Sign in to use this feature.

Years

Between: -

Subjects

remove_circle_outline
remove_circle_outline
remove_circle_outline
remove_circle_outline
remove_circle_outline
remove_circle_outline
remove_circle_outline
remove_circle_outline
remove_circle_outline

Journals

remove_circle_outline
remove_circle_outline
remove_circle_outline
remove_circle_outline
remove_circle_outline
remove_circle_outline
remove_circle_outline
remove_circle_outline
remove_circle_outline
remove_circle_outline
remove_circle_outline
remove_circle_outline
remove_circle_outline
remove_circle_outline
remove_circle_outline
remove_circle_outline
remove_circle_outline
remove_circle_outline
remove_circle_outline

Article Types

Countries / Regions

remove_circle_outline
remove_circle_outline
remove_circle_outline
remove_circle_outline
remove_circle_outline
remove_circle_outline
remove_circle_outline
remove_circle_outline

Search Results (2,819)

Search Parameters:
Keywords = AChE

Order results
Result details
Results per page
Select all
Export citation of selected articles as:
34 pages, 2138 KB  
Article
Structure-Based Design of New Series of Sulfonates with Potent and Specific BChE Inhibition and Anti-Inflammatory Effects
by Siva Hariprasad Kurma, Camila Adarvez-Feresin, Oscar Parravicini, Adriana Garro, Sarka Stepankova, Jan Hosek, Karel Pauk, Jovana Lisicic, Josef Jampilek, Ricardo Daniel Enriz and Ales Imramovsky
Int. J. Mol. Sci. 2026, 27(7), 3109; https://doi.org/10.3390/ijms27073109 (registering DOI) - 29 Mar 2026
Abstract
In the present work, a novel series of eleven sulfonate derivatives with potent inhibitory activity against butyrylcholinesterase (BChE) is reported. Of these, compounds 2-[(E)-(2-Benzoylhydrazinylidene)methyl]phenyl 5-(dimethylamino)naphthalene-1-sulfonate (5c, IC50 = 1.11 µM) and tert-butyl (2E)-2-[(2-{[5-(dimethylamino)naphthalene-1-sulfonyl]oxy}phenyl)methylidene]hydrazine-1-carboxylate (5b [...] Read more.
In the present work, a novel series of eleven sulfonate derivatives with potent inhibitory activity against butyrylcholinesterase (BChE) is reported. Of these, compounds 2-[(E)-(2-Benzoylhydrazinylidene)methyl]phenyl 5-(dimethylamino)naphthalene-1-sulfonate (5c, IC50 = 1.11 µM) and tert-butyl (2E)-2-[(2-{[5-(dimethylamino)naphthalene-1-sulfonyl]oxy}phenyl)methylidene]hydrazine-1-carboxylate (5b, IC50 = 11.51 µM) exhibit stronger inhibitory activity than rivastigmine, the reference compound, and exhibit high selectivity for BChE over AChE (e.g., selectivity index 57 for 5c). Interestingly, compound 5c also exhibited anti-inflammatory effects, which is important for potential therapeutic applications, especially in Alzheimer’s disease. These new compounds were designed through a structure-based approach using molecular modeling techniques (docking, molecular dynamic (MD) simulations, and QTAIM (quantum theory of atoms in molecules) calculations). The most promising compounds show no detectable toxic effects and satisfy Lipinski’s rule of five, indicating that they represent attractive starting structures for the design of new derivatives acting as specific BChE inhibitors. In addition, our results indicate that relatively simple computational techniques such as docking calculations and toxicity prediction programs can be valuable when properly used in the search of new candidates for this particular target. Docking calculations show that the more active compounds of this series reach the bottom region of the gorge interacting with residues within the active site of BChE. However, our data further suggest that the use of more precise techniques, such as MD simulations and QTAIM analysis, is necessary to obtain detailed insight into ligand–enzyme interactions. Regarding QTAIM calculations, they demonstrate that such computations are very useful to evaluate the molecular interactions of the different molecular complexes. In summary, we report a new series of sulfonate derivatives as promising starting structures for the development of new selective BChE inhibitors. Full article
(This article belongs to the Special Issue From Drug Design to Mechanistic Understanding and Resistance)
27 pages, 14936 KB  
Article
Experimentally Validated Discrete Phase Model for PM2.5 and PM10 with Numerical Transport Mapping
by Ren Paulo Estaquio, Ma Kevina Canlas, Neil Astrologo, Job Immanuel Encarnacion, Joshua Agar, Ken Bryan Fernandez, Julius Rhoan Lustro and Joseph Gerard Reyes
Fluids 2026, 11(4), 90; https://doi.org/10.3390/fluids11040090 (registering DOI) - 29 Mar 2026
Abstract
Indoor exposure to particulate matter (PM) depends on ventilation-driven transport, yet sensor placement in real rooms is often based on limited point data. This study develops and experimentally validates a transient CFD framework, using RANS airflow coupled with Lagrangian discrete phase tracking, to [...] Read more.
Indoor exposure to particulate matter (PM) depends on ventilation-driven transport, yet sensor placement in real rooms is often based on limited point data. This study develops and experimentally validates a transient CFD framework, using RANS airflow coupled with Lagrangian discrete phase tracking, to map PM2.5 and PM10 in a full-scale 2.0 × 3.0 × 2.5 m bedroom with a fixed, non-oscillating pedestal fan and an open window. Airflow was verified by grid independence and validated against 10-point velocity measurements (RMSE = 0.108 m·s−1). Incense experiments (≈31 min burn) provided PM time series over the first 60 min at 16 locations on two heights; emission rate, burning time, and air-change rate (1.96–5.39 ACH) were calibrated so that accepted models achieved aggregate R2 > 0.90. Spatial mapping on a 0.5 m grid shows that PM behavior is governed primarily by airflow-defined accumulation pockets rather than by source proximity alone. A near-source region consistently captured strong early-time peaks, whereas remote low-exchange pockets remained elevated during the decay phase. For PM2.5, the most persistent hotspot is a ceiling-adjacent recirculation pocket, while for PM10, gravitational settling shifted the dominant hotspots toward floor-layer, low-velocity regions. An exposure score combining normalized peak and time-averaged concentrations, interpreted together with particle-track persistence metrics, distinguished transiently traversed regions from true retention pockets. The results show that sensor placement should follow the monitoring objective: near-source regions are more responsive to peak events, ceiling pockets are more suitable for persistent PM2.5 monitoring, and floor hotspots are more critical for PM10. No single fixed sensor location adequately represents both particle sizes in the present bedroom and ventilation configuration. Full article
(This article belongs to the Special Issue CFD Applications in Environmental Engineering)
Show Figures

