Sign in to use this feature.

Years

Between: -

Subjects

remove_circle_outline
remove_circle_outline
remove_circle_outline
remove_circle_outline
remove_circle_outline
remove_circle_outline
remove_circle_outline
remove_circle_outline
remove_circle_outline

Journals

remove_circle_outline
remove_circle_outline
remove_circle_outline
remove_circle_outline
remove_circle_outline

Article Types

Countries / Regions

remove_circle_outline
remove_circle_outline
remove_circle_outline
remove_circle_outline
remove_circle_outline
remove_circle_outline

Search Results (2,073)

Search Parameters:
Keywords = MIMO

Order results
Result details
Results per page
Select all
Export citation of selected articles as:
16 pages, 1003 KB  
Article
Deep Learning for Joint Pilot, Channel Feedback and Sub-Array Hybrid Beamforming in FDD Massive MU-MIMO-OFDM Systems
by Kai Zhao, Haiyi Wu, Wei Yao and Yong Xiong
Electronics 2026, 15(6), 1255; https://doi.org/10.3390/electronics15061255 - 17 Mar 2026
Abstract
In frequency division duplex (FDD) massive multiple-input multiple-output orthogonal frequency division multiplexing (MIMO-OFDM) systems, the sub-array multi-user (MU) hybrid beamforming architecture is highly attractive because of its low hardware cost and high energy efficiency. However, downlink channel state information (CSI) acquisition and hybrid [...] Read more.
In frequency division duplex (FDD) massive multiple-input multiple-output orthogonal frequency division multiplexing (MIMO-OFDM) systems, the sub-array multi-user (MU) hybrid beamforming architecture is highly attractive because of its low hardware cost and high energy efficiency. However, downlink channel state information (CSI) acquisition and hybrid beamformer optimization remain challenging due to the large feedback overhead and the non-convexity of the beamforming design. To address these issues, we propose an end-to-end deep learning (DL) framework that jointly optimizes pilot training, CSI feedback, and hybrid beamforming, overcoming the limitations of conventional independently designed modules. At the core of the network, we introduce the star efficient location attention (StarELA) module, which combines the implicit high-dimensional representation capability of star operations (element-wise multiplication) with the fine-grained feature localization of efficient location attention (ELA). In addition, for wideband digital beamformer generation, we exploit inter-subcarrier correlation and design a frequency–domain seed generation and interpolation upsampling strategy, which significantly reduces network parameters. Experimental results show that the proposed method approaches the upper-bound performance of conventional hybrid beamforming with ideal CSI, while consistently outperforming existing benchmark methods. Full article
(This article belongs to the Section Microwave and Wireless Communications)
Show Figures

Figure 1

17 pages, 13727 KB  
Article
Ultra-Miniaturized Dual-Band MIMO Antenna for Biomedical Implantable Devices in Wireless Health Monitoring Systems
by Tahir Bashir, Shunbiao Chen, Guanjie Feng, Yunqi Cao and Wei Li
Biosensors 2026, 16(3), 163; https://doi.org/10.3390/bios16030163 - 14 Mar 2026
Abstract
This paper proposed an ultra-miniaturized four-port dual-band multi-input multi-output (MIMO) antenna designed for wireless biomedical implantable devices, including wireless capsule endoscopy (WCE) and cardiac leadless pacemakers. The antenna supports operation in the wireless medical telemetry service (WMTS) band of 1.395–1.4 GHz and the [...] Read more.
This paper proposed an ultra-miniaturized four-port dual-band multi-input multi-output (MIMO) antenna designed for wireless biomedical implantable devices, including wireless capsule endoscopy (WCE) and cardiac leadless pacemakers. The antenna supports operation in the wireless medical telemetry service (WMTS) band of 1.395–1.4 GHz and the industrial, scientific, and medical (ISM) band of 2.4–2.4835 GHz for wireless power transfer and data telemetry applications. Miniaturization is achieved through a partial meandered structural configuration, yielding an overall size of 8 × 6.4 × 0.5 mm3. The antenna is encapsulated within implantable biomedical devices containing batteries, sensors, and electronic components, and evaluated in both homogeneous and realistic heterogeneous body phantoms, including the large intestine and heart. The full-wave electromagnetic simulation results demonstrate good performance, including reflection coefficients of −31.19 dB and −30.07 dB, gains of −27.5 dBi and −17.5 dBi, −10 dB impedance bandwidths of 170 MHz and 370 MHz, mutual coupling below 20 dB, and fractional bandwidths of 12.2% and 15.1% at 1.4 GHz and 2.45 GHz, respectively. Specific absorption rate (SAR) analysis satisfies implantation safety limits. Link budget analysis confirms reliable communication over distances more than 20 m in both frequency bands with high-data rates up to 100 Mbps. MIMO channel parameters such as envelope correlation coefficient (ECC), diversity gain (DG), channel capacity loss (CCL), and total active reflection coefficient (TARC) confirm the usefulness of the proposed MIMO antenna. Consequently, the proposed MIMO antenna emerges as a highly promising candidate with, ultra-miniaturization, isolation, multiband operation ability with omnidirectional-like radiation pattern characteristics for several biomedical implants in wireless health monitoring systems. Full article
(This article belongs to the Special Issue Wearable Biosensors for Biomedical Applications)
Show Figures

