Broadband Reduction in Mutual Coupling in Compact MIMO Vehicle Antennas by Using Electric SRRs
Abstract
1. Introduction
2. Characteristics of Vehicle MIMO Antenna
3. Mutual Coupling Suppression by Electric SRR
3.1. Design and Experiment of SRR
3.2. CMA of SRR
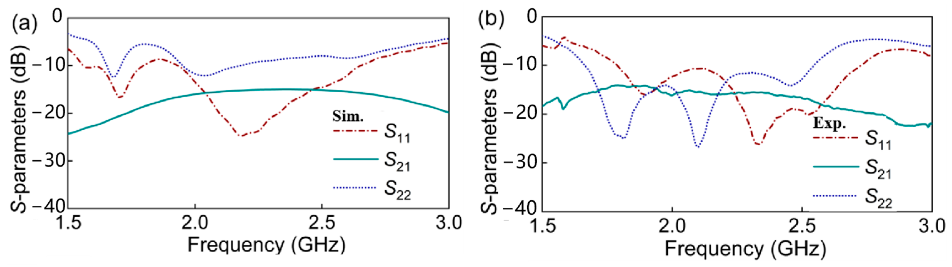
3.3. Broadband Decoupling Performance of SRRs
3.4. Rotation Effects on Decoupling Performance
4. Comprehensive Analysis of Decoupling Mechanism
5. Conclusions
Author Contributions
Funding
Data Availability Statement
Conflicts of Interest
References
- Vaughan, R.G.; Andersen, J.B. Antenna Diversity in Mobile Communications. IEEE Trans. Veh. Technol. 1987, 36, 149–172. [Google Scholar] [CrossRef]
- Andersen, J.B.; Rasmussen, H.H. Decoupling and Descattering Networks for Antennas. IEEE Trans. Antennas Propag. 1976, 24, 841–846. [Google Scholar] [CrossRef]
- Lee, T.; Wang, Y. Mode-Based Information Channels in Closely Coupled Dipole Pairs. IEEE Trans. Antennas Propag. 2008, 56, 3804–3811. [Google Scholar] [CrossRef]
- Zhang, S.; Pedersen, G.F. Mutual Coupling Reduction for UWB MIMO Antennas with a Wideband Neutralization Line. IEEE Antennas Wirel. Propag. Lett. 2016, 15, 166–169. [Google Scholar] [CrossRef]
- Li, M.; Jiang, L.; Yeung, K. A General and Systematic Method to Design Neutralization Lines for Isolation Enhancement in MIMO Antenna Arrays. IEEE Trans. Veh. Technol. 2020, 69, 6242–6253. [Google Scholar] [CrossRef]
- Yang, F.; Rahmat-Samii, Y. Microstrip antennas integrated with electromagnetic band-gap (EBG) structures: A low mutual coupling design for array applications. IEEE Trans. Antennas Propag. 2003, 51, 2936–2946. [Google Scholar] [CrossRef]
- Lee, J.Y.; Choi, J.; Choi, D.; Youn, Y.; Hong, W. Broadband and Wide-Angle Scanning Capability in Low-Coupled mm-Wave Phased-Arrays Incorporating ILA with HIS Fabricated on FR-4 PCB. IEEE Trans. Veh. Technol. 2021, 70, 2076–2088. [Google Scholar] [CrossRef]
- Zhang, S.; Chen, X.M.; Pedersen, G.F. Mutual Coupling Suppression with Decoupling Ground for Massive MIMO Antenna Arrays. IEEE Trans. Veh. Technol. 2019, 68, 7273–7282. [Google Scholar] [CrossRef]
- Pendry, J.B.; Holden, A.J.; Stewart, W.J.; Youngs, I. Extremely low frequency plasmons in metallic mesostructures—Reply. Phys. Rev. Lett. 1997, 78, 4136. [Google Scholar] [CrossRef]
- Pendry, J.B. Negative refraction makes a perfect lens. Phys. Rev. Lett. 2000, 85, 3966–3969. [Google Scholar] [CrossRef]
- Shelby, R.A.; Smith, D.R.; Schultz, S. Experimental verification of a negative index of refraction. Science 2001, 292, 77–79. [Google Scholar] [CrossRef] [PubMed]
- Yu, N.F.; Genevet, P.; Kats, M.A.; Aieta, F.; Tetienne, J.P.; Capasso, F.; Gaburro, Z. Light Propagation with Phase Discontinuities: Generalized Laws of Reflection and Refraction. Science 2011, 334, 333–337. [Google Scholar] [CrossRef] [PubMed]
- Sun, S.L.; He, Q.; Xiao, S.Y.; Xu, Q.; Li, X.; Zhou, L. Gradient-index meta-surfaces as a bridge linking propagating waves and surface waves. Nat. Mater. 2012, 11, 426–431. [Google Scholar] [CrossRef]
- Ding, X.M.; Monticone, F.; Zhang, K.; Zhang, L.; Gao, D.L.; Burokur, S.N.; de Lustrac, A.; Wu, Q.; Qiu, C.; Alu, A. Ultrathin Pancharatnam-Berry Metasurface with Maximal Cross-Polarization Efficiency. Adv. Mater. 2015, 27, 1195–1200. [Google Scholar] [CrossRef] [PubMed]