Figure 1

21 pages, 1959 KB  
Article
Isolation, Identification and In Silico Evaluation of Novel Cholinesterase Inhibitors from Terminalia triptera Stapf
by Tu Quy Phan, Hung Tse Huang, San-Lang Wang, Dinh Sy Nguyen, Manh Dung Doan, Thi Huyen Thoa Pham, Thi Kim Thu Phan, Ba Phong Truong and Van Bon Nguyen
Molecules 2026, 31(7), 1113; https://doi.org/10.3390/molecules31071113 - 27 Mar 2026
Abstract
Alzheimer’s disease (AD) remains a significant global health challenge, highlighting the need for novel dual inhibitors targeting acetylcholinesterase (AChE) and butyrylcholinesterase (BChE). This study investigated the trunk bark of Terminalia triptera Stapf. as a potential source of bioactive secondary metabolites for AD management. [...] Read more.
Alzheimer’s disease (AD) remains a significant global health challenge, highlighting the need for novel dual inhibitors targeting acetylcholinesterase (AChE) and butyrylcholinesterase (BChE). This study investigated the trunk bark of Terminalia triptera Stapf. as a potential source of bioactive secondary metabolites for AD management. Bioassay-guided isolation led to the identification of two flavan-3-ol derivatives, epicatechin-(4β→8)-ent-catechin (1) and (−)-catechin (2), reported here for the first time from this species. In vitro assays demonstrated that the dimeric compound 1 exhibited stronger dual inhibitory activity against AChE and BChE, with IC50 values of 4.41 × 10−4 and 4.75 × 10−4 mol/L, respectively, surpassing the reference compound berberine chloride. Molecular docking analysis revealed that compound 1 formed extensive interactions within both catalytic and peripheral anionic sites of the enzymes. Density Functional Theory (DFT) calculations indicated high kinetic stability, reflected by large HOMO–LUMO energy gaps (6.66–6.97 eV), while global reactivity descriptors suggested lower electrophilicity (ω = 2.19–2.34 eV), supporting a potentially favorable safety profile. Furthermore, 100 ns molecular dynamics simulations confirmed stable ligand–protein complexes stabilized by hydrogen-bond networks and deep binding within catalytic pockets. Overall, these findings highlight T. triptera and its dimeric proanthocyanidins as promising multi-target candidates for anti-Alzheimer drug development. Full article
15 pages, 4025 KB  
Article
Toxicity Effects and Mechanism of Chemical Stress on Pomacea canaliculata
by Huayang Zhou, Meiling Zou, Zhixiong Zhou and Chuanren Li
Biology 2026, 15(7), 529; https://doi.org/10.3390/biology15070529 - 26 Mar 2026
Viewed by 163
Abstract
Pomacea canaliculata, as a significant invasive alien species, poses severe threats to agricultural development. Currently, chemical applications demonstrate notable efficacy in controlling this pest. However, metaldehyde exhibits overly singular toxicity towards P. canaliculata; niclosamide sulfate is not a molluscicide; and fentin [...] Read more.
Pomacea canaliculata, as a significant invasive alien species, poses severe threats to agricultural development. Currently, chemical applications demonstrate notable efficacy in controlling this pest. However, metaldehyde exhibits overly singular toxicity towards P. canaliculata; niclosamide sulfate is not a molluscicide; and fentin acetate is a fungicide. Currently, these findings fail to elucidate the physiological and biochemical effects of the compounds after they enter the P. canaliculata’s body. In this study, we evaluated the toxicity of metaldehyde (ME), niclosamide sulfate (NS), and fentin acetate (FA) against P. canaliculata and analyzed the morphological and physiological changes in response to chemical stress. The results indicated that three chemicals exhibited potent molluscicidal activity, especially in the NS treatment group. After 12 h exposure to LC50 concentrations (48 h LC50), the surface area of livers was reduced significantly by 12.1%, 13.9%, and 2.8% compared to the control group, while the kidneys expanded significantly by 6.4%, 3.2%, and 16.7%, respectively. The heart showed marked enlargement by 152.1% and 44.2% under niclosamide sulfate and metaldehyde treatments. The pulmonary sac significantly contracted by 23.6% under niclosamide sulfate stress but expanded by 6.1% under fentin acetate exposure. The stomach enlarged significantly after niclosamide sulfate treatment, whereas it shrank by 2.1% and 5.7% under metaldehyde and fentin acetate treatments, respectively. Metabolomic analysis of liver tissues revealed 553, 99, and 585 differential metabolites compared to the control group, respectively. KEGG pathway enrichment analysis showed that the metabolism pathway, lysine degradation, and bile secretion are likely related to the response to chemical stress in P. canaliculata. Further examination showed a significant decrease in total protein content and the activities of malondialdehyde (MDA), acetylcholinesterase (AChE), superoxide dismutase (SOD), and catalase (CAT) under chemical stress. These findings enhance our understanding of the targeted mechanisms of molluscicides against P. canaliculata. Metaldehyde may exert neurotoxic effects on the P. canaliculata, while niclosamide sulfate may interfere with its respiratory system. Additionally, both chemicals affect metabolic pathways in the snail’s liver, including lipid metabolism and metabolic pathways associated with energy metabolism. These findings provide valuable insights for designing a novel snail control agent and formulating scientific management strategy. Full article
(This article belongs to the Special Issue Metabolic and Stress Responses in Aquatic Animals (2nd Edition))
Show Figures

