalent per gram of extract (mg QE/g).
3.3.3. Determination of Total Proanthocyanidin Content
Total proanthocyanidin content was quantified by following the procedure described by Sun et al. [62]. Gallic acid (Merk, Johannesburg, South Africa, Cas no. 149-91-7) was used as a standard control, and concentrations between 250 and 16 µg/mL were used to construct a standard curve. Total proanthocyanidin content was expressed as milligram gallic acid equivalence/gram of extract (mg GAE/g).
3.3.4. Quantification of Total Terpenoid Content
The total terpenoid content (TTC) of the fractions was determined by the method detailed by Truong et al. [63]. Linalool (Merk, Johannesburg, South Africa, Cas no. 78-70-6) was used to construct a standard curve. The TTC of the extracts was calculated as mg of linalool per gram of extract.
3.4. Antioxidant Screening
3.4.1. Free Radical (DPPH) Scavenging Assay
Free radical scavenging activity of the fractions was determined using 2,2-Diphenyl-1-picrylhydrazyl (DPPH) method [64]. Different concentrations of the fractions (15.63–250 µg/mL) were prepared. L-ascorbic acid (Merk, Johannesburg, South Africa, Cas no. 50-81-7) was used as a standard control. To solutions with the fractions, 0.2 mM DPPH (Inqaba biotec, Tshwane, South Africa, Cas no GLS GX8745) was added, and the mixtures were allowed to react in the dark for 30 mins. The solutions were analysed at 517 nm with a UV/VIS spectrophotometer (Thermo Scientific, CAT:840-209800, Waltham, MA, USA, Genesys 10S UV-VIS, Menlo Park, CA, USA).
3.4.2. Hydrogen Peroxide Assay
A solution of hydrogen peroxide (40 mM) (Merk, Johannesburg, South Africa, Cas no. 7722-84-1) was prepared in 0.43 mM phosphate buffer (pH 7.4). Different concentrations (15.63–250 µg/mL) of the fractions (or L-ascorbic acid) were added to a hydrogen peroxide solution (0.6 mL, 40 mM). The absorbance of hydrogen peroxide at 230 nm was determined after 10 min against a blank solution containing phosphate buffer without hydrogen peroxide [65].
3.5. Antibacterial Activity
3.5.1. Bacterial Pathogens and Maintenance
Staphylococcus aureus (ATCC 29213), Enterococcus faecalis (ATCC 29212), Escherichia coli (ATCC 28922), Pseudomonas aeruginosa (ATCC 27853), and Mycobacterium smegmatis (ATCC 1441) were used to assess the antibacterial, anti-motility, and anti-biofilm activities. All the bacterial cultures were grown at 37 °C. The Gram-negative and Gram-positive bacteria were cultured in nutrient broth (Merk, Johannesburg, South Africa, Cas no. 70122). M. smegmatis was cultured in Middlebrook 7H9 base (Merk, Johannesburg, South Africa, Cas no. M0178) mixed with glycerol (Inqaba biotec, Tshwane, South Africa, Cas no. 56-81-5) and oleic albumin dextrose catalase (OADC) growth supplement (Merk, Johannesburg, South Africa, Cas no. M0678).
3.5.2. Broth Micro-Dilution Assay
The antibacterial activity of the fractions was evaluated using the broth micro-dilution assay described by Eloff [66]. The stock cultures were grown at 37 °C overnight, and, using standards, working concentrations were adjusted such that Escherichia coli (2 × 1010 cfu/mL), Staphylococcus aureus (2 × 108 cfu/mL), Mycobacterium smegmatis (2 × 105 cfu/mL), Enterococcus faecalis (3 × 108 cfu/mL), and P. aeruginosa (3 × 109 cfu/mL) were used for the bioassay. Sterile distilled water (100 µL) was added to each well of a 96-well microtitre plate. The extracts (10 mg/mL) were serially diluted with distilled water in the 96 well microtitre plates to achieve a concentration of 2.5–0.02 mg/mL in 100 µL of volume. The test bacterial culture (100 μL) was added to respective wells. The microtitre plates were incubated for 24 h at 37 °C. Following incubation, 40 µL of 0.2 mg/mL of p-iodonitrotetrazolium chloride (INT) (Inqaba biotec, Tshwane, South Africa, Cas no. GLS GC3113) was added and incubated for 30 min. Gentamicin (Inqaba biotec, Tshwane, South Africa, Cas no. GLS GA7939) and rifampicin (Inqaba biotec, Tshwane, South Africa, Cas no. GLS GA1853) were used as positive controls for respective bacterial strains. Sterile distilled water was used as the negative control. A visible colour change to pink/red was indicative of viable cells, and the lowest concentration of the fractions that lead to unchanged wells was defined as the MIC.
