Alkaloid Profiling and Cholinesterase Inhibitory Potential of Crinum × amabile Donn. (Amaryllidaceae) Collected in Ecuador
Abstract
:1. Introduction
2. Results and Discussion
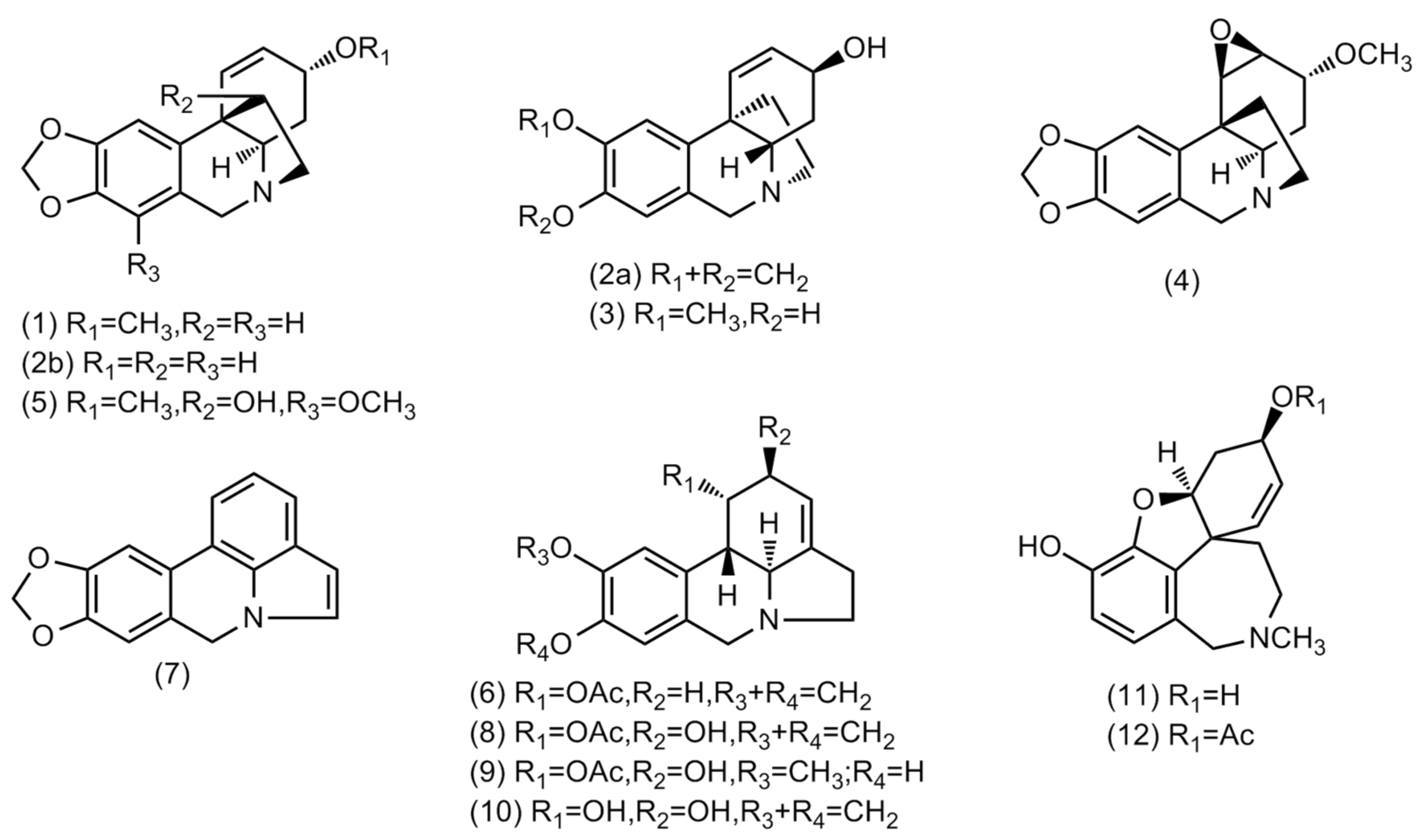
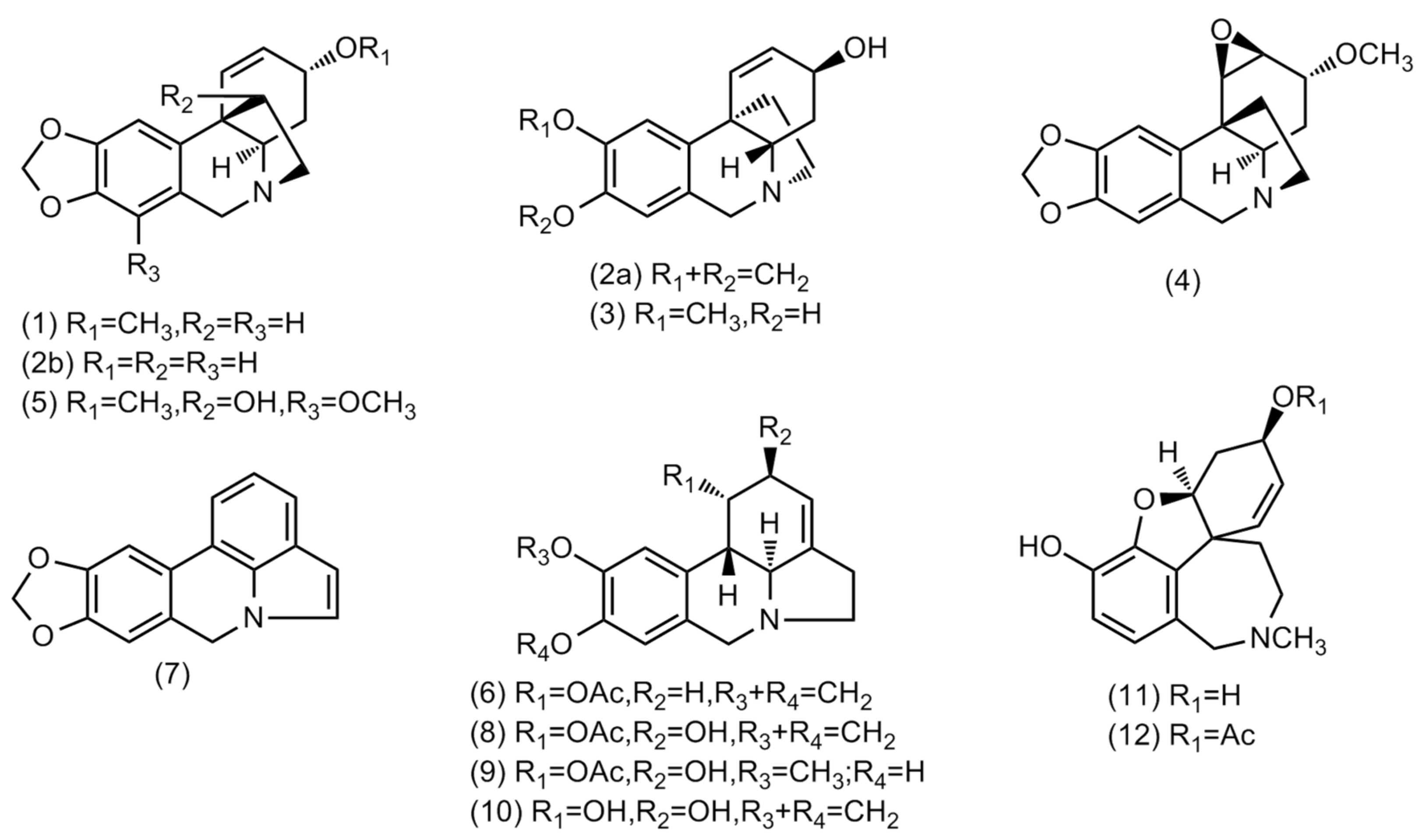
2.1. Alkaloid Profiling
2.2. AChE and BuChE Inhibitory Activity
3. Materials and Methods
3.1. Plant Material
3.2. Alkaloid Extraction
3.3. GC-MS Analysis
3.4. AChE and BuChE Inhibitory Activity
3.5. Statistical Analysis
4. Conclusions
Author Contributions
Funding
Institutional Review Board Statement
Informed Consent Statement
Data Availability Statement
Acknowledgments
Conflicts of Interest
References
- Newman, D.J.; Cragg, G.M. Natural products as sources of new drugs from 1981 to 2014. J. Nat. Prod. 2016, 79, 629–661. [Google Scholar] [CrossRef] [Green Version]
- Bastida, J.; Lavilla, R.; Viladomat, F. Chemical and biological aspects of Narcissus alkaloids. In The Alkaloids: Chemistry and Physiology; Cordell, G.A., Ed.; Elsevier: Amsterdam, The Netherlands, 2006; Volume 63, pp. 87–179. [Google Scholar] [CrossRef]
- Berkov, S.; Osorio, E.; Viladomat, F.; Bastida, J. Chemodiversity, chemotaxonomy and chemoecology of Amaryllidaceae alkaloids. In The Alkaloids: Chemistry and Biology; Knölker, H.-J., Ed.; Elsevier: Amsterdam, The Netherlands, 2020; Volume 83, pp. 113–185. [Google Scholar] [CrossRef]
- Meerow, A.W.; Lehmiller, D.J.; Clayton, J.R. Phylogeny and biogeography of Crinum L. (Amaryllidaceae) inferred from nuclear and limited plastid non-coding DNA sequences. Bot. J. Linn. Soc. 2003, 141, 349–363. [Google Scholar] [CrossRef]
- Fennell, C.W.; Van Staden, J. Crinum species in traditional and modern medicine. J. Ethnopharmacol. 2001, 78, 15–26. [Google Scholar] [CrossRef]
- Thi Ngoc Tram, N.; Titorenkova, T.V.; Bankova, V.S.; Handjieva, N.V.; Popov, S.S. Crinum L. (Amaryllidaceae). Fitoterapia 2002, 73, 183–208. [Google Scholar] [CrossRef]
- Nair, J.J.; van Staden, J. Pharmacological and toxicological insights to the South African Amaryllidaceae. Food Chem. Toxicol. 2013, 62, 262–275. [Google Scholar] [CrossRef] [PubMed]