Figure 1

17 pages, 2248 KB  
Article
In Silico Identification of Hit Compound to Counteract A-Series Nerve Agents Poisoning
by Nikola Maraković
Chemistry 2026, 8(3), 37; https://doi.org/10.3390/chemistry8030037 - 23 Mar 2026
Viewed by 153
Abstract
Organophosphorus (OP) nerve agents inhibit acetylcholinesterase (AChE) and butyrylcholinesterase (BChE) by phosphylating the catalytic serine. Oxime reactivators can restore enzymatic activity by a nucleophilic attack of the oximate anion on the phosphorus center of the enzyme–OP conjugate; however, clinically used oximes show agent- [...] Read more.
Organophosphorus (OP) nerve agents inhibit acetylcholinesterase (AChE) and butyrylcholinesterase (BChE) by phosphylating the catalytic serine. Oxime reactivators can restore enzymatic activity by a nucleophilic attack of the oximate anion on the phosphorus center of the enzyme–OP conjugate; however, clinically used oximes show agent- and enzyme-dependent performance and are particularly challenged by A-series compounds. Here, an in silico strategy is presented to identify candidate antidotes for OP poisoning, including A-series agents. Pharmacophore models are generated from benchmark/template oximes. Pharmacophore-based virtual screening is used to retrieve hit-like scaffolds from the available chemical space, after which selected hits are converted into oxime analogs. Template oximes and newly designed oximes are then docked into the active site of AChE or BChE inhibited by specific nerve agents. The predicted reactivation potential is assessed using mechanistically motivated geometric criteria derived from the accepted reactivation hypothesis, including the distance between the oximate oxygen and the phosphyl phosphorus and the attack angle, relative to the catalytic serine Oγ. This workflow enables a controlled, pairwise comparison of new oximes against their corresponding template oximes for each enzyme–agent combination, providing a rational basis for prioritizing candidates for synthesis and experimental validation. Using the described workflow, we identified a hit compound with the potential to act as an antidote against A-series nerve agent A-230 poisoning. Full article
(This article belongs to the Section Medicinal Chemistry)
Show Figures