Figure 1

26 pages, 4680 KB  
Article
Energy-Efficient Access Point Switch On/Off in Cell-Free Massive MIMO Using Proximal Policy Optimization
by Guillermo García-Barrios, Alberto Alonso and Manuel Fuentes
Electronics 2026, 15(6), 1219; https://doi.org/10.3390/electronics15061219 - 14 Mar 2026
Abstract
The increasing densification of cell-free massive multiple-input multiple-output (MIMO) networks makes access point switch on/off (ASO) a key mechanism for improving energy efficiency in future wireless systems. While reinforcement learning (RL) has been explored for ASO, differences in modeling assumptions and evaluation scope [...] Read more.
The increasing densification of cell-free massive multiple-input multiple-output (MIMO) networks makes access point switch on/off (ASO) a key mechanism for improving energy efficiency in future wireless systems. While reinforcement learning (RL) has been explored for ASO, differences in modeling assumptions and evaluation scope leave open questions regarding robustness and scalability. In this work, ASO is investigated from an explicit energy-efficiency perspective using a RL framework based on Proximal Policy Optimization (PPO). The policy learns state-dependent AP activation under partial observability using compact per-access point (AP) large-scale fading statistics and power parameters, without requiring instantaneous small-scale channel state information or combinatorial search, enabling practical online implementation. A comprehensive evaluation is conducted under a unified and reproducible simulation framework across three cell-free deployment scenarios of increasing size that preserve AP density while incorporating realistic channel and power consumption models. Performance is assessed through both average and distribution-based metrics. Numerical results show that the PPO-based policy consistently outperforms random activation and the all-on baseline, achieving energy-efficiency improvements of up to 66% and nearly 50%, respectively, while activating a comparable number of APs. Moreover, the learned policy maintains robust performance as the network scales, reducing the likelihood of highly energy-inefficient operating regimes. Full article
Show Figures

Figure 1

44 pages, 7343 KB  
Review
Research Progress on 6G Communication Antenna Technology
by Guanyao Li and Mai Lu
Electronics 2026, 15(6), 1173; https://doi.org/10.3390/electronics15061173 - 11 Mar 2026
Viewed by 167
Abstract
With the deepening of fifth-generation mobile communication technology (5G) commercialization and the surge in demand for intelligent connectivity of all things, the sixth-generation mobile communication technology (6G) has entered a phase of technological breakthroughs. The innovation in antenna design will determine the upper [...] Read more.
With the deepening of fifth-generation mobile communication technology (5G) commercialization and the surge in demand for intelligent connectivity of all things, the sixth-generation mobile communication technology (6G) has entered a phase of technological breakthroughs. The innovation in antenna design will determine the upper limits of 6G communication. This paper systematically reviews the research progress on antenna technology for 6G communications, focusing on operating frequency bands, antenna structure design, and materials and packaging technologies. The development of 6G communication technology drives antenna research toward higher-frequency bands, with the current research focus extending from the millimeter wave (mmWave) band to the terahertz (THz) band. Compared to the traditional mmWave band, the THz band shows significant advantages in performance indicators. At the antenna structure level, its development trend is mainly reflected in the following three aspects: size miniaturization, scale expansion and distributed deployment, and expansion of frequency bands and functions. New materials and advanced packaging have become key enabling technologies: materials with low-loss characteristics and tunable surface conductivity have become research focuses. Meanwhile, advanced packaging processes achieve miniaturization and high-performance integration of antenna systems. This review aims to provide a systematic technical reference for the research and engineering development of next-generation 6G antennas. Full article
(This article belongs to the Section Microwave and Wireless Communications)
Show Figures