- Chen, M.-X.; Huo, J.-M.; Hu, J.; Xu, Z.-P.; Zhang, X. Amaryllidaceae alkaloids from Crinum latifolium with cytotoxic, antimicrobial, antioxidant, and anti-inflammatory activities. Fitoterapia 2018, 130, 48–53. [Google Scholar] [CrossRef]
- Presley, C.C.; Krai, P.; Dalal, S.; Su, Q.; Cassera, M.; Goetz, M.; Kingston, D.G.I. New potently bioactive alkaloids from Crinum erubescens. Bioorgan. Med. Chem. 2016, 24, 5418–5422. [Google Scholar] [CrossRef] [Green Version]
- Berkov, S.; Bastida, J.; Sidjimova, B.; Viladomat, F.; Codina, C. Alkaloids diversity in Galanthus elwesii and Galanthus nivalis. Chem. Biodivers. 2011, 8, 115–130. [Google Scholar] [CrossRef] [PubMed]
- Taiwe, G.S.; Tchoya, T.B.; Menanga, J.R.; Dabole, B.; Waard, M.D. Anticonvulsant activity of an active fraction extracted from Crinum jagus L. (Amaryllidaceae), and its possible effects on fully kindled seizures, depression-like behavior and oxidative stress in experimental rodent models. J. Ethnopharmacol. 2016, 194, 421–433. [Google Scholar] [CrossRef] [PubMed]
- Pham, L.H.; Döpke, W.; Wagner, J.; Mügge, C. Alkaloids from Crinum amabile. Phytochemistry 1998, 48, 371–376. [Google Scholar] [CrossRef]
- Vinueza, D.; Portero, S.; Pilco, G.; García, M.; Acosta, K.; Susana, A. In vitro anti-inflammatory and cytotoxicity of Crinum × amabile grown in Ecuador. Asian J. Pharm. Clin. Res. 2018, 11, 99–103. [Google Scholar] [CrossRef]
- Konrath, E.L.; Passos, C.S.; Klein-Junior, L.C.; Henriques, A.T. Alkaloids as a source of potential anticholinesterase inhibitors for the treatment of Alzheimer’s disease. J. Pharm. Pharmacol. 2013, 65, 1701–1725. [Google Scholar] [CrossRef]
- Simeon, S.; Anuwongcharoen, N.; Shoombuatong, W.; Malik, A.A.; Prachayasittikul, V.; Wikberg, J.E.S.; Nantasenamat, C. Probing the origins of human acetyl-cholinesterase inhibition via QSAR modeling and molecular docking. PeerJ 2016, 4, e2322. [Google Scholar] [CrossRef] [PubMed]
- Flor, A.F.; Martínez, O.M.; Hernández, H.F. Evaluation of Amaryllidaceae alkaloids as inhibitors of human acetylcholinesterase by QSAR analysis and molecular docking. J. Mol. Struct. 2020, 1225, 129142. [Google Scholar] [CrossRef]
- Giacobini, E. Cholinesterase inhibitors: New roles and therapheutic alternatives. Pharmacol. Res. 2004, 50, 433–440. [Google Scholar] [CrossRef] [PubMed]