3.5.3. Growth-Kinetic Curves
The effect of the fractions on the kinetics of bacterial growth was investigated by inoculating overnight cultures of P. aeruginosa, E. coli, K. pneumoniae, S. aureus into 20 mL of nutrient broth (Merk, Johannesburg, South Africa, Cas no. 70122), and M. smegmatis into OADC supplemented Middlebrook 7H9 broth base. The inoculum was inoculated such that the start OD600 at t = 0 is 0.02. Different concentrations (4MIC, 2MIC, MIC, 0.5MIC) of the extracts were added to the flasks. Flasks with the culture only served as a positive control, flasks without both the fractions and culture served as a negative control, and flasks with the fractions and media only served as colour controls for reading absorbance at 660 nm (OD600 nm). Readings were taken at 3, 6, 9, 18, 24 h intervals [67].
3.6. Anti-Biofilm Screening
3.6.1. Inhibition of Development of Pre-Formed Biofilms
The ability of the fractions to eradicate mature biofilms and prevent further biofilm formation was evaluated. Standardised cultures (OD600 = 0.02) of M. smegmatis, S. aureus, P. aeruginosa, K. pneumoniae, and E. coli were added into 96-well plates and incubated at 37 °C for 48 h at static conditions at final volumes of 100 μL. Following incubation, the biofilms were aspirated with fresh media, and the fractions (100 μL) were added to give final concentrations corresponding with multiples of their respective MICs (4MIC, 2MIC, MIC, 0.5MIC). The plates were further incubated at 37 °C for 24 h. Gentamicin (Inqaba biotec, Tshwane, South Africa, Cas no. GLS GA7939) was used as a positive control, and sterile distilled water was used as negative control [53].
3.6.2. Crystal Violet Staining Assay
To quantify the inhibition of mature biofilms, the treatment plates were washed three times with sterile distilled water and oven-dried at 60 °C for 45 min. The wells were then stained with 100 μL of 0.1% crystal violet (Inqaba biotec, Tshwane, South Africa, Cas no. GA9809) and incubated at room temperature for 15 min. The plates were washed three times with sterile distilled water to remove unabsorbed stains. The crystal violet was solubilised by adding 125 μL of ethanol (Merk, Johannesburg, South Africa, Cas no. 64-17-5), and the solution was transferred to a new plate. The absorbance was measured at 590 nm using a microplate reader (Thermo Scientific, CAT:1530, Multiskan sky, Singapore) [68].
3.6.3. Metabolic Activity of Biofilms
The anti-metabolic activity of the fractions was quantified as described by Mohsenipour and Hassanshahian [69]. The 48 h formed biofilms were washed three times with 1× phosphate-buffered saline. Different concentrations of selected fractions were added microplate was incubated for 24 h at 37 °C. Subsequently, 50 µL of INT (Inqaba biotec, Tshwane, South Africa, Cas no. GLS GC3113) solution was added to each well and incubated in the dark at 37 °C for 30 min. Absorbance was measured at 490 nm with a microplate reader (Thermo Scientific, CAT:1530, Multiskan sky, Singapore). The percentages of reduced biofilm metabolic activity of the treated and untreated biofilms were determined.
3.7. Anti-Motility Assay
The swarming motility assay was conducted following the protocol described by Kuchma et al. [70], with slight modifications. A bacteriological agar solution with a concentration of 0.5% was added with nutrient broth, dissolved in distilled water. Bacteriological agar (Merk, Johannesburg, South Africa, Cas no. 9002-18-0) was then mixed with plant extracts at different concentrations (4MIC, MIC, 0.5MIC) and was poured into sterile petri dishes and allowed to solidify. Overnight cultures (10 μL) were inoculated at the centre of the soft-agar plates and incubated at 37 °C for 24 h. Plates without plant extracts were used as a positive control (untreated cultures). Motility was observed as an increase in the diameter of the circle from the point of inoculation after incubation and images were taken.