Figure 1

24 pages, 864 KB  
Article
Information-Theoretic Dual Adaptive Control Revisited: Multivariable Extension with Applications to Fault-Tolerant Control
by Joseph-Julien Yamé
Entropy 2026, 28(3), 304; https://doi.org/10.3390/e28030304 - 9 Mar 2026
Viewed by 227
Abstract
This paper revisits and extends the information-theoretic dual adaptive control framework initially developed by the author for single-input single-output systems to multiple-input multiple-output (MIMO) systems, with specific application to fault-tolerant control (FTC). The core contribution is a MIMO formulation that preserves the essential [...] Read more.
This paper revisits and extends the information-theoretic dual adaptive control framework initially developed by the author for single-input single-output systems to multiple-input multiple-output (MIMO) systems, with specific application to fault-tolerant control (FTC). The core contribution is a MIMO formulation that preserves the essential dual property, i.e., balancing control performance against parameter learning, while addressing the increased complexity of coupled multivariable systems. A convexity condition is derived for the MIMO optimization problem, generalizing the original SISO condition. The framework naturally handles actuator faults through a parameter vector that includes effectiveness factors, with fault detection achieved via monitoring of information gain. Control reconfiguration strategies ensure graceful performance degradation under faults. Simulation results demonstrate the effectiveness of this dual approach to FTC methods in balancing detection speed, identification accuracy, and tracking performance, while maintaining computational feasibility for real-time implementation. Full article
Show Figures

Figure 1

17 pages, 2243 KB  
Article
Telemetry and Sensing Using a Dual-Element Implantable MIMO Antenna System
by Amor Smida
Sensors 2026, 26(5), 1694; https://doi.org/10.3390/s26051694 - 7 Mar 2026
Viewed by 211
Abstract
Diseases of the gastrointestinal tract (GI) represent a major global health burden, leading to more than eight million deaths each year, largely driven by malignant conditions such as cancers and tumors. Early detection of such conditions can significantly improve survival rates. In this [...] Read more.
Diseases of the gastrointestinal tract (GI) represent a major global health burden, leading to more than eight million deaths each year, largely driven by malignant conditions such as cancers and tumors. Early detection of such conditions can significantly improve survival rates. In this work, we present a compact two-port MIMO topology for high-speed telemetry and sensing. This system integrates two identical antennas, each operating at 915 MHz, positioned only 0.55 mm apart. It has just 11.9 mm3 (6.9 mm × 6.9 mm × 0.25 mm) volume, achieved through the use of meandered resonator and a high-dielectric laminate for miniaturization. Despite its small size, the design delivers a measured peak gain of −25.1 dBi at resonance. Low mutual coupling in the antenna-system is made possible by maintaining an optimized spacing and introducing a slot in the ground plane, resulting in isolation levels above 27.9 dB. The MIMO configuration was evaluated using standard performance metrics, and at an SNR of 20 dB, the system reached a better performance than single-element antenna. Beyond communication, this design also functions as a sensor, with its resonant frequency shifting in response to changes in the surrounding tissue’s permittivity: enabling real-time monitoring of internal physiological changes. Throughout the sensing process, the design maintains good gain and impedance matching, making it a strong candidate for biomedical implants. Full article
(This article belongs to the Section Communications)
Show Figures