- Bellard, C.G. Advances in the treatment of Alzheimer’s disease: Benefits of dual cholinesterase inhibition. Eur. Neurol. 2002, 47, 64–70. [Google Scholar] [CrossRef]
- Kuca, K.; Soukup, O.; Maresova, P.; Korabecny, J.; Nepovimova, E.; Klimova, B.; Honegr, J.; Ramalhob, T.C.; Françab, T.C.C. Current approaches against Alzheimer’s disease in clinical trials. J. Braz. Chem. Soc. 2016, 27, 641–649. [Google Scholar] [CrossRef]
- Khan, H.; Amin, S.; Kamal, M.A.; Patel, S. Flavonoids as acetylcholinesterase inhibitors: Current therapeutic standing and future prospects. Biomed. Pharmacother. 2018, 101, 860–870. [Google Scholar] [CrossRef] [PubMed]
- Heinrich, M.; Teoh, H.L. Galanthamine from snowdrop—The development of a modern drug against Alzheimer’s disease from local Caucasian knowledge. J. Ethnopharmacol. 2004, 92, 147–162. [Google Scholar] [CrossRef] [PubMed]
- Maelicke, A.; Samachocki, M.; Jostock, R.; Fehrenbacher, A.; Ludwig, J.; Albuquerque, E.X.; Zerlin, M. Allosteric sensitization of nicotine receptors by galanthamine, a new treatment strategy for Alzheimer’s disease. Biol. Psychiatry 2001, 49, 279–288. [Google Scholar] [CrossRef]
- Torras-Claveria, L.; Tallini, L.; Viladomat, F.; Bastida, J. Research in natural products: Amaryllidaceae ornamental plants as sources of bioactive compounds. In Recent Advances in Pharmaceutical Sciences VII; Muñoz-Torrero, D., Riu, M., Feliu, C., Eds.; Research Signpost Trivandrum: Kerala, India, 2017; pp. 69–82. [Google Scholar]
- Cortes, N.; Posada-Duque, R.A.; Alvarez, R.; Alzate, F.; Berkov, S.; Cardona-Gómez, G.P.; Osorio, E. Neuroprotective activity and acetylcholinesterase inhibition of five Amaryllidaceae species: A comparative study. Life Sci. 2015, 122, 42–50. [Google Scholar] [CrossRef] [PubMed]
- Cortes, N.; Alvarez, R.; Osorio, E.H.; Alzate, F.; Berkov, S.; Osorio, E. Alkaloid metabolite profiles by GC/MS and acetylcholinesterase inhibitory activities with binding-mode predictions of five Amaryllidaceae plants. J Pharm. Biomed. 2015, 102, 222–228. [Google Scholar] [CrossRef]
- Tallini, L.R.; Torras-Claveria, L.; Borges, W.S.; Kaiser, M.; Viladomat, F.; Zuanazzi, J.A.S.; Bastida, J. N-oxide alkaloids from Crinum amabile (Amaryllidaceae). Molecules 2018, 23, 1277. [Google Scholar] [CrossRef] [PubMed] [Green Version]