3.8. Cytotoxicity on Artemia Salina
The eggs of brine shrimps were hatched in a laboratory at room temperature. Briefly, 1 g of brine shrimp eggs were added to 1 L of saline water. The saline water was prepared by dissolving 33 g of non-iodised salt in 1 L of distilled water. The pH of the saline water was adjusted to 8.5 using 0.5 M sodium hydroxide (NaOH) (Merk, Johannesburg, South Africa, Cas no. 1310-73-2). The eggs were incubated for 48 h at ambient temperatures. The hatchery apparatus was illuminated during the incubation with a 40 W electric bulb. For the test, plant extracts were serially diluted in freshly prepared saline water to obtain a concentration ranging between 1 µg/mL and 1000 µg/mL up to a volume of 1 mL. The incubation duration was set to 24 h at room temperature. The live brine shrimps were counted visually. The IC50 (µg/mL) and selectivity indices were determined [71]. The procedure was carried out in triplicate. The selectivity index values were calculated by dividing cytotoxicity LC50 values by the MIC values of the test bacteria in the same units (SI = LC50/MIC). Selectivity index values greater than one suggest that extracts are less toxic to the host cell than the bacteria [72].
3.9. Statistical Analysis
Results were expressed as means ± standard deviation of triplicate determinations. Statistical analysis was performed by IBM Statistical Package for the Social Sciences (SPSS) (version 22, Johannesburg, South Africa) by a two-way analysis of variance (ANOVA) followed by Tukey multiple comparison post hoc test. The significant difference was considered when p < 0.05, and conversely, non-significance was indicated when p > 0.05.
4. Conclusions
Myrothamnus flabellifolius plays an important role in ethnomedicine to treat various ailments, including infectious diseases. Here, we report on the antioxidant, cytotoxicity, antibacterial, anti-motility, and anti-biofilm activities of M. flabellifolius polyphenols from the leaves and stem parts. The study revealed that the ethyl acetate fractions from both the stem and leaves had comparable antioxidant activity to L-ascorbic acid and broad-spectrum antibacterial activity at non-cytotoxic concentrations. Moreover, these ethyl acetate fractions demonstrated notable anti-motility and anti-biofilm activity that involved eradicating biofilm biomass and inactivating metabolic activity and highlighted the need to broaden our current knowledge of the effects of sub-MICs on biofilm formation. Molecular investigation is required to explore the exact mechanisms of the antibacterial and anti-virulence action and functions of M. flabellifolius polyphenols.
Author Contributions
Conceptualisation, M.M.M. and P.M.; methodology, M.M.M. and P.M.; investigation, M.M.M. and P.M.; data curation, M.M.M.; resources, P.M.; writing—original draft preparation, M.M.M.; writing—review and editing, M.M.M. and P.M. All authors have read and agreed to the published version of the manuscript.
Funding
University of Limpopo (Grant no: N624). Funding was for consumables.
Data Availability Statement
Data are contained within the article.
Acknowledgments
We would like to thank the University of Limpopo and the antimicrobials and phytomedicine group (APMG).
Conflicts of Interest
The authors declare no conflicts of interest.