Figure 1

21 pages, 4681 KB  
Review
Photonic Terahertz for 6G Communication
by Jianjun Yu and Ye Zhou
Sensors 2026, 26(5), 1575; https://doi.org/10.3390/s26051575 - 2 Mar 2026
Viewed by 333
Abstract
Terahertz (THz) communication has become a key enabling technology for the future sixth generation (6G) due to its rich spectrum resources, supporting emerging applications such as holographic communication and ultra-wideband transmission. This article provides a comprehensive review of recent advances in photonic THz [...] Read more.
Terahertz (THz) communication has become a key enabling technology for the future sixth generation (6G) due to its rich spectrum resources, supporting emerging applications such as holographic communication and ultra-wideband transmission. This article provides a comprehensive review of recent advances in photonic THz communications, covering device, system, and antenna technologies. First, the electronic bottlenecks in conventional THz systems, including limited bandwidth and severe phase noise generated by frequency doubling, are discussed, emphasizing the advantages of photonic methods in ultra-wideband signal generation and seamless integration with fiber-optic networks. Then, the effects of the carrier transit time, absorber layer thickness, and saturation effects on the bandwidth efficiency performance in single-row carrier photodiodes are reviewed, as well as multi-parameter co-optimization strategies for an enhanced performance. In addition, the latest progress in high spectral efficiency (SE) multi-dimensional multiplexing, lightweight high-gain lens antennas and multi-antenna MIMO transmission mechanisms in multi-antenna THz systems are also summarized. Finally, the prospects and challenges of photonic THz communications in long-distance links and space applications are discussed. Full article
(This article belongs to the Topic Advances in Sixth Generation and Beyond (6G&B))
Show Figures

Figure 1

35 pages, 12310 KB  
Article
Extremely Large-Aperture Arrays for V2X Communication, Localization and Sensing
by Nicolò Decarli, Caterina Giovannetti, Francesco Guidi, Anna Guerra, Alberto Zanella and Barbara Mavì Masini
Sensors 2026, 26(5), 1563; https://doi.org/10.3390/s26051563 - 2 Mar 2026
Viewed by 248
Abstract
Future sixth-generation (6G) vehicular networks are expected to support connected, autonomous, and cooperative driving through ultra-reliable, low-latency, and context-aware vehicle-to-everything (V2X) communications. In this paper, we investigate the role of extremely large-aperture arrays (ELAAs) deployed on board vehicles as a key enabler for [...] Read more.
Future sixth-generation (6G) vehicular networks are expected to support connected, autonomous, and cooperative driving through ultra-reliable, low-latency, and context-aware vehicle-to-everything (V2X) communications. In this paper, we investigate the role of extremely large-aperture arrays (ELAAs) deployed on board vehicles as a key enabler for the joint enhancement of communication, localization, and sensing functionalities, with particular focus on V2X sidelink transmissions. Leveraging the large spatial aperture of ELAAs, advanced beamfocusing and line-of-sight (LOS)-multiple-input multiple-output (MIMO) techniques are reviewed to improve communication reliability and spatial multiplexing in highly dynamic vehicular scenarios. Moreover, we analyze vehicular near-field single-anchor localization and sensing enabled by large arrays, as well as predictive beamforming strategies based on Doppler analysis that enable the estimation of multiple velocity components of surrounding objects and vehicles. This paper highlights the tight interplay between communication and sensing, demonstrating how it can enhance performance across these domains. Our analysis provides insights into the potential of ELAA-based integrated sensing and communication (ISAC) architectures for next-generation vehicular networks. Full article
(This article belongs to the Special Issue Joint Communication and Sensing in Vehicular Networks)
Show Figures

Figure 1

18 pages, 3171 KB  
Article
Horizontal Attention GAN for Super-Resolution Reconstruction of MIMO Radar Images
by Jiuming Zhou, Yanwen Jiang, Hongfei Lian, Qiuyu Liu, Guoyan Wang and Hongqi Fan
Electronics 2026, 15(5), 998; https://doi.org/10.3390/electronics15050998 - 27 Feb 2026
Viewed by 199
Abstract
Multiple-input multiple-output (MIMO) radar is widely adopted in the fields of forward-looking imaging and target recognition, but its azimuth imaging resolution is fundamentally limited by the size of the physical aperture. Aiming to achieve higher imaging resolution than the theoretical value, an image [...] Read more.
Multiple-input multiple-output (MIMO) radar is widely adopted in the fields of forward-looking imaging and target recognition, but its azimuth imaging resolution is fundamentally limited by the size of the physical aperture. Aiming to achieve higher imaging resolution than the theoretical value, an image super-resolution reconstruction method based on the horizontal attention generative adversarial network (HA-GAN) is proposed in this paper. In detail, the horizontal attention mechanism is introduced into the generator to enhance the azimuth resolution, and then the high-resolution (HR) images can be obtained through the adversarial learning between the generator network and the discriminator network. The numerical results demonstrate that the proposed method can break through the theoretical limitation of MIMO azimuth imaging. Moreover, compared to some state-of-the-art methods, the proposed method demonstrates superior performance on sidelobe suppression and super-resolution reconstruction at a low signal-to-noise ratio (SNR). Furthermore, the method’s effectiveness and generalization capability are extensively validated using simulation data, real-world experiments on a millimeter-wave MIMO system, and the public CRUW and RADAL datasets. Overall, the experimental results demonstrate that HA-GAN significantly enhances angular resolution and target recoverability, establishing it as a robust solution for high-precision forward-looking radar imaging. Full article
Show Figures