- Rojas-Vera, J.; Buitrago-Díaz, A.A.; Possamai, L.M.; Timmers, L.F.S.M.; Tallini, L.R.; Bastida, J. Alkaloid profile and cholinesterase inhibition activity of five species of Amaryllidaceae family collected from Mérida state-Venezuela. S. Afr. J. Bot. 2021, 136, 126–136. [Google Scholar] [CrossRef]
- Acosta, K.L.; Inca, A.; Tallini, L.R.; Osorio, E.H.; Robles, J.; Bastida, J.; Oleas, N.H. Alkaloids of Phaedranassa dubia (Kunth) J.F. Macbr. and Phaedranassa brevifolia Meerow (Amaryllidaceae) from Ecuador and its cholinesterase-inhibitory activity. S. Afr. J. Bot. 2021, 136, 91–99. [Google Scholar] [CrossRef]
- Kilgore, M.B.; Kutchan, T.M. The Amaryllidaceae alkaloids: Biosynthesis and methods for enzyme discovery. Phytochem. Rev. 2016, 15, 317–337. [Google Scholar] [CrossRef] [PubMed] [Green Version]
- Ali, A.A.; El Sayed, M.; Abdallah, O.M.; Steglich, W. Oxocrinine and other alkaloids from Crinum americanum. Phytochemistry 1986, 25, 2399–2401. [Google Scholar] [CrossRef]
- Moreno, R.; Tallini, L.R.; Salazar, C.; Osorio, E.H.; Montero, E.; Bastida, J.; Oleas, N.H.; Acosta, K.L. Chemical profiling and cholinesterase inhibitory activity of five Phaedranassa Herb. (Amaryllidaceae) species from Ecuador. Molecules 2020, 25, 2092. [Google Scholar] [CrossRef]
- Tallini, L.R.; Bastida, J.; Cortes, N.; Osorio, E.H.; Theoduloz, C.; Schemeda-Hirschmann, G. Cholinesterase inhibition activity, alkaloid profiling and molecular docking of Chilean Rhodophiala (Amaryllidaceae). Molecules 2018, 23, 1532. [Google Scholar] [CrossRef] [PubMed] [Green Version]
- Bores, G.M.; Huger, F.P.; Petko, W.; Mutlib, A.E.; Camacho, F.; Rush, D.K.; Selk, D.E.; Wolf, V.; Kosley, R.W.; Davis, L., Jr.; et al. Pharmaceutical evaluation of novel Alzheimer’s disease therapeutics: Acetylcholinesterase inhibitors related to galanthamine. J. Pharmacol. Exp. Ther. 1996, 277, 728–738. [Google Scholar] [PubMed]
- Cortes, N.; Sierra, K.; Alzate, F.; Osorio, E.H.; Osorio, E. Alkaloids of Amaryllidaceae as inhibitors of cholinesterases (AChEs and BuChEs): An integrated bioguided study. Phytochem. Anal. 2018, 29, 217–227. [Google Scholar] [CrossRef] [PubMed]