References
- Ng, L.S.; Tan, T.Y.; Yeow, S.C. A cost-effective method for the presumptive identification of Enterobacteriaceae for diagnostic microbiology laboratories. Pathology 2010, 42, 280–283. [Google Scholar] [CrossRef]
- Nair, N.; Biswas, R.; Götz, F.; Biswas, L. Impact of Staphylococcus aureus on pathogenesis in polymicrobial infections. Infect. Immun. 2014, 82, 2162–2169. [Google Scholar] [CrossRef]
- Lomaquiz, C.D.; Frontanilla, T.; Scavone, N.; Fretes, A.; Torales, N.; Pereira, M.E.; Mino de Kaspar, H.; Ortiz, X.; Henning, R. Rapid growth atypical mycobacteria infection associated with growth hormone injections: A case report. Access Microbiol. 2021, 3, 000280. [Google Scholar]
- Dutescu, I.A.; Hillier, S.A. Encouraging the development of new antibiotics: Are financial incentives the right way forward? A systematic review and case study. Infect. Drug Resist. 2021, 14, 415–434. [Google Scholar] [CrossRef]
- Yuan, R.D.; Cossart, P. How pathogens colonize their hosts and invade deeper tissues. Microbes Infect. 2015, 17, 173–183. [Google Scholar]
- Rasko, D.A.; Sperandio, V. Anti-virulence strategies to combat bacteria-mediated disease. Nat. Rev. Drug Discov. 2010, 9, 117. [Google Scholar] [CrossRef] [PubMed]
- Belette, T.F. Novel targets to develop new antibacterial agents and novel alternatives to antibacterial agents. Hum. Microbiome J. 2019, 11, 100052. [Google Scholar] [CrossRef]
- Cheesman, M.J.; Ilanko, A.; Blonk, B.; Cock, I.E. Developing new antimicrobial therapies: Are synergistic combinations of plant extracts/compounds with conventional antibiotics the solution? Pharmacogn. Rev. 2017, 11, 57–72. [Google Scholar]
- Gorlenko, C.L.; Kiselev, H.Y.; Budanova, E.V.; Zamyatnin, A.A.; Ikryannikova, L.N. Plant secondary metabolites in the battle of drugs and drug-resistant bacteria: New heroes or worse clones of antibiotics? Antibiotics 2020, 9, 170. [Google Scholar] [CrossRef] [PubMed]
- Freitas, A.I.; Lopes, N.; Oliveira, F.; Brás, S.; França, Â.; Vasconcelos, C.; Vilanova, M.; Cerca, N. Comparative analysis between biofilm formation and gene expression in Staphylococcus epidermidis isolates. Future Microbiol. 2018, 13, 415–427. [Google Scholar] [CrossRef] [PubMed]
- Dubois-Brissonnet, F.; Trotier, E.; Briandet, R. The biofilm lifestyle involves an increase in bacterial membrane saturated fatty acids. Front. Microbiol. 2016, 28, 1673. [Google Scholar] [CrossRef]
- Fu, J.; Zhang, Y.; Lin, S.; Zhang, W.; Shu, G.; Lin, J.; Li, H.; Xu, F.; Tang, H.; Peng, G.; et al. Strategies for interfering with bacterial early-stage biofilms. Front. Microbiol. 2021, 12, 675843. [Google Scholar] [CrossRef]
- Sharma, D.; Misba, L.; Khan, A.U. Antibiotics versus biofilm: An emerging battleground in microbial communities. Antimicrob. Resist. Infect. Control. 2019, 8, 76. [Google Scholar] [CrossRef]
- Mah, T.-F. Biofilm-specific antibiotic resistance. Future Microbiol. 2012, 7, 1061–1072. [Google Scholar] [CrossRef] [PubMed]
- Moore, J.P.; Hearshaw, M.; Ravenscroft, N.; Lindsey, G.G.; Farrant, J.M.; Brandt, W.F. Desiccation-induced ultra-structural and biochemical changes in the leaves of the resurrection plant Myrothamnus flabellifolia. Aust. J. Bot. 2007, 55, 482–491. [Google Scholar] [CrossRef]
- Moore, J.P.; Westall, K.L.; Ravenscroft, N.; Farrant, J.M.; Lindsey, G.G.; Brandt, W.F. The predominant polyphenol in the leaves of the resurrection plant Myrothamnus flabellifolius, 3,4,5 tri-O-galloylquinic acid, protects membranes against desiccation and free radical-induced oxidation. Biochem. J. 2004, 385, 301–308. [Google Scholar] [CrossRef]
