Elbow Joint Angle Estimation Using a Low-Cost and Low-Power Single Inertial Device for Daily Home-Based Self-Rehabilitation
Abstract
1. Introduction
2. Materials and Methods
2.1. Kinematics
2.1.1. The Accelerometer
2.1.2. The Gyroscope
2.2. Data Processing
2.2.1. The Gyroscope Bias Correction Algorithm
2.2.2. The Complementary Filter
2.2.3. The Kalman Filter
2.3. The Experiments
2.4. The Comparison Metrics
2.5. The Analyzed Parameters
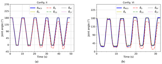
3. Results
4. Discussion
4.1. The Algorithms’ Accuracy, Computing Costs, and Power Consumption
| Arithmetic Operation | Accelero. Only 1 | Gyroscope Only 2 | Corrected Gyroscope 3 | Complem. Filter 4 | Kalman Filter 5 |
|---|---|---|---|---|---|
| + | 2 | 2 | 2 | 5 | 8 |
| − | 0 | 0 | 1 | 2 | 3 |
| × | 3 | 1 | 1 | 6 | 16 |
| / | 1 | 1 | 2 | 3 | 4 |
| √ | 1 | 0 | 0 | 1 | 1 |
| arctan | 1 | 0 | 0 | 1 | 1 |
| Arithmetic Operation | Number of Cycles |
|---|---|
| + | 1 |
| − | 1 |
| × | 1 |
| / | 14 |
| √ | 14 |
| arctan 1 | 25 |
| Algorithm | Accelero. Only | Gyroscope Only | Corrected Gyroscope | Complem. Filter | Kalman Filter |
|---|---|---|---|---|---|
| Cycles number | 58 | 17 | 32 | 94 | 122 |
4.2. The Angular Speed and the Sensor–Joint Distance
4.3. Comparison with Other Works
| Config. or Reference | RMSE Min/Max (°) | STD Min/Max (°) | Correlation Max/Min (%) | Sensor 1/ Algorithm 2 | Device Number | Studied Member | Angular Speed (°/s) | Angle Span (°) | Sensor Data Rate (Hz) |
|---|---|---|---|---|---|---|---|---|---|
| II/VI | 3.23/8.5 | 3.17/8.5 | - | A/LPF | 1 | Arm | 83.3 | 150 | 10 |
| II/VI | 1.83/5.52 | 1.69/5.52 | 99.9/99.6 | A/LPF | 1 | Arm | 83.3 | 150 | 100 |
| [33] | 0.87/1.37 | 0.83/1.24 | - | AM/- | 2 | Arm | - | 50 | 20 |
| [21] | 2.13 | 2.25 | 98 | AG/KF | 2 | Arm | <80 | 90 | 25 |
| [35] | 1.36/3.33 | - | 97/87 | AGM/- | 2 | Leg | - | 50 | 100 |
| [34] | 0.63/2.92 | - | - | AG/LPHP | 2 | Leg | - | 70 | 100 |
| [22] | 0.5/3.0 | - | 99/97 | AGM/KF | 2 | Leg | - | 50 | 120 |
| [36] | 2.37/4.86 | 0.78/1.97 | 99 | AG/CF | 2 | Leg | - | - | 1500 |
| [37] | 4.37/6.45 | - | - | G/EKF | 4 | Leg | - | - | 50 |
| [24] | 1.62/3.30 | - | - | AG/CF | 4 | Leg | ≈180 | 80 | 60 |
| [38] | 3.89 | - | 98 | AG/ANN | 5 | Leg | - | 60 | 100 |
| [39] | 2.2/5.1 | 0.9/2.7 | 99/67 | AG/ANN | 5 | Leg | - | - | 100 |
5. Conclusions
Author Contributions
Funding
Informed Consent Statement
Data Availability Statement
Conflicts of Interest
References
- OECD. Health at a Glance 2023: OECD Indicators; OECD Publishing: Paris, France, 2023. [Google Scholar] [CrossRef]
- Lee, S.I.; Adans-Dester, C.P.; O’Brien, A.T.; Vergara-Diaz, G.P.; Black-Schaffer, R.; Zafonte, R.; Dy, J.G.; Bonato, P. Predicting and Monitoring Upper-Limb Rehabilitation Outcomes Using Clinical and Wearable Sensor Data in Brain Injury Survivors. IEEE Trans. Biomed. Eng. 2021, 68, 1871–1881. [Google Scholar] [CrossRef]
- Benjelloun, Z.; Vauche, R.; Rahajandraibe, W.; Bouchakour, R. Design of an energy detector for heartbeat localization in ECG signals. In Proceedings of the 2016 IEEE International Conference on Electronics, Circuits and Systems (ICECS), Monte Carlo, Monaco, 11–14 December 2016; pp. 73–76. [Google Scholar] [CrossRef]