- Schurig, D.; Mock, J.J.; Justice, B.J.; Cummer, S.A.; Pendry, J.B.; Starr, A.F.; Smith, D.R. Metamaterial electromagnetic cloak at microwave frequencies. Science 2006, 314, 977–980. [Google Scholar] [CrossRef]
- Bait-Suwailam, M.M.; Boybay, M.S.; Ramahi, O.M. Electromagnetic Coupling Reduction in High-Profile Monopole Antennas Using Single-Negative Magnetic Metamaterials for MIMO Applications. IEEE Trans. Antennas Propag. 2010, 58, 2894–2902. [Google Scholar] [CrossRef]
- Hsu, C.C.; Lin, K.; Su, H. Implementation of Broadband Isolator Using Metamaterial-Inspired Resonators and a T-Shaped Branch for MIMO Antennas. IEEE Trans. Antennas Propag. 2011, 59, 3936–3939. [Google Scholar] [CrossRef]
- Abdalla, M.A.; Ibrahim, A.A. Compact and Closely Spaced Metamaterial MIMO Antenna with High Isolation for Wireless Applications. IEEE Antennas Wirel. Propag. Lett. 2013, 12, 1452–1455. [Google Scholar] [CrossRef]
- Ding, T.; Zhang, L.; Zhang, S.; Liu, Y. Adaptive High-Level Isolation Between Two Closely Placed Copolarized Antennas Using Tunable Screen. IEEE Antennas Wirel. Propag. Lett. 2017, 16, 1016–1019. [Google Scholar] [CrossRef]
- Das, G.; Sharma, A.; Gangwar, R.K.; Sharawi, M.S. Performance Improvement of Multiband MIMO Dielectric Resonator Antenna System with a Partially Reflecting Surface. IEEE Antennas Wirel. Propag. Lett. 2019, 18, 2105–2109. [Google Scholar] [CrossRef]
- Ketzaki, D.A.; Yioultsis, T.V. Metamaterial-Based Design of Planar Compact MIMO Monopoles. IEEE Trans. Antennas Propag. 2013, 61, 2758–2766. [Google Scholar] [CrossRef]
- Mao, C.; Jiang, Z.; Werner, D.; Gao, S.; Hong, W. Compact Self-Diplexing Dual-Band Dual-Sense Circularly Polarized Array Antenna with Closely Spaced Operating Frequencies. IEEE Trans. Antennas Propag. 2019, 67, 4617–4625. [Google Scholar] [CrossRef]
- Lee, J.Y.; Kim, S.H.; Jang, J.H. Reduction of Mutual Coupling in Planar Multiple Antenna by Using 1-D EBG and SRR Structures. IEEE Trans. Antennas Propag. 2015, 63, 4194–4198. [Google Scholar] [CrossRef]
- Ghosh, J.; Mitra, D.; Das, S. Mutual Coupling Reduction of Slot Antenna Array by Controlling Surface Wave Propagation. IEEE Trans. Antennas Propag. 2019, 67, 1352–1357. [Google Scholar] [CrossRef]
- Tang, J.Z.; Faraz, F.; Chen, X.M.; Zhang, Q.Q.; Li, Q.L.; Li, Y.S.; Zhang, S. A Metasurface Superstrate for Mutual Coupling Reduction of Large Antenna Arrays. IEEE Access 2020, 8, 126859–126867. [Google Scholar] [CrossRef]
- Yang, F.M.; Peng, L.; Liao, X.; Mo, K.S.; Jiang, X.; Li, S.M. Coupling Reduction for a Wideband Circularly Polarized Conformal Array Antenna with a Single-Negative Structure. IEEE Antennas Wirel. Propag. Lett. 2019, 18, 991–995. [Google Scholar] [CrossRef]
- Wang, Z.; Li, C.; Yin, Y. A Meta-Surface Antenna Array Decoupling (MAAD) Design to Improve the Isolation Performance in a MIMO System. IEEE Access 2020, 8, 61797–61805. [Google Scholar] [CrossRef]
- Yang, Z.; Xiao, J.; Ye, Q.B. Enhancing MIMO Antenna Isolation Characteristic by Manipulating the Propagation of Surface Wave. IEEE Access 2020, 8, 115572–115581. [Google Scholar] [CrossRef]