- Moore, J.P.; Farrant, J.M.; Lindsey, G.G.; Brandt, W.F. The South African and Namibian populations of the resurrection plant Myrothamnus flabellifolius are genetically distinct and display variation in their Galloylquinic Acid composition. J. Chem. Ecol. 2005, 31, 2823–2834. [Google Scholar] [CrossRef]
- Chukwuma, C.I.; Matsabisa, M.G.; Rautenbach, F.; Rademan, S.; Oyedemi, S.O.; Chaudhary, S.K.; Javu, M. Evaluation of the nutritional composition of Myrothamnus flabellifolius (Welw.) herbal tea and its protective effect against oxidative hepatic cell injury. J. Food Biochem. 2019, 43, e13026. [Google Scholar] [CrossRef]
- Moore, J.P.; Nguema-Ona, E.; Chevalier, L.; Lindsey, G.G.; Brandt, W.F.; Lerouge, P.; Farrant, J.M.; Driouich, A. Response of the leaf cell wall to desiccation in the resurrection plant Myrothamnus flabellifolius. Plant Physiol. 2006, 141, 651–662. [Google Scholar] [CrossRef] [PubMed]
- Nantapo, C.W.T.; Marume, U. Exploring the potential of Myrothamnus flabellifolius Welw. (Resurrection Tree) as a phytogenic feed additive in animal nutrition. Animals 2022, 12, 1973. [Google Scholar] [CrossRef]
- Semenya, S.S.; Potgieter, M.J.; Erasmus, L.J.C. Indigenous plant species used by Bapedi healers to treat sexually transmitted infections: Their distribution, harvesting, conservation and threats. S. Afr. J. Bot. 2013, 87, 66–75. [Google Scholar] [CrossRef]
- Semenya, S.S.; Maroyi, A. Medicinal plants used for the treatment of tuberculosis by Bapedi traditional healers in three districts of the Limpopo Province, South Africa. Afr. J. Tradit. Complement. Altern. Med. 2012, 10, 316–323. [Google Scholar] [CrossRef] [PubMed]
- Setshogo, M.P.; Mbereki, C.M. Floristic diversity and uses of medicinal plants sold by street vendors in Gaborone, Botswana. Afr. J. Plant Sci. 2011, 5, 69–74. [Google Scholar]
- Chigora, P.; Masocha, R.; Mutenheri, F. The role of indigenous medicinal knowledge (IMK) in the treatment of ailments in rural Zimbabwe: The case of Mutirikwi communal lands. J. Sustain. Dev. Afr. 2007, 9, 26–43. [Google Scholar]
- Motlhanka, D.M.T.; Mathapa, G. Antioxidant activities of crude extracts from medicinal plants used by diabetic patients in Eastern Botswana. J. Med. Plants Res. 2012, 6, 5460–5463. [Google Scholar]
- Maroyi, A. Traditional use of medicinal plants in south-central Zimbabwe: Review and perspectives. J. Ethnobiol. Ethnomed. 2013, 9, 31. [Google Scholar] [CrossRef] [PubMed]
- Ajao, A.A.; Ashafa, A.O.T. Kinetics of inhibitory action of Myrothamnus flabellifolius Welw. on the activities of α-amylase and α-glucosidase. Comp. Clin. Pathol. 2017, 26, 911–920. [Google Scholar] [CrossRef]
- Lohr, G.; Beikler, T.; Podbielski, A.; Standar, K.; Redanz, S.; Hensel, A. Polyphenols from Myrothamnus flabellifolia Welw. inhibit in vitro adhesion of Porphyromonas gingivalis and exert anti-inflammatory cytoprotective effects in KB cells. J. Clin. Periodontol. 2011, 38, 457–469. [Google Scholar] [CrossRef]
- Molefe-Khamanga, D.M.; Mooketsi, N.A.; Matsabisa, M.G.; Kensley, R.M. Qualitative phytochemical studies of solvent extracts from Myrothamnus flabellifolius. Int. J. Med. Plant Res. 2012, 1, 1–5. [Google Scholar]
- Anke, J.; Petereit, F.; Engelhardt, C.; Hensel, A. Procyanidins from Myrothamnus flabellifolia. Nat. Prod. Res. 2008, 22, 1237–1248. [Google Scholar] [CrossRef]
- Engelhardt, C.; Petereit, F.; Anke, J.; Hensel, A. A new arbutin derivative from the herb of Myrothamnus flabellifolia Welw. Pharmazie 2007, 62, 558–559. [Google Scholar] [CrossRef]