- Ram, M.R.; Madhav, K.V.; Krishna, E.H.; Komalla, N.R.; Reddy, K.A. A Novel Approach for Motion Artifact Reduction in PPG Signals Based on AS-LMS Adaptive Filter. IEEE Trans. Instrum. Meas. 2012, 61, 1445–1457. [Google Scholar] [CrossRef]
- Ihlen, E.; van Schooten, K.; Bruijn, S.; van Dieën, J.; Vereijken, B.; Helbostad, J.; Pijnappels, M. Improved Prediction of Falls in Community-Dwelling Older Adults Through Phase-Dependent Entropy of Daily-Life Walking. Front. Aging Neurosci. 2018, 10, 44. [Google Scholar] [CrossRef]
- Siddharth, P.D.; Deshpande, S. Embedded system design for real-time interaction with Smart Wheelchair. In Proceedings of the 2016 Symposium on Colossal Data Analysis and Networking (CDAN), Indore, India, 18–19 March 2016; pp. 1–4. [Google Scholar] [CrossRef]
- Joukov, V.; Karg, M.; Kulic, D. Online tracking of the lower body joint angles using IMUs for gait rehabilitation. In Proceedings of the 2014 36th Annual International Conference of the IEEE Engineering in Medicine and Biology Society, Chicago, IL, USA, 26–30 August 2014; pp. 2310–2313. [Google Scholar] [CrossRef]
- Madgwick, S.O.H.; Harrison, A.J.L.; Vaidyanathan, R. Estimation of IMU and MARG orientation using a gradient descent algorithm. In Proceedings of the 2011 IEEE International Conference on Rehabilitation Robotics, Zurich, Switzerland, 29 June–1 July 2011; pp. 1–7. [Google Scholar] [CrossRef]
- Mihelj, M. Inverse Kinematics of Human Arm Based on Multisensor Data Integration. J. Intell. Robot. Syst. 2006, 47, 139–153. [Google Scholar] [CrossRef]
- Lee, G.X.; Low, K.S. A Factorized Quaternion Approach to Determine the Arm Motions Using Triaxial Accelerometers With Anatomical and Sensor Constraints. IEEE Trans. Instrum. Meas. 2012, 61, 1793–1802. [Google Scholar] [CrossRef]
- Du, G.; Ding, Z.; Guo, H.; Song, M.; Jiang, F. Estimation of Lower Limb Joint Angles Using sEMG Signals and RGB-D Camera. Bioengineering 2024, 11, 1026. [Google Scholar] [CrossRef]
- Li, H.B.; Guan, X.R.; Li, Z.; Zou, K.F.; He, L. Estimation of Knee Joint Angle from Surface EMG Using Multiple Kernels Relevance Vector Regression. Sensors 2023, 23, 4934. [Google Scholar] [CrossRef] [PubMed]
- Tang, Z.; Yu, H.; Cang, S. Impact of Load Variation on Joint Angle Estimation From Surface EMG Signals. IEEE Trans. Neural Syst. Rehabil. Eng. 2016, 24, 1342–1350. [Google Scholar] [CrossRef]
- Putro, N.A.S.; Avian, C.; Prakosa, S.W.; Mahali, M.I.; Leu, J.S. Estimating finger joint angles by surface EMG signal using feature extraction and transformer-based deep learning model. Biomed. Signal Process. Control 2024, 87, 105447. [Google Scholar] [CrossRef]
- Taunyazov, T.; Omarali, B.; Shintemirov, A. A novel low-cost 4-DOF wireless human arm motion tracker. In Proceedings of the 2016 6th IEEE International Conference on Biomedical Robotics and Biomechatronics (BioRob), Singapore, 26–29 June 2016; pp. 157–162. [Google Scholar] [CrossRef]
- Schepers, M.; Giuberti, M.; Bellusci, G. Xsens MVN: Consistent Tracking of Human Motion Using Inertial Sensing; Xsens: Enschede, The Netherlands, 2018. [Google Scholar] [CrossRef]
- Robert-Lachaine, X.; Mecheri, H.; Larue, C.; Plamondon, A. Validation of inertial measurement units with an optoelectronic system for whole-body motion analysis. Med. Biol. Eng. Comput. 2016, 55, 609–619. [Google Scholar] [CrossRef]