Graphical abstract

14 pages, 2104 KB  
Article
Chemical Profile, Antimicrobial and Anti-AChE of the Volatile Fraction of the Unexplored Bryophyte Polytrichadelphus purpureus Mitt. from Ecuador
by James Calva and Yamil Andrade
Plants 2026, 15(6), 980; https://doi.org/10.3390/plants15060980 - 22 Mar 2026
Viewed by 225
Abstract
Polytrichadelphus purpureus is a bryophyte distributed in tropical and subtropical regions. It represents an underexploited source of bioactive metabolites. In this study, the volatile fraction (VF) obtained by steam distillation was analyzed by gas chromatography (GC-MS and GC-FID) on a DB-5ms capillary column, [...] Read more.
Polytrichadelphus purpureus is a bryophyte distributed in tropical and subtropical regions. It represents an underexploited source of bioactive metabolites. In this study, the volatile fraction (VF) obtained by steam distillation was analyzed by gas chromatography (GC-MS and GC-FID) on a DB-5ms capillary column, identifying 86 volatile compounds, representing the 97% of the volatile profile. Sesquiterpene hydrocarbons (23.6%), alcohols (15.6%), and alkanes (14.1%) were the major group compounds. Major components include (Z)-falcarinol (14%), hexacosane (4%), β-Curcumene (3%), and oleic acid (3%), among others. In addition, the volatile fraction exhibited moderate in vitro inhibitory activity against Gram-positive bacteria (E. faecium, S. aureus), fungus A. niger at concentrations of 250 µg/mL and 500 µg/mL, respectively, and E. faecalis and L. monocytogenes (250–500 µg/mL) and a weak inhibition of acetylcholinesterase (IC50: 392 µg/mL). These effects were evaluated for the first time in this species. While they are within the range reported for other plant-derived volatile fraction, they do not, on their own, justify claims of therapeutic efficacy. This study primarily advances our understanding of the genus Polytrichadelphus, suggesting potential as a source of bioactive sesquiterpenes for future phytochemical screening. Full article
Show Figures

Figure 1

19 pages, 1473 KB  
Article
Phytochemical Composition and Bioactivity of Acanthus dioscoridis var. perringii: An Integrated Analysis of Antioxidant Activity, Enzyme Inhibition, and Phenolic–Bioactivity Correlations
by Bedrettin Selvi
Pharmaceuticals 2026, 19(3), 512; https://doi.org/10.3390/ph19030512 - 20 Mar 2026
Viewed by 236
Abstract
Objectives: Plant organs often allocate phenolic metabolites unevenly, resulting in organ-specific bioactivities. This study aimed to characterize the organ-specific phenolic profile of Acanthus dioscoridis var. perringii and determine how this chemical segregation is associated with antioxidant capacity and enzyme inhibitory activities. Materials and [...] Read more.
Objectives: Plant organs often allocate phenolic metabolites unevenly, resulting in organ-specific bioactivities. This study aimed to characterize the organ-specific phenolic profile of Acanthus dioscoridis var. perringii and determine how this chemical segregation is associated with antioxidant capacity and enzyme inhibitory activities. Materials and Methods: Organ-specific extracts (roots, stems, leaves, bracts, and flowers) were evaluated for total phenolic and flavonoid contents, targeted LC-MS analysis of individual phenolics, antioxidant activity by multiple assays, enzyme inhibition [acetylcholinesterase (AChE), butyrylcholinesterase (BChE), α-amylase, and α-glucosidase], and the relationships between phenolic composition and biological activities. Antioxidant performance was also assessed using the Relative Antioxidant Capacity Index (RACI). Results and Discussion: Roots showed the highest total phenolic content, whereas bracts had the highest total flavonoid level. Verbascoside was the dominant compound in all organs, with the highest levels in leaves, roots, and bracts. Roots exhibited the strongest reducing and radical-scavenging activities, while flowers showed the best metal-chelating capacity. Enzyme inhibition was organ-dependent and generally moderate, with stems showing the strongest cholinesterase inhibition, leaves the strongest α-amylase inhibition, and bracts together with roots the strongest α-glucosidase inhibition. Statistical analysis revealed close associations between phenolic richness, antioxidant responses, and cholinesterase inhibition. Conclusions: These findings demonstrate a clear organ-dependent distribution of phenolic compounds in A. dioscoridis var. perringii, reflected in distinct antioxidant and enzyme inhibitory profiles. Overall, the study provides a biochemical and bioactivity-based characterization of the species at the organ level. Full article
Show Figures