- Bentley, J.; Moore, J.P.; Farrant, J.M. Metabolomic profiling of the desiccation-tolerant medicinal shrub Myrothamnus flabellifolia indicates phenolic variability across its natural habitat: Implications for tea and cosmetics production. Molecules 2019, 24, 1240. [Google Scholar] [CrossRef]
- Ecevit, K.; Barros, A.A.; Silva, J.M.; Reis, R.L. Preventing microbial infections with natural phenolic compounds. Future Pharmacol. 2022, 2, 460–498. [Google Scholar] [CrossRef]
- Francolini, I.; Piozzi, A. Role of antioxidant molecules and polymers in prevention of bacterial growth and biofilm formation. Curr. Med. Chem. 2020, 27, 4882–4904. [Google Scholar] [CrossRef]
- Kwape, T.E.; Majinda, R.R.T.; Chaturvedi, P. Antioxidant and antidiabetic potential of Myrothamnus flabellifolius found in Botswana. Cogent Biol. 2016, 2, 1275403. [Google Scholar] [CrossRef]
- Bhebhe, M.; Chipurura, B.; Muchuweti, M. Determination and comparison of phenolic compound content and antioxidant activity of selected local Zimbabwean herbal teas with exotic Aspalathus linearis. S. Afr. J. Bot. 2015, 100, 213–218. [Google Scholar] [CrossRef]
- Agapouda, A.; Butterweck, V.; Hamburger, M.; de Beer, D.; Joubert, E.; Eckert, A. Honeybush extracts (Cyclopia spp.) rescue mitochondrial functions and bioenergetics against oxidative injury. Oxid. Med. Cell. Longev. 2020, 2020, 1948602. [Google Scholar] [CrossRef] [PubMed]
- Bussmann, R.W.; Malca, G.; Glenn, A.; Sharon, D.; Nilsen, B.; Parris, B.; Dubose, D.; Ruiz, D.; Saleda, J.; Martinez, M.; et al. Toxicity of medicinal plants used in traditional medicine in Northern Peru. J. Ethnopharmacol. 2011, 137, 121–140. [Google Scholar] [CrossRef]
- Gescher, K.; Kühn, J.; Lorentzen, E.; Hafezi, W.; Derksen, A.; Deters, A.; Hensel, A. Proanthocyanidin-enriched extract from Myrothamnus flabellifolia Welw. exerts antiviral activity against herpes simplex virus type 1 by inhibition of viral adsorption and penetration. J. Ethnopharmacol. 2011, 134, 468–474. [Google Scholar] [CrossRef] [PubMed]
- Erhabor, J.O.; Komakech, R.; Kang, Y.; Tang, M.; Matsabisa, M.G. Ethnopharmacological importance and medical applications of Myrothamnus flabellifolius Welw. (Myrothamnaceae)-A review. J. Ethnopharmacol. 2020, 252, 112576. [Google Scholar] [CrossRef] [PubMed]
- Ajao, A.A.; Balogun, F.O.; Sabiu, S.; Ashafa, A.O.T. Myrothamnus flabellifolius Welw. (Myrothamnaceae) essential oil scavenges free radicals and inhibits carbohydrate-metabolizing enzymes in vitro. Egypt. J. Basic Appl. Sc. 2023, 10, 420–432. [Google Scholar] [CrossRef]
- Akhalwaya, S.; van Vuuren, S.; Patel, M. An in vitro investigation of indigenous South African medicinal plants used to treat oral infections. J. Ethnopharmacol. 2018, 210, 359–371. [Google Scholar] [CrossRef]
- Viljoen, A.M.; Klepser, M.E.; Ernst, E.J.; Keele, D.; Roling, E.; van Vuuren, S.; Jäger, A.K. The composition and antimicrobial activity of the essential oil of the resurrection plant Myrothamnus flabellifolius. S. Afr. J. Bot. 2002, 68, 100–105. [Google Scholar] [CrossRef]
- Eloff, J.N. Avoiding pitfalls in determining antimicrobial activity of plant extracts and publishing the results. BMC Complement. Altern. Med. 2019, 19, 106. [Google Scholar] [CrossRef] [PubMed]
- Datta, P.; Gupta, V. Next-generation strategy for treating drug resistant bacteria: Antibiotic hybrids. Indian J. Med. Res. 2019, 149, 97–106. [Google Scholar] [CrossRef] [PubMed]
- Brown, L.; Wolf, J.; Prados-Rosales, R.; Casadevall, A. Through the wall: Extracellular vesicles in Gram-positive bacteria, mycobacteria and fungi. Nat. Rev. Microbiol. 2015, 13, 620–630. [Google Scholar] [CrossRef] [PubMed]