- Bouvier, B.; Duprey, S.; Claudon, L.; Dumas, R.; Savescu, A. Upper Limb Kinematics Using Inertial and Magnetic Sensors: Comparison of Sensor-to-Segment Calibrations. Sensors 2015, 15, 18813–18833. [Google Scholar] [CrossRef]
- Müller, P.; Bégin, M.A.; Schauer, T.; Seel, T. Alignment-Free, Self-Calibrating Elbow Angles Measurement Using Inertial Sensors. IEEE J. Biomed. Health Inform. 2017, 21, 312–319. [Google Scholar] [CrossRef]
- Meng, D.; Vejarano, G. Development of a wireless sensor network for the measurement of human joint angles. In Proceedings of the 2013 International Conference on Connected Vehicles and Expo (ICCVE), Las Vegas, NV, USA, 2–6 December 2013; pp. 356–361. [Google Scholar] [CrossRef]
- Zhou, H.; Hu, H. Reducing Drifts in the Inertial Measurements of Wrist and Elbow Positions. IEEE Trans. Instrum. Meas. 2010, 59, 575–585. [Google Scholar] [CrossRef]
- Mayorca, D.; Caicedo-Eraso, J.C.; Peluffo-Ordóñez, D. Knee Joint Angle Measuring Portable Embedded System based on Inertial Measurement Units for Gait Analysis. Int. J. Adv. Sci. Eng. Inf. Technol. 2020, 10, 430–437. [Google Scholar] [CrossRef]
- Zhang, X.; Xiao, W. A Fuzzy Tuned and Second Estimator of the Optimal Quaternion Complementary Filter for Human Motion Measurement with Inertial and Magnetic Sensors. Sensors 2018, 18, 3517. [Google Scholar] [CrossRef] [PubMed]
- Seel, T.; Raisch, J.; Schauer, T. IMU-Based Joint Angle Measurement for Gait Analysis. Sensors 2014, 14, 6891–6909. [Google Scholar] [CrossRef]
- Fisher, C.J. AN-1057: Using an Accelerometer for Inclination Sensing; Analog Devices: Wilmington, MA, USA, 2010; Revision 0. [Google Scholar]
- Thrun, S.; Burgard, W.; Fox, D. Probabilistic Robotics; MIT Press: Cambridge, MA, USA, 2005. [Google Scholar]
- Zitouni, W.; Vauche, R.; Aziza, H.; Ayache, L.; Makdissi, A. Cortex-M0+-based Pacemaker: CMOS Technologies Benchmark to Achieve Ultra-Low Power Operations. In Proceedings of the 2023 IEEE International Conference on Design, Test and Technology of Integrated Systems (DTTIS), Gammarth, Tunisia, 1–4 November 2023; pp. 1–5. [Google Scholar] [CrossRef]
- Zitouni, W.; Vauche, R.; Aziza, H.; Ayache, L.; Makdissi, A. Power Consumption Reduction in Integrated Pacemakers: Design Strategies for Cortex-M0+ Processors. In Proceedings of the 2024 IEEE International Conference on Design, Test and Technology of Integrated Systems (DTTIS), Aix-En-Provence, France, 14–16 October 2024; pp. 1–7. [Google Scholar] [CrossRef]
- STMicroelectronics. LSM6DSL: iNEMO Inertial Module: Always-on 3D Accelerometer and 3D Gyroscope; STMicroelectronics: Plan-les-Ouates, Switzerland, 2010; Revision 7. [Google Scholar]
- STMicroelectronics. LSM303AGR: Ultra-Compact High-Performance eCompass Module: Ultra-Low-Power 3D Accelerometer and 3D Magnetometer; STMicroelectronics: Plan-les-Ouates, Switzerland, 2022; Revision 11. [Google Scholar]
- ARM. Cortex-M4: Technical Reference Manual; ARM: Cambridge, UK, 2010; Revision r0p0. [Google Scholar]
- STMicroelectronics. AN5325: How to Use the CORDIC to Perform Mathematical Functions on STM32 MCUs; STMicroelectronics: Plan-les-Ouates, Switzerland, 2024; Revision 6. [Google Scholar]
