On the Localized Surface Plasmonic Resonances of AgPd Alloy Nanoparticles by Experiment and Theory
Abstract
:1. Introduction
2. Materials and Methods
2.1. Experimental Details
2.2. Theoretical Model
3. Results
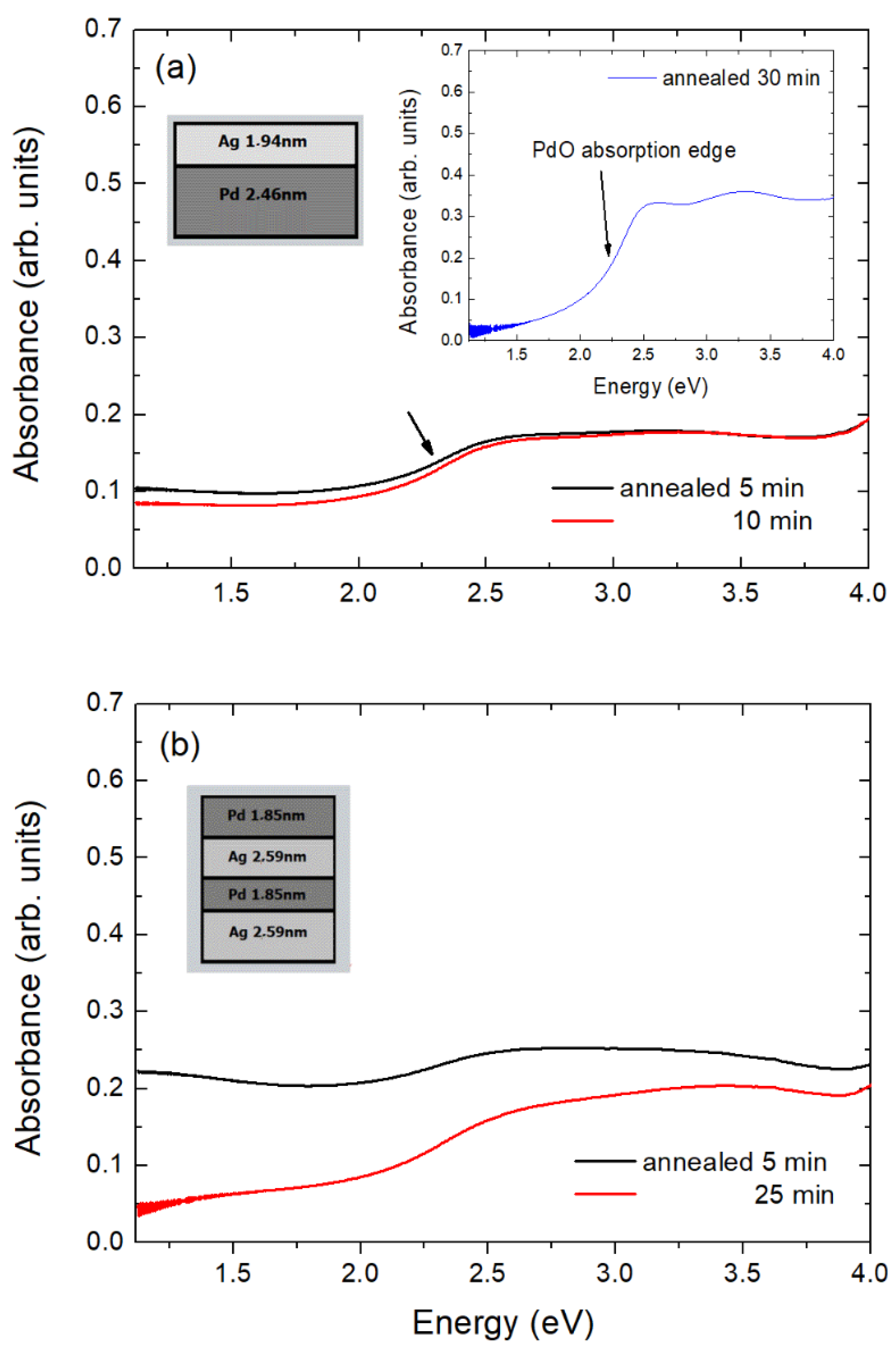
3.1. Uv-Vis Spectra of AgPd Nanoparticles
3.2. Theoretical Results and Discussion
4. Conclusions
Author Contributions
Funding
Institutional Review Board Statement
Informed Consent Statement
Data Availability Statement
Acknowledgments
Conflicts of Interest
References
- Hutter, E.; Fendler, J.H. Exploitation of localized surface plasmon resonance. Adv. Mater. 2004, 16, 1685–1706. [Google Scholar] [CrossRef]
- Haes, A.J.; Hall, W.P.; Chang, L.; Klein, W.L.; Van Duyne, R.P. A localized surface plasmon resonance biosensor: First steps toward an assay for Alzheimer’s disease. Nano Lett. 2004, 4, 1029–1034. [Google Scholar] [CrossRef]
- Grammatikopoulos, S.; Pappas, S.D.; Dracopoulos, V.; Poulopoulos, P.; Fumagalli, P.; Velgakis, M.J.; Politis, C. Self-assembled au nanoparticles on heated corning glass by dc magnetron sputtering: Size-dependent surface plasmon resonance tuning. J. Nanoparticle Res. 2013, 15, 1446. [Google Scholar] [CrossRef] [Green Version]
- Guo, F.C.; Sun, T.; Cao, F.; Liu, Q.; Ren, Z. Metallic nanostructures for light trapping in energy-harvesting devices. Light Sci. Appl. 2014, 3, e161. [Google Scholar]
- Zhu, W.; Esteban, R.; Borisov, A.G.; Baumberg, J.J.; Nordlander, P.; Lezec, H.J.; Aizpurua, J.; Crozier, K.B. Quantum mechanical effects in plasmonic structures with subnanometre gaps. Nat. Commun. 2016, 7, 11495. [Google Scholar] [CrossRef] [PubMed]
- Yang, Q.; Guo, X.; Wang, W.; Zhang, Y.; Xu, S.; Lien, D.H.; Wang, Z.L. Enhancing sensitivity of a single ZnO micro-/nanowire photodetector by piezo-phototronic effect. ACS Nano 2010, 4, 6285–6291. [Google Scholar] [CrossRef] [PubMed]
- Pan, C.; Dong, L.; Zhu, G.; Niu, S.; Yu, R.; Yang, Q.; Liu, Y.; Wang, Z.L. High-resolution electroluminescent imaging of pressure distribution using a piezoelectric nanowire LED array. Nat. Photonics 2013, 7, 752–758. [Google Scholar] [CrossRef]
- Crossland, E.J.W.; Noel, N.; Sivaram, V.; Leijtens, T.; Alexander-Webber, J.A.; Snaith, H.J. Mesoporous TiO2 single crystals delivering enhanced mobility and optoelectronic device performance. Nature 2013, 495, 215–219. [Google Scholar] [CrossRef] [PubMed]
- Bernardi, M.; Palummo, M.; Grossman, J.C. Extraordinary Sunlight absorption and one nanometer thick photovoltaics using two-dimensional monolayer materials. Nano Lett. 2013, 13, 3664–3670. [Google Scholar] [CrossRef] [PubMed]