Figure 1

22 pages, 2982 KB  
Article
Adaptive Asymptotic Tracking Control of MIMO Nonlinear Systems Subject to Asymmetric Full-State Constraints: A Removing Feasibility Condition Approach
by Min Zhang, Kun Jiang, Baiyu Li, Muyu Li and Zhannan Guo
Mathematics 2026, 14(5), 806; https://doi.org/10.3390/math14050806 - 27 Feb 2026
Viewed by 168
Abstract
This work develops an adaptive control scheme for MIMO nonlinear non-lower-triangular systems with asymmetric full-state constraints and unknown gain functions. First, in order to maintain the state constraints, a function that depends solely on the states of the system is proposed to replace [...] Read more.
This work develops an adaptive control scheme for MIMO nonlinear non-lower-triangular systems with asymmetric full-state constraints and unknown gain functions. First, in order to maintain the state constraints, a function that depends solely on the states of the system is proposed to replace the traditional Lyapunov barrier function that relies on the error signal. By means of an affine transformation, the original system is reconstructed to the current system that releases prior knowledge of the gain functions and removes the state constraints. Second, a coordinate transformation is introduced and integrated into each step of the adaptive control design procedure, which circumvents the feasibility condition for intermediate input signals. Under the developed control strategy, all system states are bounded and remain within constraint sets at any moment. Simultaneously, the output signals asymptotically track the reference trajectories to zero. Finally, the feasibility of the presented strategy is demonstrated based on simulation examples. Full article
Show Figures

Figure 1

23 pages, 2961 KB  
Article
Eigenvalue Adjustment-Based STAP in Airborne MIMO Radar Under Limited Snapshots
by Chao Xu, Qizhen Feng, Zhao Wang, Dingding Li and Di Song
Sensors 2026, 26(5), 1508; https://doi.org/10.3390/s26051508 - 27 Feb 2026
Viewed by 172
Abstract
The covariance matrix performs a vital role for space-time adaptive processing (STAP) in airborne multiple-input multiple-output (MIMO) radar. As is known, the clutter-plus-noise covariance matrix (CPNCM), reflecting the statistical characteristics of radar echo, is a key component for MIMO-STAP. Commonly, an ideal CPNCM [...] Read more.
The covariance matrix performs a vital role for space-time adaptive processing (STAP) in airborne multiple-input multiple-output (MIMO) radar. As is known, the clutter-plus-noise covariance matrix (CPNCM), reflecting the statistical characteristics of radar echo, is a key component for MIMO-STAP. Commonly, an ideal CPNCM is impossible to obtain, and it must be estimated with sufficient snapshots. According to the RMB rule, MIMO-STAP requires many snapshots since MIMO radar has a high degree-of-freedom (DoF) due to its orthogonal transmit waveform. However, this is hard to satisfy in practice. This paper develops a novel covariance matrix estimation method under limited snapshots in airborne MIMO-STAP radar. Motivated by the random matrix theory, the proposed method enhances the CPNCM estimation by noise and clutter sample eigenvalues adjustment (EA). Concretely, the sample eigenvalues of noise are adjusted as noise power, and the ones of clutter are adjusted through minimizing the radar output power. Then, with the sample eigenvectors and adjusted sample eigenvalues, an effective CPNCM is formulated, and EA-MIMO-STAP is implemented reliably. Multiple experiments demonstrate that EA-MIMO-STAP has superior performance and robustness. Full article
(This article belongs to the Special Issue Advances in Multichannel Radar Systems)
Show Figures