- Zhai, H.Q.; Xi, L.; Zang, Y.P.; Li, L. A Low-Profile Dual-Polarized High-Isolation MIMO Antenna Arrays for Wideband Base-Station Applications. IEEE Trans. Antennas Propag. 2018, 66, 191–202. [Google Scholar] [CrossRef]
- Zhu, J.F.; Li, S.F.; Liao, S.W.; Xue, Q. Wideband Low-Profile Highly Isolated MIMO Antenna with Artificial Magnetic Conductor. IEEE Antennas Wirel. Propag. Lett. 2018, 17, 458–462. [Google Scholar] [CrossRef]
- Feng, B.T.; He, X.Y.; Cheng, J.C.; Zeng, Q.S.; Sim, C.Y.D. A Low-Profile Differentially Fed Dual-Polarized Antenna with High Gain and Isolation for 5G Microcell Communications. IEEE Trans. Antennas Propag. 2020, 68, 90–99. [Google Scholar] [CrossRef]
- Lin, F.H.; Chen, Z.N. Resonant Metasurface Antennas with Resonant Apertures: Characteristic Mode Analysis and Dual-Polarized Broadband Low-Profile Design. IEEE Trans. Antennas Propag. 2021, 69, 3512–3516. [Google Scholar] [CrossRef]
- Sheng, H.W.; Chen, Z.N. Improving Radiation Pattern Roundness of a Monopole Antenna Placed Off-Center Above a Circular Ground Plane Using Characteristic Mode Analysis. IEEE Trans. Antennas Propag. 2021, 69, 1135–1139. [Google Scholar] [CrossRef]












| Reference | Size (λ) | Coupling Reduction Bandwidth (%) | −20 dB Coupling Bandwidth | Orientation to Ground |
|---|---|---|---|---|
| 16 | 0.06λ × 0.27λ | 12% | 8% | Vertical |
| 25 | 0.24λ × 0.96λ | 25% | 25% | Vertical |
| 26 | 2.32λ × 2.32λ | 5% | N/A | Parallel |
| 28 | 0.67λ × 0.67λ | ~15% | 7.3% | Parallel |
| 29 | 0.09λ × 0.26λ | 4.8% | 4.8% | Parallel |
| This work | 0.3λ × 0.3λ | 47.6% | 45.4% | Vertical |
Disclaimer/Publisher’s Note: The statements, opinions and data contained in all publications are solely those of the individual author(s) and contributor(s) and not of MDPI and/or the editor(s). MDPI and/or the editor(s) disclaim responsibility for any injury to people or property resulting from any ideas, methods, instructions or products referred to in the content. |
© 2025 by the authors. Licensee MDPI, Basel, Switzerland. This article is an open access article distributed under the terms and conditions of the Creative Commons Attribution (CC BY) license (https://creativecommons.org/licenses/by/4.0/).
Share and Cite
Cai, W.; Yue, H.; Zhang, F.; Fan, Y.; Fu, Q.; Zhu, W.; Yang, R.; Xu, J. Broadband Reduction in Mutual Coupling in Compact MIMO Vehicle Antennas by Using Electric SRRs. Electronics 2025, 14, 1864. https://doi.org/10.3390/electronics14091864
Cai W, Yue H, Zhang F, Fan Y, Fu Q, Zhu W, Yang R, Xu J. Broadband Reduction in Mutual Coupling in Compact MIMO Vehicle Antennas by Using Electric SRRs. Electronics. 2025; 14(9):1864. https://doi.org/10.3390/electronics14091864
Chicago/Turabian StyleCai, Weiqi, Hao Yue, Fuli Zhang, Yuancheng Fan, Quanhong Fu, Wei Zhu, Ruisheng Yang, and Jing Xu. 2025. "Broadband Reduction in Mutual Coupling in Compact MIMO Vehicle Antennas by Using Electric SRRs" Electronics 14, no. 9: 1864. https://doi.org/10.3390/electronics14091864
APA StyleCai, W., Yue, H., Zhang, F., Fan, Y., Fu, Q., Zhu, W., Yang, R., & Xu, J. (2025). Broadband Reduction in Mutual Coupling in Compact MIMO Vehicle Antennas by Using Electric SRRs. Electronics, 14(9), 1864. https://doi.org/10.3390/electronics14091864

