- Article
Mechanosynthesis of SbSI Targets for Pulsed Electron Deposition of Ferro-Photovoltaic Thin Films
- Michele Casappa,
- Elena Del Canale,
- Davide Delmonte,
- Francesco Pattini,
- Giulia Spaggiari,
- Anna Moliterni,
- Cinzia Giannini,
- Andrea Aroldi,
- Edgardo Ademar Saucedo Silva and
- Alejandro Navarro
- + 7 authors
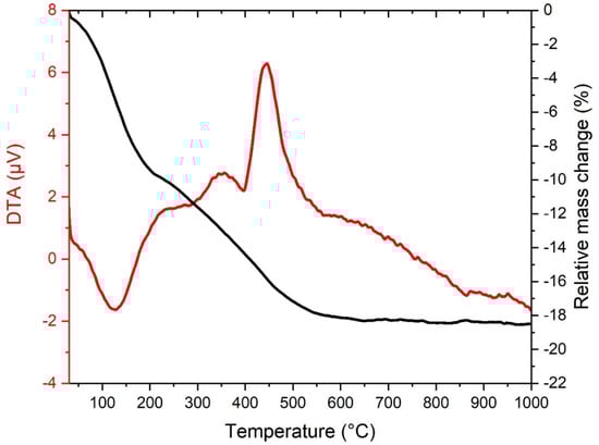
A solvent-free, solid-state mechanochemical method was developed to synthesize the chalcohalide compound SbSI at room temperature. Dry high-energy planetary ball milling of elemental antimony, sulfur, and iodine produced a pure, stoichiometric polycr...