Figure 1

21 pages, 7075 KB  
Article
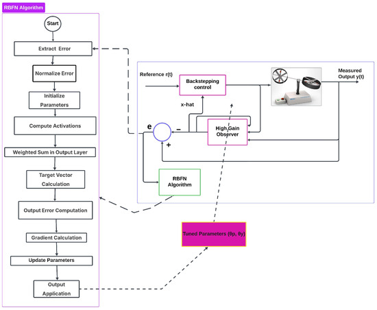
Robust Backstepping Control of a Twin Rotor MIMO System via an RBF-Tuned High-Gain Observer
by Azeddine Beloufa, Souaad Tahraoui, Abderrahmane Kacimi, Hadje Allouache, Jun-Jiat Tiang, Abdelbasset Azzouz and Mehdi Houari Zaid
Automation 2026, 7(2), 40; https://doi.org/10.3390/automation7020040 - 27 Feb 2026
Viewed by 183
Abstract
The design of robust controllers for complex nonlinear systems remains a formidable challenge, particularly concerning the disparity between simulation performance and real-world implementation constraints. This research investigates the practical implementation of a backstepping controller integrated with a High-Gain Observer (HGO) on a Twin [...] Read more.
The design of robust controllers for complex nonlinear systems remains a formidable challenge, particularly concerning the disparity between simulation performance and real-world implementation constraints. This research investigates the practical implementation of a backstepping controller integrated with a High-Gain Observer (HGO) on a Twin Rotor MIMO System (TRMS). While the control architecture exhibited stability and precise tracking in simulation, physical deployment initially failed due to sensitivity to measurement noise and the peaking phenomenon, resulting in a divergent response with a Yaw RMSE of 2.56 rad. Unlike conventional approaches that attempt to bridge the simulation-to-reality gap by optimizing the controller, we hypothesized that the critical bottleneck lay within the observer dynamics. To address this, a Radial Basis Function (RBF) Neural Network was employed to adaptively tune the observer gains in real time. Experimental results demonstrate that this adaptive mechanism successfully mitigated the effects of unmodeled dynamics and noise, reducing the Root Mean Square Error (RMSE) by over 85% in the pitch axis and 95% in the yaw axis. These findings substantiate that online adaptive observer tuning is a decisive strategy for ensuring the reliability of advanced nonlinear controllers on physical hardware. Full article
(This article belongs to the Topic New Trends in Robotics: Automation and Autonomous Systems)
Show Figures

Figure 1

13 pages, 11104 KB  
Article
A Highly Compact and Isolated Triple-Band MIMO Antenna for Wireless Capsule Endoscopy and Cardiac Implant
by Tahir Bashir, Guanjie Feng, Shunbiao Chen, Yunqi Cao and Wei Li
Micromachines 2026, 17(3), 296; https://doi.org/10.3390/mi17030296 - 27 Feb 2026
Viewed by 235
Abstract
This work presents a highly compact triple-band multi-input-multi-output (MIMO) implantable antenna for wireless capsule endoscopy (WCE) and leadless cardiac pacemakers. The proposed antenna operates at industrial, scientific, and medical (ISM) bands of 2.400 to 2.480 GHz and 5.725 to 5.875 GHz for data [...] Read more.
This work presents a highly compact triple-band multi-input-multi-output (MIMO) implantable antenna for wireless capsule endoscopy (WCE) and leadless cardiac pacemakers. The proposed antenna operates at industrial, scientific, and medical (ISM) bands of 2.400 to 2.480 GHz and 5.725 to 5.875 GHz for data telemetry and the wireless medical telemetry service (WMTS) band of 1.395 to 1.432 GHz for efficient wireless power transfer. The four-element design measures 8.5 × 8.5 × 0.26 mm3 and achieves low mutual coupling through a planar four-port configuration with optimized inter-element spacing. The antenna is integrated within realistic capsule devices containing batteries, sensors, and electronic components, and evaluated in both homogeneous and realistic heterogeneous body phantoms, including the large intestine and heart. The design yields maximum reflection coefficients of −26.15 dB, −15 dB, and −36.32 dB, −10 dB bandwidths of 260 MHz, 160 MHz, and 160 MHz, mutual coupling of −37.74 dB, −44.55 dB, −26.48 dB, and peak realized gains of −35 dBi, −25 dBi, and −15 dBi at 1.4 GHz, 2.45 GHz, and 5.8 GHz, respectively. Specific absorption rate (SAR) analysis satisfies implantation safety limits. Link budget analysis confirms reliable communication over distances > 20 m in all bands with data rates up to 100 Mbps. MIMO channel parameters such as envelope correlation coefficient (ECC) and diversity gain (DG) remain within acceptable limits. Owing to its multi-band operation, miniaturization, and isolation, the proposed four-port antenna is a good candidate for next-generation WCE and leadless pacemaker systems. Full article
Show Figures