- Huang, X.; Tang, S.; Mu, X.; Dai, Y.; Chen, G.; Zhou, Z.; Ruan, F.; Yang, Z.; Zheng, N. Freestanding palladium nanosheets with plasmonic and catalytic properties. Nat. Nanotechnol. 2011, 6, 28–32. [Google Scholar] [CrossRef]
- Kumar-Krishnan, S.; Estevez-GonzálezGonz, M.; Esparza, R.; Meyyappan, M. A General seed-mediated approach to the synthesis of AgM (M ¼ Au, Pt, and Pd) core-shell nanoplates and their SERS properties. RSC Adv. 2017, 7, 27170. [Google Scholar] [CrossRef] [Green Version]
- Salem, M.A.; Bakr, E.A.; El-Attar, H.G. Pt@Ag and Pd@Ag core/shell nanoparticles for catalytic degradation of congo red in aqueous solution. Spectrochim. Acta Part. A Mol. Biomol. Spectrosc. 2018, 188, 155–163. [Google Scholar] [CrossRef]
- Sui, M.; Kunwar, S.; Pandey, P.; Lee, J. Strongly confined localized surface plasmon resonance (LSPR) bands of Pt, AgPt, AgAuPt nanoparticles. Sci. Rep. 2021, 11, 10319. [Google Scholar] [CrossRef]
- Nazemi, M.; Soule, L.; Liu, M.; El-Sayed, M.A. Ambient ammonia electrosynthesis from nitrogen and water by incorporating palladium in bimetallic gold–silver nanocages. J. Electrochem. Soc. 2020, 167, 54511. [Google Scholar] [CrossRef]
- Gaylord, T.K.; Moharam, M.G. Rigorous coupled-wave analysis of antireflective surface-relief gratings. J. Opt. Soc. Am. A 1986, 3, 1780–1787. [Google Scholar]
- Lee, M.S.L.; Lalanne, P.; Rodier, J.C.; Chavel, P.; Cambril, E.; Chen, Y. Imaging with blazed-binary diffractive elements. J. Opt. A Pure Appl. Opt. 2002, 4, 358. [Google Scholar] [CrossRef]
- Gong, C.; Rebello Sousa Dias, M.; Wessler, G.C.; Taillon, J.A.; Salamanca-Riba, L.G.; Leite, M.S.; Gong, C.; Wessler, G.C.; Taillon, J.A.; Salamanca-Riba, L.G. Near-field optical properties of fully alloyed noble metal nanoparticles. J. Chem. Educ. 2017, 5, 1600568. [Google Scholar] [CrossRef]
- Wadell, C.; Yasuhara, A.; Sannomiya, T. Asymmetric light absorption and radiation of Ag−Cu hybrid nanoparticles. J. Phys. Chem. C 2017, 121, 48, 27029–27035. [Google Scholar] [CrossRef]
- Nugroho, F.A.A.; Iandolo, B.; Wagner, J.B.; Langhammer, C. Bottom-up nanofabrication of supported noble metal alloy nanoparticle arrays for plasmonics. ACS Nano 2016, 10, 2871–2879. [Google Scholar] [CrossRef] [Green Version]
- Lavrenko, V.A.; Malyshevskaya, A.I.; Kuznetsova, L.I.; Litvinenko, V.F.; Pavlikov, V.N. Features of high-temperature oxidation in air of silver and alloy Ag-Cu, and adsorption of oxygen on silver. Powder Metall. Met. Ceram. 2006, 45, 476–480. [Google Scholar] [CrossRef]