Graphical abstract

11 pages, 614 KB  
Review
Beyond the Genomic Storm: Evaluating Tabernanthalog as a Potential Scaffold for Silent Neuroplasticity and Broad-Spectrum Therapy
by Ivan Anchesi, Ivana Raffaele, Maria Francesca Astorino, Maria Lui, Marco Calabrò and Giovanni Luca Cipriano
Int. J. Mol. Sci. 2026, 27(6), 2811; https://doi.org/10.3390/ijms27062811 - 20 Mar 2026
Viewed by 252
Abstract
The clinical renaissance of psychedelic medicine has highlighted the therapeutic potential of rapid-acting neuroplastogens, or “psychoplastogens,” for psychiatric disorders. However, the widespread application of classical psychedelics—such as psilocybin and LSD—and the atypical dissociative ibogaine is severely limited by their hallucinogenic properties and, particularly [...] Read more.
The clinical renaissance of psychedelic medicine has highlighted the therapeutic potential of rapid-acting neuroplastogens, or “psychoplastogens,” for psychiatric disorders. However, the widespread application of classical psychedelics—such as psilocybin and LSD—and the atypical dissociative ibogaine is severely limited by their hallucinogenic properties and, particularly in the case of ibogaine, life-threatening cardiotoxicity. Addressing these limitations, Tabernanthalog (TBG) has emerged as a frontrunner in the field. This non-hallucinogenic analog of ibogaine was rationally designed to eliminate interactions with the human ether-à-go-go-related gene (hERG, KCNH2) potassium channel, thereby mitigating cardiotoxic risks. While initially characterized for its anti-addictive and antidepressant-like properties, recent data from 2024–2025 have significantly expanded its therapeutic horizon. TBG demonstrates robust efficacy in preclinical models of neuropathic and visceral pain, as well as in the rescue of cognitive deficits associated with cancer-related cognitive impairment (CRCI). TBG has shown efficacy in reversing cognitive impairments induced directly by the presence of a tumor in preclinical models, rather than by chemotherapy-specific neurotoxicity. Crucially, emerging evidence suggests that TBG’s mechanism extends beyond simple 5-HT2A receptor agonism. New findings point to a multi-target profile involving the inhibition of nicotinic acetylcholine receptors (nAChRs), positive modulation of NMDA receptors, and functional crosstalk with mGlu2 receptors. Furthermore, TBG appears to induce structural neuroplasticity without the widespread induction of immediate early genes (IEGs) seen with classical hallucinogens, suggesting a decoupling of therapeutic rewiring from the subjective psychedelic experience. This review synthesizes current preclinical evidence to discuss TBG as a promising chemical scaffold for next-generation neurotherapeutics targeting the intersection of psychiatry and neurology. Full article
Show Figures

Figure 1

16 pages, 2452 KB  
Article
Hydrolyzed Collagen from Salmon Skin Mitigates L-NAME-Induced Hypertension in Rats by Attenuating Oxidative Stress and Inflammation and Improving Vascular Remodeling
by Pimchanok Mungmuang, Jiraporn Tocharus, Luckika Panthiya, Rattapong Sungnoon, Krisana Nilsuwan, Soottawat Benjakul and Chainarong Tocharus
Int. J. Mol. Sci. 2026, 27(6), 2805; https://doi.org/10.3390/ijms27062805 - 19 Mar 2026
Viewed by 210
Abstract
This study aimed to investigate whether hydrolyzed collagen (HC) derived from salmon skin could attenuate blood pressure and vascular damage in Nω-nitro-L-arginine methyl ester hydrochloride (L-NAME)-induced hypertensive rats. Hypertension was induced in rats by the oral administration of L-NAME (40 mg/kg/day) for eight [...] Read more.
This study aimed to investigate whether hydrolyzed collagen (HC) derived from salmon skin could attenuate blood pressure and vascular damage in Nω-nitro-L-arginine methyl ester hydrochloride (L-NAME)-induced hypertensive rats. Hypertension was induced in rats by the oral administration of L-NAME (40 mg/kg/day) for eight weeks, while HC in two doses (50, 450 mg/kg) or enalapril at 10 mg/kg dissolved in water were concurrently administered via oral gavage for the last four weeks. Treatment with HC (450 mg/kg) and enalapril resulted in a reduction in systolic blood pressure, oxidative stress markers, and inflammatory cytokines. Production of serum nitric oxide (NO) was also increased, contributing to better aortic function. Histopathological analysis confirmed these changes, showing enhanced progression in the aorta structure. Vascular function was improved, as evidenced by significantly higher relaxation responses to acetylcholine (ACh) in the presence or absence of endothelium. These findings indicate that HC effectively lowered the blood pressure in hypertensive rats, potentially through mechanisms involving the modulation of oxidative stress and the expression of nitric oxide, reducing vascular inflammation and remodeling, hence enhancing vascular function. Full article
(This article belongs to the Section Molecular Pharmacology)
Show Figures