Figure 1

15 pages, 7961 KB  
Article
A Compact Single-Resonator Dual-Port Circularly Polarized MIMO Dielectric Resonator Antenna for 28 GHz Applications
by Sumer Singh Singhwal and Ladislau Matekovits
Electronics 2026, 15(5), 977; https://doi.org/10.3390/electronics15050977 - 27 Feb 2026
Viewed by 223
Abstract
A compact dual-port circularly polarized (CP) multiple-input multiple-output (MIMO) dielectric resonator antenna (DRA) for 28 GHz applications is presented. A single cross-shaped dielectric resonator is excited by two orthogonal microstrip feeds, supporting hybrid orthogonal modes that enable CP radiation at both ports without [...] Read more.
A compact dual-port circularly polarized (CP) multiple-input multiple-output (MIMO) dielectric resonator antenna (DRA) for 28 GHz applications is presented. A single cross-shaped dielectric resonator is excited by two orthogonal microstrip feeds, supporting hybrid orthogonal modes that enable CP radiation at both ports without requiring perturbation cuts, parasitic elements, or decoupling structures. The fabricated prototype exhibits a measured 10 dB impedance bandwidth and 3 dB axial ratio bandwidth that fully cover the Federal Communications Commission (FCC)-allocated 28 GHz band (27.5–28.35 GHz). Port isolation remains better than 15 dB, and the antenna exhibits a peak gain of approximately 7.6 dBi with radiation efficiency exceeding 93%, within a compact 40 × 47 mm2 footprint. MIMO performance is verified through envelope correlation coefficient (ECC), diversity gain (DG), and total active reflection coefficient (TARC). The results demonstrate that the proposed single-resonator dual-port CP DRA provides an efficient and integration-friendly solution for compact mmWave MIMO applications in next-generation 5G/6G terminals. Full article
Show Figures

Figure 1

18 pages, 4009 KB  
Article
The Effect of the Equivalent Permittivity Model in Contactless MIMO-GPR Imaging
by Gianluca Gennarelli, Ilaria Catapano and Francesco Soldovieri
Sensors 2026, 26(5), 1463; https://doi.org/10.3390/s26051463 - 26 Feb 2026
Viewed by 171
Abstract
Multiple-Input–Multiple-Output Ground-Penetrating Radar (MIMO-GPR), collecting multiview–multistatic data, is now becoming an assessed diagnostic tool, enabling enhanced reconstruction accuracy and subsurface target detection due to the exploitation of multiple Tx/Rx channels. In this context, the present work deals with a 2D radar imaging approach [...] Read more.
Multiple-Input–Multiple-Output Ground-Penetrating Radar (MIMO-GPR), collecting multiview–multistatic data, is now becoming an assessed diagnostic tool, enabling enhanced reconstruction accuracy and subsurface target detection due to the exploitation of multiple Tx/Rx channels. In this context, the present work deals with a 2D radar imaging approach for contactless MIMO GPR based on the equivalent permittivity concept. The imaging problem is formulated as a linearized inverse scattering problem under Born approximation, and a ray propagation model, based on equivalent permittivity spatially varying along depth, is adopted to account for the wave propagation through the air–soil interface. The resulting linear inverse problem is solved by means of an adjoint inversion, enabling reliable target reconstruction. Despite the approximation introduced by the present formulation, numerical simulations show that the proposed imaging strategy is sufficiently accurate from an engineering viewpoint and is computationally efficient. Full article
(This article belongs to the Special Issue Advances in Multichannel Radar Systems)
Show Figures

Figure 1

Back to TopTop