- Ellman, G.L.; Courtney, K.D.; Andres, V., Jr.; Featherstone, R.M. A new and rapid colorimetric determination of acetylcholinesterase activity. Biochem. Pharmacol. 1961, 7, 88–95. [Google Scholar] [CrossRef]
- López, S.; Bastida, J.; Viladomat, F.; Codina, C. Acetylcholinesterase inhibitory activity of some Amaryllidaceae alkaloids and Narcissus extracts. Life Sci. 2002, 71, 2521–2529. [Google Scholar] [CrossRef]


| Alkaloid | MS | RI | A | B |
|---|---|---|---|---|
| Haemanthamine/Crimine-Type (Total) | (25.7) | (62.6) | ||
| buphanisine (1) a | 285 (100), 270 (34), 254 (35), 215 (84), 115 (31) | 2461.2 | 16.1 | 23.0 |
| vittatine/crinine (2a/2b) a | 271 (100), 228 (25), 199 (63), 187 (60), 115 (30) | 2507.3 | (-) | 6.8 |
| 8-O-demethylmaritidine (3) a | 273 (100), 230 (39), 201 (87), 189 (56), 128 (36) | 2542.9 | (-) | 15.0 |
| augustine (4) a | 301 (100), 228 (33), 175 (75), 143 (37), 115 (44) | 2600.4 | 9.6 | 12.4 |
| ambelline (5) a | 331 (97), 299 (52), 287 (100), 260 (90), 241 (51) | 2810.9 | (-) | 5.4 |
| Lycorine-Type (Total) | (118.9) | (29.8) | ||
| 1-O-acetylcaranine (6) a | 313 (67), 252 (100), 240 (11), 226 (91), 227 (35) | 2554.5 | 6.4 | (-) |
| 11,12-dehydroanhydrolycorine (7) a | 249 (65), 248 (100), 190 (25), 163 (7), 123 (5) | 2639.8 | 5.1 | 5.1 |
| 1-O-acetyllycorine (8) a | 329 (39), 268 (32), 250 (18), 227 (64), 226 (100) | 2750.5 | (-) | 5.9 |
| sternbergine (9) a | 331 (43), 270 (29), 252 (12), 229 (76), 228 (100) | 2740.0 | 5.3 | (-) |
| lycorine (10) a | 287 (44), 268 (35), 250 (18), 227 (86), 147 (17) | 2817.5 | 102.1 | 18.8 |
| Galanthamine-Type (Total) | (15.3) | (11.6) | ||
| sanguinine (11) a | 273 (100), 272 (82), 256 (18), 202 (31), 160 (38) | 2453.0 | 6.4 | 5.6 |
| 3-O-acetylsanguinine (12) a | 315 (54), 256 (100), 255 (61), 212 (28), 96 (50) | 2556.1 | 8.9 | 6.0 |
| Unidentified (Total) | (11.9) | (46.0) | ||
| UI (ismine-type) b (13) | 269 (-), 268 (2), 240 (8), 226 (22), 225 (100) | 2368.5 | (-) | 6.1 |
| UI (haemanthamine/crinine-type) b (14) | 301 (65), 300 (100), 244 (67), 215 (19), 201 (17) | 2497.4 | 5.8 | 7.9 |
| UI (tazettine-type) b (15) | 315 (67), 300 (20), 284 (47), 260 (100), 229 (83) | 2517.7 | (-) | 6.8 |