Figure 1

17 pages, 13668 KB  
Article
Insecticide Resistance Mutations, Enzymatic Activity, and Pathogen Infection in Culex quinquefasciatus from Haiti
by Primrose Tanachaiwiwat, Neil D. Sanscrainte, Bernard A. Okech and Alden S. Estep
Insects 2026, 17(3), 331; https://doi.org/10.3390/insects17030331 - 18 Mar 2026
Viewed by 298
Abstract
Haiti is a Caribbean country of about 11 million people with a high burden of mosquito-transmitted disease and limited vector control, thereby making effective operational mosquito control of high importance. Previous studies have examined vector-borne disease burden and insecticide resistance markers in Haitian [...] Read more.
Haiti is a Caribbean country of about 11 million people with a high burden of mosquito-transmitted disease and limited vector control, thereby making effective operational mosquito control of high importance. Previous studies have examined vector-borne disease burden and insecticide resistance markers in Haitian Aedes and Anopheles mosquitoes, but not Culex species. In this study, we examined collections of Culex quinquefasciatus from 12 locations in northern and southern Haiti for the presence of markers of insecticide resistance (using a variety of target-site mutations and biochemical assays) and pathogens (using a deep-sequencing microbiome workflow). The metagenomic analysis identified Wolbachia, Rhabdoviridae, and Plasmodium infections in all sample pools at relatively high levels, along with less frequent detections of other potential pathogens. Insecticide resistance marker examination identified variable frequencies of knockdown resistance and acetylcholinesterase resistance mutations, as well as variation in resistance-associated enzymatic activities in these populations. These findings indicate that insecticide resistance to pyrethroid and organophosphate insecticides is likely. Although there was variation among Culex mosquito populations and no clear activity pattern, enzymatic activity was significantly higher at the southern sites than at the northern sites. Similar findings in Cx. quinquefasciatus populations in other locations in the Americas strongly suggest that vector control with pyrethroid and organophosphate adulticides may be of limited efficacy. Full article
(This article belongs to the Section Insect Pest and Vector Management)
Show Figures

Figure 1

12 pages, 218 KB  
Review
Myasthenia Gravis in Pregnancy: Prenatal and Postnatal Diagnostic Challenges—A Narrative Review
by Angeliki Gerede, Maria Danavasi, Efthymios Oikonomou, Panayiota Papasozomenou, Vasiliki Kourti, Anastasios Potiris, Christos Chatzakis, Sofoklis Stavros, Nikoletta Koutlaki and Makarios Eleftheriadis
Diagnostics 2026, 16(6), 899; https://doi.org/10.3390/diagnostics16060899 - 18 Mar 2026
Viewed by 217
Abstract
Myasthenia gravis (MG) is a prevalent autoimmune disorder affecting neuromuscular junctions, typically characterized by muscle weakness due to autoantibodies targeting acetylcholine receptors (AChR) or muscle-specific kinase (MuSK). Generalized MG is a more severe form of the condition than ocular MG. Although MG can [...] Read more.
Myasthenia gravis (MG) is a prevalent autoimmune disorder affecting neuromuscular junctions, typically characterized by muscle weakness due to autoantibodies targeting acetylcholine receptors (AChR) or muscle-specific kinase (MuSK). Generalized MG is a more severe form of the condition than ocular MG. Although MG can strike at any age, young adult women are typically affected, especially in their reproductive years. MG is rare during pregnancy, with the first trimester and the postpartum period being the most common times for exacerbations. The influence of MG on pregnancy outcomes remains ambiguous, with some studies finding larger prevalence of issues such as preterm birth and small-for-gestational-age babies, while others indicate results similar to the general population. Management of MG during pregnancy necessitates careful monitoring and drug adjustments. Teratogenic concerns make several immunosuppressive drugs, such mycophenolate mofetil and methotrexate, contraindicated. In contrast, medications like prednisolone and pyridostigmine are generally recognized as safe. Women with MG may have flare-ups after giving birth, and infants may have transient neonatal myasthenia gravis. Comprehensive prenatal treatment and multidisciplinary assistance are crucial for promoting maternal and fetal health during pregnancy in women with MG. This paper examines the relevance of immunological biomarkers, RNAs, and other novel biomarkers in myasthenia gravis (MG). It emphasizes the need for more investigation to determine their role in the pathogenesis of MG, evaluate biomarker profiles across subgroups, and look at changes after treatment. The study also underlines the significance of high-throughput investigations to detect new biomarkers and reveal genetic variables impacting MG pathogenesis. Full article
23 pages, 1401 KB  
Article
Preliminary Assessment of the Neuroprotective Potential of the Above-Ground Parts of Two Carlina Species (Asteraceae)
by Jarosław Mołdoch, Monika Agacka-Mołdoch, Agata Soluch, Monika Rudkowska and Karolina Wojtunik-Kulesza
Appl. Sci. 2026, 16(6), 2907; https://doi.org/10.3390/app16062907 - 18 Mar 2026
Viewed by 157
Abstract
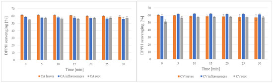
The aim of this study was to evaluate the phytochemical profile and neuroprotective potential of extracts from underground and aerial parts of two Carlina species: Carlina acaulis (CA) and Carlina vulgaris (CV). Metabolic profiling performed via UHPLC-UV-MS/MS revealed a distinct chemotaxonomic differentiation between [...] Read more.
The aim of this study was to evaluate the phytochemical profile and neuroprotective potential of extracts from underground and aerial parts of two Carlina species: Carlina acaulis (CA) and Carlina vulgaris (CV). Metabolic profiling performed via UHPLC-UV-MS/MS revealed a distinct chemotaxonomic differentiation between the taxa. C. acaulis was defined as a “phenolic-acid” chemotype dominated by 5-O-caffeoylquinic acid (up to 32.11 mg/g in leaves), whereas C. vulgaris was characterized as a “flavonoid” chemotype, distinguished by a unique C-glycoside signature, including carlinoside and schaftoside. A significant aspect of scientific novelty is the first-ever identification of flavonolignans (e.g., salcolin A/B and tricin derivatives) in the roots of both species. In biological assays, the extracts demonstrated a multidirectional neuroprotective mechanism. Good antioxidant properties (DPPH, FRAP assays) were confirmed, particularly in CA leaves and CV inflorescences which revealed 61% of DPPH scavenging, along with the capacity to chelate Fe(II) ions (above 60% for CA inflorescence, CV leaves and CV root), a crucial mechanism in ferroptosis prevention. Furthermore, leaf extracts of both species exhibited effective inhibition of acetylcholinesterase (AChE) and butyrylcholinesterase (BChE) exceeding 50%, showing kinetic selectivity towards BChE inhibition. These results position Carlina species as a promising source of metabolites supporting the therapy of neurodegenerative diseases. Full article
Show Figures