- Samoylov, A.M.; Ivkov, S.A.; Pelipenko, D.I.; Sharov, M.K.; Tsyganova, V.O.; Agapov, B.L.; Tutov, E.A.; Badica, P. Structural changes in palladium nanofilms during thermal oxidation. Inorg. Mater. 2020, 56, 1020–1026. [Google Scholar] [CrossRef]
- Sousanis, A.; Poulopoulos, P.; Karoutsos, V.; Trachylis, D.; Politis, C. Giant enhancement of small photoluminescent signals on glass surfaces covered by self-assembled silver nanorings. J. Nanosci. Nanotechnol. 2017, 17, 1428–1433. [Google Scholar] [CrossRef] [PubMed]
- Chronis, A.G.; Stamatelatos, A.; Grammatikopoulos, S.; Sigalas, M.M.; Karoutsos, V.; Maratos, D.M.; Lysandrou, S.P.; Trachylis, D.; Politis, C.; Poulopoulos, P. Microstructure and plasmonic behavior of self-assembled silver nanoparticles and nanorings. J. Appl. Phys. 2019, 125, 23106. [Google Scholar] [CrossRef]
- Nilsson, P.O.; Shivaraman, M.S. Optical properties of PdO in the range 05-54 EV. J. Phys. C Solid State Phys. 1979, 12, 1423. [Google Scholar] [CrossRef]
- Stamatelatos, A.; Tsarmpopoulou, M.; Chronis, A.G.; Kanistras, N.; Anyfantis, D.I.; Violatzi, E.; Geralis, D.; Sigalas, M.M.; Poulopoulos, P.; Grammatikopoulos, S. Optical interpretation for plasmonic adjustment of nanostructured Ag-NiO thin films. Int. J. Mod. Phys. B 2021, 35, 1–14. [Google Scholar] [CrossRef]
- Angelakeris, M.; Poulopoulos, P.; Vouroutzis, N.; Nyvlt, M.; Prosser, V.; Visnovsky, S.; Krishnan, R.; Flevaris, N.K. Structural and spectroscopic magneto-optic studies of Pt–Ni multilayers. J. Appl. Phys. 1997, 82, 5640–5645. [Google Scholar] [CrossRef]
- Bukaluk, A.; Rozwadowski, M. Interdiffusion studies in silver/palladium couples by means of auger depth profiling. Vacuum 1995, 46, 579–582. [Google Scholar] [CrossRef]
- Noah, M.A.; Flötotto, D.; Wang, Z.; Mittemeijer, E.J. Interdiffusion and stress development in single-crystalline Pd/Ag bilayers. J. Appl. Phys. 2016, 119, 145308. [Google Scholar] [CrossRef]
- Sousanis, A.; Grammatikopoulos, S.; Delimitis, A.; Dracopoulos, V.; Poulopoulos, P. Localized surface plasmon resonances after selective oxidization of AuCu solid solution nanocrystalline films. Appl. Phys. Lett. 2015, 107, 11903. [Google Scholar] [CrossRef]
- Karoutsos, V. Scanning probe microscopy: Instrumentation and applications on thin films and magnetic multilayers. J. Nanosci. Nanotechnol. 2009, 9, 6783–6798. [Google Scholar] [CrossRef]
- Rakic, A.D.; Djurisic, A.B.; Elazar, J.M.; Majewski, M.L. Optical properties of metallic films for vertical-cavity optoelectronic devices. Appl. Opt. 1998, 37, 5271–5283. [Google Scholar] [CrossRef] [PubMed]