- Jung, I.-G.; Jeong, J.-Y.; Yum, S.-H.; Hwang, Y.-J. Inhibitory effects of selected medicinal plants on bacterial growth of methicillin-resistant Staphylococcus aureus. Molecules 2022, 27, 7780. [Google Scholar] [CrossRef] [PubMed]
- Adnan, M.; Patel, M.; Deshpande, S.; Alreshidi, M.; Siddiqui, A.J.; Reddy, M.N.; Emira, N.; De Feo, V. Effect of Adiantum philippense extract on biofilm formation, adhesion with its antibacterial activities against foodborne pathogens, and characterization of bioactive metabolites: An in vitro-in silico approach. Front. Microbiol. 2020, 11, 823. [Google Scholar] [CrossRef] [PubMed]
- Lobiuc, A.; Pavăl, N.-E.; Mangalagiu, I.I.; Gheorghiță, R.; Teliban, G.-C.; Amăriucăi-Mantu, D.; Stoleru, V. Future antimicrobials: Natural and functionalized phenolics. Molecules 2023, 28, 1114. [Google Scholar] [CrossRef] [PubMed]
- Strehmel, J.; Neidig, A.; Nusser, M.; Geffers, R.; Brenner-Weiss, G.; Overhage, J. Sensor Kinase PA4398 modulates swarming motility and biofilm formation in Pseudomonas aeruginosa PA14. Appl. Environ. Microbiol. 2014, 81, 1274–1285. [Google Scholar] [CrossRef] [PubMed][Green Version]
- O’May, C.; Tufenkji, N. The swarming motility of Pseudomonas aeruginosa is blocked by Cranberry Proanthocyanidins and other Tannin-containing materials. Appl. Environ Microbiol. 2011, 77, 3061–3067. [Google Scholar] [CrossRef]
- Agusti, G.; Astola, O.; Rodriguez-Guell, E.; Julian, E.; Luquin, M. Surface spreading motility shown by a group of Phylogenetically related, rapidly growing pigmented mycobacteria suggests that motility is a common property of mycobacterial species but is restricted to smooth colonies. J. Bacteriol. 2008, 190, 6894–6902. [Google Scholar] [CrossRef][Green Version]
- Famuyide, I.M.; Aro, A.O.; Fasina, F.O.; Eloff, J.N.; McGaw, L.J. Antibacterial and antibiofilm activity of acetone leaf extracts of nine under-investigated South African Eugenia and Syzygium (Myrtaceae) species and their selectivity indices. BMC Complement. Altern. Med. 2019, 19, 141. [Google Scholar] [CrossRef]
- Bernier, S.P.; Surette, M.G. Concentration-dependent activity of antibiotics in natural environments. Front. Microbiol. 2013, 4, 20. [Google Scholar] [CrossRef] [PubMed]
- Rosenberg, C.R.; Fang, X.; Allison, K.R. Potentiating aminoglycoside antibiotics to reduce their toxic side effects. PLoS ONE 2020, 15, e0237948. [Google Scholar] [CrossRef] [PubMed]
- Trafny, E.A.; Lewandowski, R.; Zawistowska-Marciniak, I.; Stępińska, M. Use of MTT assay for determination of the biofilm formation capacity of microorganisms in metalworking fluids. World J. Microbiol. Biotechnol. 2013, 29, 1635–1643. [Google Scholar] [CrossRef] [PubMed]
- Borges, A.; Saavedra, M.J.; Simões, M. The activity of ferulic and gallic acids in biofilm prevention and control of pathogenic bacteria. Biofouling 2012, 28, 755–767. [Google Scholar] [CrossRef] [PubMed]
- Takó, M.; Kerekes, E.B.; Zambrano, C.; Kotogán, A.; Papp, T.; Krisch, J.; Vágvölgyi, C. Plant phenolics and phenolic-enriched extracts as antimicrobial agents against food-contaminating microorganisms. Antioxidants 2020, 9, 165. [Google Scholar] [CrossRef] [PubMed]
- Ahmed, A.S.; McGaw, L.J.; Elgorashi, E.E.; Naidoo, V.; Eloff, J.N. Polarity of extracts and fractions of four Combretum (Combretaceae) species used to treat infections and gastrointestinal disorders in southern African traditional medicine has a major effect on different relevant in vitro activities. J. Ethnopharmacol. 2014, 154, 339–350. [Google Scholar] [CrossRef] [PubMed]