Figure 1

27 pages, 5753 KB  
Article
Acrylamide Exposure Exacerbates Type 2 Diabetes-Induced Neurotoxicity: An Integrated Neurobehavioral and Molecular Investigation
by Abdulaziz Arif A. Alshammari, Abdullah Saleh Alkhamiss, Minhajul Arfeen, Razan Alawaji, Mai B. Alwesmi and Vasudevan Mani
Life 2026, 16(3), 491; https://doi.org/10.3390/life16030491 - 17 Mar 2026
Viewed by 211
Abstract
Type 2 Diabetes Mellitus (T2DM) is a widespread metabolic disorder that can affect brain health, primarily through the damaging effects of prolonged hyperglycemia. This condition increases oxidative stress (OS), neuroinflammation, and neuroapoptosis, ultimately impairing cognitive function. Acrylamide (ACY), a neurotoxicant formed during high-temperature [...] Read more.
Type 2 Diabetes Mellitus (T2DM) is a widespread metabolic disorder that can affect brain health, primarily through the damaging effects of prolonged hyperglycemia. This condition increases oxidative stress (OS), neuroinflammation, and neuroapoptosis, ultimately impairing cognitive function. Acrylamide (ACY), a neurotoxicant formed during high-temperature food processing and present in cigarette smoke, may further aggravate these neurological disturbances. The present experiment examined the exacerbating effects of T2DM and ACY exposure on cognitive function, neurodegeneration, OS, neuroinflammation, and neuroapoptosis in diabetic rats. T2DM was induced via intraperitoneal injections of nicotinamide and streptozotocin, followed by daily oral doses of ACY for a month. Behavioral assessments (EPM, NOR, and Y-maze) evaluated cognitive performance. Brain tissues were analyzed for biochemical markers of neurodegeneration (GSK-3β, AChE, BACE1), OS (MDA, GSH, Catalase), neuroinflammation (NF-κB, TNF-α, PGE2, COX-2), and neuroapoptosis (Bcl-2, Bax, Caspase-3). Immunohistochemistry of Bcl-2, Bcl-6, CD138, and NF assessed structural brain changes. Results indicated that T2DM and ACY exposure significantly increased the incidence of neurological disturbances. Notably, through increased COX-2, PGE2, MDA, Bax, Bcl-6, Caspase-3, and cognitive decline deficits. This study highlights the harmful neurotoxic amplification of T2DM and ACY exposure, emphasizing the importance of public health measures to reduce ACY exposure through dietary and lifestyle changes, particularly among T2DM populations. Further research into neuroprotective strategies and underlying mechanisms is necessary. Full article
Show Figures