- Meng, D.; Shoepe, T.; Vejarano, G. Accuracy Improvement on the Measurement of Human-Joint Angles. IEEE J. Biomed. Health Inform. 2016, 20, 498–507. [Google Scholar] [CrossRef]
- Wang, S.; Cai, Y.; Hase, K.; Uchida, K.; Kondo, D.; Saitou, T.; Ota, S. Estimation of knee joint angle during gait cycle using inertial measurement unit sensors: A method of sensor-to-clinical bone calibration on the lower limb skeletal model. J. Biomech. Sci. Eng. 2022, 17, 21-00196. [Google Scholar] [CrossRef]
- Kun, L.; Inoue, Y.; Shibata, K.; Enguo, C. Ambulatory Estimation of Knee-Joint Kinematics in Anatomical Coordinate System Using Accelerometers and Magnetometers. IEEE Trans. Biomed. Eng. 2011, 58, 435–442. [Google Scholar] [CrossRef]
- Feldhege, F.; Mau-Moeller, A.; Lindner, T.; Hein, A.; Markschies, A.; Zettl, U.K.; Bader, R. Accuracy of a Custom Physical Activity and Knee Angle Measurement Sensor System for Patients with Neuromuscular Disorders and Gait Abnormalities. Sensors 2015, 15, 10734–10752. [Google Scholar] [CrossRef] [PubMed]
- Allseits, E.; Kim, K.J.; Bennett, C.; Gailey, R.; Gaunaurd, I.; Agrawal, V. A Novel Method for Estimating Knee Angle Using Two Leg-Mounted Gyroscopes for Continuous Monitoring with Mobile Health Devices. Sensors 2018, 18, 2759. [Google Scholar] [CrossRef] [PubMed]
- Liang, F.Y.; Gao, F.; Liao, W.H. Synergy-based knee angle estimation using kinematics of thigh. Gait Posture 2021, 89, 25–30. [Google Scholar] [CrossRef] [PubMed]
- Hernandez, V.; Dadkhah, D.; Babakeshizadeh, V.; Kulić, D. Lower body kinematics estimation from wearable sensors for walking and running: A deep learning approach. Gait Posture 2021, 83, 185–193. [Google Scholar] [CrossRef]








| Configuration | Arm Type | Average Angular Speed During Motions (°/s) | Sensor–Joint Distance (cm) | Angle Span (°) |
|---|---|---|---|---|
| I | Robotic | 30.9 | 19 | 180 |
| II | Robotic | 61.3 | 19 | 180 |
| III | Robotic | 99.9 | 19 | 180 |
| IV | Robotic | 61.5 | 11.5 | 180 |
| V | Robotic | 61.3 | 6 | 180 |
| VI | Human | 83.3 | 21 | 150 |
| VII | Human | 222.6 | 21 | 150 |
| VIII | Human | 79.8 | 11 | 150 |
| Configuration | Accelero. Only (RMSE in °) | Gyroscope Only (RMSE in °) | Corrected Gyroscope (RMSE in °) | Complem. Filter (RMSE in °) | Kalman Filter (RMSE in °) |
|---|---|---|---|---|---|
| I | 1.63 | 17.0 | 3.29 | 1.60 | 1.62 |
| II | 1.83 | 16.0 | 3.24 | 1.69 | 1.80 |
| III | 2.54 | 13.4 | 3.16 | 1.99 | 2.52 |
| IV | 1.07 | 19.1 | 1.27 | 0.59 | 1.05 |
| V | 0.74 | 20.0 | 1.26 | 0.59 | 0.74 |
| VI | 5.52 | 15.0 | 5.62 | 5.20 | 5.20 |
| VII | 21.9 | 6.46 | 7.75 | 7.47 | 21.9 |
| VIII | 5.86 | 11.4 | 9.43 | 5.86 | 5.67 |
| Configuration | Accelero. Only (STD in °) | Gyroscope Only (STD in °) | Corrected Gyroscope (STD in °) | Complem. Filter (STD in °) | Kalman Filter (STD in °) |
|---|---|---|---|---|---|
| I | 1.45 | 9.55 | 2.03 | 1.32 | 1.44 |
| II | 1.69 | 9.27 | 2.04 | 1.32 | 1.66 |
| III | 2.45 | 7.81 | 2.21 | 1.50 | 2.42 |
| IV | 1.06 | 9.83 | 0.90 | 0.51 | 1.04 |
| V | 0.74 | 10.34 | 0.92 | 0.50 | 0.73 |
| VI | 5.52 | 15.2 | 5.26 | 5.09 | 5.20 |
| VII | 20.7 | 6.06 | 5.67 | 5.11 | 20.7 |