- Tambe, V.D.; Bhambar, R.S. Estimation of total phenol, tannin, alkaloid and flavonoid in Hibiscus Tiliaceus Linn. wood extracts. J. Pharmacogn. Phytochem. 2014, 2, 2321–6182. [Google Scholar]
- Iqbal, E.; Salim, K.A.; Lim, L.B.L. Phytochemical screening, total phenolics and antioxidant activities of bark and leaf extracts of Goniothalamus velutinus (Airy Shaw) from Brunei Darussalam. J. King Saud Univ. Sci. 2015, 27, 224–232. [Google Scholar] [CrossRef]
- Sun, B.; Ricardo-da-Silva, J.M.; Spranger, I. Critical factors of Vanillin Assay for Catechins and Proanthocyanidins. J. Agric. Food Chem. 1998, 46, 4267–4274. [Google Scholar] [CrossRef]
- Truong, D.H.; Ta, N.T.A.; Pham, T.V.; Huynh, T.D.; Do, Q.T.G.; Dinh, N.C.G.; Dang, C.D.; Nguyen, T.K.C.; Bui, A.V. Effects of solvent-solvent fractionation on the total terpenoid content and in vitro anti-inflammatory activity of Serevenia buxifolia bark extract. Food Sci. Nutr. 2021, 9, 1720–1735. [Google Scholar] [CrossRef]
- Chigayo, K.; Mojapelo, P.E.L.; Moleele, S.M. Phytochemical and antioxidant properties of different solvent extracts of Kirkia wilmsii tubers. Asian Pac. J. Trop. Biomed. 2016, 6, 1037–1043. [Google Scholar] [CrossRef]
- Al-Amiery, A.A.; Al-Majedy, Y.K.; Kadhum, A.A.H.; Mohamad, A.B. Hydrogen peroxide scavenging activity of novel coumarins synthesized using different approaches. PLoS ONE 2015, 10, e0132175. [Google Scholar] [CrossRef] [PubMed]
- Eloff, J.N. Which extractant should be used for the screening of antimicrobials components from plants? J. Ethnopharmacol. 1998, 60, 1–8. [Google Scholar] [CrossRef] [PubMed]
- Jiang, T.; He, L.; Zhan, Y.; Zang, S.; Ma, Y.; Zhao, X.; Zhang, C.; Xin, Y. The effect of MSMEG_6402 gene disruption on the cell wall structure of Mycobacterium smegmatis. Microb. Pathog. 2011, 51, 156–160. [Google Scholar] [CrossRef] [PubMed]
- Djordjevic, D.; Wiedmann, M.; Mclandsborough, L. Microtiter plate assay for assessment of Listeria monocytogenes biofilm formation. Appl. Environ. Microbiol. 2002, 68, 2950–2958. [Google Scholar] [CrossRef]
- Mohsenipour, Z.; Hassanshahian, M. Antibacterial activity of Euphorbia hebecarpa alcoholic extracts against six human pathogenic bacteria in Planktonic and Biofilm forms. Jundishapur J. Microbiol. 2016, 9, e34701. [Google Scholar] [CrossRef]
- Kuchma, S.L.; Delalez, N.J.; Filkins, L.M.; Snavely, E.A.; Armitage, J.P.; O’Toole, G.A. Cyclic di-GMP-mediated repression of swarming motility by Pseudomonas aeruginosa PA14 requires the MotAB stator. J. Bacteriol. 2015, 197, 420–430. [Google Scholar] [CrossRef]
- Suryawanshi, V.S.; Yadav, A.; Mohite, S.K.; Magdum, D.C. Toxicological assessment using Brine Shrimp Lethality Assay and Antimicrobial activity of Capparis Grandis. J. Univ. Shanghai Sci. Technol. 2020, 22, 746–759. [Google Scholar]
- Makhafola, T.J.; Samuel, B.B.; Elgorashi, E.E.; Eloff, J.N. Ochnaflavone and ochnaflavone 7-O-methyl ether two antibacterial Biflavonoids from Ochna pretoriensis (ochnaceae). Nat. Prod. Commun. 2012, 7, 1601–1604. [Google Scholar] [CrossRef] [PubMed]
Disclaimer/Publisher’s Note: The statements, opinions and data contained in all publications are solely those of the individual author(s) and contributor(s) and not of MDPI and/or the editor(s). MDPI and/or the editor(s) disclaim responsibility for any injury to people or property resulting from any ideas, methods, instructions or products referred to in the content. |
© 2024 by the authors. Licensee MDPI, Basel, Switzerland. This article is an open access article distributed under the terms and conditions of the Creative Commons Attribution (CC BY) license (https://creativecommons.org/licenses/by/4.0/).