Graphical abstract

34 pages, 475 KB  
Article
Applications and Management of Blockchain Technologies in Financial Services
by Nasser Arshadi and Timothy Dombrowski
J. Risk Financial Manag. 2026, 19(3), 224; https://doi.org/10.3390/jrfm19030224 - 17 Mar 2026
Viewed by 461
Abstract
Using transaction cost economics (TCE) and agency theory, this paper examines how blockchain, smart contracts, and decentralized autonomous organizations (DAOs) reconfigure financial services across payments, wealth management, real estate, and corporate governance. Three research questions are addressed: (1) What are the quantifiable efficiency [...] Read more.
Using transaction cost economics (TCE) and agency theory, this paper examines how blockchain, smart contracts, and decentralized autonomous organizations (DAOs) reconfigure financial services across payments, wealth management, real estate, and corporate governance. Three research questions are addressed: (1) What are the quantifiable efficiency gains from blockchain-based real-time settlement compared with legacy systems? (2) How do blockchain technologies reduce intermediation and agency costs in wealth management and real estate? (3) Finally, to what extent do DAOs resolve or transform traditional corporate governance problems? By combining a present-value model calibrated to U.S. Automated Clearing House (ACH) data ($86.2 trillion in annual volume), comparative institutional analysis, and synthesis of empirical evidence from pilot implementations and on-chain governance metrics, this paper makes three principal contributions. First, real-time settlement yields approximately $12 billion in annual opportunity cost savings at the baseline 7.5% discount rate, with sensitivity analysis producing a range of $8–15 billion. The majority of gains accrue from moving to same-day or within-hour settlement. Second, tokenization and smart contract escrow substantially reduce real estate intermediation costs, blockchain-based digital identity streamlines wealth management onboarding, and a stablecoin taxonomy classifies fiat-collateralized, crypto-collateralized, and algorithmic designs by risk profile. Third, on-chain data reveal persistent governance token concentration (Gini > 0.98) and low voter participation (typically below 10%), exposing a gap between DAO theory and practice. Blockchain-specific risks are mapped to National Institute of Standards and Technology (NIST) Cybersecurity Framework 2.0, and mechanism design solutions, such as quadratic voting and AI-assisted proposal evaluation, are proposed to address whale dominance. Effective adoption requires hybrid architecture combining on-chain automation with off-chain structures for accountability and regulatory compliance. Full article
(This article belongs to the Special Issue Financial Technology (Fintech) and Sustainable Financing, 4th Edition)
Show Figures

Figure 1

16 pages, 1056 KB  
Article
Carnosine-Enriched Chicken Meat Improves Microvascular Function and Anti-Inflammatory Phenotype in Patients with Chronic Coronary Syndrome
by Dora Uršić, Nikolina Kolobarić, Ines Drenjančević, Zrinka Mihaljević, Petar Šušnjara, Ana Stupin, Ivana Jukić and Aleksandar Kibel
Nutrients 2026, 18(6), 928; https://doi.org/10.3390/nu18060928 - 15 Mar 2026
Viewed by 253
Abstract
Background/Objectives: This study investigated the effect of the consumption of carnosine-enriched chicken meat on endothelium-dependent and independent microvascular reactivity and inflammatory mediators in patients with chronic coronary syndrome (CCS). Materials and Methods: In total, 38 CCS participants were randomized to two groups: the [...] Read more.
Background/Objectives: This study investigated the effect of the consumption of carnosine-enriched chicken meat on endothelium-dependent and independent microvascular reactivity and inflammatory mediators in patients with chronic coronary syndrome (CCS). Materials and Methods: In total, 38 CCS participants were randomized to two groups: the Control group (N = 19), who consumed regular chicken meat, and the Carnosine group (N = 19), who consumed carnosine-enriched chicken meat for 3 weeks. Skin microvascular reactivity in response to vascular occlusion (PORH), acetylcholine (ACh ID), sodium nitroprusside (SNP ID), and local thermal hyperemia (LTH) was measured. Arterial blood pressure (BP), heart rate (HR), biochemical parameters, anti- and proinflammatory cytokine levels, and markers of oxidative stress were assessed before and after the intervention. Results: The consumption of carnosine-enriched chicken meat improved endothelium-dependent (PORH, LTH) and endothelium-independent vasodilation (SNP ID). Systolic BP (SBP), diastolic BP (DBP), and mean BP (MAP), as well as serum concentrations of tumor necrosis factor-alpha (TNF-α), interleukin-6 (IL-6), and endoglin, decreased from the initial measurements. Conclusion: The consumption of carnosine-enriched chicken meat enhances microvascular endothelium-dependent and independent vasodilatation. Patients with CCS can benefit from carnosine-enriched chicken meat consumption through improved hemodynamic parameters, reduced inflammation, and enhanced microvascular relaxation. Full article
Show Figures

Figure 1

Back to TopTop