| VIII | 5.30 | 8.42 | 3.54 | 5.21 | 5.40 |
| Configuration | Accelero. Only (Corr. in %) | Gyroscope Only (Corr. in %) | Corrected Gyroscope (Corr. in %) | Complem. Filter (Corr. in %) | Kalman Filter (Corr. in %) |
|---|---|---|---|---|---|
| I | 99.977 | 98.978 | 99.999 | 99.981 | 99.977 |
| II | 99.973 | 99.145 | 99.999 | 99.983 | 99.974 |
| III | 99.956 | 99.508 | 99.996 | 99.983 | 99.956 |
| IV | 99.993 | 99.067 | 99.999 | 99.997 | 99.993 |
| V | 99.996 | 99.032 | 99.999 | 99.998 | 99.996 |
| VI | 99.622 | 98.687 | 99.673 | 99.670 | 99.665 |
| VII | 96.946 | 99.647 | 99.719 | 99.686 | 96.938 |
| VIII | 99.659 | 98.873 | 99.802 | 99.668 | 99.643 |
| Configuration | Arm Type | Average Angular Speed During Motion (°/s) | Distance From Elbow Joint (cm) | Accelero. Only (RMSE in °) | Gyroscope Only (RMSE in °) | Corrected Gyroscope (RMSE in °) |
|---|---|---|---|---|---|---|
| I | Robotic | 30.9 | 19 | 1.63 | 17.0 | 3.29 |
| II | Robotic | 61.3 | 19 | 1.83 | 16.0 | 3.24 |
| III | Robotic | 99.9 | 19 | 2.54 | 13.4 | 3.16 |
| Configuration | Arm Type | Average Angular Speed During Motion (°/s) | Distance From Elbow Joint (cm) | Accelero. Only (RMSE in °) | Gyroscope Only (RMSE in °) | Corrected Gyroscope (RMSE in °) |
|---|---|---|---|---|---|---|
| V | Robotic | 61.3 | 6 | 0.74 | 20.0 | 1.26 |
| IV | Robotic | 61.5 | 11.5 | 1.07 | 19.1 | 1.27 |
| II | Robotic | 61.3 | 19 | 1.83 | 16.0 | 3.24 |
Disclaimer/Publisher’s Note: The statements, opinions and data contained in all publications are solely those of the individual author(s) and contributor(s) and not of MDPI and/or the editor(s). MDPI and/or the editor(s) disclaim responsibility for any injury to people or property resulting from any ideas, methods, instructions or products referred to in the content. |
© 2025 by the authors. Licensee MDPI, Basel, Switzerland. This article is an open access article distributed under the terms and conditions of the Creative Commons Attribution (CC BY) license (https://creativecommons.org/licenses/by/4.0/).
Share and Cite
Fourniol, M.; Vauché, R.; Rao, G.; Watelain, E.; Kussener, E. Elbow Joint Angle Estimation Using a Low-Cost and Low-Power Single Inertial Device for Daily Home-Based Self-Rehabilitation. J. Low Power Electron. Appl. 2025, 15, 33. https://doi.org/10.3390/jlpea15020033
Fourniol M, Vauché R, Rao G, Watelain E, Kussener E. Elbow Joint Angle Estimation Using a Low-Cost and Low-Power Single Inertial Device for Daily Home-Based Self-Rehabilitation. Journal of Low Power Electronics and Applications. 2025; 15(2):33. https://doi.org/10.3390/jlpea15020033
Chicago/Turabian StyleFourniol, Manon, Rémy Vauché, Guillaume Rao, Eric Watelain, and Edith Kussener. 2025. "Elbow Joint Angle Estimation Using a Low-Cost and Low-Power Single Inertial Device for Daily Home-Based Self-Rehabilitation" Journal of Low Power Electronics and Applications 15, no. 2: 33. https://doi.org/10.3390/jlpea15020033
APA StyleFourniol, M., Vauché, R., Rao, G., Watelain, E., & Kussener, E. (2025). Elbow Joint Angle Estimation Using a Low-Cost and Low-Power Single Inertial Device for Daily Home-Based Self-Rehabilitation. Journal of Low Power Electronics and Applications, 15(2), 33. https://doi.org/10.3390/jlpea15020033