- Garoufalis, C.S.; Barnasas, A.; Stamatelatos, A.; Karoutsos, V.; Grammatikopoulos, S.; Poulopoulos, P.; Baskoutas, S. A study of quantum confinement effects in ultrathin NiO films performed by experiment and theory. Materials 2018, 11, 949. [Google Scholar] [CrossRef] [Green Version]
- Barnasas, A.; Kanistras, N.; Ntagkas, A.; Anyfantis, D.I.; Stamatelatos, A.; Kapaklis, V.; Bouropoulos, N.; Mystiridou, E.; Poulopoulos, P.; Garoufalis, C.S.; et al. Quantum confinement effects of thin ZnO films by experiment and theory. Phys. E Low-Dimens. Syst. Nanostructures 2020, 120, 114072. [Google Scholar] [CrossRef]
- Fox, M. Optical Properties of Solids, 2nd ed.; Oxford University Press: New York, NY, USA, 2011. [Google Scholar]
- Kravets, V.G.; Kabashin, A.V.; Barnes, W.L.; Grigorenko, A.N. Plasmonic surface lattice resonances: A review of properties and applications. Chem. Rev. 2018, 118, 5912–5951. [Google Scholar] [CrossRef] [PubMed]










Publisher’s Note: MDPI stays neutral with regard to jurisdictional claims in published maps and institutional affiliations. |
© 2021 by the authors. Licensee MDPI, Basel, Switzerland. This article is an open access article distributed under the terms and conditions of the Creative Commons Attribution (CC BY) license (https://creativecommons.org/licenses/by/4.0/).
Share and Cite
Ntemogiannis, D.; Tsarmpopoulou, M.; Chronis, A.G.; Anyfantis, D.I.; Barnasas, A.; Grammatikopoulos, S.; Sigalas, M.; Poulopoulos, P. On the Localized Surface Plasmonic Resonances of AgPd Alloy Nanoparticles by Experiment and Theory. Coatings 2021, 11, 893. https://doi.org/10.3390/coatings11080893
Ntemogiannis D, Tsarmpopoulou M, Chronis AG, Anyfantis DI, Barnasas A, Grammatikopoulos S, Sigalas M, Poulopoulos P. On the Localized Surface Plasmonic Resonances of AgPd Alloy Nanoparticles by Experiment and Theory. Coatings. 2021; 11(8):893. https://doi.org/10.3390/coatings11080893
Chicago/Turabian StyleNtemogiannis, Dimitrios, Maria Tsarmpopoulou, Alexandros G. Chronis, Dimitrios I. Anyfantis, Alexandros Barnasas, Spyridon Grammatikopoulos, Mihail Sigalas, and Panagiotis Poulopoulos. 2021. "On the Localized Surface Plasmonic Resonances of AgPd Alloy Nanoparticles by Experiment and Theory" Coatings 11, no. 8: 893. https://doi.org/10.3390/coatings11080893
APA StyleNtemogiannis, D., Tsarmpopoulou, M., Chronis, A. G., Anyfantis, D. I., Barnasas, A., Grammatikopoulos, S., Sigalas, M., & Poulopoulos, P. (2021). On the Localized Surface Plasmonic Resonances of AgPd Alloy Nanoparticles by Experiment and Theory. Coatings, 11(8), 893. https://doi.org/10.3390/coatings11080893