| UI (haemanthamine/crimine-type) b (16) | 301 (66), 286 (8), 270 (10), 246 (100), 231 (43) | 2645.0 | 6.1 | (-) |
| UI (haemanthamine/crimine-type) b (17) | 269 (100), 240 (47), 224 (30), 211 (26), 181 (69) | 2685.8 | (-) | 12.8 |
| UI (galanthamine-type) b (18) | 299 (94), 244 (100) 229 (28), 201 (40), 187 (18) | 2758.2 | (-) | 5.5 |
| UI (haemanthamine/crimine-type) b (19) | 315 (100), 272 (8), 258 (93), 240 (10), 188 (63) | 2875.4 | (-) | 6.9 |
| Total Alkaloids: | 171.8 | 150.0 |
| Sample | Dried Plant (g) | Crud Extract (g) | Alkaloid Extract (mg) | Yield (%) |
|---|---|---|---|---|
| Bulbs | 5.00 | 1.43 | 27.74 | 1.94 |
| Leaves | 5.26 | 1.37 | 34.50 | 2.52 |
Publisher’s Note: MDPI stays neutral with regard to jurisdictional claims in published maps and institutional affiliations. |
© 2021 by the authors. Licensee MDPI, Basel, Switzerland. This article is an open access article distributed under the terms and conditions of the Creative Commons Attribution (CC BY) license (https://creativecommons.org/licenses/by/4.0/).
Share and Cite
Tallini, L.R.; Carrasco, A.; Acosta León, K.; Vinueza, D.; Bastida, J.; Oleas, N.H. Alkaloid Profiling and Cholinesterase Inhibitory Potential of Crinum × amabile Donn. (Amaryllidaceae) Collected in Ecuador. Plants 2021, 10, 2686. https://doi.org/10.3390/plants10122686
Tallini LR, Carrasco A, Acosta León K, Vinueza D, Bastida J, Oleas NH. Alkaloid Profiling and Cholinesterase Inhibitory Potential of Crinum × amabile Donn. (Amaryllidaceae) Collected in Ecuador. Plants. 2021; 10(12):2686. https://doi.org/10.3390/plants10122686
Chicago/Turabian StyleTallini, Luciana R., Angelo Carrasco, Karen Acosta León, Diego Vinueza, Jaume Bastida, and Nora H. Oleas. 2021. "Alkaloid Profiling and Cholinesterase Inhibitory Potential of Crinum × amabile Donn. (Amaryllidaceae) Collected in Ecuador" Plants 10, no. 12: 2686. https://doi.org/10.3390/plants10122686
APA StyleTallini, L. R., Carrasco, A., Acosta León, K., Vinueza, D., Bastida, J., & Oleas, N. H. (2021). Alkaloid Profiling and Cholinesterase Inhibitory Potential of Crinum × amabile Donn. (Amaryllidaceae) Collected in Ecuador. Plants, 10(12), 2686. https://doi.org/10.3390/plants10122686

